Polarization and Forward Scattering Effects in Low Energy Positron Collisions with H2
Abstract
1. Introduction
2. Theoretical Approach
3. Numerical Details
4. Results and Discussion
4.1. Phase Shifts and ICS

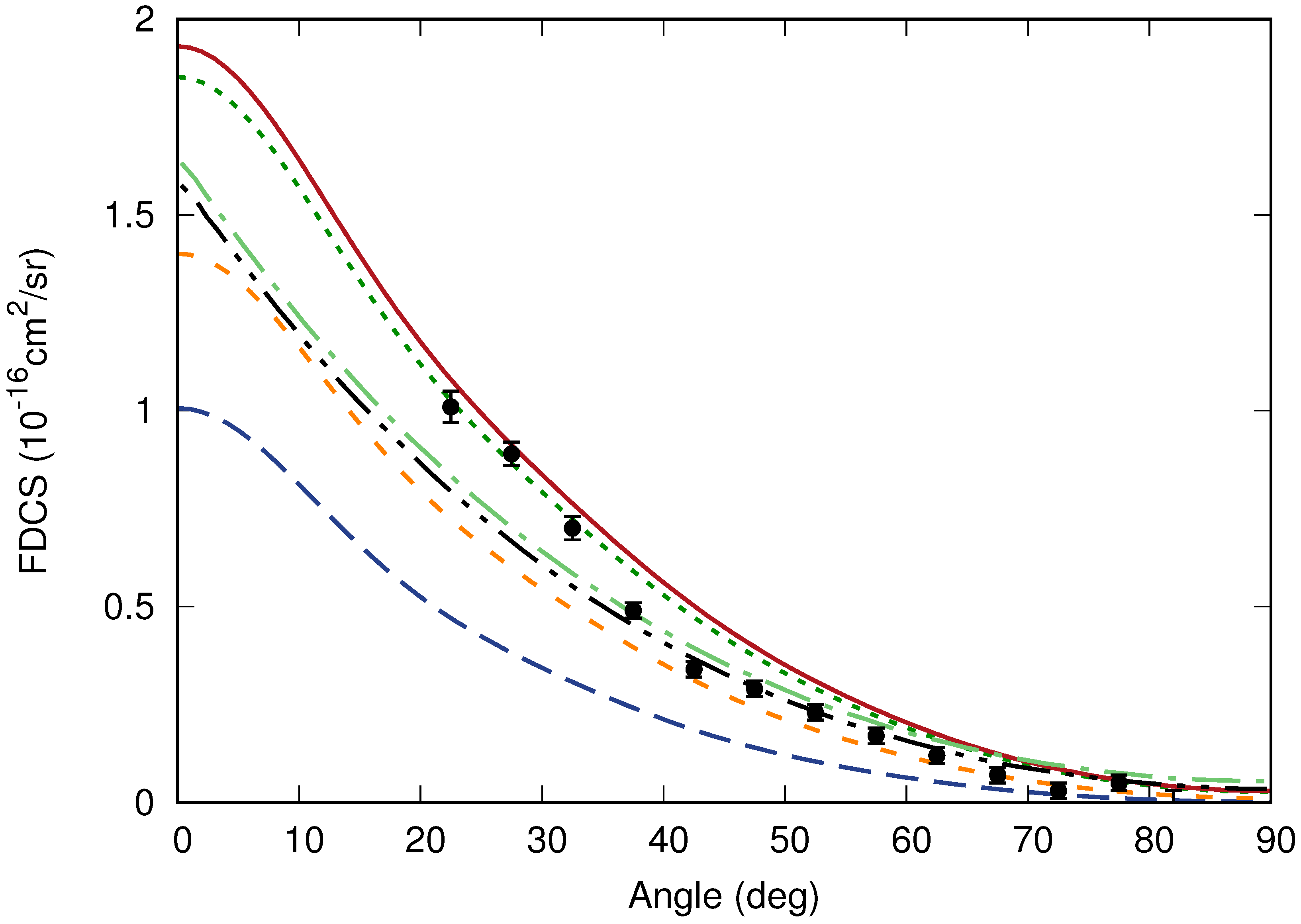
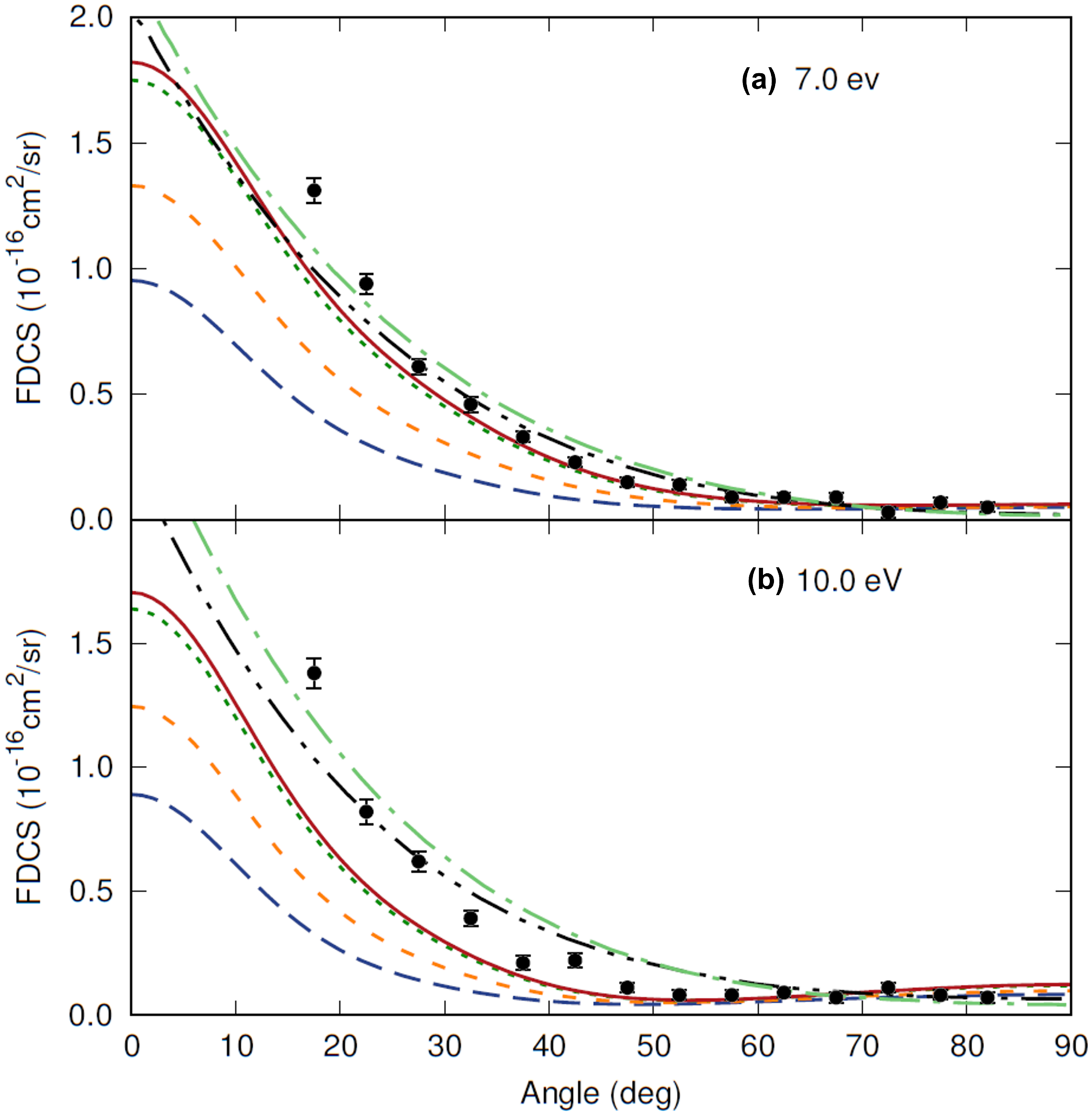
4.2. DCS and Forward Scattering Effects
4.3. Scattering Length and Possible Corrections to the Model
5. Conclusions
Author Contributions
Funding
Data Availability Statement
Acknowledgments
Conflicts of Interest
Abbreviations
| TCS | Total Cross Sections |
| PCOP | Positron Correlation Polarization |
| SCP | Static Correlation Polarization |
| HF | Hartree-Fock |
| PD | Dipolar Polarization |
| PQ | Quadrupolar Polarization |
| PB | First Hyperpolar Polarization |
| PG | Second Hyperpolar Polarization |
| MCF | Method of Continued Fractions |
| SCF | Self Consistent Field |
| CISD | Configuration Interaction Singles and Doubles |
| DCS | Differential Cross Section |
| FDCS | Folded Differential Cross Section |
| MERT | Modified Effective Range Theory |
| ICS | Integral Cross Section |
References
- Helm, R.; Lehtonen, J.; Mayerhofer, M.; Mitteneder, J.; Egger, W.; Verbeke, R.; Sperr, P.; Dollinger, G.; Dickmann, M. Positron-annihilation lifetime spectroscopy with in-situ control of temperature, pressure and atmosphere to determine the free-volume of soft materials. Nucl. Instruments Methods Phys. Res. Sect. Beam Interact. Mater. Atoms 2024, 549, 165263. [Google Scholar] [CrossRef]
- Shokoya, M.M.; Benkő, B.M.; Süvegh, K.; Zelkó, R.; Sebe, I. Positron annihilation lifetime spectroscopy as a special technique for the solid-state characterization of pharmaceutical excipients, drug delivery systems, and medical devices—A systematic review. Pharmaceuticals 2023, 16, 252. [Google Scholar] [CrossRef]
- Charlton, M.; Giles, T.; Lewis, H.; Van Der Werf, D.P. Positron annihilation in small molecules. J. Phys. B At. Mol. Opt. Phys. 2013, 46, 195001. [Google Scholar] [CrossRef]
- Blanco, F.; Muñoz, A.; Almeida, D.; Ferreira Da Silva, F.; Limão-Vieira, P.; Fuss, M.C.; Sanz, A.G.; García, G. Modelling low energy electron and positron tracks in biologically relevant media. Eur. Phys. J. D 2013, 67, 199. [Google Scholar] [CrossRef]
- Hioki, T.; Gholami, Y.H.; McKelvey, K.J.; Aslani, A.; Marquis, H.; Eslick, E.M.; Willowson, K.P.; Howell, V.M.; Bailey, D.L. Overlooked potential of positrons in cancer therapy. Sci. Rep. 2021, 11, 2475. [Google Scholar] [CrossRef] [PubMed]
