Nickel-Catalyzed, One-Pot Synthesis of Pyrazoles †
Abstract
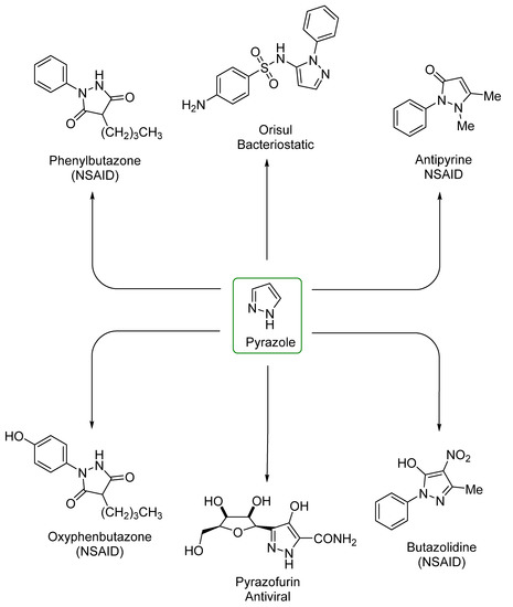
1. Introduction
2. General Experimental Procedure
3. Results
4. Conclusions
Author Contributions
Funding
Institutional Review Board Statement
Informed Consent Statement
Data Availability Statement
Acknowledgments
Conflicts of Interest
References
- Dai, H.-X.; Stepan, A.F.; Plummer, M.S.; Zhang, Y.-H.; Yu, J.-Q. Divergent C–H Functionalizations Directed by Sulfonamide Pharmacophores: Late-Stage Diversification as a Tool for Drug Discovery. J. Am. Chem. Soc. 2011, 133, 7222–7228. [Google Scholar] [CrossRef]
- Emtiazi, H.; Amrollahi, M.A.; Mirjalili, B.B.F. Nano-silica sulfuric acid as an efficient catalyst for the synthesis of substituted pyrazoles. Arab. J. Chem. 2015, 8, 793–797. [Google Scholar] [CrossRef]
- Kumar, R.S.; Arif, I.; Ahamed, A.; Idhayadhulla, A. Anti-inflammatory and antimicrobial activities of novel pyrazole analogues. Saudi J. Biol. Sci. 2015, 23, 614–620. [Google Scholar] [CrossRef]
- Li, Y.; Zhang, H.-Q.; Liu, J.; Yang, X.-P.; Liu, Z.-J. Stereoselective synthesis and antifungal activities of (E)-α-(methoxyimino) benzeneacetate derivatives containing 1, 3, 5-substituted pyrazole ring. J. Agric. Food Chem. 2006, 54, 3636–3640. [Google Scholar] [CrossRef]
- Sallmann, M.; Limberg, C. Utilizing the Trispyrazolyl Borate Ligand for the Mimicking of O2-Activating Mononuclear Nonheme Iron Enzymes. Accounts Chem. Res. 2015, 48, 2734–2743. [Google Scholar] [CrossRef]
- Terçariol, P.R.G.; Godinho, A.F. Behavioral effects of acute exposure to the insecticide fipronil. Pestic. Biochem. Physiol. 2010, 99, 221–225. [Google Scholar] [CrossRef]
- Wiechmann, S.; Freese, T.; Drafz, M.H.; Hübner, E.G.; Namyslo, J.C.; Nieger, M.; Schmidt, A. Sydnone anions and abnormal N-heterocyclic carbenes of O-ethylsydnones. Characterizations, calculations and catalyses. Chem. Commun. 2014, 50, 11822–11824. [Google Scholar] [CrossRef] [PubMed]
- Baruah, B.; Bhuyan, P. Synthesis of some complex pyrano [2, 3-b]-and pyrido [2, 3-b] quinolines from simple acetanilides via intramolecular domino hetero Diels–Alder reactions of 1-oxa-1, 3-butadienes in aqueous medium. Tetrahedron 2009, 65, 7099–7104. [Google Scholar] [CrossRef]
- Wright, C.W.; Addae-Kyereme, J.; Breen, A.G.; Brown, J.E.; Cox, M.F.; Croft, S.L.; Gökçek, Y.; Kendrick, H.; Phillips, R.M.; Pollet, P.L. Synthesis and Evaluation of Cryptolepine Analogues for Their Potential as New Antimalarial Agents. J. Med. Chem. 2001, 44, 3187–3194. [Google Scholar] [CrossRef] [PubMed]
- Wang, Z.-X.; Qin, H.-L. Solventless syntheses of pyrazole derivatives. Electronic supplementary information (ESI): Analytical and spectroscopic data. Green Chem. 2004, 6, 90–92. [Google Scholar] [CrossRef]
