Local Environment and Migration Paths of the Proton Defect in Yttria-Stabilized Zirconia Studied by Ab Initio Calculations and Muon-Spin Spectroscopy
Abstract
1. Introduction
2. Theoretical and Experimental Preliminaries
3. Results
3.1. Local Proton Binding and Energetics
3.2. Migration Pathways and Barriers
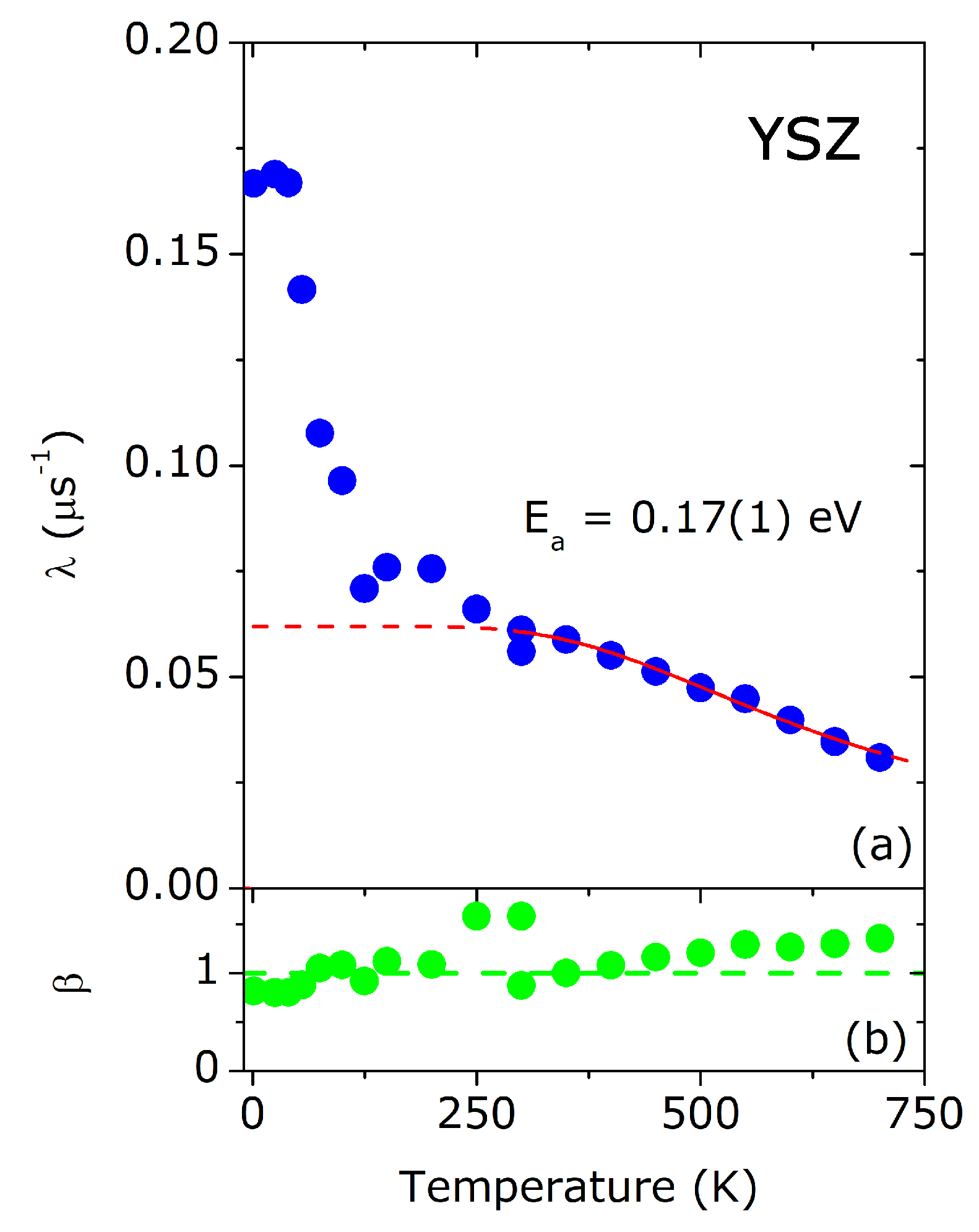
3.3. Muon Spin Spectroscopy Measurements
4. Summary
Author Contributions
Funding
Data Availability Statement
Acknowledgments
Conflicts of Interest
References
- Badwal, S.P.S. Zirconia-based solid electrolytes: Microstructure, stability and ionic conductivity. Solid State Ion. 1992, 52, 23–32. [Google Scholar] [CrossRef]
- Steele, B.C.H. Oxygen transport and exchange in oxide ceramics. J. Power Sources 1994, 49, 1–14. [Google Scholar] [CrossRef]
- Kim, S.; Anselmi-Tamburini, U.; Park, H.J.; Martin, M.; Munir, Z.A. Unprecedented Room-Temperature Electrical Power Generation Using Nanoscale Fluorite-Structured Oxide Electrolytes. Adv. Mater. 2008, 20, 556–559. [Google Scholar] [CrossRef]
- Kim, S.; Avila-Paredes, H.J.; Wang, S.; Chen, C.-T.; De Souza, R.A.; Martin, M.; Munir, Z.A. On the conduction pathway for protons in nanocrystalline yttria-stabilized zirconia. Phys. Chem. Chem. Phys. 2009, 11, 3035–3038. [Google Scholar] [CrossRef] [PubMed]
- Park, J.S.; Kim, Y.B.; Shim, J.H.; Kang, S.; Gür, T.M.; Prinz, F.B. Evidence of Proton Transport in Atomic Layer Deposited Yttria-Stabilized Zirconia Films. Chem. Mater. 2010, 22, 5366–5370. [Google Scholar] [CrossRef]
- Stotz, S.; Wagner, C. Die Löslichkeit von Wasserdampf und Wasserstoff in festen Oxiden. Ber. Bunsen. Phys. Chem. 1966, 70, 781–788. [Google Scholar] [CrossRef]
- Wagner, C. Die Löslichkeit von Wasserdampf in ZrO2–Y2O3–Mischkristallen. Ber. Bunsen. Phys. Chem. 1968, 72, 778–781. [Google Scholar] [CrossRef]
- Chiodelli, G.; Maglia, F.; Anselmi-Tamburini, U.; Munir, Z.A. Characterization of low temperature protonic conductivity in bulk nanocrystalline fully stabilized zirconia. Solid State Ion. 2009, 180, 297–301. [Google Scholar] [CrossRef]
- Avila-Paredes, H.J.; Zhao, J.; Wang, S.; Pietrowski, M.; De Souza, R.A.; Reinholdt, A.; Munir, Z.A.; Martin, M.; Kim, S. Protonic conductivity of nano-structured yttria-stabilized zirconia: Dependence on grain size. J. Mater. Chem. 2010, 20, 990–994. [Google Scholar] [CrossRef]
- Scherrer, B.; Schlupp, M.V.F.; Stender, D.; Martynczuk, J.; Grolig, J.G.; Ma, H.; Kocher, P.; Lippert, T.; Prestat, M.; Gauckler, L.J. On Proton Conductivity in Porous and Dense Yttria Stabilized Zirconia at Low Temperature. Adv. Funct. Mater. 2013, 23, 1957–1964. [Google Scholar] [CrossRef]
