Distribution and Diversity of Myxomycetes Along the Elevational Belt of Mt. Calavite Wildlife Sanctuary (MCWS), Occidental Mindoro, Philippines
Abstract
1. Introduction
2. Materials and Methods
2.1. General Study Area
2.2. Sample Collection, Processing, and Characterization of Myxomycetes
2.3. Data Evaluation and Analyses
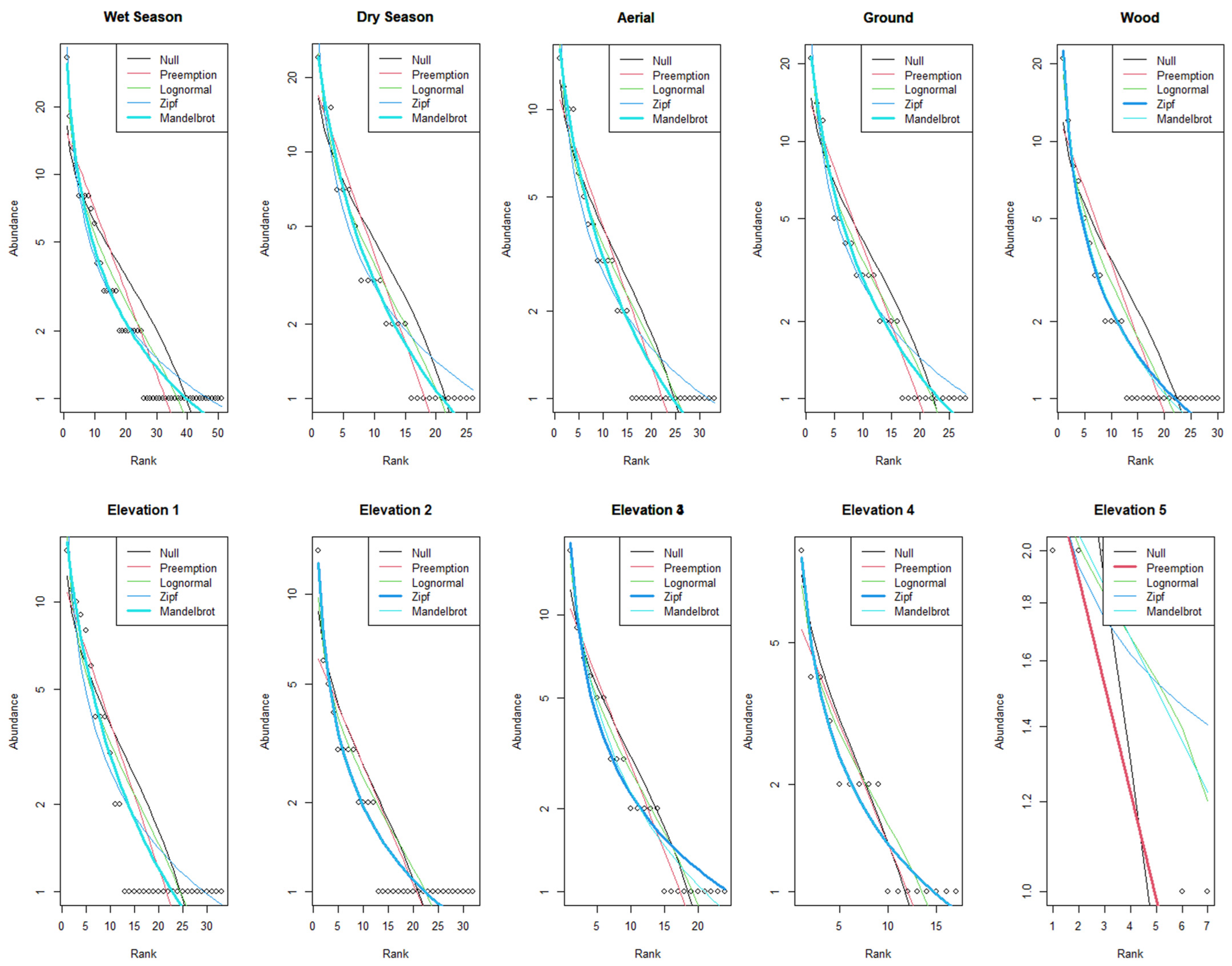
3. Results
3.1. Percent Yield
3.2. Species Occurrences, Diversity and Distribution
4. Discussion
4.1. The Current Finding Corroborates Neotropical Observations
4.2. Is the Pattern of Diversity of Myxomycetes in Elevational Gradient a Rule of Thumb?
4.3. Microclimate Directly Affects Fructification
4.4. Cautious Interpretation of Myxomycete Ecology Due to Hidden Diversity
5. Conclusions
Author Contributions
Funding
Institutional Review Board Statement
Informed Consent Statement
Data Availability Statement
Acknowledgments
Conflicts of Interest
References
- Mori, A.S.; Shiono, T.; Koide, D.; Kitagawa, R.; Ota, A.T.; Mizumachi, E. Community assembly processes shape an altitudinal gradient of forest biodiversity. Glob. Ecol. Biogeogr. 2013, 22, 878–888. [Google Scholar] [CrossRef]
- Vetaas, O.R. Mountain biodiversity and elevational gradients1. Front. Biogeogr. 2021, 13, 1–4. [Google Scholar] [CrossRef]
- Seppey, C.V.W.; Broennimann, O.; Buri, A.; Yashiro, E.; Pinto-Figueroa, E.; Singer, D.; Blandenier, Q.; Mitchell, E.A.D.; Niculita-Hirzel, H.; Guisan, A.; et al. Soil protist diversity in the Swiss western Alps is better predicted by topo-climatic than by edaphic variables. J. Biogeogr. 2020, 47, 866–878. [Google Scholar] [CrossRef]
- Kang, S.; Tice, A.K.; Spiegel, F.W.; Silberman, J.D.; Pánek, T.; Čepička, I.; Kostka, M.; Kosakyan, A.; Alcântara, D.M.C.; Roger, A.J.; et al. Between a pod and a hard test: The deep evolution of amoebae. Mol. Biol. Evol. 2017, 34, 2258–2270. [Google Scholar] [CrossRef]
- Tekle, Y.I.; Wang, F.; Wood, F.C.; Anderson, O.R.; Smirnov, A. New insights on the evolutionary relationships between the major lineages of Amoebozoa. Sci. Rep. 2022, 12, 11173. [Google Scholar] [CrossRef]
