Sleep Quality and Glycemic Control in Type 1 Diabetes: A Retrospective Cohort Study Using Advanced Technological Devices
Abstract
1. Introduction
1.1. Aims
1.1.1. Primary Aims
1.1.2. Secondary Aim
2. Materials and Methods
2.1. Study Design
2.2. Ethical Considerations
2.3. Sample and Criteria
2.4. Endpoints and Tool
- a.
- Sensor glucose (SG) mean, standard deviation (SD), and coefficient of variation (CV);
- b.
- Time below range level 2 (TBR2): percentage of time spent below 54 mg/dL;
- c.
- Time below range level 1 (TBR1): percentage of time spent between 54 and 69 mg/dL;
- d.
- Time below range (TBR): percentage of time spent below 70 mg/dL;
- e.
- Time in range (TIR): percentage of time spent within 70–180 mg/dL;
- f.
- Time above range level 1 (TAR1): percentage of time spent between 181 and 250 mg/dL;
- g.
- Time above range level 2 (TAR2): percentage of time spent above 250 mg/dL;
- h.
- Time above range (TAR): percentage of time spent above 180 mg/dL.
2.5. Statistical Analysis
2.5.1. General Methodology
2.5.2. Data Analysis
2.5.3. Derived Variables
2.5.4. Bedtime Hours
2.5.5. Handling of Missing Data and Outliers and Validation Requirements
3. Results
3.1. Patient Disposition
3.2. Sleep Quality
3.3. Patient Characteristics
3.4. Glycemic Outcomes
3.5. Glycemic Outcomes During Bedtime Hours
4. Discussion
4.1. Limitations
4.2. Future Perspectives for Clinical Practice
5. Conclusions
Supplementary Materials
Author Contributions
Funding
Institutional Review Board Statement
Informed Consent Statement
Data Availability Statement
Acknowledgments
Conflicts of Interest
References
- Ahmad, E.; Lim, S.; Lamptey, R.; Webb, D.R.; Davies, M.J. Type 2 diabetes. Lancet 2022, 400, 1803–1820. [Google Scholar] [CrossRef] [PubMed]
- Magliano, D.J.; Boyko, E.J. Committee IDFDAtes. IDF diabetes atlas. In IDF Diabetes Atlas; International Diabetes Federation: Brussels, Belgium, 2021; Volume 2021. [Google Scholar]
- Wong, N.D.; Sattar, N. Cardiovascular risk in diabetes mellitus: Epidemiology, assessment and prevention. Nat. Rev. Cardiol. 2023, 20, 685–695. [Google Scholar] [CrossRef]
- World Health Organization (WHO). Diabetes. Available online: https://www.who.int/news-room/fact-sheets/detail/diabetes (accessed on 25 November 2024).
- Global Burden of Disease Collaborative Network. Global Burden of Disease Study 2021. Results. Institute for Health Metrics and Evaluation. Available online: https://vizhub.healthdata.org/gbd-results/ (accessed on 1 November 2024).
- GBD 2021 Diabetes Collaborators. Global, regional, and national burden of diabetes from 1990 to 2021, with projections of prevalence to 2050: A systematic analysis for the Global Burden of Disease Study 2021. Lancet 2023, 402, 203–234. [Google Scholar] [CrossRef]
- Petrelli, F.; Cangelosi, G.; Scuri, S.; Nguyen, C.T.T.; Debernardi, G.; Benni, A.; Vesprini, A.; Rocchi, R.; De Carolis, C.; Pantanetti, P.; et al. Food knowledge of patients at the first access to a Diabetology center. Acta Biomed. 2020, 91 (Suppl. S3), 160–164. [Google Scholar] [CrossRef]
- Cangelosi, G.; Grappasonni, I.; Nguyen, C.T.T.; Acito, M.; Pantanetti, P.; Benni, A.; Petrelli, F. Mediterranean Diet (MedDiet) and Lifestyle Medicine (LM) for support and care of patients with type II diabetes in the COVID-19 era: A cross-observational study. Acta Biomed. 2023, 94 (Suppl. S3), e2023189. [Google Scholar] [CrossRef]
- GBD 2021 Diseases and Injuries Collaborators. Global incidence, prevalence, years lived with disability (YLDs), disability-adjusted life-years (DALYs), and healthy life expectancy (HALE) for 371 diseases and injuries in 204 countries and territories and 811 subnational locations, 1990–2021: A systematic analysis for the Global Burden of Disease Study 2021. Lancet 2024, 403, 2133–2161. [Google Scholar] [CrossRef]
- Cangelosi, G.; Acito, M.; Grappasonni, I.; Nguyen, C.T.T.; Tesauro, M.; Pantanetti, P.; Morichetti, L.; Ceroni, E.; Benni, A.; Petrelli, F. Yoga or Mindfulness on Diabetes: Scoping Review for Theoretical Experimental Framework. Ann. Ig. 2024, 36, 153–168. [Google Scholar] [CrossRef]
- Jacobsen, L.M.; Sherr, J.L.; Considine, E.; Chen, A.; Peeling, S.M.; Hulsmans, M.; Charleer, S.; Urazbayeva, M.; Tosur, M.; Alamarie, S.; et al. Utility and precision evidence of technology in the treatment of type 1 diabetes: A systematic review. Commun. Med. 2023, 3, 132. [Google Scholar] [CrossRef]
- Mallik, R.; Kar, P.; Mulder, H.; Krook, A. The future is here: An overview of technology in diabetes. Diabetologia 2024, 67, 2019–2026. [Google Scholar] [CrossRef]
- Handelsman, Y.; Hellman, R.; Lajara, R.; Roberts, V.L.; Rodbard, D.; Stec, C.; Unger, J. American Association of Clinical Endocrinology Clinical Practice Guideline: The use of advanced technology in the management of persons with diabetes mellitus. Endocr. Pract. 2021, 27, 505–537. [Google Scholar] [CrossRef]
- American Diabetes Association Professional Practice Committee. 7. Diabetes Technology: Standards of Care in Diabetes-2025. Diabetes Care 2025, 48 (Suppl. S1), S146–S166, Erratum in: Diabetes Care 2025, 48 (Suppl. S1), dc25er04b. https://doi.org/10.2337/dc25-er04b. [Google Scholar] [CrossRef] [PubMed]
- Cangelosi, G.; Mancin, S.; Morales Palomares, S.; Pantanetti, P.; Quinzi, E.; Debernardi, G.; Petrelli, F. Impact of school nurse on managing pediatric type 1 diabetes with technological devices support: A systematic review. Diseases 2024, 12, 173. [Google Scholar] [CrossRef]
- Li, H.; Ren, J.; Li, Y.; Wu, Q.; Wei, J. Oxidative stress: The nexus of obesity and cognitive dysfunction in diabetes. Front. Endocrinol. 2023, 14, 1134025. [Google Scholar] [CrossRef]
- Masenga, S.K.; Kabwe, L.S.; Chakulya, M.; Kirabo, A. Mechanisms of oxidative stress in metabolic syndrome. Int. J. Mol. Sci. 2023, 24, 7898. [Google Scholar] [CrossRef]
- Maina, J.G.; Balkhiyarova, Z.; Nouwen, A.; Pupko, I.; Ulrich, A.; Boissel, M.; Bonnefond, A.; Froguel, P.; Khamis, A.; Prokopenko, I.; et al. Bi-directional Mendelian randomization and multiphenotype GWAS show causality and shared pathophysiology between depression and type 2 diabetes. Diabetes Care 2023, 46, 1707–1714. [Google Scholar] [CrossRef] [PubMed]
