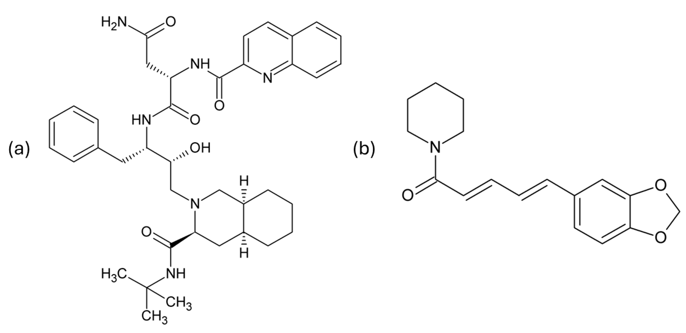
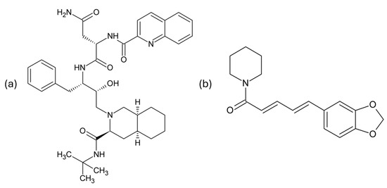
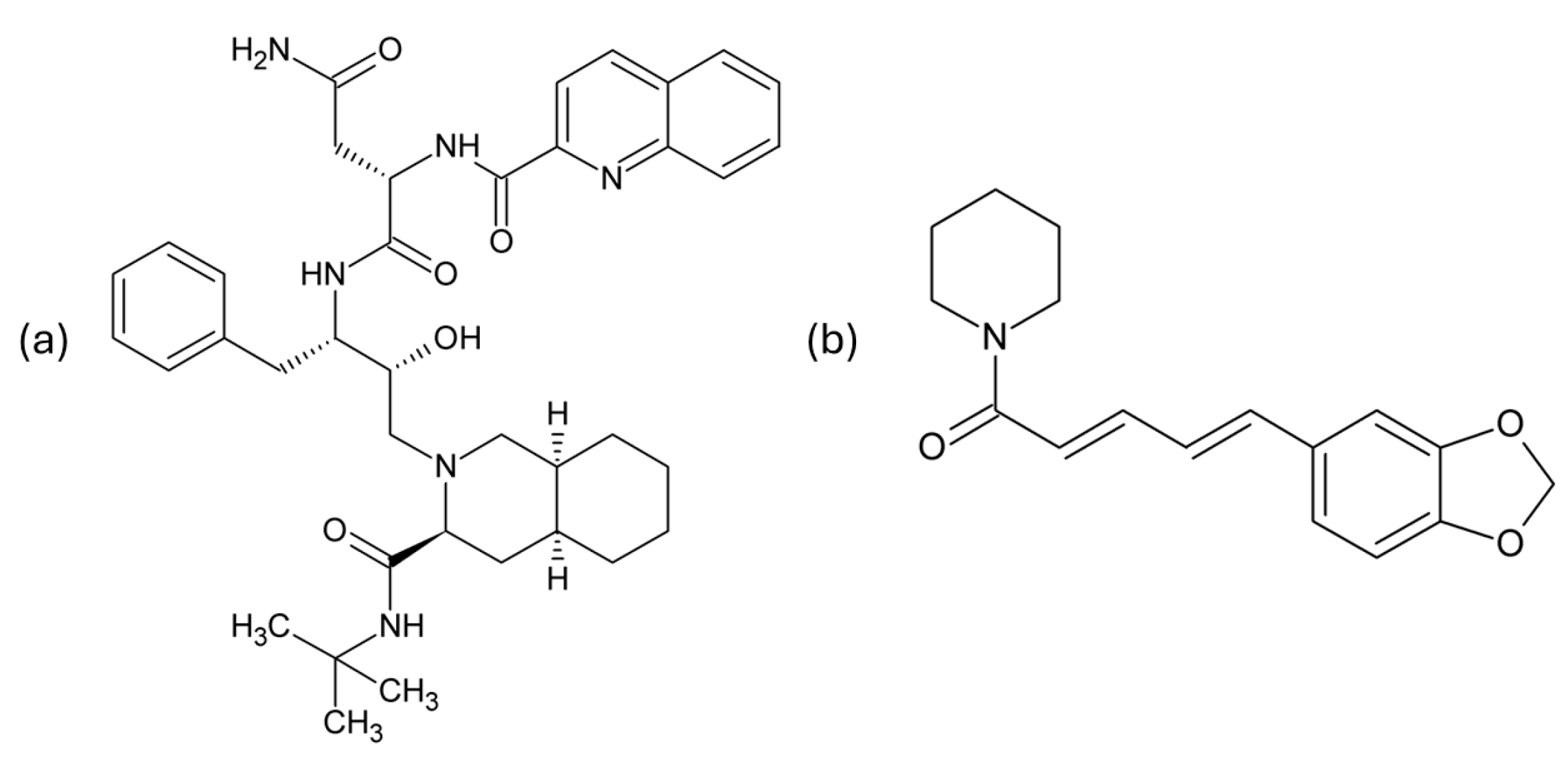
A First-Order Derivative Spectrophotometric Method for the Quantification of Saquinavir in the Presence of Piperine in a Eutectic Mixture
Abstract
1. Introduction
2. Materials and Methods
2.1. Instruments
2.2. Solvents and Chemicals
2.3. Standard Solution of SQV and PIP
2.4. Preparation of SQV-PIP Eutectic Mixture (EM) and Solutions
3. Results
3.1. EM Preparation and Characterization
3.2. First-Order Derivative Spectrophotometric Optimal Wavelengths
3.3. Method Validation
3.3.1. Linearity
3.3.2. Detection and Quantification Limits
3.3.3. Precision
3.3.4. Accuracy
3.3.5. Specificity
3.3.6. Robustness
4. Conclusions
Author Contributions
Funding
Data Availability Statement
Acknowledgments
Conflicts of Interest
References
- Pereira, M.; Vale, N. Saquinavir: From HIV to COVID-19 and Cancer Treatment. Biomolecules 2022, 12, 944. [Google Scholar] [CrossRef]
- Branham, M.L.; Moyo, T.; Govender, T. Preparation and Solid-State Characterization of Ball Milled Saquinavir Mesylate for Solubility Enhancement. Eur. J. Pharm. Biopharm. 2012, 80, 194–202. [Google Scholar] [CrossRef]
- Fandaruff, C.; Quirós-Fallas, M.I.; Vega-Baudrit, J.R.; Navarro-Hoyos, M.; Lamas, D.G.; Araya-Sibaja, A.M. Saquinavir-Piperine Eutectic Mixture: Preparation, Characterization, and Dissolution Profile. Pharmaceutics 2023, 15, 2446. [Google Scholar] [CrossRef]
- Meghwal, M.; Goswami, T.K. Piper Nigrum and Piperine: An Update. Phytother. Res. 2013, 27, 1121–1130. [Google Scholar] [CrossRef]
- Kumar-Sarangi, M.; Chandra-Joshi, B.; Ritchie, B. Natural Bioenhancers in Drug Delivery: An Overview. Puerto Rico Health Sci. J. 2018, 37, 12–18. [Google Scholar]
- Cherukuvada, S.; Nangia, A. Eutectics as Improved Pharmaceutical Materials: Design, Properties and Characterization. Chem. Commun. 2014, 50, 906–923. [Google Scholar] [CrossRef] [PubMed]
- Górniak, A.; Złocińska, A.; Trojan, M.; Pęcak, A.; Karolewicz, B. Preformulation Studies of Ezetimibe-Simvastatin Solid Dispersions in the Development of Fixed-Dose Combinations. Pharmaceutics 2022, 14, 912. [Google Scholar] [CrossRef] [PubMed]
- Yang, Z.; Ma, R.; Chen, Y.; Zhang, Y.; Liu, X.; Liu, B.-F.; Zhang, G.; Hao, C. Drug-Drug Eutectic Mixtures of Celecoxib with Tapentadol and Milnacipran Which Could Improve Analgesic and Antidepressant Efficacy. J. Drug Deliv. Sci. Technol. 2022, 67, 102995. [Google Scholar] [CrossRef]
- Mujawar, T.; Ahmad, S.; Tajane, P.; Sable, V.; Gaikwad, A.; Tare, H. Development and Validation of Ultraviolet Spectrophotometric Method for Saquinavir Estimation in Bulk and Dosage Form. Multidiscip. Sci. J. 2023, 5, e2023020. [Google Scholar] [CrossRef]