- Miyoshi, S.; Akao, Y.; Kuwata, N.; Kawamura, J.; Oyama, Y.; Yagi, T.; Yamaguchi, S. Low-Temperature Protonic Conduction Based on Surface Protonics: An Example of Nanostructured Yttria-Doped Zirconia. Chem. Mater. 2014, 26, 5194–5200. [Google Scholar] [CrossRef]
- Stub, S.Ø.; Vøllestad, E.; Norby, T. Mechanisms of Protonic Surface Transport in Porous Oxides: Example of YSZ. J. Phys. Chem. C 2017, 121, 12817–12825. [Google Scholar] [CrossRef]
- Peacock, P.W.; Robertson, J. Behavior of hydrogen in high dielectric constant oxide gate insulators. Appl. Phys. Lett. 2003, 83, 2025–2027. [Google Scholar] [CrossRef]
- Xiong, K.; Robertson, J.; Clark, S.J. Behavior of hydrogen in wide band gap oxides. J. Appl. Phys. 2007, 102, 083710. [Google Scholar] [CrossRef]
- Lyons, J.L.; Janotti, A.; Van de Walle, C.G. The role of oxygen-related defects and hydrogen impurities in HfO2 and ZrO2. Microelectron. Eng. 2011, 88, 1452–1456. [Google Scholar] [CrossRef]
- Marinopoulos, A.G. Incorporation and migration of hydrogen in yttria-stabilized cubic zirconia: Insights from semilocal and hybrid-functional calculations. Phys. Rev. B 2012, 86, 155144. [Google Scholar] [CrossRef]
- Youssef, M.; Yildiz, B. Hydrogen defects in tetragonal ZrO2 studied using density functional theory. Phys. Chem. Chem. Phys. 2014, 16, 1354–1365. [Google Scholar] [CrossRef] [PubMed]
- Hohenberg, P.; Kohn, W. Inhomogeneous Electron Gas. Phys. Rev. 1964, 136, B864–B871. [Google Scholar] [CrossRef]
- Kohn, W.; Sham, L.J. Self-Consistent Equations Including Exchange and Correlation Effects. Phys. Rev. 1965, 140, A1133–A1138. [Google Scholar] [CrossRef]
- Dawson, J.A.; Tanaka, I. Significant Reduction in Hydration Energy for Yttria Stabilized Zirconia Grain Boundaries and the Consequences for Proton Conduction. Langmuir 2014, 30, 10456–10464. [Google Scholar] [CrossRef]
- Marinopoulos, A.G. First-principles study of hydrogen configurations at the core of a high-angle grain boundary in cubic yttria-stabilized zirconia. J. Phys. Condens. Matter 2014, 26, 025502. [Google Scholar] [CrossRef]
- Marinopoulos, A.G. Protons in cubic yttria-stabilized zirconia: Binding sites and migration pathways. Solid State Ion. 2018, 315, 116–125. [Google Scholar] [CrossRef]
- Haurat, E.; Crocombette, J.-P.; Jublot, M.; Tupin, M. Proton diffusion in two model grain boundaries of monoclinic zirconia. Acta Mater. 2024, 273, 119922. [Google Scholar] [CrossRef]
- Mantz, Y.A.; Gemmen, R.S. Protonated Forms of Monoclinic Zirconia: A Theoretical Study. J. Phys. Chem. C 2010, 114, 8014–8025. [Google Scholar] [CrossRef]
- Barbour, O.; Crocombette, J.P.; Schuler, T.; Tupin, M. Ab-initio calculations of hydrogen diffusion coefficient in monoclinic zirconia. J. Nucl. Mater. 2020, 539, 152333. [Google Scholar] [CrossRef]