- Le Loirec, C.; Champion, C. Track structure simulation for positron emitters of medical interest. Part I: The case of the allowed decay isotopes. Nucl. Instruments Methods Phys. Res. Sect. A Accel. Spectrometers, Detect. Assoc. Equip. 2007, 582, 644–653. [Google Scholar] [CrossRef]
- Guessoum, N.; Jean, P.; Gillard, W. The lives and deaths of positrons in the interstellar medium. Astron. Astrophys. 2005, 436, 171–185. [Google Scholar] [CrossRef]
- Guessoum, N.; Jean, P.; Gillard, W. Relevance of slow positron beam research to astrophysical studies of positron interactions and annihilation in the interstellar medium. Appl. Surf. Sci. 2006, 252, 3352–3361. [Google Scholar] [CrossRef]
- Guessoum, N.; Jean, P.; Gillard, W. Positron annihilation on polycyclic aromatic hydrocarbon molecules in the interstellar medium. Mon. Not. R. Astron. Soc. 2010, 402, 1171–1178. [Google Scholar] [CrossRef]
- Guessoum, N. Positron astrophysics and areas of relation to low-energy positron physics. Eur. Phys. J. D 2014, 68, 137. [Google Scholar] [CrossRef]
- Mitroy, J.; Ivanov, I.A. Semiempirical model of positron scattering and annihilation. Phys. Rev. A 2002, 65, 042705. [Google Scholar] [CrossRef]
- Gribakin, G.F.; Ludlow, J. Many-body theory of positron-atom interactions. Phys. Rev. A 2004, 70, 032720. [Google Scholar] [CrossRef]
- Rawlins, C.; Hofierka, J.; Cunningham, B.; Patterson, C.; Green, D. Many-body theory calculations of positron scattering and annihilation in H2, N2, and CH4. Phys. Rev. Lett. 2023, 130, 263001. [Google Scholar] [CrossRef]
- Coleman, P.G.; Griffith, T.C.; Heyland, G.R. Measurement of total scattering cross-sections for positrons of energies 2–400 eV on molecular gases: H2, D2, N2, CO. Appl. Phys. 1974, 4, 89–90. [Google Scholar] [CrossRef]
- Charlton, M.; Griffith, T.C.; Heyland, G.R.; Wright, G.L. Total scattering cross sections for intermediate-energy positrons in the molecular gases H2, O2, N2, CO2 and CH4. J. Phys. B At. Mol. Phys. 1980, 13, L353–L356. [Google Scholar] [CrossRef]
- Hoffman, K.R.; Dababneh, M.S.; Hsieh, Y.F.; Kauppila, W.E.; Pol, V.; Smart, J.H.; Stein, T.S. Total-cross-section measurements for positrons and electrons colliding with H2, N2, and CO2. Phys. Rev. A 1982, 25, 1393–1403. [Google Scholar] [CrossRef]