- US Pharmacopeia (USP). United States Pharmacopeia USP Monographs, Saquinavir Mesylate; US Pharmacopeia (USP): Frederick, MD, USA, 2023. [Google Scholar]
- US Pharmacopeia (USP). United States Pharmacopeia Dietary Supplement Monographs, Powdered Black Pepper Extract; US Pharmacopeia (USP): Frederick, MD, USA, 2023. [Google Scholar]
- Menezes Gama, R.G.; Ramos, A.d.S.; Amaral, A.C.F. A Diagnostic Tool for Good Chromatographic Practices Applied to HPLC in Pharmaceutical Quality Control. Curr. Pharm. Anal. 2023, 19, 558–576. [Google Scholar] [CrossRef]
- Gupta, M.K.; Ghuge, A.; Parab, M.; Al-Refaei, Y.; Khandare, A.; Dand, N.; Waghmare, N. A Comparative Review on High-Performance Liquid Chromatography (HPLC), Ultra Performance Liquid Chromatography (UPLC) & High-Performance Thin Layer Chromatography (HPTLC) with Current Updates. Curr. Issues Pharm. Med. Sci. 2022, 35, 224–228. [Google Scholar] [CrossRef]
- Lehmann, A.; Krollik, K.; Beran, K.; Hirtreiter, C.; Kubas, H.; Wagner, C. Increasing the Robustness of Biopharmaceutical Precipitation Assays—Part I: Derivative UV Spectrophotometric Method Development for in-Line Measurements. J. Pharm. Sci. 2022, 111, 146–154. [Google Scholar] [CrossRef] [PubMed]
- Bosch Ojeda, C.; Sanchez Rojas, F. Recent Applications in Derivative Ultraviolet/Visible Absorption Spectrophotometry: 2009–2011. Microchem. J. 2013, 106, 1–16. [Google Scholar] [CrossRef]
- Balbinot Filho, C.A.; Teixeira, R.F.; Dias, J.L.; Rebelatto, E.A.; Lanza, M. First-Order Derivative Spectrophotometry for Simultaneous Determination of Vitamin C and Nicotinamide: Application in Quantitative Analysis of Cocrystals. ACS Omega 2024, 9, 28776–28783. [Google Scholar] [CrossRef] [PubMed]
- Bhagyalakshmi, C.; Rekha, T.N.; Sagheer, A.S.; Tripathy, A.; Ramesh, B.; Manish, M. Simple and Economical Uv-Spectrophotometric Method for Simultaneous Estimation of Chlorthalidone and Nebivolol in Combined Tablet Dosage Form: An Alternative Approach to the HPLC Method. J. Appl. Spectrosc. 2024, 90, 1384–1394. [Google Scholar] [CrossRef]
- Elgendy, K.H.; Zaky, M.; Altorky, A.E.M.M.; Fadel, S. Determination of Levofloxacin, Norfloxacin, and Moxifloxacin in Pharmaceutical Dosage Form or Individually Using Derivative UV Spectrophotometry. BMC Chem. 2024, 18, 115. [Google Scholar] [CrossRef] [PubMed]
- Roshdy, A.; Salam, R.A.; Hadad, G.; Belal, F.; Elmansi, H. Fast Concurrent Determination of Guaifenesin and Pholcodine in Formulations and Spiked Plasma Using First Derivative Synchronous Spectrofluorimetric Approach. Luminescence 2024, 39, e4660. [Google Scholar] [CrossRef] [PubMed]
- Passos, M.L.; Saraiva, M.L.M. Detection in UV-Visible Spectrophotometry: Detectors, Detection Systems, and Detection Strategies. Measurement 2019, 135, 896–904. [Google Scholar] [CrossRef]