- Winkley, K.; Upsher, R.; Stahl, D.; Pollard, D.; Kasera, A.; Brennan, A.; Heller, S.; Ismail, K. Psychological interventions to improve self-management of type 1 and type 2 diabetes: A systematic review. Health Technol. Assess. 2020, 24, 1–232. [Google Scholar] [CrossRef]
- Antza, C.; Kostopoulos, G.; Mostafa, S.; Nirantharakumar, K.; Tahrani, A. The links between sleep duration, obesity and type 2 diabetes mellitus. J. Endocrinol. 2021, 252, 125–141. [Google Scholar] [CrossRef]
- Lee, J.H.; Cho, J. Sleep and obesity. Sleep Med. Clin. 2022, 17, 111–116. [Google Scholar] [CrossRef] [PubMed]
- Zhu, B.; Abu Irsheed, G.M.; Martyn-Nemeth, P.; Reutrakul, S. Type 1 diabetes, sleep, and hypoglycemia. Curr. Diab. Rep. 2021, 21, 55. [Google Scholar] [CrossRef]
- Ni, M.H.; Yang, Y.S.; Huang, J.Y.; Lo, S.C.; Huang, C.N.; Kornelius, E. The association of depression and sleep disorders in patients with type 1 diabetes in Taiwan. Medicine 2024, 103, e38969. [Google Scholar] [CrossRef]
- Perfect, M.M. Sleep-related disorders in patients with type 1 diabetes mellitus: Current insights. Nat. Sci. Sleep 2020, 12, 101–123. [Google Scholar] [CrossRef] [PubMed]
- Ji, X.; Wang, Y.; Saylor, J. Sleep and Type 1 Diabetes Mellitus Management Among Children, Adolescents, and Emerging Young Adults: A Systematic Review. J. Pediatr. Nurs. 2021, 61, 245–253. [Google Scholar] [CrossRef] [PubMed]
- Abualula, N.A.; Jacobsen, K.H.; Milligan, R.A.; Rodan, M.F.; Conn, V.S. Evaluating Diabetes Educational Interventions with a Skill Development Component in Adolescents with Type 1 Diabetes: A Systematic Review Focusing on Quality of Life. Diabetes Educ. 2016, 42, 515–528. [Google Scholar] [CrossRef]
- Davidson, P.; LaManna, J.; Davis, J.; Ojeda, M.M.; Hyer, S.; Dickinson, J.K.; Todd, A.; Hammons, T.M.; Mohammed Fahim, S.; McDaniel, C.C.; et al. The Effects of Diabetes Self-Management Education on Quality of Life for Persons with Type 1 Diabetes: A Systematic Review of Randomized Controlled Trials. Sci. Diabetes Self Manag. Care 2022, 48, 111–135. [Google Scholar] [CrossRef]
- Kavookjian, J.; LaManna, J.B.; Davidson, P.; Davis, J.W.; Fahim, S.M.; McDaniel, C.C.; Ekong, G.; Todd, A.; Yehl, K.; Cox, C. Impact of Diabetes Self-Management Education/Support on Self-Reported Quality of Life in Youth with Type 1 or Type 2 Diabetes. Sci. Diabetes Self Manag. Care 2022, 48, 406–436. [Google Scholar] [CrossRef] [PubMed]
- Jayedi, A.; Zargar, M.S.; Emadi, A.; Aune, D. Walking speed and the risk of type 2 diabetes: A systematic review and meta-analysis. Br. J. Sports Med. 2024, 58, 334–342. [Google Scholar] [CrossRef]
- Cao, L.; An, Y.; Liu, H.; Jiang, J.; Liu, W.; Zhou, Y.; Shi, M.; Dai, W.; Lv, Y.; Zhao, Y.; et al. Global epidemiology of type 2 diabetes in patients with NAFLD or MAFLD: A systematic review and meta-analysis. BMC Med. 2024, 22, 101. [Google Scholar] [CrossRef]
- Gregory, G.A.; Robinson, T.I.; Linklater, S.E.; Wang, F.; Colagiuri, S.; de Beaufort, C.; Donaghue, K.C.; Harding, J.L.; Wander, P.L.; Zhang, X.; et al. Global incidence, prevalence, and mortality of type 1 diabetes in 2021 with projection to 2040: A modelling study. Lancet Diabetes Endocrinol. 2022, 10, 741–760. [Google Scholar] [CrossRef]
- Anandhakrishnan, A.; Hussain, S. Automating insulin delivery through pump and continuous glucose monitoring connectivity: Maximizing opportunities to improve outcomes. Diabetes Obes. Metab. 2024, 26, 27–46. [Google Scholar] [CrossRef]
- Farhat, I.; Drishti, S.; Bochner, R.; Bargman, R. Do hybrid closed loop insulin pump systems improve glycemic control and reduce hospitalizations in poorly controlled type 1 diabetes? J. Pediatr. Endocrinol. Metab. 2024, 37, 1028–1035. [Google Scholar] [CrossRef]
- Scuri, S.; Tesauro, M.; Petrelli, F.; Argento, N.; Damasco, G.; Cangelosi, G.; Nguyen, C.T.T.; Savva, D.; Grappasonni, I. Use of an Online Platform to Evaluate the Impact of Social Distancing Measures on Psycho-Physical Well-Being in the COVID-19 Era. Int. J. Environ. Res. Public Health 2022, 19, 6805. [Google Scholar] [CrossRef] [PubMed]
- Petrovski, G.; Al Khalaf, F.; Campbell, J.; Umer, F.; Almajaly, D.; Hamdan, M.; Hussain, K. One-year experience of hybrid closed-loop system in children and adolescents with type 1 diabetes previously treated with multiple daily injections: Drivers to successful outcomes. Acta Diabetol. 2021, 58, 207–213. [Google Scholar] [CrossRef] [PubMed]
- McAuley, S.A.; Lee, M.H.; Paldus, B.; Vogrin, S.; de Bock, M.I.; Abraham, M.B.; Bach, L.A.; Burt, M.G.; Cohen, N.D.; Colman, P.G.; et al. Australian JDRF Closed-Loop Research Group. Six months of hybrid closed-loop versus manual insulin delivery with fingerprick blood glucose monitoring in adults with type 1 diabetes: A randomized, controlled trial. Diabetes Care 2020, 43, 3024–3033. [Google Scholar] [CrossRef]
- Cobry, E.; Kanapka, L.; Cengiz, E.; Carria, L.; Ekhlaspour, L.; A Buckingham, B.; Hood, K.; Hsu, L.J.; Messer, L.; Schoelwer, M.; et al. Health-related quality of life and treatment satisfaction in parents and children with type 1 diabetes using closed-loop control. Diabetes Technol. Ther. 2021, 23, 401–409. [Google Scholar] [CrossRef] [PubMed]
- Benioudakis, E.; Karlafti, E.; Kalaitzaki, A.; Kaiafa, G.; Savopoulos, C.; Didangelos, T. Technological developments and quality of life in type 1 diabetes mellitus patients: A review of the modern insulin analogues, continuous glucose monitoring and insulin pump therapy. Curr. Diabetes Rev. 2022, 18, e031121197657. [Google Scholar] [CrossRef]
- National Health Service (NHS) Digital. National Diabetes Audit 2021–2022, Type 1 Diabetes—Overview. Available online: https://digital.nhs.uk/data-and-information/publications/statistical/national-diabetes-audit-type-1-diabetes/nda-type-1-2021-22-overview (accessed on 24 November 2024).