- Zecca, A.; Chiari, L.; Sarkar, A.; Nixon, K.L.; Brunger, M.J. Total cross sections for positron scattering from H2 at low energies. Phys. Rev. A 2009, 80, 032702. [Google Scholar] [CrossRef]
- Machacek, J.R.; Anderson, E.K.; Makochekanwa, C.; Buckman, S.J.; Sullivan, J.P. Positron scattering from molecular hydrogen. Phys. Rev. A 2013, 88, 042715. [Google Scholar] [CrossRef]
- Danby, G.; Tennyson, J. Differential cross sections for elastic positron-H2 collisions using the R-matrix method. J. Phys. B At. Mol. Opt. Phys. 1990, 23, 1005–1016. [Google Scholar] [CrossRef]
- Gibson, T.L. Low-energy positron-H2 collisions in the distributed positron model. J. Phys. B At. Mol. Opt. Phys. 1992, 25, 1321–1336. [Google Scholar] [CrossRef]
- Armour, E.A.G.; Baker, D.J.; Plummer, M. The theoretical treatment of low-energy e+-H2 scattering using the Kohn variational method. J. Phys. B At. Mol. Opt. Phys. 1990, 23, 3057–3074. [Google Scholar] [CrossRef]
- Reid, D.D.; Klann, W.B.; Wadehra, J.M. Scattering of low-to intermediate-energy positrons from molecular hydrogen. Phys. Rev. A 2004, 70, 062714. [Google Scholar] [CrossRef]
- Arretche, F.; Da Costa, R.; Sanchez, S.d.; Hisi, A.; De Oliveira, E.; Varella, M.D.N.; Lima, M. Similarities and differences in e±–molecule scattering: Applications of the Schwinger multichannel method. Nucl. Instruments Methods Phys. Res. Sect. B Beam Interact. Mater. Atoms 2006, 247, 13–19. [Google Scholar] [CrossRef]
- Mukherjee, T.; Sarkar, N.K. Ro-vibrational close coupling study of positron–hydrogen molecule scattering using the parameter-free model correlation polarization potential. J. Phys. B At. Mol. Opt. Phys. 2008, 41, 125201. [Google Scholar] [CrossRef]
- Gianturco, F.A.; Paioletti, P.; Rodriguez-Ruiz, J.A. Polarisation potentials for positron-molecule scattering processes. Z. Phys. D Atoms Mol. Clust. 1996, 36, 51–63. [Google Scholar] [CrossRef]
- Zhang, R.; Baluja, K.L.; Franz, J.; Tennyson, J. Positron collisions with molecular hydrogen: Cross sections and annihilation parameters calculated using the R-Matrix Pseudo-States Method. J. Phys. B At. Mol. Opt. Phys. 2011, 44, 035203. [Google Scholar] [CrossRef]
- Tenfen, W.; Mazon, K.T.; Michelin, S.E.; Arretche, F. Low-energy elastic positron cross sections for H2 and N2 using an Ab Initio Target Polariz. Phys. Rev. A 2012, 86, 042706. [Google Scholar] [CrossRef]