- Magnusson, B.; Örnemark, U. Eurachem Guide: The Fitness for Purpose of Analytical Methods—A Laboratory Guide to Method Validation and Related Topics; Eurachem: Zug, Switzerland, 2014. [Google Scholar]
- Chavan, S.D.; Desai, D.M. Analytical Method Validation: A Brief Review. World J. Adv. Res. Rev. 2022, 16, 389–402. [Google Scholar] [CrossRef]
- Van Loco, J.; Elskens, M.; Croux, C.; Beernaert, H. Linearity of Calibration Curves: Use and Misuse of the Correlation Coefficient. Accredit. Qual. Assur. 2002, 7, 281–285. [Google Scholar] [CrossRef]
- Shrivastava, A.; Gupta, V. Methods for the Determination of Limit of Detection and Limit of Quantitation of the Analytical Methods. Chron. Young Sci. 2011, 2, 21–25. [Google Scholar] [CrossRef]
- Kakad, S.B.; Kolhe, M.H.; Dukre, T.P. A Review on Pharmaceutical Validation. Int. J. Pharm. Qual. Assur. 2020, 11, 338–342. [Google Scholar] [CrossRef]
- Roche Pharmaceuticals. Invirase HCP Letter; Roche Pharmaceuticals: Mississauga, ON, USA, 2005. [Google Scholar]
- Hechhu, R.; Karnakar, N.; Ramana, H.; Amani, P.; Tharun, S.; Nagaraju, M.; Sharma, S.B. Analytical Method Development and Validation of Diclofenac Sodium by UV-Visible Spectroscopy Using AUC Method. Int. J. Multidiscip. Res. Dev. 2020, 6, 20–24. [Google Scholar]
- Lee, D.K.; In, J.; Lee, S. Standard Deviation and Standard Error of the Mean. Korean J. Anesthesiol. 2015, 68, 220–223. [Google Scholar] [CrossRef] [PubMed]
- Borman, P.; Elder, D. Q2(R1) Validation of Analytical Procedures. In ICH Quality Guidelines; Wiley: Hoboken, NJ, USA, 2017; pp. 127–166. [Google Scholar]
- Kadian, N.; Raju, K.S.R.; Rashid, M.; Malik, M.Y.; Taneja, I.; Wahajuddin, M. Comparative Assessment of Bioanalytical Method Validation Guidelines for Pharmaceutical Industry. J. Pharm. Biomed. Anal. 2016, 126, 83–97. [Google Scholar] [CrossRef]
- Sharma, S.; Goyal, S.; Chauhan, K. A Review On Analytical Method Development And Validation. Int. J. Appl. Pharm. 2018, 10, 8. [Google Scholar] [CrossRef]



| Regression Statistics | Value | 
|---|---|
| Slope (10−3) | −3.82 | 
| Intercept (10−5) | −7.46 | 
| Correlation coefficient | 0.9966 | 
| Standard deviation of the slope (10−5) | 7.81 | 
| Standard deviation of the intercept (10−4) | 5.02 | 
| F Test | F = 2398.83841 | 
| FCritical Value = 7.13538 (10−19) | |
| Test of significance of the slope | texperimental = −48.977938 | 
| p-Value: 7.3154 (10−19) | |
| Test of significance of the intercept | texperimental = −0.1486156 | 
| p-Value: 0.88371388 | 
| Precision | Average | SD | %CV | 
|---|---|---|---|
| Intraday | 4.917 | 0.102 | 2.08 | 
| Interday | 5.000 | 0.125 | 2.50 | 
| Concentration Level | Theorical Concentration (mg/L) | Experimental Concentration (mg/L) | Recovery | SD | %CV | 