- Lado, C.; De Basanta, D.W.; Estrada-Torres, A.; Stephenson, S.L. Myxomycete diversity in the coastal desert of peru with emphasis on the lomas formations. An. Jard. Bot. Madr. 2016, 73, e032. [Google Scholar] [CrossRef]
- Stephenson, S.L.; Rojas, C. Myxomycetes: Biology, Systematics, Biogeography and Ecology; Academic Press: Cambridge, MA, USA, 2017. [Google Scholar]
- Clark, J.; Haskins, E.F. Myxomycete plasmodial biology: A review. Mycosphere 2015, 6, 643–658. [Google Scholar] [CrossRef]
- Rojas-Alvarado, C.; Valverde-González, R.; Somerville, S.; Rollins, A.W.; Stephenson, S.L. Myxomycetes within ecotones in temperate and tropical forests. Uniciencia 2021, 35, 299–311. [Google Scholar] [CrossRef]
- Schnittler, M.; Unterseher, M.; Tesmer, J. Species Richness and Ecological Characterization of Myxomycetes and Myxomycete-like Organisms in the Canopy of a Temperate Deciduous Forest. Mycologia 2006, 98, 223–232. [Google Scholar] [CrossRef]
- Keller, H.W.; Everhart, S.E.; Kilgore, C.M. The myxomycetes: Introduction, basic biology, life cycles, genetics, and reproduction. In Myxomycetes: Biology, Systematics, Biogeography and Ecology; Academic Press: Cambridge, MA, USA, 2022; pp. 1–45. [Google Scholar] [CrossRef]
- Novozhilov, Y.K.; Shchepin, O.N.; Alexandrova, A.V.; Popov, E.S.; Dagamac, N.H.A. Altitudinal patterns of diversity of myxomycetes (Myxogastria) across tropical forests of Southern Vietnam. Protistology 2018, 12, 73–80. [Google Scholar] [CrossRef]
- Kalyanasundaram, I. A Positive Ecological Role for Tropical Myxomycetes in Association with Bacteria. Syst. Geogr. Plants 2004, 2004, 239–242. [Google Scholar]
- Rollins, A.W.; Stephenson, S. Global distribution and ecology of myxomycetes. Curr. Top Plant Biol. 2011, 12, 1–14. [Google Scholar]
- Liu, Q.S.; Yan, S.Z.; Chen, S.L. Species diversity of myxomycetes associated with different terrestrial ecosystems, substrata (microhabitats) and environmental factors. Mycol. Prog. 2015, 14, 27. [Google Scholar] [CrossRef]
- Lado, C.; Eliasson, U. Chapter 8—Taxonomy and systematics: Current knowledge and approaches on the taxonomic treatment of Myxomycetes: Updated version. In Myxomycetes, 2nd ed.; Rojas, C., Stephenson, S.L., Eds.; Academic Press: Cambridge, MA, USA, 2022; pp. 269–324. [Google Scholar]
