Refinement of Retention Indices in Gas Chromatography for a Number of Substituted Phenols
Abstract
1. Introduction
2. Materials and Methods
3. Results and Discussion
3.1. Chlorophenols
3.2. Other Substituted Phenols
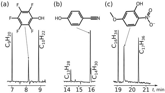
3.3. Causes for Incorrect Retention Indices to Be Included in the NIST Database and Methodological Recommendations
4. Conclusions
Supplementary Materials
Author Contributions
Funding
Data Availability Statement
Conflicts of Interest
References
- Stich, H.F. The Beneficial and Hazardous Effects of Simple Phenolic Compounds. Mutat. Res. Genet. Toxicol. 1991, 259, 307–324. [Google Scholar] [CrossRef] [PubMed]
- Yadav, S.; Kumar, S.; Haritash, A.K. A Comprehensive Review of Chlorophenols: Fate, Toxicology and Its Treatment. J. Environ. Manag. 2023, 342, 118254. [Google Scholar] [CrossRef] [PubMed]
- Igbinosa, E.O.; Odjadjare, E.E.; Chigor, V.N.; Igbinosa, I.H.; Emoghene, A.O.; Ekhaise, F.O.; Igiehon, N.O.; Idemudia, O.G. Toxicological Profile of Chlorophenols and Their Derivatives in the Environment: The Public Health Perspective. Sci. World J. 2013, 2013, 460215. [Google Scholar] [CrossRef] [PubMed]
- Abrahamsson, K.; Xie, T.M. Direct Determination of Trace Amounts of Chlorophenols in Fresh Water, Waste Water and Sea Water. J. Chromatogr. A 1983, 279, 199–208. [Google Scholar] [CrossRef] [PubMed]
- Pan, Y.; Wang, Y.; Li, A.; Xu, B.; Xian, Q.; Shuang, C.; Shi, P.; Zhou, Q. Detection, Formation and Occurrence of 13 New Polar Phenolic Chlorinated and Brominated Disinfection Byproducts in Drinking Water. Water Res. 2017, 112, 129–136. [Google Scholar] [CrossRef]
- Kim, D.-H.; Choi, S.; Park, J.; Kim, K.; Oh, J.-E. Phenolic Compounds in the Freshwater Environment in South Korea: Occurrence and Tissue-Specific Distribution. Sci. Total Environ. 2023, 905, 166914. [Google Scholar] [CrossRef]
- Ge, T.; Han, J.; Qi, Y.; Gu, X.; Ma, L.; Zhang, C.; Naeem, S.; Huang, D. The Toxic Effects of Chlorophenols and Associated Mechanisms in Fish. Aquat. Toxicol. 2017, 184, 78–93. [Google Scholar] [CrossRef]
- Kishino, T.; Kobayashi, K. Relation between Toxicity and Accumulation of Chlorophenols at Various pH, and Their Absorption Mechanism in Fish. Water Res. 1995, 29, 431–442. [Google Scholar] [CrossRef]
- Wang, Y.; Liu, H.; Yang, X.; Wang, L. Aquatic Toxicity and Aquatic Ecological Risk Assessment of Wastewater-Derived Halogenated Phenolic Disinfection Byproducts. Sci. Total Environ. 2022, 809, 151089. [Google Scholar] [CrossRef]
- Czaplicka, M. Sources and Transformations of Chlorophenols in the Natural Environment. Sci. Total Environ. 2004, 322, 21–39. [Google Scholar] [CrossRef]
- Ge, F.; Zhu, L.; Wang, J. Distribution of Chlorination Products of Phenols under Various pHs in Water Disinfection. Desalination 2008, 225, 156–166. [Google Scholar] [CrossRef]