- Rabone, J.; Van Uffelen, P. DFT-based Metadynamics simulation of proton diffusion in tetragonal zirconia at 1500 K. J. Nucl. Mater. 2015, 459, 30–36. [Google Scholar] [CrossRef]
- Dawson, J.A.; Chen, H.; Tanaka, I. Protonic defects in yttria stabilized zirconia: Incorporation, trapping and migration. Phys. Chem. Chem. Phys. 2014, 16, 4814–4822. [Google Scholar] [CrossRef]
- Jónsson, H.; Mills, G.; Jacobsen, K.W. Nudged Elastic Band Method for Finding Minimum Energy Paths of Transitions. In Classical and Quantum Dynamics in Condensed Phase Simulations; Berne, B., Ciccotti, G., Coker, D.F., Eds.; World Scientific: Singapore, 1998; pp. 385–404. [Google Scholar]
- Patterson, B.D. Muonium states in semiconductors. Rev. Mod. Phys. 1988, 60, 69. [Google Scholar] [CrossRef]
- Cox, S.F.J.; Lichti, R.L.; Lord, J.S.; Davis, E.A.; Vilão, R.C.; Gil, J.M.; Veal, T.D.; Celebi, Y.G. The first 25 years of semiconductor muonics at ISIS, modelling the electrical activity of hydrogen in inorganic semiconductors and high-κ dielectrics. Phys. Scr. 2013, 88, 068503. [Google Scholar] [CrossRef]
- Lichti, R.L.; Chow, K.H.; Gil, J.M.; Stripe, D.L.; Vilão, R.C.; Cox, S.F.J. Location of the H[+/−] level: Experimental limits for muonium. Phys. B 2006, 376–377, 587–590. [Google Scholar] [CrossRef][Green Version]
- Vilão, R.C.; Gil, J.M.; Alberto, H.V.; Duarte, J.P.; Ayres de Campos, N.; Weidinger, A.; Yakushev, M.V.; Cox, S.F.J. Muon diffusion and trapping in chalcopyrite semiconductors. Phys. B 2003, 326, 181–184. [Google Scholar] [CrossRef][Green Version]
- Vieira, R.B.L.; Vilão, R.C.; Gordo, P.M.; Marinopoulos, A.G.; Alberto, H.V.; Duarte, J.P.; Gil, J.M.; Weidinger, A.; Lord, J.S. Muon-Spin-Rotation study of yttria-stabilized zirconia (ZrO2:Y): Evidence for muon and electron separate traps. J. Phys. Conf. Ser. 2014, 551, 012050. [Google Scholar] [CrossRef]
- Vieira, R.B.L.; Vilão, R.C.; Marinopoulos, A.G.; Gordo, P.M.; Paixão, J.A.; Alberto, H.V.; Gil, J.M.; Weidinger, A.; Lichti, R.L.; Baker, B.; et al. Isolated hydrogen configurations in zirconia as seen by muon spin spectroscopy and ab initio calculations. Phys. Rev. B 2016, 94, 115207. [Google Scholar] [CrossRef]
- Kresse, G.; Hafner, J. Ab initio molecular dynamics for liquid metals. Phys. Rev. B 1993, 47, 558–561. [Google Scholar] [CrossRef] [PubMed]
- Kresse, G.; Hafner, J. Ab initio molecular-dynamics simulation of the liquid-metal–amorphous-semiconductor transition in germanium. Phys. Rev. B 1994, 49, 14251–14269. [Google Scholar] [CrossRef] [PubMed]