- Zammit, M.C.; Fursa, D.V.; Bray, I. Convergent-close-coupling formalism for positron scattering from molecules. Phys. Rev. A 2013, 87, 020701. [Google Scholar] [CrossRef]
- Zammit, M.C.; Fursa, D.V.; Savage, J.S.; Bray, I.; Chiari, L.; Zecca, A.; Brunger, M.J. Adiabatic-nuclei calculations of positron scattering from molecular hydrogen. Phys. Rev. A 2017, 95, 022707. [Google Scholar] [CrossRef]
- Frighetto, F.F.; Barbosa, A.S.; Sanchez, S.d. Implementation of a model potential in the Schwinger multichannel method to describe polarization in positron-atom and -molecule scattering: Studies for the noble-gas atoms, H2, and N2. Phys. Rev. A 2023, 108, 012818. [Google Scholar] [CrossRef]
- Kauppila, W.E.; Stein, T.S.; Smart, J.H.; Dababneh, M.S.; Ho, Y.K.; Downing, J.P.; Pol, V. Measurements of total scattering cross sections for intermediate-energy positrons and electrons colliding with helium, neon, and argon. Phys. Rev. A 1981, 24, 725–742. [Google Scholar] [CrossRef]
- Charlton, M.; Humberston, J.W. Positron Physics, 1st ed.; Cambridge University Press: Cambridge, UK, 2000. [Google Scholar] [CrossRef]
- Sullivan, J.P.; Makochekanwa, C.; Jones, A.; Caradonna, P.; Slaughter, D.S.; Machacek, J.; McEachran, R.P.; Mueller, D.W.; Buckman, S.J. Forward angle scattering effects in the measurement of total cross sections for positron scattering. J. Phys. B At. Mol. Opt. Phys. 2011, 44, 035201. [Google Scholar] [CrossRef]
- Brunger, M.J.; Buckman, S.J.; Ratnavelu, K. Positron scattering from molecules: An experimental cross section compilation for positron transport studies and benchmarking theory. J. Phys. Chem. Ref. Data 2017, 46, 023102. [Google Scholar] [CrossRef]
- Barp, M.V.; Tenfen, W.; Arretche, F. Many-body and single-body low-energy elastic positron scattering by beryllium atoms: From ab initio to semiempirical approaches. Atoms 2023, 11, 8. [Google Scholar] [CrossRef]
- Zhang, J.Y.; Mitroy, J.; Varga, K. Positron scattering and annihilation from the hydrogen molecule at zero energy. Phys. Rev. Lett. 2009, 103, 223202. [Google Scholar] [CrossRef]
- Zhang, J.Y.; Mitroy, J. Stochastic variational calculation of zero-energy positron scattering from H, He, and H2. Phys. Rev. A 2011, 83, 022711. [Google Scholar] [CrossRef]
- Tenfen, W.; Barp, M.V.; Arretche, F. Low-energy elastic scattering of positrons by O2. Phys. Rev. A 2019, 99, 022703. [Google Scholar] [CrossRef]