- Smith, C.J. The Relative Toxicity of Substituted Phenols Reported in Cigarette Mainstream Smoke. Toxicol. Sci. 2002, 69, 265–278. [Google Scholar] [CrossRef] [PubMed]
- Aruoja, V.; Sihtmäe, M.; Dubourguier, H.-C.; Kahru, A. Toxicity of 58 Substituted Anilines and Phenols to Algae Pseudokirchneriella Subcapitata and Bacteria Vibrio Fischeri: Comparison with Published Data and QSARs. Chemosphere 2011, 84, 1310–1320. [Google Scholar] [CrossRef] [PubMed]
- Kido Soule, M.C.; Hore, D.K.; Jaramillo-Fellin, D.M.; Richmond, G.L. Differing Adsorption Behavior of Environmentally Important Cyanophenol Isomers at the Air−Water Interface. J. Phys. Chem. B 2006, 110, 16575–16583. [Google Scholar] [CrossRef]
- Georgieva, M.K.; Angelova, P.N.; Binev, I.G. The Conversion of 3- and 4-Hydroxybenzonitriles (m- and p-Cyanophenols) into Oxyanions, Followed by IR Spectra, Ab Initio and Density Functional Calculations. J. Mol. Struct. 2004, 692, 23–35. [Google Scholar] [CrossRef]
- ALOthman, Z.A.; Badjah, A.Y.; Locatelli, M.; Ali, I. Multi-Walled Carbon Nanotubes Solid-Phase Extraction and Capillary Electrophoresis Methods for the Analysis of 4-Cyanophenol and 3-Nitrophenol in Water. Molecules 2020, 25, 3893. [Google Scholar] [CrossRef]
- Matos, M.A.R.; Miranda, M.S.; Morais, V.M.F. Thermochemical Study of the Cyanophenol Isomers. Struct. Chem. 2004, 15, 103–116. [Google Scholar] [CrossRef]
- Rajkumar, C.; Kim, H. 4-Cyanophenol Herbicide Sensor Using Multi-Walled Carbon Nanotube Embedded Dual-Microporous Polypyrrole Nanoparticles as Metal-Free and Environmentally Friendly Hybrid Electrode. Microchim. Acta 2023, 190, 197. [Google Scholar] [CrossRef]
- Deng, W.; Zhao, W.; Yang, Y. Degradation and Detoxification of Chlorophenols with Different Structure by LAC-4 Laccase Purified from White-Rot Fungus Ganoderma Lucidum. Int. J. Environ. Res. Public Health 2022, 19, 8150. [Google Scholar] [CrossRef]
- Montenegro, I.P.F.M.; Mucha, A.P.; Tomasino, M.P.; Gomes, C.R.; Almeida, C.M.R. Alkylphenols and Chlorophenols Remediation in Vertical Flow Constructed Wetlands: Removal Efficiency and Microbial Community Response. Water 2021, 13, 715. [Google Scholar] [CrossRef]
- Bizzo, H.R.; Brilhante, N.S.; Nolvachai, Y.; Marriott, P.J. Use and Abuse of Retention Indices in Gas Chromatography. J. Chromatogr. A 2023, 1708, 464376. [Google Scholar] [CrossRef] [PubMed]
- Zhang, J.; Koo, I.; Wang, B.; Gao, Q.-W.; Zheng, C.-H.; Zhang, X. A Large Scale Test Dataset to Determine Optimal Retention Index Threshold Based on Three Mass Spectral Similarity Measures. J. Chromatogr. A 2012, 1251, 188–193. [Google Scholar] [CrossRef] [PubMed]
- Babushok, V.I. Chromatographic Retention Indices in Identification of Chemical Compounds. TrAC Trends Anal. Chem. 2015, 69, 98–104. [Google Scholar] [CrossRef]
- Stein, S.E.; Babushok, V.I.; Brown, R.L.; Linstrom, P.J. Estimation of Kováts Retention Indices Using Group Contributions. J. Chem. Inf. Model. 2007, 47, 975–980. [Google Scholar] [CrossRef]