- Kresse, G.; Furthmüller, J. Efficient iterative schemes for ab initio total-energy calculations using a plane-wave basis set. Phys. Rev. B 1996, 54, 11169–11186. [Google Scholar] [CrossRef]
- Blöchl, P.E. Projector augmented-wave method. Phys. Rev. B 1994, 50, 17953–17979. [Google Scholar] [CrossRef]
- Perdew, J.P.; Burke, K.; Ernzerhof, M. Generalized Gradient Approximation Made Simple. Phys. Rev. Lett. 1996, 77, 3865–3868. [Google Scholar] [CrossRef] [PubMed]
- Heyd, J.; Scuseria, G.E. Efficient hybrid density functional calculations in solids: Assessment of the Heyd-Scuseria-Ernzerhof screened Coulomb hybrid functional. J. Chem. Phys. 2004, 121, 1187. [Google Scholar] [CrossRef]
- Paier, J.; Marsman, M.; Hummer, K.; Kresse, G.; Gerber, I.C.; Angyan, J.G. Screened hybrid density functionals applied to solids. J. Chem. Phys. 2006, 124, 154709. [Google Scholar] [CrossRef]
- Wiemhöfer, H.-D.; Vohrer, U. Spectroscopy and Thermodynamics of Electrons in Yttria-Stabilized Zirconia. Ber. Bunsenges. Phys. Chem. 1992, 96, 1646–1652. [Google Scholar] [CrossRef]
- Pascual, C.; Durán, P. Subsolidus Phase Equilibria and Ordering in the System ZrO2-Y2O3. J. Am. Ceram. Soc. 1982, 66, 23–27. [Google Scholar] [CrossRef]
- Stapper, G.; Bernasconi, M.; Nicoloso, N.; Parrinello, M. Ab initio study of structural and electronic properties of yttria-stabilized cubic zirconia. Phys. Rev. B 1999, 59, 797–810. [Google Scholar] [CrossRef]
- Bogicevic, A.; Wolverton, C.; Crosbie, G.M.; Stechel, E.B. Defect ordering in aliovalently doped cubic zirconia from first principles. Phys. Rev. B 2001, 64, 014106. [Google Scholar] [CrossRef]
- Ostanin, S.; Craven, A.J.; McComb, D.W.; Vlachos, D.; Alavi, A.; Paxton, A.T.; Finnis, M.W. Electron energy-loss near-edge shape as a probe to investigate the stabilization of yttria-stabilized zirconia. Phys. Rev. B 2002, 65, 224109. [Google Scholar] [CrossRef]
- Vineyard, G.H. Frequency Factors and Isotope Effects in Solid State Rate Processes. J. Phys. Chem. Solids 1957, 3, 121–127. [Google Scholar] [CrossRef]
- Henkelman, G.; Arnaldsson, A.; Jónsson, H. Theoretical calculations of CH4 and H2 associative desorption from Ni(111): Could subsurface hydrogen play an important role? J. Chem. Phys. 2006, 124, 044706. [Google Scholar] [CrossRef]
- Cox, S.F.J. Muonium as a model for interstitial hydrogen in the semiconducting and semimetallic elements. Rep. Prog. Phys. 2009, 72, 116501. [Google Scholar] [CrossRef]
- Pratt, F.L. WIMDA: A Muon Data Analysis Program for the Windows PC. Phys. B 2000, 289–290, 710–714. [Google Scholar] [CrossRef]
- Davies, R.A.; Islam, M.S.; Gale, J.D. Dopant and proton incorporation in perovskite-type zirconates. Solid State Ion. 1999, 126, 323–335. [Google Scholar] [CrossRef]