- Leontyev, D.V.; Schnittler, M.; Stephenson, S.L.; Novozhilov, Y.K.; Shchepin, O.N. Towards a phylogenetic classification of the Myxomycetes. Phytotaxa 2019, 399, 209–238. [Google Scholar] [CrossRef]
- Dogma, I.J. Of Philippine mycology and lower fungi. Philipp. J. Biol. 1975, 4, 69–105. [Google Scholar]
- Reynolds, D.R. Southeast Asian myxomycetes II. Philipp. J Biol. 1981, 150, 127–150. [Google Scholar]
- Macabago, S.A.; Dela Cruz, T.E.; Stephenson, S. First records of myxomycetes from Lubang Island, Occidental Mindoro, Philippines. Sydowia 2012, 64, 109–118. [Google Scholar]
- Buisan, P.N.H.N.; Pasandalan, Z.M.; Pandulo, A.D.; Balabagan, N.A.; Farid, T.O.; Abubakar, T.A.; Pantog, A.M.M.; Labas, D.A.; Dagamac, N.H.A. Records of cosmopolitan myxomycetes occurring on banana litter from Southern Mindanao, Philippines. Philipp. J. Syst. Biol. 2019, 13, 55–57. [Google Scholar] [CrossRef]
- Balaoro-Banzuela, R.C.; Ocenar-Bautista, C.E.; Buebos-Esteve, D.E.; Claudio-Paragas, C.Y.; Limbo-Dizon, J.E.; Dagamac, N.H.A. Rapid diversity assessment of litter myxomycete assemblages in the upland and coastal terrains of San Fernando City, La Union, Philippines. Biodiversitas 2023, 24, 2877–2886. [Google Scholar] [CrossRef]
- Kuhn, R.V.; Oliver, A.; Javier, M.; Rodillas, C.P.; Parra, C.M.; Corpuz, H.M.; Buaya, A.T.; dela Cruz, T.E.E. Diversity of Plasmodial Myxomycetes from Anda Island, Pangasinan, Philippines. Biotropia 2013, 20, 1–9. [Google Scholar] [CrossRef]
- Bernardo, J.L.M.; Arioder, L.J.Q.; Almadrones-Reyes, K.J.; Dagamac, N.H.A. Myxomycete communities occurring in fragmented forest patches in two municipalities of Laguna, Philippines. Community Ecol. 2018, 19, 289–299. [Google Scholar] [CrossRef]
- Limbo-Dizon, J.E.; Almadrones-Reyes, K.J.; Macabago, S.A.B.; Dagamac, N.H.A. Bioclimatic modeling for the prediction of the suitable regional geographical distribution of selected bright-spored myxomycetes in the Philippine archipelago. Biodiversitas 2022, 23, 2285–2294. [Google Scholar] [CrossRef]
- Macabago, S.A.; Dela Cruz, T.E. Preservation and extracellular enzyme production of myxomycetes from Lubang Island, Occidental Mindoro, Philippines. Philipp. Sci. Lett. 2014, 7, 331–336. [Google Scholar]