- Foster, N.C.; Beck, R.W.; Miller, K.M.; Clements, M.A.; Rickels, M.R.; DiMeglio, L.A.; Maahs, D.M.; Tamborlane, W.V.; Bergenstal, R.; Smith, E.; et al. State of type 1 diabetes management and outcomes from the T1D exchange in 2016–2018. Diabetes Technol. Ther. 2019, 21, 66–72. [Google Scholar] [CrossRef]
- Tejera-Pérez, C.; Chico, A.; Azriel-Mira, S.; Lardiés-Sánchez, B.; Gomez-Peralta, F.; Área de Diabetes-SEEN. Connected insulin pens and caps: An expert’s recommendation from the Area of Diabetes of the Spanish Endocrinology and Nutrition Society (SEEN). Diabetes Ther. 2023, 14, 1077–1091. [Google Scholar] [CrossRef]
- Nimri, R.; Nir, J.; Phillip, M. Insulin pump therapy. Am. J. Ther. 2020, 27, e30–e41. [Google Scholar] [CrossRef]
- Cernea, S.; Raz, I. Insulin therapy: Future perspectives. Am. J. Ther. 2020, 27, e121–e132. [Google Scholar] [CrossRef]
- Chakrabarti, A.; Trawley, S.; Kubilay, E.; Alipoor, A.M.; Vogrin, S.; Fourlanos, S.; Lee, M.H.; O’Neal, D.N.; O’Regan, N.A.; Sundararajan, V.; et al. Closed-Loop Insulin Delivery Effects on Glycemia During Sleep and Sleep Quality in Older Adults with Type 1 Diabetes: Results from the ORACL Trial. Diabetes Technol. Ther. 2022, 24, 666–671. [Google Scholar] [CrossRef]
- Cobry, E.C.; Karami, A.J.; Meltzer, L.J. Friend or Foe: A Narrative Review of the Impact of Diabetes Technology on Sleep. Curr. Diabetes Rep. 2022, 22, 283–290. [Google Scholar] [CrossRef]
- Perez, K.M.; Hamburger, E.R.; Lyttle, M.; Williams, R.; Bergner, E.; Kahanda, S.; Cobry, E.; Jaser, S.S. Sleep in Type 1 Diabetes: Implications for Glycemic Control and Diabetes Management. Curr. Diab. Rep. 2018, 18, 5. [Google Scholar] [CrossRef] [PubMed]
- Abu Irsheed, G.; Martyn-Nemeth, P.; Baron, K.G.; Reutrakul, S. Sleep Disturbances in Type 1 Diabetes and Mitigating Cardiovascular Risk. J. Clin. Endocrinol. Metab. 2024, 109, 3011–3026. [Google Scholar] [CrossRef] [PubMed]
- Hilliard, M.E.; Levy, W.; Anderson, B.J.; Whitehouse, A.L.; Commissariat, P.V.; Harrington, K.R.; Laffel, L.M.; Miller, K.M.; Van Name, M.; Tamborlane, W.V.; et al. Benefits and Barriers of Continuous Glucose Monitoring in Young Children with Type 1 Diabetes. Diabetes Technol. Ther. 2019, 21, 493–498. [Google Scholar] [CrossRef] [PubMed]
- Jaser, S.S.; Foster, N.C.; Nelson, B.A.; Kittelsrud, J.M.; DiMeglio, L.A.; Quinn, M.; Willi, S.M.; Simmons, J.H. T1D Exchange Clinic Network. Sleep in children with type 1 diabetes and their parents in the T1D Exchange. Sleep Med. 2017, 39, 108–115. [Google Scholar] [CrossRef]
- Sguanci, M.; Mancin, S.; Gazzelloni, A.; Diamanti, O.; Ferrara, G.; Morales Palomares, S.; Parozzi, M.; Petrelli, F.; Cangelosi, G. The Internet of Things in the Nutritional Management of Patients with Chronic Neurological Cognitive Impairment: A Scoping Review. Healthcare 2025, 13, 23. [Google Scholar] [CrossRef]
- Curcio, G.; Tempesta, D.; Scarlata, S.; Marzano, C.; Moroni, F.; Rossini, P.M.; Ferrara, M.; De Gennaro, L. Validity of the Italian version of the Pittsburgh Sleep Quality Index (PSQI). Neurol. Sci. 2013, 34, 511–519. [Google Scholar] [CrossRef]
- Cuschieri, S. The STROBE guidelines. Saudi J. Anaesth. 2019, 13 (Suppl. S1), S31–S34. [Google Scholar] [CrossRef]
- von Elm, E.; Altman, D.G.; Egger, M.; Pocock, S.J.; Gøtzsche, P.C.; Vandenbroucke, J.P.; STROBE Initiative. The Strengthening the Reporting of Observational Studies in Epidemiology (STROBE) statement: Guidelines for reporting observational studies. J. Clin. Epidemiol. 2008, 61, 344–349. [Google Scholar] [CrossRef]
- Medtronic. Care Link Report. Available online: https://www.medtronicdiabetes.com/customer-support/carelink-software-support/carelink-reports (accessed on 30 November 2024).