- Tenfen, W.; Seidel, E.P.; Barp, M.V.; Arretche, F. Higher order polarizabilities and the positron forward scattering problem: Convergence between calculated and measured cross sections in the very low energy regime. J. Electron Spectrosc. Relat. Phenom. 2022, 255, 147160. [Google Scholar] [CrossRef]
- Gianturco, F.; Jain, A. The theory of electron scattering from polyatomic molecules. Phys. Rep. 1986, 143, 347–425. [Google Scholar] [CrossRef]
- Stone, A. The Theory of Intermolecular Forces, 2nd ed.; Oxford University Press: Oxford, UK, 2013. [Google Scholar] [CrossRef]
- Jain, A.; Gianturco, F.A. Low-energy positron collisions with CH4 and SiH4 molecules by using new positron polarization potentials. J. Phys. B At. Mol. Opt. Phys. 1991, 24, 2387–2398. [Google Scholar] [CrossRef]
- Bransden, B.H.; Joachain, C.J. Physics of Atoms and Molecules, 1st ed.; Longman Scientific & Technical: Harlow, UK, 1990. [Google Scholar]
- O’Connell, J.K.; Lane, N.F. Nonadjustable exchange-correlation model for electron scattering from closed-shell atoms and molecules. Phys. Rev. A 1983, 27, 1893–1903. [Google Scholar] [CrossRef]
- Tenfen, W.; de Souza Glória, J.; Arretche, F. Low energy positron scattering by F and F2. J. Phys. Chem. A 2022, 126, 7901–7915. [Google Scholar] [CrossRef]
- Boroński, E.; Nieminen, R.M. Electron-positron density-functional theory. Phys. Rev. B 1986, 34, 3820–3831. [Google Scholar] [CrossRef]
- Batsanov, S.S. Van der Waals radii of elements. Inorg. Mater. 2001, 37, 871–885. [Google Scholar] [CrossRef]
- Ribeiro, E.; Machado, L.; Lee, M.T.; Brescansin, L. Application of the method of continued fractions to electron scattering by polyatomic molecules. Comput. Phys. Commun. 2001, 136, 117–125. [Google Scholar] [CrossRef]
- Tenfen, W. Cálculo das Seções de Choque para Colisão de Pósitrons em Moléculas. Master’s Thesis, Universidade Federal de Santa Catarina, Florianópolis, Brazil, 2009. [Google Scholar]
- Arretche, F.; Tenfen, W.; Mazon, K.; Michelin, S.; Lima, M.; Lee, M.T.; Machado, L.; Fujimoto, M.; Pessoa, O. Low energy scattering of positrons by H2O. Nucl. Instruments Methods Phys. Res. Sect. B Beam Interact. Mater. Atoms 2010, 268, 178–182. [Google Scholar] [CrossRef]
- Machado, A.M.; Fujimoto, M.M.; Taveira, A.M.A.; Brescansin, L.M.; Lee, M.T. Application of the method of continued fractions to multichannel studies on electronic excitation of H2 by electron impact. Phys. Rev. A 2001, 63, 032707. [Google Scholar] [CrossRef]