- Barceló, M.; Raviña, E.; Masaguer, C.F.; Domínguez, E.; Areias, F.M.; Brea, J.; Loza, M.I. Synthesis and binding affinity of new pyrazole and isoxazole derivatives as potential atypical antipsychotics. Bioorg. Med. Chem. Lett. 2007, 17, 4873–4877. [Google Scholar] [CrossRef]
- Li, J.-T.; Meng, X.-T.; Bai, B.; Sun, M.-X. An efficient deprotection of oximes to carbonyls catalyzed by silica sulfuric acid in water under ultrasound irradiation. Ultrason. Sonochem. 2010, 17, 14–16. [Google Scholar] [CrossRef]
- Miao, A.; Zhou, M.; Chen, J.; Wang, S.; Hao, W.; Tu, S.; Jiang, B. Pd-Catalyzed Asymmetric Addition of Arylboronic Acids to Pyrazolinone Ketimines. Adv. Synth. Catal. 2021, 363, 5162–5166. [Google Scholar] [CrossRef]
- Asiri, A.; Ismaiel, N. Novel photochromic system derived from tetracyanoquinodimethane and pyrazoles. Pigment Resin Technol. 2006, 35, 147–150. [Google Scholar] [CrossRef]
- Galli, S.; Masciocchi, N. Enclosing the functional properties of pyrazolato-based coordination polymers within a structural frame: The role of laboratory X-ray powder diffraction. Powder Diffr. 2013, 28, S106–S125. [Google Scholar] [CrossRef]
- Karuppusamy, A.; Kannan, P. Bluish green emission from pyrene-pyrazoline containing heterocyclic materials and their electronic properties. J. Lumin 2018, 194, 718–728. [Google Scholar] [CrossRef]
- Merimi, I.; Touzani, R.; Aouniti, A.; Chetouani, A.; Hammouti, B. Pyrazole derivatives efficient organic inhibitors for corrosion in aggressive media: A comprehensive review. Int. J. Corros. Scale Inhib. 2020, 9, 1237–1260. [Google Scholar]
- Ramkumar, V.; Kannan, P. Thiophene and furan containing pyrazoline luminescent materials for optoelectronics. J. Lumin 2016, 169, 204–215. [Google Scholar] [CrossRef]
- Guo, H.; Zhang, Q.; Pan, W.; Yang, H.; Pei, K.; Zhai, J.; Li, T.; Wang, Z.; Wang, Y.; Yin, Y. One-pot Synthesis of Substituted Pyrazoles from Propargyl Alcohols via Cyclocondensation of in situ-Generated α-Iodo Enones/Enals and Hydrazine Hydrate. Asian J. Org. Chem. 2021, 10, 2231–2237. [Google Scholar] [CrossRef]
- Mykhailiuk, P.K. Fluorinated Pyrazoles: From Synthesis to Applications. Chem. Rev. 2020, 121, 1670–1715. [Google Scholar] [CrossRef]
- Neto, J.S.; Zeni, G. Alkynes and nitrogen compounds: Useful substrates for the synthesis of pyrazoles. Chem. Eur. J. 2020, 26, 8175–8189. [Google Scholar] [CrossRef]
- Sapkal, A.; Kamble, S. Greener and Environmentally Benign Methodology for the Synthesis of Pyrazole Derivatives. ChemistrySelect 2020, 5, 12971–13026. [Google Scholar] [CrossRef]
- Stanovnik, B.; Svete, J. Product Class 1: Pyrazoles. ChemInform 2003, 34. [Google Scholar] [CrossRef]
- Tian, Y.-T.; Zhang, F.-G.; Ma, J.-A. Regioselective [3 + 2] Cycloaddition Reaction of 3-Alkynoates with Seyferth–Gilbert Reagent. J. Org. Chem. 2021, 86, 3574–3582. [Google Scholar] [CrossRef] [PubMed]
- Liu, W.; Wang, H.; Zhao, H.; Li, B.; Chen, S. Y (OTf) 3-Catalyzed Cascade Propargylic Substitution/Aza-Meyer–Schuster Rearrangement: Stereoselective Synthesis of α, β-Unsaturated Hydrazones and Their Conversion into Pyrazoles. Synlett 2015, 26, 2170–2174. [Google Scholar] [CrossRef]