- Pantanetti, P.; Cangelosi, G.; Palomares, S.M.; Ferrara, G.; Biondini, F.; Mancin, S.; Caggianelli, G.; Parozzi, M.; Sguanci, M.; Petrelli, F. Real-World Life Analysis of a Continuous Glucose Monitoring and Smart Insulin Pen System in Type 1 Diabetes: A Cohort Study. Diabetology 2025, 6, 7. [Google Scholar] [CrossRef]
- Buysse, D.J.; Reynolds, C.F., 3rd; Monk, T.H.; Berman, S.R.; Kupfer, D.J. The Pittsburgh Sleep Quality Index: A new instrument for psychiatric practice and research. Psychiatry Res. 1989, 28, 193–213. [Google Scholar] [CrossRef] [PubMed]
- Botella-Serrano, M.; Velasco, J.M.; Sánchez-Sánchez, A.; Garnica, O.; Hidalgo, J.I. Evaluating the Influence of Sleep Quality and Quantity on Glycemic Control in Adults with Type 1 Diabetes. Front. Endocrinol. 2023, 14, 998881. [Google Scholar] [CrossRef] [PubMed]
- Griggs, S.; Hickman, R.L.; Strohl, K.P.; Redeker, N.S.; Crawford, S.L.; Grey, M. Sleep-Wake Characteristics, Daytime Sleepiness, and Glycemia in Young Adults with Type 1 Diabetes. J. Clin. Sleep Med. 2021, 17, 1865–1874. [Google Scholar] [CrossRef]
- Griggs, S.; Strohl, K.P.; Grey, M.; Barbato, E.; Margevicius, S.; Hickman, R.L., Jr. Circadian Characteristics of the Rest-Activity Rhythm, Executive Function, and Glucose Fluctuations in Young Adults with Type 1 Diabetes. Chronobiol. Int. 2021, 38, 1477–1487. [Google Scholar] [CrossRef]
- Briançon-Marjollet, A.; Weiszenstein, M.; Henri, M.; Thomas, A.; Godin-Ribuot, D.; Polak, J. The Impact of Sleep Disorders on Glucose Metabolism: Endocrine and Molecular Mechanisms. Diabetol. Metab. Syndr. 2015, 7, 25. [Google Scholar] [CrossRef]
- Griggs, S.; Grey, M.; Strohl, K.P.; Crawford, S.L.; Margevicius, S.; Kashyap, S.R.; Li, C.-S.R.; Rajagopalan, S.; Hickman, R.L. Variations in Sleep Characteristics and Glucose Regulation in Young Adults with Type 1 Diabetes. J. Clin. Endocrinol. Metab. 2022, 107, e1085–e1095. [Google Scholar] [CrossRef]
- Güemes, A.; Georgiou, P. Review of the Role of the Nervous System in Glucose Homeostasis and Future Perspectives Towards the Management of Diabetes. Bioelectron. Med. 2018, 4, 9. [Google Scholar] [CrossRef] [PubMed]
- Carnagarin, R.; Matthews, V.B.; Herat, L.Y.; Ho, J.K.; Schlaich, M.P. Autonomic Regulation of Glucose Homeostasis: A Specific Role for Sympathetic Nervous System Activation. Curr. Diab. Rep. 2018, 18, 107. [Google Scholar] [CrossRef]
- Sousa, A.; Kalra, S. Sleep Hygiene and Diabetes: Suggestions for Primary Care. J. Pak. Med. Assoc. 2017, 67, 814–815. [Google Scholar]
- Zhang, H.-Z.; Zhang, P.; Chang, G.-Q.; Xiang, Q.-Y.; Cao, H.; Zhou, J.-Y.; Dong, Z.-M.; Qiao, C.; Xu, C.-R.; Qin, Y.; et al. Effectiveness of Cognitive Behavioral Therapy for Sleep Disturbance and Glycemic Control in Persons with Type 2 Diabetes Mellitus: A Community-Based Randomized Controlled Trial in China. World J. Diabetes 2021, 12, 292–305. [Google Scholar] [CrossRef]
- Zuo, X.; Dong, Z.; Zhang, P.; Zhang, P.; Chang, G.; Xiang, Q.; Zhu, X.; Zhou, J.; Qiao, C.; Yang, Y.; et al. Effects of Cognitive Behavioral Therapy on Sleep Disturbances and Quality of Life among Adults with Type 2 Diabetes Mellitus: A Randomized Controlled Trial. Nutr. Metab. Cardiovasc. Dis. 2020, 30, 1980–1988. [Google Scholar] [CrossRef]
- Berk, E.; Çelik, N. Sleep Quality and Glycemic Control in Children and Adolescents with Type 1 Diabetes Mellitus. Eur. Rev. Med. Pharmacol. Sci. 2023, 27, 4633–4638. [Google Scholar] [CrossRef] [PubMed]
- Donbaloğlu, Z.; Barsal Çetiner, E.; İnan Yüksel, A.; Singin, B.; Aydın Behram, B.; Bedel, A.; Parlak, M.; Tuhan, H. Sleep Disturbances in Children and Adolescents with Type 1 Diabetes Mellitus: Prevalence, and Relationship with Diabetes Management. Sleep Med. 2024, 115, 55–60. [Google Scholar] [CrossRef] [PubMed]