- Nascimento, E.M.; Ribeiro, E.M.S.; Brescansin, L.M.; Lee, M.T.; Machado, L.E. Extension of the method of continued fractions to molecular photoionization: An application to ammonia. J. Phys. B At. Mol. Opt. Phys. 2003, 36, 3621–3627. [Google Scholar] [CrossRef]
- Tenfen, W.; Arretche, F.; Michelin, S.; Mazon, K. Elastic and inelastic vibrational cross sections for positron scattering by carbon monoxide. Nucl. Instruments Methods Phys. Res. Sect. B Beam Interact. Mater. Atoms 2015, 362, 25–28. [Google Scholar] [CrossRef]
- Barp, M.V.; Seidel, E.P.; Arretche, F.; Tenfen, W. Rotational excitation of N2 by positron impact in the adiabatic rotational approximation. J. Phys. B At. Mol. Opt. Phys. 2018, 51, 205201. [Google Scholar] [CrossRef]
- Huber, K.P.; Herzberg, G. Molecular Spectra and Molecular Structure; Constants of Diatomic Molecules; Springer: Boston, MA, USA, 1979; Volume IV. [Google Scholar] [CrossRef]
- Maroulis, G.; Bishop, D.M. HF SCF electric polarizabilities and hyperpolarizabilities for the ground state of the hydrogen molecule. Chem. Phys. Lett. 1986, 128, 462–465. [Google Scholar] [CrossRef]
- Dunning, T.H. Gaussian basis functions for use in molecular calculations. III. Contraction of (10s6p) atomic basis sets for the first-row atoms. J. Chem. Phys. 1971, 55, 716–723. [Google Scholar] [CrossRef]
- Miliordos, E.; Hunt, K.L.C. Dependence of the multipole moments, static polarizabilities, and static hyperpolarizabilities of the hydrogen molecule on the H–H separation in the ground singlet state. J. Chem. Phys. 2018, 149, 234103. [Google Scholar] [CrossRef] [PubMed]
- Dalgarno, A. Atomic polarizabilities and shielding factors. Adv. Phys. 1962, 11, 281–315. [Google Scholar] [CrossRef]
- Buckingham, A.D. Permanent and Induced Molecular Moments and Long-Range Intermolecular Forces. In Advances in Chemical Physics, 1st ed.; Hirschfelder, J.O., Ed.; Wiley: New York, NY, USA, 1967; Volume 12, pp. 107–142. [Google Scholar] [CrossRef]
- Thakkar, A.J.; Lupinetti, C. Atomic Polarizabilities and Hyperpolarizabilities: A Critical Compilation. In Atoms, Molecules and Clusters in Electric Fields; World Scientific Publishing Co.: Hackensack, NJ, USA, 2006; pp. 505–529. [Google Scholar] [CrossRef]