- Tang, M.; Zhang, F.-M. Efficient one-pot synthesis of substituted pyrazoles. Tetrahedron 2013, 69, 1427–1433. [Google Scholar] [CrossRef]
- Zhang, Z.; Tan, Y.-J.; Wang, C.-S.; Wu, H.-H. One-Pot Synthesis of 3,5-Diphenyl-1H-pyrazoles from Chalcones and Hydrazine under Mechanochemical Ball Milling. Heterocycles 2014, 89, 103. [Google Scholar] [CrossRef]
- Liu, X.-T.; Zhan, Z.-P.; Ding, Z.-C.; Ju, L.-C.; Tang, Z.-N.; Wu, F. Iron(III) Chloride Catalyzed Nucleophilic Substitution of Tertiary Propargylic Alcohols and Synthesis of Iodo-3H-Pyrazoles. Synlett 2016, 28, 620–624. [Google Scholar] [CrossRef]
- Reddy, C.R.; Vijaykumar, J.; Grée, R. Facile One-Pot Synthesis of 3,5-Disubstituted 1H-Pyrazoles from Propargylic Alcohols via Propargyl Hydrazides. Synthesis 2013, 45, 830–836. [Google Scholar] [CrossRef]
- Yoshimatsu, M.; Ohta, K.; Takahashi, N. Propargyl Hydrazides: Synthesis and Conversion Into Pyrazoles Through Hydroamination. Chem. Eur. J. 2012, 18, 15602–15606. [Google Scholar] [CrossRef] [PubMed]
- Aggarwal, V.K.; de Vicente, J.; Bonnert, R.V. A Novel One-Pot Method for the Preparation of Pyrazoles by 1,3-Dipolar Cycloadditions of Diazo Compounds Generated in Situ. J. Org. Chem. 2003, 68, 5381–5383. [Google Scholar] [CrossRef]
- Tang, M.; Wang, Y.; Wang, H.; Kong, Y. Aluminum chloride mediated reactions of N-alkylated tosylhydrazones and terminal alkynes: A regioselective approach to 1, 3, 5-trisubstituted pyrazoles. Synthesis 2016, 48, 3065–3076. [Google Scholar] [CrossRef]
- Yu, Y.; Huang, W.; Chen, Y.; Gao, B.; Wu, W.; Jiang, H. Calcium carbide as the acetylide source: Transition-metal-free synthesis of substituted pyrazoles via [1,5]-sigmatropic rearrangements. Green Chem. 2016, 18, 6445–6449. [Google Scholar] [CrossRef]
- Kidwai, M.; Jain, A.; Poddar, R. Zn[(l)proline]2 in water: A new easily accessible and recyclable catalytic system for the synthesis of pyrazoles. J. Organomet. Chem. 2011, 696, 1939–1944. [Google Scholar] [CrossRef]
- Senthil Kumar, G.; Kaminsky, W.; Rajendra Prasad, K. InCl3-promoted synthesis of pyrazolyl-substituted quinolines in green media. Synth. Commun. 2015, 45, 1751–1760. [Google Scholar] [CrossRef]
- Lee, Y.T.; Chung, Y.K. Silver(I)-Catalyzed Facile Synthesis of Pyrazoles From Propargyl N-Sulfonylhydrazones. J. Org. Chem. 2008, 73, 4698–4701. [Google Scholar] [CrossRef]
- Bhat, B.; Puri, S.; Qurishi, M.; Dhar, K.; Qazi, G. Synthesis of 3, 5-diphenyl-1 H-pyrazoles. Synth. Comm. 2005, 35, 1135–1142. [Google Scholar] [CrossRef]
- Thomas, K.; Adhikari, A.V.; Telkar, S.; Chowdhury, I.H.; Mahmood, R.; Pal, N.K.; Row, G.; Sumesh, E. Design, synthesis and docking studies of new quinoline-3-carbohydrazide derivatives as antitubercular agents. Eur. J. Med. Chem. 2011, 46, 5283–5292. [Google Scholar] [CrossRef]