- Malone, S.K.; Peleckis, A.J.; Grunin, L.; Yu, G.; Jang, S.; Weimer, J.; Lee, I.; Rickels, M.R.; Goel, N. Characterizing Glycemic Control and Sleep in Adults with Long-Standing Type 1 Diabetes and Hypoglycemia Unawareness Initiating Hybrid Closed Loop Insulin Delivery. J. Diabetes Res. 2021, 2021, 6611064. [Google Scholar] [CrossRef]
- Malone, S.K.; Matus, A.M.; Flatt, A.J.; Peleckis, A.J.; Grunin, L.; Yu, G.; Jang, S.; Weimer, J.; Lee, I.; Rickels, M.R.; et al. Prolonged Use of an Automated Insulin Delivery System Improves Sleep in Long-Standing Type 1 Diabetes Complicated by Impaired Awareness of Hypoglycemia. J. Diabetes Sci. Technol. 2024, 18, 1416–1423. [Google Scholar] [CrossRef] [PubMed]
- Passanisi, S.; Lombardo, F.; Mameli, C.; Bombaci, B.; Macedoni, M.; Zuccotti, G.; Dovc, K.; Battelino, T.; Salzano, G.; Delvecchio, M. Safety, Metabolic and Psychological Outcomes of Medtronic MiniMed 780GTM in Children, Adolescents and Young Adults: A Systematic Review. Diabetes Ther. 2024, 15, 343–365. [Google Scholar] [CrossRef]
- Brandt, R.; Park, M.; Wroblewski, K.; Quinn, L.; Tasali, E.; Cinar, A. Sleep Quality and Glycaemic Variability in a Real-Life Setting in Adults with Type 1 Diabetes. Diabetologia 2021, 64, 2159–2169. [Google Scholar] [CrossRef]
- Martyn-Nemeth, P.; Duffecy, J.; Quinn, L.; Steffen, A.; Baron, K.; Chapagai, S.; Burke, L.; Reutrakul, S. Sleep-Opt-In: A Randomized Controlled Pilot Study to Improve Sleep and Glycemic Variability in Adults with Type 1 Diabetes. Sci. Diabetes Self Manag. Care 2023, 49, 11–22. [Google Scholar] [CrossRef]
- Sinisterra, M.; Hamburger, S.; Tully, C.; Hamburger, E.; Jaser, S.; Streisand, R. Young Children with Type 1 Diabetes: Sleep, Health-Related Quality of Life, and Continuous Glucose Monitor Use. Diabetes Technol. Ther. 2020, 22, 639–642. [Google Scholar] [CrossRef]
- Martyn-Nemeth, P.; Phillips, S.A.; Mihailescu, D.; Farabi, S.S.; Park, C.; Lipton, R.; Idemudia, E.; Quinn, L. Poor Sleep Quality Is Associated with Nocturnal Glycaemic Variability and Fear of Hypoglycaemia in Adults with Type 1 Diabetes. J. Adv. Nurs. 2018, 74, 2373–2380. [Google Scholar] [CrossRef]
- Mehrdad, M.; Azarian, M.; Sharafkhaneh, A.; Alavi, A.; Zare, R.; Hassanzadeh Rad, R.; Dalili, S. Association Between Poor Sleep Quality and Glycemic Control in Adult Patients with Diabetes Referred to Endocrinology Clinic of Guilan: A Cross-Sectional Study. Int. J. Endocrinol. Metab. 2021, 20, e118077. [Google Scholar] [CrossRef] [PubMed]
- Suteau, V.; Saulnier, P.-J.; Wargny, M.; Gonder-Frederick, L.; Gand, E.; Chaillous, L.; Allix, I.; Dubois, S.; Bonnet, F.; Leguerrier, A.-M.; et al. Association Between Sleep Disturbances, Fear of Hypoglycemia, and Psychological Well-Being in Adults with Type 1 Diabetes Mellitus: Data from the Cross-Sectional VARDIA Study. Diabetes Res. Clin. Pract. 2020, 160, 107988. [Google Scholar] [CrossRef] [PubMed]
- Angelino, S.; Longo, M.; Caruso, P.; Scappaticcio, L.; Di Martino, N.; Di Lorenzo, C.; Forestiere, D.; Paglionico, V.A.; Bellastella, G.; Maiorino, M.I.; et al. Sleep Quality and Glucose Control in Adults with Type 1 Diabetes during the Seasonal Daylight Saving Time Shifts. Diabetes Res. Clin. Pract. 2024, 217, 111859. [Google Scholar] [CrossRef] [PubMed]
- Cangelosi, G.; Mancin, S.; Pantanetti, P.; Nguyen, C.T.T.; Morales Palomares, S.; Biondini, F.; Sguanci, M.; Petrelli, F. Lifestyle Medicine Case Manager Nurses for Type Two Diabetes Patients: An Overview of a Job Description Framework—A Narrative Review. Diabetology 2024, 5, 375–388. [Google Scholar] [CrossRef]
- Jaser, S.S.; Hamburger, E.R.; Bergner, E.M.; Williams, R.; Slaughter, J.C.; Simmons, J.H.; Malow, B.A. Sleep coach intervention for teens with type 1 diabetes: Randomized pilot study. Pediatr. Diabetes 2020, 21, 473–478. [Google Scholar] [CrossRef]
- Jaser, S.S.; Bergner, E.M.; Hamburger, E.R.; Bhatia, S.; Lyttle, M.; E Bell, G.; Slaughter, J.C.; A Malow, B.; Simmons, J.H. Pilot Trial of a Sleep-Promoting Intervention for Children With Type 1 Diabetes. J. Pediatr. Psychol. 2021, 46, 304–313. [Google Scholar] [CrossRef]