- Garg, R.; Kurup, A.; Hansch, C. Comparative QSAR: On the Toxicology of the Phenolic OH Moiety. Crit. Rev. Toxicol. 2001, 31, 223–245. [Google Scholar] [CrossRef]
- Selassie, C.; Verma, R.P. QSAR of Toxicology of Substituted Phenols. J. Pestic. Sci. 2015, 40, 1–12. [Google Scholar] [CrossRef]
- Kováts, E. Gas-chromatographische Charakterisierung Organischer Verbindungen. Teil 1: Retentionsindices Aliphatischer Halogenide, Alkohole, Aldehyde Und Ketone. Helv. Chim. Acta 1958, 41, 1915–1932. [Google Scholar] [CrossRef]
- Van Den Dool, H.; Kratz, P.D. A Generalization of the Retention Index System Including Linear Temperature Programmed Gas—Liquid Partition Chromatography. J. Chromatogr. A 1963, 11, 463–471. [Google Scholar] [CrossRef]
- Matyushin, D.D.; Sholokhova, A.Y. Large-Scale Statistical Study of the Dependence of Retention Index on Heating Rate in Temperature-Programmed Gas Chromatography. J. Chromatogr. A 2024, 1732, 465223. [Google Scholar] [CrossRef]
- Babushok, V.I.; Linstrom, P.J.; Reed, J.J.; Zenkevich, I.G.; Brown, R.L.; Mallard, W.G.; Stein, S.E. Development of a Database of Gas Chromatographic Retention Properties of Organic Compounds. J. Chromatogr. A 2007, 1157, 414–421. [Google Scholar] [CrossRef]
- Khrisanfov, M.D.; Matyushin, D.D.; Samokhin, A.S. A General Procedure for Finding Potentially Erroneous Entries in the Database of Retention Indices. Anal. Chim. Acta 2024, 1297, 342375. [Google Scholar] [CrossRef] [PubMed]
- Matyushin, D.D.; Karnaeva, A.E.; Sholokhova, A.Y. Critical Evaluation of the NIST Retention Index Database Reliability with Specific Examples. Anal. Bioanal. Chem. 2024, 416, 6181–6186. [Google Scholar] [CrossRef] [PubMed]
- Pokajewicz, K. Enhancing Terpene and Other Plant Volatiles Analysis—A Free Spreadsheet Tool “Retentify” for GC–MS Data Processing. Microchem. J. 2023, 193, 108977. [Google Scholar] [CrossRef]
- Matyushin, D.D.; Sholokhova, A.Y.; Buryak, A.K. A Deep Convolutional Neural Network for the Estimation of Gas Chromatographic Retention Indices. J. Chromatogr. A 2019, 1607, 460395. [Google Scholar] [CrossRef]
- A Data Set of Retention Indices and Retention Times for 200+ Molecules and Two Stationary Phases (Gas Chromatography). Available online: https://figshare.com/articles/dataset/A_data_set_of_retention_indices_and_retention_times_for_200_molecules_and_two_stationary_phases_gas_chromatography_/26119558 (accessed on 19 November 2024).
- Korhonen, I.O.O. Gas—Liquid Chromatographic Analyses. J. Chromatogr. A 1984, 315, 185–200. [Google Scholar] [CrossRef]
- Waggott, A.; Davies, I.W. Identification of Organic Pollutants Using Linear Temperature Programmed Retention Indices (LTPRIs). 1984. Available online: https://dwi-content.s3.eu-west-2.amazonaws.com/wp-content/uploads/2020/10/27110228/dwi0382.pdf (accessed on 19 November 2024).