- Dagamac, N.H.A.; dela Cruz, T.E.E. The Philippine slime molds after Dogma’s 1975 list–How far have we been. Philipp. J. Syst. Biol. 2019, 13, 58–65. [Google Scholar]
- Dagamac, N.H.A.; Stephenson, S.L.; Dela Cruz, T.E.E. The occurrence of litter Myxomycetes at different elevations in Mt. Arayat National Park, Pampanga, Philippines. Nova Hedwig. 2014, 98, 187–196. [Google Scholar] [CrossRef]
- Rojas, C.; Stephenson, S.L. Myxomycete ecology along an elevation gradient on Cocos Island. Fungal Divers. 2008, 29, 117–127. [Google Scholar]
- Stephenson, S.L.; Schnittler, M.; Lado, C. Ecological characterization of a tropical myxomycete assemblage-Maquipucuna Cloud Forest Reserve, Ecuador. Mycologia 2004, 96, 488–497. [Google Scholar] [CrossRef]
- Mindoro Biodiversity Conservation Foundation Inc. Mt. Calavite Wildlife Sanctuary Resource and Socio-Economic Assessment (RSEA) Final Report; Mindoro Biodiversity Conservation Foundation Inc.: Muntilupa, Philippines, 2014. [Google Scholar]
- Malabrigo, L.; Tobias, A.B.; Boncodin, J.C. Floristic Composition, Vegetation Structure, and Diversity Pattern of Mt. Calavite Wildlife Sanctuary: Basis for Management and Conservation Planning. Ecosyst. Dev. J. 2018, 8, 3–27. [Google Scholar]
- Stephenson, S.L.; Stempen, H. Myxomycetes: A Handbook of Slime Molds; Timber Press: Portland, OR, USA, 1994. [Google Scholar]
- Macabago, S.A.B.; Dagamac, N.H.A.; Dela Cruz, T.E.E. Diversity and distribution of plasmodial myxomycetes (Slime molds) from La Mesa Ecopark, Quezon City, Philippines. Biotropia 2010, 17, 51–61. [Google Scholar] [CrossRef]
- Poulain, M.; Meyer, M.; Bozonnetl, J. Les Myxomycètes. Sarl Ed. FMDS 2011, 2, 1–1119. [Google Scholar]
- García-Martín, J.M.; Zamora, J.C.; Lado, C. Multigene phylogeny of the order Physarales (Myxomycetes, Amoebozoa): Shedding light on the dark-spored clade. Persoonia Mol. Phylogeny Evol. Fungi 2023, 51, 89–124. [Google Scholar] [CrossRef] [PubMed]
- Lado, C. An on Line Nomenclatural Information System of Eumycetozoa. Available online: http://www.nomen.eumycetozoa.com/data/index.php (accessed on 21 September 2024).