- Morrow, T.; Bhatia, S.H.; Parmar, A.M.; Baker, L.; Abadula, F.; Williamson, D.; Choudhary, A.; Jaser, S.S. Sleep Habits of Early School-Aged Children with Type 1 Diabetes and Their Parents: Family Characteristics and Diabetes Management. Behav. Sleep Med. 2022, 20, 649–658. [Google Scholar] [CrossRef]
- Bisio, A.; A Brown, S.; McFadden, R.; Pajewski, M.; Yu, P.L.; DeBoer, M.D.; Schoelwer, M.J.; Bonner, H.G.; A Wakeman, C.; Cherñavvsky, D.R.; et al. Sleep and diabetes-specific psycho-behavioral outcomes of a new automated insulin delivery system in young children with type 1 diabetes and their parents. Pediatr. Diabetes 2021, 22, 495–502. [Google Scholar] [CrossRef]


| Variable | Derivation for a Given Period |
|---|---|
| Sensor usage (%) | (Number of CGM measurements/(Number of minutes in the period of interest/5) × 100 |
| SG mean, SD, and CV | Mean, SD, and CV of CGM measurements |
| TIR metrics | (Number of CGM measurements in the range of interest/Number of CGM measurements) × 100 |
| Summary Statistic | Total (N = 41) | |
| PSQI | Available Measures (%) | 41 (100.0%) |
| Mean ± SD | 6.0 ± 4.1 | |
| Median (IQR) | 4.0 (3.0–8.0) | |
| Min–Max | 1.0–17.0 | |
| Sleep quality | ||
| Poor sleepers (PSQI greater than 5) | % (n/Available Measures) | 36.6% (15/41) |
| Good sleepers (PSQI lower or equal to 5) | % (n/Available Measures) | 63.4% (26/41) |
| Summary Statistic | Total (N = 41) | Poor Sleepers (N = 15) | Good Sleepers (N = 26) | p-Value | |
|---|---|---|---|---|---|
| Age (years) | Available Measures (%) | 41 (100.0%) | 15 (100.0%) | 26 (100.0%) | 0.850 |
| Mean ± SD | 51.9 ± 11.6 | 52.2 ± 12.3 | 51.7 ± 11.5 | ||
| Median (IQR) | 51.0 (43.0–63.0) | 51.0 (43.0–63.0) | 50.5 (42.0–64.0) | ||
| Min–Max | 26.0–72.0 | 26.0–72.0 | 29.0–70.0 | ||
| Female | % (n/Available Measures) | 41.5% (17/41) | 46.7% (7/15) | 38.5% (10/26) | 0.745 |
| Diabetes duration (years) | Available Measures (%) | 39 (95.1%) | 15 (100.0%) | 24 (92.3%) | 0.058 |
| Mean ± SD | 25.1 ± 14.6 | 19.2 ± 12.0 | 28.8 ± 15.1 | ||
| Median (IQR) | 25.0 (14.0–34.0) | 17.0 (10.0–32.0) | 27.0 (21.5–37.0) | ||
| Min–Max | 1.0–61.0 | 1.0–40.0 | 5.0–61.0 | ||
| BMI (kg/m2) | Available Measures (%) | 39 (95.1%) | 15 (100.0%) | 24 (92.3%) | 0.516 |
| Mean ± SD | 25.0 ± 4.1 | 25.6 ± 3.6 | 24.6 ± 4.4 | ||
| Median (IQR) | 24.9 (21.7–28.7) | 24.9 (23.0–28.7) | 24.6 (20.7–28.6) | ||
| Min–Max | 18.0–32.4 | 19.8–32.2 | 18.0–32.4 | ||
| Smoking habit | |||||
| Current smoker | % (n/Available Measures) | 22.5% (9/40) | 26.7% (4/15) | 20.0% (5/25) | 0.204 |
| Former smoker | % (n/Available Measures) | 15.0% (6/40) | 26.7% (4/15) | 8.0% (2/25) | |
| Non-smoker | % (n/Available Measures) | 62.5% (25/40) | 46.7% (7/15) | 72.0% (18/25) | |
| Device | |||||
| MiniMedTM 780G | % (n/Available Measures) | 68.3% (28/41) | 60.0% (9/15) | 73.1% (19/26) | 0.492 |
| Medtronic Smart MDI | % (n/Available Measures) | 31.7% (13/41) | 40.0% (6/15) | 26.9% (7/26) |
| Summary Statistic | Total (N = 41) | Poor Sleepers (N = 15) | Good Sleepers (N = 26) | p-Value | |
|---|---|---|---|---|---|
| SG mean (mg/dL) | Available Measures (%) | 41 (100.0%) | 15 (100.0%) | 26 (100.0%) | 0.310 |
| Mean ± SD | 153.9 ± 18.3 | 157.5 ± 20.4 | 151.8 ± 17.1 | ||
| Median (IQR) | 150.7 (142.0–168.6) | 159.0 (142.0–172.4) | 149.0 (142.0–162.9) | ||
| Min–Max | 117.0–197.5 | 120.8–194.5 | 117.0–197.5 | ||
| SG SD (mg/dL) | Available Measures (%) | 41 (100.0%) | 15 (100.0%) | 26 (100.0%) | 0.228 |
| Mean ± SD | 47.4 ± 10.7 | 49.4 ± 12.1 | 46.3 ± 9.8 | ||
| Median (IQR) | 44.9 (40.0–51.4) | 49.5 (42.5–53.5) | 42.1 (39.9–48.9) | ||
| Min–Max | 29.9–81.2 | 29.9–81.2 | 35.3–77.3 | ||
| SG CV (%) | Available Measures (%) | 41 (100.0%) | 15 (100.0%) | 26 (100.0%) | 0.598 |