- Evans, M.B.; Haken, J.K. Dispersion and Selectivity Indices in Gas Chromatography. J. Chromatogr. A 1989, 468, 373–382. [Google Scholar] [CrossRef]
- Peng, C.T.; Yang, Z.C.; Ding, S.F. Prediction of Retention Indexes. J. Chromatogr. A 1991, 586, 85–112. [Google Scholar] [CrossRef]
- Gerbino, T.C.; Castello, G. Prediction of Programmed Temperature Retention Indices on Capillary Columns of Different Polarities. J. Chromatogr. A 1995, 699, 161–171. [Google Scholar] [CrossRef]
- Slabizki, P.; Fischer, C.; Legrum, C.; Schmarr, H.-G. Characterization of Atypical Off-Flavor Compounds in Natural Cork Stoppers by Multidimensional Gas Chromatographic Techniques. J. Agric. Food Chem. 2015, 63, 7840–7848. [Google Scholar] [CrossRef]
- Gocmen, D.; Elston, A.; Williams, T.; Parish, M.; Rouseff, R.L. Identification of Medicinal Off-Flavours Generated by Alicyclobacillus Species in Orange Juice Using GC-Olfactometry and GC-MS. Lett. Appl. Microbiol. 2005, 40, 172–177. [Google Scholar] [CrossRef]
- Bendall, J.G. Food Contamination with Styrene Dibromide via Packaging Migration of Leachate from Polystyrene Cold-Storage Insulation. J. Food Prot. 2007, 70, 1037–1040. [Google Scholar] [CrossRef] [PubMed]
- Kirchkeszner, C.; Petrovics, N.; Széles, A.; Koshman, Y.; Szabó, B.S.; Nyiri, Z.; Novák, M.; Rikker, T.; Eke, Z. Comprehensive Study of Retention Influencing Gas Chromatographic Parameters Affecting Linear Retention Indices. J. Chromatogr. A 2024, 1729, 465052. [Google Scholar] [CrossRef] [PubMed]
- Zenkevich, I.G.; Pavlovskii, A.A. Temperature Dependence of Gas Chromatography Retention Indices as One of the Main Factors Determining Their Interlaboratory Reproducibility. Prot. Met. Phys. Chem. Surf. 2015, 51, 1058–1064. [Google Scholar] [CrossRef]
- Scheidig, C.; Czerny, M.; Schieberle, P. Changes in Key Odorants of Raw Coffee Beans during Storage under Defined Conditions. J. Agric. Food Chem. 2007, 55, 5768–5775. [Google Scholar] [CrossRef]
- Leffingwell, J.C.; Alford, E.D.; Leffingwell, D.; Penn, R.; Mane, S.A. Identification of the volatile constituents of Cyprian Latakia tobacco by dynamic and static headspace analyses. Leffingwell Rep. 2013, 5, 1–29. Available online: http://www.leffingwell.com/download/latakia2013.pdf (accessed on 19 November 2024).





| Compound | Heating Rate, °C/min (Temperature Programming Mode) | Temperature, °C (Isothermal Mode) | NIST 20 (Median Value) | ||||
|---|---|---|---|---|---|---|---|
| 6 | 9 | 12 | 160 | 210 | 240 | ||
| 2-CP | 1881 | 1885 | 1887 | 1890 | 1921 | 1830 | |
| 3-CP | 2476 | 2485 | 2491 | 2499 | 2528 | 2371 | |
| 4-CP | 2475 | 2484 | 2490 | 2496 | 2526 | 2371 | |
| 2,3-DCP | 2226 | 2233 | 2239 | 2220 | 2260 | 2143 | |
| 2,5-DCP | 2224 | 2231 | 2236 | 2218 | 2258 | 2143 | |
| 2,6-DCP | 2140 | 2149 | 2155 | 2140 | 2188 | 2097 | |
| 3,4-DCP | 2920 | 2929 | 2932 | 2903 | 2945 | 2752 | |
| 3,5-DCP | 2844 | 2852 | 2858 | 2835 | 2874 | 2691 | |
| 2,3,5-TCP | 2498 | 2508 | 2515 | 2518 | 2551 | 2403 | |
| 2,3,6-TCP | 2468 | 2455 | 2476 | 2480 | 2519 | 2360 | |
| 2,4,5-TCP | 2567 | 2580 | 2585 | 2582 | 2617 | 2458 | |