- Cao, G.; Zeng, G.; Li, K.; Liu, Y.; Lin, X.; Yang, G. 2D network structure of zinc(II) complex: A new easily accessible and efficient catalyst for the synthesis of pyrazoles. Appl. Organomet. Chem. 2021, 35, e6397. [Google Scholar] [CrossRef]
- Ali El-Remaily, M.A.E.A.A.; El-Dabea, T.; Alsawat, M.; Mahmoud, M.H.H.; Alfi, A.A.; El-Metwaly, N.; Abu-Dief, A.M. Development of New Thiazole Complexes as Powerful Catalysts for Synthesis of Pyrazole-4-Carbonitrile Derivatives under Ultrasonic Irradiation Condition Supported by DFT Studies. ACS Omega 2021, 6, 21071–21086. [Google Scholar] [CrossRef]
- Amirnejat, S.; Nosrati, A.; Javanshir, S. Superparamagnetic Fe3O4@ Alginate supported L-arginine as a powerful hybrid inorganic–organic nanocatalyst for the one-pot synthesis of pyrazole derivatives. Appl. Organomet. Chem. 2020, 34, e5888. [Google Scholar] [CrossRef]
- Elmaaty, T.A.; Elsisi, H.; Negm, E.; Ayad, S.; Sofan, M. Novel nano silica assisted synthesis of azo pyrazole for the sustainable dyeing and antimicrobial finishing of cotton fabrics in supercritical carbon dioxide. J. Supercrit. Fluids 2021, 179, 105354. [Google Scholar] [CrossRef]
- Lellek, V.; Chen, C.-Y.; Yang, W.; Liu, J.; Ji, X.; Faessler, R. An Efficient Synthesis of Substituted Pyrazoles from One-Pot Reaction of Ketones, Aldehydes, and Hydrazine Monohydrochloride. Synlett 2018, 29, 1071–1075. [Google Scholar] [CrossRef]


Disclaimer/Publisher’s Note: The statements, opinions and data contained in all publications are solely those of the individual author(s) and contributor(s) and not of MDPI and/or the editor(s). MDPI and/or the editor(s) disclaim responsibility for any injury to people or property resulting from any ideas, methods, instructions or products referred to in the content. |
© 2022 by the authors. Licensee MDPI, Basel, Switzerland. This article is an open access article distributed under the terms and conditions of the Creative Commons Attribution (CC BY) license (https://creativecommons.org/licenses/by/4.0/).
Share and Cite
Medjahed, N.; Kibou, Z.; Berrichi, A.; Bachir, R.; Choukchou-Braham, N. Nickel-Catalyzed, One-Pot Synthesis of Pyrazoles. Chem. Proc. 2022, 12, 34. https://doi.org/10.3390/ecsoc-26-13687
Medjahed N, Kibou Z, Berrichi A, Bachir R, Choukchou-Braham N. Nickel-Catalyzed, One-Pot Synthesis of Pyrazoles. Chemistry Proceedings. 2022; 12(1):34. https://doi.org/10.3390/ecsoc-26-13687
Chicago/Turabian StyleMedjahed, Nassima, Zahira Kibou, Amina Berrichi, Redouane Bachir, and Noureddine Choukchou-Braham. 2022. "Nickel-Catalyzed, One-Pot Synthesis of Pyrazoles" Chemistry Proceedings 12, no. 1: 34. https://doi.org/10.3390/ecsoc-26-13687
APA StyleMedjahed, N., Kibou, Z., Berrichi, A., Bachir, R., & Choukchou-Braham, N. (2022). Nickel-Catalyzed, One-Pot Synthesis of Pyrazoles. Chemistry Proceedings, 12(1), 34. https://doi.org/10.3390/ecsoc-26-13687