| Mean ± SD | 30.7 ± 5.0 | 31.2 ± 5.6 | 30.4 ± 4.6 | ||
| Median (IQR) | 30.2 (27.3–32.4) | 30.6 (26.1–33.6) | 29.2 (27.3–31.7) | ||
| Min–Max | 21.6–44.8 | 23.2–44.8 | 21.6–43.6 | ||
| TBR2 (%): Time at < 54 mg/dL (%) | Available Measures (%) | 41 (100.0%) | 15 (100.0%) | 26 (100.0%) | 0.250 |
| Mean ± SD | 0.3 ± 0.7 | 0.2 ± 0.3 | 0.4 ± 0.8 | ||
| Median (IQR) | 0.1 (0.0–0.3) | 0.0 (0.0–0.4) | 0.1 (0.0–0.3) | ||
| Min–Max | 0.0–3.9 | 0.0–1.0 | 0.0–3.9 | ||
| TBR1 (%): Time at 54–69 mg/dL (%) | Available Measures (%) | 41 (100.0%) | 15 (100.0%) | 26 (100.0%) | 0.167 |
| Mean ± SD | 1.4 ± 1.9 | 1.3 ± 2.1 | 1.5 ± 1.7 | ||
| Median (IQR) | 0.8 (0.2–1.7) | 0.4 (0.1–1.4) | 1.0 (0.4–2.0) | ||
| Min–Max | 0.0–7.5 | 0.0–6.9 | 0.0–7.5 | ||
| TBR (%): Time at < 70 mg/dL (%) | Available Measures (%) | 41 (100.0%) | 15 (100.0%) | 26 (100.0%) | 0.137 |
| Mean ± SD | 1.7 ± 2.4 | 1.5 ± 2.4 | 1.9 ± 2.4 | ||
| Median (IQR) | 0.9 (0.2–2.1) | 0.5 (0.1–1.8) | 1.1 (0.5–2.3) | ||
| Min–Max | 0.0–11.4 | 0.0–7.5 | 0.0–11.4 | ||
| TIR (%): Time at 70–180 mg/dL (%) | Available Measures (%) | 41 (100.0%) | 15 (100.0%) | 26 (100.0%) | 0.473 |
| Mean ± SD | 72.0 ± 11.5 | 70.0 ± 13.1 | 73.2 ± 10.6 | ||
| Median (IQR) | 73.3 (65.0–81.7) | 70.3 (59.3–81.9) | 75.5 (68.4–81.7) | ||
| Min–Max | 43.5–92.7 | 43.5–92.7 | 44.9–85.8 | ||
| TAR1 (%): Time at 181–250 mg/dL (%) | Available Measures (%) | 41 (100.0%) | 15 (100.0%) | 26 (100.0%) | 0.490 |
| Mean ± SD | 21.3 ± 7.9 | 22.2 ± 9.2 | 20.8 ± 7.2 | ||
| Median (IQR) | 21.3 (15.7–26.9) | 23.2 (16.3–30.5) | 21.2 (15.7–25.9) | ||
| Min–Max | 5.3–36.2 | 5.3–36.2 | 6.7–34.2 | ||
| TAR2 (%): Time at > 250 mg/dL (%) | Available Measures (%) | 41 (100.0%) | 15 (100.0%) | 26 (100.0%) | 0.120 |
| Mean ± SD | 4.9 ± 5.5 | 6.3 ± 6.2 | 4.1 ± 5.0 | ||
| Median (IQR) | 2.6 (1.4–6.5) | 5.1 (1.7–8.4) | 2.4 (1.0–4.9) | ||
| Min–Max | 0.1–20.7 | 0.1–20.3 | 0.1–20.7 | ||
| TAR (%): Time at > 180 mg/dL (%) | Available Measures (%) | 41 (100.0%) | 15 (100.0%) | 26 (100.0%) | 0.365 |
| Mean ± SD | 26.2 ± 12.3 | 28.5 ± 14.0 | 24.9 ± 11.3 | ||
| Median (IQR) | 23.7 (17.2–35.0) | 29.7 (17.9–40.5) | 23.6 (16.9–31.0) | ||
| Min–Max | 5.4–56.1 | 5.4–56.1 | 7.3–54.9 | ||
| GMI (%) | Available Measures (%) | 41 (100.0%) | 15 (100.0%) | 26 (100.0%) | 0.310 |
| Mean ± SD | 7.0 ± 0.4 | 7.1 ± 0.5 | 6.9 ± 0.4 | ||
| Median (IQR) | 6.9 (6.7–7.3) | 7.1 (6.7–7.4) | 6.9 (6.7–7.2) | ||
| Min–Max | 6.1–8.0 | 6.2–8.0 | 6.1–8.0 |
| Summary Statistic | Total (N = 41) | Poor Sleepers (N = 15) | Good Sleepers (N = 26) | p-Value | |
|---|---|---|---|---|---|
| SG mean (mg/dL) | Available Measures (%) | 41 (100.0%) | 15 (100.0%) | 26 (100.0%) | 0.379 |
| Mean ± SD | 153.0 ± 22.5 | 157.5 ± 24.5 | 150.5 ± 21.3 | ||
| Median (IQR) | 147.5 (141.0–164.5) | 150.5 (142.0–174.0) | 147.1 (135.3–161.0) | ||
| Min–Max | 121.3–213.9 | 121.3–204.5 | 122.0–213.9 | ||
| SG SD (mg/dL) | Available Measures (%) | 41 (100.0%) | 15 (100.0%) | 26 (100.0%) | 0.113 |
| Mean ± SD | 44.1 ± 12.6 | 48.1 ± 13.5 | 41.7 ± 11.6 | ||
| Median (IQR) | 41.4 (35.5–49.8) | 49.8 (34.4–54.9) | 40.1 (35.5–45.8) | ||
| Min–Max | 26.8–84.6 | 27.8–72.9 | 26.8–84.6 | ||
| SG CV (%) | Available Measures (%) | 41 (100.0%) | 15 (100.0%) | 26 (100.0%) | 0.091 |
| Mean ± SD | 28.7 ± 5.9 | 30.6 ± 7.3 | 27.5 ± 4.8 | ||
| Median (IQR) | 28.3 (24.2–31.6) | 29.9 (24.2–35.0) | 28.0 (23.7–29.5) | ||
| Min–Max | 17.4–42.5 | 17.4–42.5 | 19.0–39.6 | ||
| TBR2 (%): Time at < 54 mg/dL (%) | Available Measures (%) | 41 (100.0%) | 15 (100.0%) | 26 (100.0%) | 0.977 |
| Mean ± SD | 0.3 ± 0.8 | 0.3 ± 0.7 | 0.3 ± 0.9 | ||
| Median (IQR) | 0.0 (0.0–0.1) | 0.0 (0.0–0.1) | 0.0 (0.0–0.2) | ||
| Min–Max | 0.0–4.2 | 0.0–1.9 | 0.0–4.2 | ||
| TBR1 (%): Time at 54–69 mg/dL (%) | Available Measures (%) | 41 (100.0%) | 15 (100.0%) | 26 (100.0%) | 0.691 |
| Mean ± SD | 1.2 ± 2.2 | 1.5 ± 3.1 | 1.0 ± 1.5 | ||
| Median (IQR) | 0.5 (0.0–1.2) | 0.4 (0.0–0.9) | 0.6 (0.0–1.4) | ||