| 2,4,6-TCP | 2384 | 2373 | 2390 | 2401 | 2437 | 2313.5 | |
| Compound | Retention Index Range | Retention Index Range (Korhonen, 1984) [36] | Retention Index Values from the NIST 20 Database * |
|---|---|---|---|
| 2-CP | 1881–1921 | 1764–1866 | 1830 [39], 1861 [40], 1863 [40], 1867 [40], 1868 [40] |
| 4-CP | 2475–2526 | 2335–2380 | 2461 [41] |
| 2,6-DCP | 2140–2188 | 2032–2097 | 2119 [42], 2124 [42], 2132 [41], 2140 [43] |
| 2,4,6-TCP | 2373–2437 | 2247–2321 | 2343 [40], 2345 [40], 2355 [40], 2377 [41] |
| Heating Rate, °C/min | Stationary Phase | ||
|---|---|---|---|
| HP-FFAP | DB-WAX | HP-INNOWax | |
| 0 * | 2507 | 2465 | 2477 |
| 6 | 2489 | 2451 | 2462 |
| 9 | 2496 | 2456 | 2468 |
| 12 | 2497 | 2460 | 2473 |
| Mean value ** | 2497 (7.4) | 2460 (5.9) | 2473 (6.5) |
| Mean value ** (all stationary phases) | 2475 (18) | ||
| Median value | 2471 | ||
| Value from NIST 20 library | 2086 [46] (using FFAP column) | ||
| Heating Rate, °C/min | Stationary Phase | Pentafluorophenol | p-Cyanophenol | 5-Methoxy-2-nitrophenol |
|---|---|---|---|---|
| 0 * | CP-Sil 8 CB | 955 (100) | 1400 (180) | 1628 (180) |
| 6 | CP-Sil 8 CB | 967 | 1395 | 1620 |
| 9 | CP-Sil 8 CB | 963 | 1397 | 1628 |
| 12 | CP-Sil 8 CB | 959 | 1398 | 1634 |
| 0 * | Rtx-5MS | 983 (70) | 1415 (160) | 1630 (160) |
| 6 | Rtx-5MS | 981 | 1410 | 1618 |
| 9 | Rtx-5MS | 977 | 1410 | 1626 |
| 12 | Rtx-5MS | 974 | 1411 | 1631 |
| Mean value ** | 970 (10.4) | 1405 (7.6) | 1627 (5.4) | |
| Value from NIST 17 library | 1067 | 1500 | 1427 | |
| Value from NIST 20 library | 1067 | 1107 | 1427 | |
Disclaimer/Publisher’s Note: The statements, opinions and data contained in all publications are solely those of the individual author(s) and contributor(s) and not of MDPI and/or the editor(s). MDPI and/or the editor(s) disclaim responsibility for any injury to people or property resulting from any ideas, methods, instructions or products referred to in the content. |
© 2024 by the authors. Licensee MDPI, Basel, Switzerland. This article is an open access article distributed under the terms and conditions of the Creative Commons Attribution (CC BY) license (https://creativecommons.org/licenses/by/4.0/).
Share and Cite
Sholokhova, A.Y.; Borovikova, S.A.; Matyushin, D.D. Refinement of Retention Indices in Gas Chromatography for a Number of Substituted Phenols. Analytica 2024, 5, 641-653. https://doi.org/10.3390/analytica5040043
Sholokhova AY, Borovikova SA, Matyushin DD. Refinement of Retention Indices in Gas Chromatography for a Number of Substituted Phenols. Analytica. 2024; 5(4):641-653. https://doi.org/10.3390/analytica5040043
Chicago/Turabian StyleSholokhova, Anastasia Yu., Svetlana A. Borovikova, and Dmitriy D. Matyushin. 2024. "Refinement of Retention Indices in Gas Chromatography for a Number of Substituted Phenols" Analytica 5, no. 4: 641-653. https://doi.org/10.3390/analytica5040043
APA StyleSholokhova, A. Y., Borovikova, S. A., & Matyushin, D. D. (2024). Refinement of Retention Indices in Gas Chromatography for a Number of Substituted Phenols. Analytica, 5(4), 641-653. https://doi.org/10.3390/analytica5040043