|---|---|---|---|---|---|
| 42% | 7.303 | 7.458 | 107% | 0.16 | 1.64 | 
| 64% | 8.392 | 8.625 | 107% | 0.00 | 0.00 | 
| 85% | 9.481 | 9.625 | 103% | 0.13 | 1.73 | 
| Ratio SQV:PIP | Theorical Concentration (mg/L) | Experimental Concentration (mg/L) | Recovery | SD | 
|---|---|---|---|---|
| 1:1 | 5.1250 | 5.1250 | 100.00% | 0.43 | 
| 1:2.5 | 5.1250 | 4.8750 | 95.12% | 0.17 | 
| 1:4.3 | 5.1250 | 4.6250 | 90.24% | 0.15 | 
| Time (h) | Theorical Concentration (mg/L) | Experimental Concentration (mg/L) | SD | 
|---|---|---|---|
| 2 | 6.00 | 5.59 | 0.63 | 
| 4 | 5.59 | 0.24 | |
| 6 | 5.59 | 0.58 | 
| Equipment | Average (mg/L) | p Value | 
|---|---|---|
| Shimadzu UV-180 | 2.9268 | 0.004 | 
| Genesys 150 | 2.5655 | 
| Disclaimer/Publisher’s Note: The statements, opinions and data contained in all publications are solely those of the individual author(s) and contributor(s) and not of MDPI and/or the editor(s). MDPI and/or the editor(s) disclaim responsibility for any injury to people or property resulting from any ideas, methods, instructions or products referred to in the content. | 
© 2024 by the authors. Licensee MDPI, Basel, Switzerland. This article is an open access article distributed under the terms and conditions of the Creative Commons Attribution (CC BY) license (https://creativecommons.org/licenses/by/4.0/).
Share and Cite
Quesada-Soto, T.; Vargas-Huertas, L.F.; Vega-Baudrit, J.R.; Navarro-Hoyos, M.; Araya-Sibaja, A.M. A First-Order Derivative Spectrophotometric Method for the Quantification of Saquinavir in the Presence of Piperine in a Eutectic Mixture. Analytica 2024, 5, 632-640. https://doi.org/10.3390/analytica5040042
Quesada-Soto T, Vargas-Huertas LF, Vega-Baudrit JR, Navarro-Hoyos M, Araya-Sibaja AM. A First-Order Derivative Spectrophotometric Method for the Quantification of Saquinavir in the Presence of Piperine in a Eutectic Mixture. Analytica. 2024; 5(4):632-640. https://doi.org/10.3390/analytica5040042
Chicago/Turabian StyleQuesada-Soto, Tamara, Luis Felipe Vargas-Huertas, José Roberto Vega-Baudrit, Mirtha Navarro-Hoyos, and Andrea Mariela Araya-Sibaja. 2024. "A First-Order Derivative Spectrophotometric Method for the Quantification of Saquinavir in the Presence of Piperine in a Eutectic Mixture" Analytica 5, no. 4: 632-640. https://doi.org/10.3390/analytica5040042
APA StyleQuesada-Soto, T., Vargas-Huertas, L. F., Vega-Baudrit, J. R., Navarro-Hoyos, M., & Araya-Sibaja, A. M. (2024). A First-Order Derivative Spectrophotometric Method for the Quantification of Saquinavir in the Presence of Piperine in a Eutectic Mixture. Analytica, 5(4), 632-640. https://doi.org/10.3390/analytica5040042
 
        



 
                         
       