Optimal Analysis of 40 Gbps Dispersion Compensated Optical Fiber System †
Abstract
:1. Introduction
2. Methodology
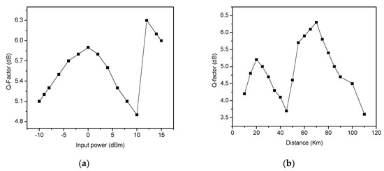
3. Results
Conflicts of Interest
References
- Agrawal, G.P. Fiber Optic Communication Systems; John Wiley & Sons, Inc.: Hoboken, NJ, USA, 2002; ISBN 04-7121-5716. [Google Scholar]
- Gupta, S.; Shukla, N.K.; Jaiswal, S. Pre-post, symmetric1 and 2 compensation techniques with RZ modulation. In Proceedings of the 1st International Conference on Recent Advances in Information Technology (RAIT 2012), Dhanbad, Jharkhand, India, 15–17 March 2012; pp. 251–255. [Google Scholar]
- Devendra, K.; Tripathi, P.S. Performance Study in Dispersion Compensation Techniques with Duobinary Format at Different Bit Rates. In Proceedings of the International Conference on Power, Control and Embedded Systems (ICPCES 2012), Allahabad, India, 17–19 December 2012; pp. 1–5. [Google Scholar]
- Wen-jia, Y.; Peng, C. Method for Improving Transmission Efficiency in 40Gbit/s System Based on Dispersion Compensation. In Proceedings of the International Conference on Industrial Control and Electronics Engineering (ICICEE 2012), Xi’an, China, 23–35 August 2012; pp. 672–674. [Google Scholar]
- Keiser, G. Optical Fiber Communications Fourth Edition; Tata McGraw-Hill: New York, NY, USA, 2008; ISBN 00-7064-8107. [Google Scholar]
- Chaba, Y.; Kaler, R.S. Comparison of Various Dispersion Compensation Techniques at High Bit Rates Using CSRZ Format. Int. J. Light Opt. 2010, 121, 813–817. [Google Scholar] [CrossRef]
- Kashyap, R. Fiber Bragg Gratings, United Kingdom; Academic Press: Cambridge, MA, USA, 1999; ISBN 01-2400-5608. [Google Scholar]




| Parameters | Values |
|---|---|
| Input power CW laser Pi | −10 to +15 dBm |
| Laser frequency | 1480 nm, 1550 nm |
| Modulation Format | NRZ |
| Fiber length | 100 km |
| Bessel filter cutoff frequency | 0.75 Bit symbol rate Hz |
| Gain of EDFA | 20 dBm |
| Noise | 4 dBm |
| MZ apodization parameter | Tanh, Gauss, Uniform |
Publisher’s Note: MDPI stays neutral with regard to jurisdictional claims in published maps and institutional affiliations. |
© 2021 by the authors. Licensee MDPI, Basel, Switzerland. This article is an open access article distributed under the terms and conditions of the Creative Commons Attribution (CC BY) license (https://creativecommons.org/licenses/by/4.0/).
Share and Cite
Hassan, M.; Arif, A. Optimal Analysis of 40 Gbps Dispersion Compensated Optical Fiber System. Eng. Proc. 2021, 12, 66. https://doi.org/10.3390/engproc2021012066
Hassan M, Arif A. Optimal Analysis of 40 Gbps Dispersion Compensated Optical Fiber System. Engineering Proceedings. 2021; 12(1):66. https://doi.org/10.3390/engproc2021012066
Chicago/Turabian StyleHassan, Murad, and Arslan Arif. 2021. "Optimal Analysis of 40 Gbps Dispersion Compensated Optical Fiber System" Engineering Proceedings 12, no. 1: 66. https://doi.org/10.3390/engproc2021012066
APA StyleHassan, M., & Arif, A. (2021). Optimal Analysis of 40 Gbps Dispersion Compensated Optical Fiber System. Engineering Proceedings, 12(1), 66. https://doi.org/10.3390/engproc2021012066