- French, R.H.; Glass, S.J.; Ohuchi, F.S.; Xu, Y.-N.; Ching, W.Y. Experimental and theoretical determination of the electronic structure and optical properties of three phases of ZrO2. Phys. Rev. B 1994, 49, 5133–5142. [Google Scholar] [CrossRef] [PubMed]
- Kreuer, K.D. Proton-conducting Oxides. Annu. Rev. Mater. Res. 2003, 33, 333–359. [Google Scholar] [CrossRef]
- Ito, T.U.; Higemoto, W.; Shimomura, K. Understanding muon diffusion in perovskite oxides below room temperature based on harmonic transition state theory. Phys. Rev. B 2023, 108, 224301. [Google Scholar] [CrossRef]
- Edholm, O.; Blomberg, C. Stretched exponentials and barrier distributions. Chem. Phys. 2000, 252, 221–225. [Google Scholar] [CrossRef]







Disclaimer/Publisher’s Note: The statements, opinions and data contained in all publications are solely those of the individual author(s) and contributor(s) and not of MDPI and/or the editor(s). MDPI and/or the editor(s) disclaim responsibility for any injury to people or property resulting from any ideas, methods, instructions or products referred to in the content. |
© 2024 by the authors. Licensee MDPI, Basel, Switzerland. This article is an open access article distributed under the terms and conditions of the Creative Commons Attribution (CC BY) license (https://creativecommons.org/licenses/by/4.0/).
Share and Cite
Marinopoulos, A.G.; Vilão, R.C.; Alberto, H.V.; Gil, J.M.; Vieira, R.B.L.; Lord, J.S. Local Environment and Migration Paths of the Proton Defect in Yttria-Stabilized Zirconia Studied by Ab Initio Calculations and Muon-Spin Spectroscopy. Hydrogen 2024, 5, 374-386. https://doi.org/10.3390/hydrogen5030021
Marinopoulos AG, Vilão RC, Alberto HV, Gil JM, Vieira RBL, Lord JS. Local Environment and Migration Paths of the Proton Defect in Yttria-Stabilized Zirconia Studied by Ab Initio Calculations and Muon-Spin Spectroscopy. Hydrogen. 2024; 5(3):374-386. https://doi.org/10.3390/hydrogen5030021
Chicago/Turabian StyleMarinopoulos, A. G., R. C. Vilão, H. V. Alberto, J. M. Gil, R. B. L. Vieira, and J. S. Lord. 2024. "Local Environment and Migration Paths of the Proton Defect in Yttria-Stabilized Zirconia Studied by Ab Initio Calculations and Muon-Spin Spectroscopy" Hydrogen 5, no. 3: 374-386. https://doi.org/10.3390/hydrogen5030021
APA StyleMarinopoulos, A. G., Vilão, R. C., Alberto, H. V., Gil, J. M., Vieira, R. B. L., & Lord, J. S. (2024). Local Environment and Migration Paths of the Proton Defect in Yttria-Stabilized Zirconia Studied by Ab Initio Calculations and Muon-Spin Spectroscopy. Hydrogen, 5(3), 374-386. https://doi.org/10.3390/hydrogen5030021