- Maroulis, G.; Thakkar, A.J. Multipole moments, polarizabilities, and hyperpolarizabilities for N2 from fourth-order many-body perturbation theory calculations. J. Chem. Phys. 1988, 88, 7623–7632. [Google Scholar] [CrossRef]
- O’Malley, T.F. Extrapolation of electron-rare gas atom cross sections to zero energy. Phys. Rev. 1963, 130, 1020–1029. [Google Scholar] [CrossRef]
- Thompson, D.G. The elastic scattering of slow electrons by neon and argon. Proc. R. Soc. London. Ser. A. Math. Phys. Sci. 1966, 294, 160–174. [Google Scholar] [CrossRef]
- Sullivan, J.; Gilbert, S.; Marler, J.; Barnes, L.; Buckman, S.; Surko, C. Low energy positron scattering and annihilation studies using a high resolution trap-based beam. Nucl. Instruments Methods Phys. Res. Sect. B Beam Interact. Mater. Atoms 2002, 192, 3–16. [Google Scholar] [CrossRef]
- Zecca, A.; Chiari, L.; Sarkar, A.; Brunger, M.J. Positron scattering from the isoelectronic molecules N2, CO and C2H2. New J. Phys. 2011, 13, 115001. [Google Scholar] [CrossRef]
- Seidel, E.P.; Arretche, F. Rearrangement collisions in the Schwinger variational principle: A long-standing problem in positron scattering physics. J. Phys. Chem. Lett. 2023, 14, 2263–2267. [Google Scholar] [CrossRef] [PubMed]
- Fedus, K.; Franz, J.; Karwasz, G.P. Positron scattering on molecular hydrogen: Analysis of experimental and theoretical uncertainties. Phys. Rev. A 2015, 91, 062701. [Google Scholar] [CrossRef]
- Cheong, Z.; Stevens, D.; Sullivan, J.P. Positron scattering from ethane: Elastic and inelastic scattering. Phys. Rev. A 2024, 110, 022815. [Google Scholar] [CrossRef]
- Machacek, J.R.; McEachran, R.P. Partial wave analysis for folded differential cross sections. J. Phys. B At. Mol. Opt. Phys. 2018, 51, 065007. [Google Scholar] [CrossRef]
- Cheong, Z.; Babij, T.J.; Anthouard, B.; Machachek, J.R.; McEachran, R.P.; Sullivan, J.P. Elastic scattering and electronic excitation in positron interactions with neon. J. Phys. B At. Mol. Opt. Phys. 2021, 54, 065204. [Google Scholar] [CrossRef]
- Pinheiro, J.G.; Assafrão, D.; Poveda, L.A.; Mohallem, J.R. Elastic and inelastic cross sections for positron scattering from molecular oxygen. Eur. Phys. J. D 2023, 77, 184. [Google Scholar] [CrossRef]
- Karwasz, G.; Pliszka, D.; Brusa, R. Total cross sections for positron scattering in argon, nitrogen and hydrogen below 20eV. Nucl. Instruments Methods Phys. Res. Sect. B Beam Interact. Mater. Atoms 2006, 247, 68–74. [Google Scholar] [CrossRef]