| Min–Max | 0.0–9.9 | 0.0–9.9 | 0.0–5.5 | ||
| TBR (%): Time at < 70 mg/dL (%) | Available Measures (%) | 41 (100.0%) | 15 (100.0%) | 26 (100.0%) | 0.711 |
| Mean ± SD | 1.5 ± 2.8 | 1.8 ± 3.8 | 1.4 ± 2.2 | ||
| Median (IQR) | 0.5 (0.0–1.3) | 0.4 (0.0–1.0) | 0.6 (0.0–1.7) | ||
| Min–Max | 0.0–11.8 | 0.0–11.8 | 0.0–9.5 | ||
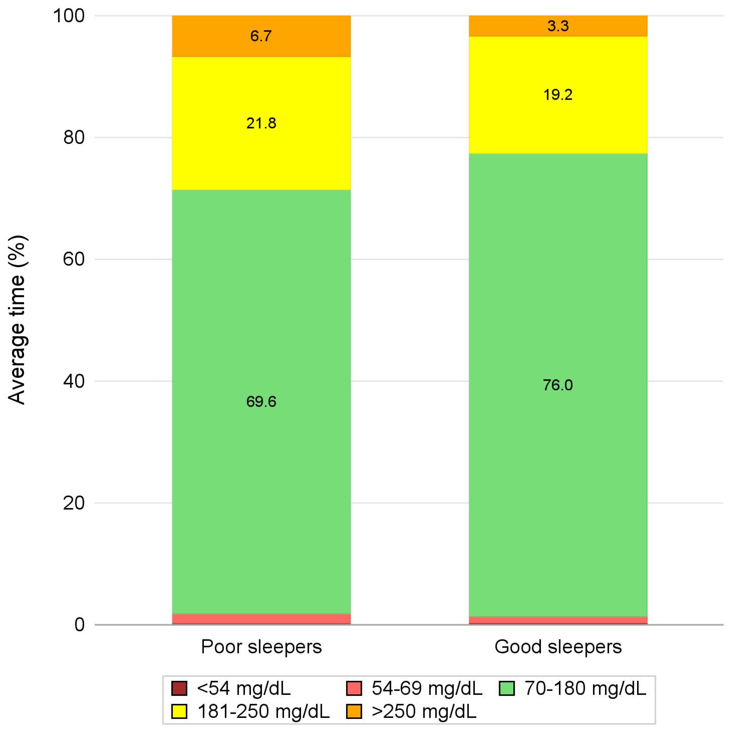
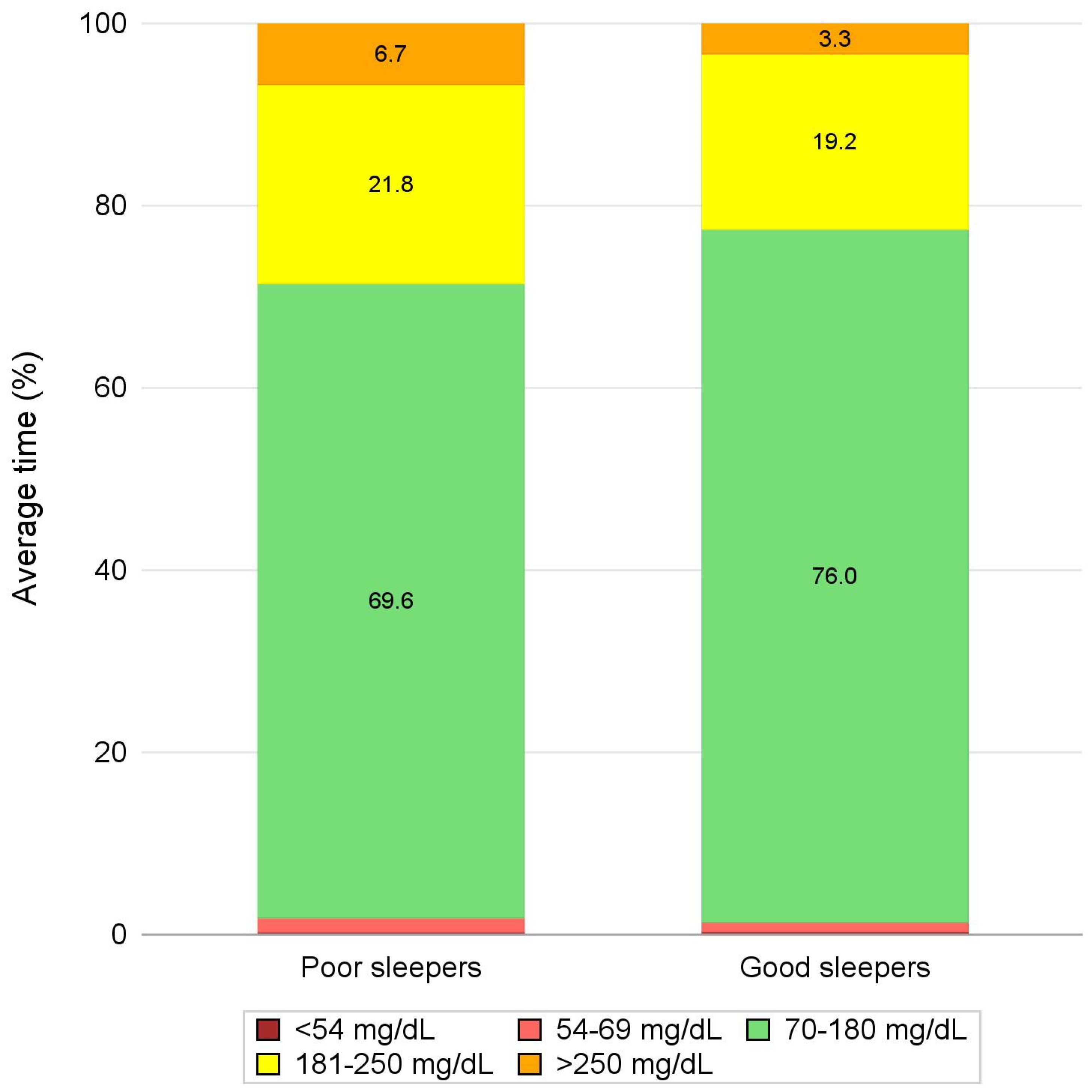
| TIR (%): Time at 70–180 mg/dL (%) | Available Measures (%) | 41 (100.0%) | 15 (100.0%) | 26 (100.0%) | 0.163 |
| Mean ± SD | 73.7 ± 15.7 | 69.6 ± 16.9 | 76.0 ± 14.9 | ||
| Median (IQR) | 77.3 (66.8–85.3) | 71.0 (60.1–84.2) | 78.7 (70.3–86.5) | ||
| Min–Max | 32.6–95.3 | 37.8–95.1 | 32.6–95.3 | ||
| TAR1 (%): Time at 181–250 mg/dL (%) | Available Measures (%) | 41 (100.0%) | 15 (100.0%) | 26 (100.0%) | 0.636 |
| Mean ± SD | 20.2 ± 10.8 | 21.8 ± 12.7 | 19.2 ± 9.6 | ||
| Median (IQR) | 19.1 (12.1–26.2) | 19.5 (12.1–30.1) | 17.9 (12.1–24.0) | ||
| Min–Max | 3.8–53.6 | 3.8–53.6 | 4.6–43.6 | ||
| TAR2 (%): Time at > 250 mg/dL (%) | Available Measures (%) | 41 (100.0%) | 15 (100.0%) | 26 (100.0%) | 0.013 |
| Mean ± SD | 4.6 ± 6.7 | 6.7 ± 7.2 | 3.3 ± 6.2 | ||
| Median (IQR) | 1.8 (0.5–5.6) | 4.9 (1.4–10.6) | 1.1 (0.5–2.8) | ||
| Min–Max | 0.0–27.7 | 0.3–27.7 | 0.0–27.3 | ||
| TAR (%): Time at > 180 mg/dL (%) | Available Measures (%) | 41 (100.0%) | 15 (100.0%) | 26 (100.0%) | 0.310 |
| Mean ± SD | 24.8 ± 16.0 | 28.5 ± 17.7 | 22.6 ± 14.9 | ||
| Median (IQR) | 20.6 (13.2–33.2) | 24.5 (13.5–39.9) | 19.8 (12.6–27.0) | ||
| Min–Max | 4.1–65.0 | 4.1–61.2 | 4.7–65.0 | ||
| GMI (%): | Available Measures (%) | 41 (100.0%) | 15 (100.0%) | 26 (100.0%) | 0.379 |
| Mean ± SD | 7.0 ± 0.5 | 7.1 ± 0.6 | 6.9 ± 0.5 | ||
| Median (IQR) | 6.8 (6.7–7.2) | 6.9 (6.7–7.5) | 6.8 (6.5–7.2) | ||
| Min–Max | 6.2–8.4 | 6.2–8.2 | 6.2–8.4 |
Disclaimer/Publisher’s Note: The statements, opinions and data contained in all publications are solely those of the individual author(s) and contributor(s) and not of MDPI and/or the editor(s). MDPI and/or the editor(s) disclaim responsibility for any injury to people or property resulting from any ideas, methods, instructions or products referred to in the content. |
© 2025 by the authors. Licensee MDPI, Basel, Switzerland. This article is an open access article distributed under the terms and conditions of the Creative Commons Attribution (CC BY) license (https://creativecommons.org/licenses/by/4.0/).
Share and Cite
Pantanetti, P.; Biondini, F.; Mancin, S.; Sguanci, M.; Masini, A.; Panella, M.; Palomares, S.M.; Ferrara, G.; Petrelli, F.; Cangelosi, G. Sleep Quality and Glycemic Control in Type 1 Diabetes: A Retrospective Cohort Study Using Advanced Technological Devices. Diabetology 2025, 6, 21. https://doi.org/10.3390/diabetology6030021
Pantanetti P, Biondini F, Mancin S, Sguanci M, Masini A, Panella M, Palomares SM, Ferrara G, Petrelli F, Cangelosi G. Sleep Quality and Glycemic Control in Type 1 Diabetes: A Retrospective Cohort Study Using Advanced Technological Devices. Diabetology. 2025; 6(3):21. https://doi.org/10.3390/diabetology6030021
Chicago/Turabian StylePantanetti, Paola, Federico Biondini, Stefano Mancin, Marco Sguanci, Alice Masini, Massimiliano Panella, Sara Morales Palomares, Gaetano Ferrara, Fabio Petrelli, and Giovanni Cangelosi. 2025. "Sleep Quality and Glycemic Control in Type 1 Diabetes: A Retrospective Cohort Study Using Advanced Technological Devices" Diabetology 6, no. 3: 21. https://doi.org/10.3390/diabetology6030021
APA StylePantanetti, P., Biondini, F., Mancin, S., Sguanci, M., Masini, A., Panella, M., Palomares, S. M., Ferrara, G., Petrelli, F., & Cangelosi, G. (2025). Sleep Quality and Glycemic Control in Type 1 Diabetes: A Retrospective Cohort Study Using Advanced Technological Devices. Diabetology, 6(3), 21. https://doi.org/10.3390/diabetology6030021