- Swann, A.R.; Gribakin, G.F. Model-potential calculations of positron binding, scattering, and annihilation for atoms and small molecules using a Gaussian basis. Phys. Rev. A 2020, 101, 022702. [Google Scholar] [CrossRef]







| Model | (a.u.) |
|---|---|
| PD | 2.39 |
| PQ | 2.66 |
| PB | 2.90 |
| PG | 2.96 |
| Type | Exponents | Coefficients |
|---|---|---|
| s | 33.6400 | 0.025374 |
| 5.05800 | 0.189684 | |
| 1.14700 | 0.852933 | |
| s | 0.32110 | 1.000000 |
| s | 0.10130 | 1.000000 |
| s | 0.04730 | 1.000000 |
| p | 1.12330 | 1.000000 |
| p | 0.27110 | 1.000000 |
| p | 0.06970 | 1.000000 |
| d | 0.53710 | 1.000000 |
| Quantity | Value (a.u.) |
|---|---|
| 5.1789 | |
| 1.2103 | |
| 15.7793 | |
| B | −74.800 |
| 620.27 |
Disclaimer/Publisher’s Note: The statements, opinions and data contained in all publications are solely those of the individual author(s) and contributor(s) and not of MDPI and/or the editor(s). MDPI and/or the editor(s) disclaim responsibility for any injury to people or property resulting from any ideas, methods, instructions or products referred to in the content. |
© 2025 by the authors. Licensee MDPI, Basel, Switzerland. This article is an open access article distributed under the terms and conditions of the Creative Commons Attribution (CC BY) license (https://creativecommons.org/licenses/by/4.0/).
Share and Cite
Tenfen, W.; Glória, J.d.S.; Saab, S.E.d.S.; Popovicz Seidel, E.; Arretche, F. Polarization and Forward Scattering Effects in Low Energy Positron Collisions with H2. Hydrogen 2025, 6, 2. https://doi.org/10.3390/hydrogen6010002
Tenfen W, Glória JdS, Saab SEdS, Popovicz Seidel E, Arretche F. Polarization and Forward Scattering Effects in Low Energy Positron Collisions with H2. Hydrogen. 2025; 6(1):2. https://doi.org/10.3390/hydrogen6010002
Chicago/Turabian StyleTenfen, Wagner, Josiney de Souza Glória, Sarah Esther da Silva Saab, Eliton Popovicz Seidel, and Felipe Arretche. 2025. "Polarization and Forward Scattering Effects in Low Energy Positron Collisions with H2" Hydrogen 6, no. 1: 2. https://doi.org/10.3390/hydrogen6010002
APA StyleTenfen, W., Glória, J. d. S., Saab, S. E. d. S., Popovicz Seidel, E., & Arretche, F. (2025). Polarization and Forward Scattering Effects in Low Energy Positron Collisions with H2. Hydrogen, 6(1), 2. https://doi.org/10.3390/hydrogen6010002