- Dagamac, N.H.A.; Rea-Maminta, M.A.D.; Dela Cruz, T.E.E. Plasmodial Slime Molds of a Tropical Karst Forest, Quezon National Park, the Philippines. Pac. Sci. 2015, 69, 411–422. [Google Scholar] [CrossRef]
- Stephenson, S.L.; Kalyanasundaram, I.; Lakhanpal, T.N. A Comparative Biogeographical Study of Myxomycetes in the Mid-Appalachians of Eastern North America and Two Regions of India. J. Biogeogr. 1993, 20, 645–657. [Google Scholar] [CrossRef]
- Team, R.C. R: A Language and Environment for Statistical Computing; Foundation for Statistical Computing: Vienna, Austria, 2013. [Google Scholar]
- Hsieh, T.C.; Ma, K.; Chao, A. iNEXT: An R package for rarefaction and extrapolation of species diversity (H ill numbers). Methods Ecol. Evol. 2016, 7, 1451–1456. [Google Scholar] [CrossRef]
- Oksanen, J.; Blanchet, F.G.; Kindt, R.; Legendre, P.; Minchin, P.R.; O’hara, R.B.; Simpson, G.L.; Solymos, P.; Stevens, M.H.H.; Wagner, H. Package ‘vegan.’ Community ecology package, version. R Package Version 2013, 2, 1–295. [Google Scholar]
- Dejong, T.M. A Comparison of Three Diversity Indices Based on Their Components of Richness and Evenness. Oikos 1975, 26, 222–227. [Google Scholar] [CrossRef]
- Shannon, C.E.; Weaver, W. The Mathematical Theory of Communication. Bell Syst. Tech. J. 1948, 27, 379–423. [Google Scholar] [CrossRef]
- Simpson, E.H. Measurement of Diversity. Nature 1949, 163, 688. [Google Scholar] [CrossRef]
- Patil, I. Visualizations with statistical details: The “ggstatsplot” approach. J. Open Source Softw. 2021, 6, 3167. [Google Scholar] [CrossRef]
- Whittaker, R.H. Dominance and Diversity in Land Plant Communities. Science 1965, 147, 250–260. [Google Scholar] [CrossRef]
- Wilson, J.B. Methods for fitting dominance/diversity curves. J. Veg. Sci. 1991, 2, 35–46. [Google Scholar] [CrossRef]
- Dagamac, N.H.A.; Novozhilov, Y.K.; Stephenson, S.L.; Lado, C.; Rojas, C.; Cruz, T.E.E.D.; Unterseher, M.; Schnittler, M. Biogeographical assessment of myxomycete assemblages from Neotropical and Asian Palaeotropical forests. J. Biogeogr. 2017, 44, 1524–1536. [Google Scholar] [CrossRef]
- Dagamac, N.H.A.; Stephenson, S.L.; Cruz, T.E.E.D. Occurrence, distribution and diversity of myxomycetes (plasmodial slime moulds) along two transects in Mt. Arayat National Park, Pampanga, Philippines. Mycology 2012, 3, 119–126. [Google Scholar] [CrossRef]
- Manin, D.Y. Mandelbrot’s Model for Zipf’s Law: Can Mandelbrot’s Model Explain Zipf’s Law for Language? J. Quant. Linguist. 2009, 16, 274–285. [Google Scholar] [CrossRef]
- Motomura, I. A statistical treatment of associations. Jpn. J. Zool. 1932, 44, 379–383. [Google Scholar]
- Motomura, I. Further notes on the law of geometric progression of the population density in animal association. Physiol. Ecol. 1947, 1, 55. (In Japanese) [Google Scholar]
- Rojas, C.; Valverde, R.; Calvo, E. Does elevation influence the distributional patterns of tropical myxomycetes? A case study in Costa Rica. Mycology 2016, 7, 45–52. [Google Scholar] [CrossRef]
- Lado, C.; Wrigley De Basanta, D. A Review of Neotropical Myxomycetes (1828–2008). An. Jardín Botánico Madr. 2008, 65, 211–254. [Google Scholar] [CrossRef]
- Rollins, A.W.; Stephenson, S.L. Myxomycetes associated with grasslands of the western central United States. Fungal Divers. 2013, 59, 147–158. [Google Scholar] [CrossRef]
- Tran, D.Q.; Nguyen, H.T.N.; Tran, H.T.M.; Stephenson, S.L. Myxomycetes recorded from three lowland tropical forests in Vietnam. Mycosphere 2014, 5, 662–672. [Google Scholar] [CrossRef]
- Rojas, C.; Stephenson, S.L.; Valverde, R.; Estrada-Torres, A. A biogeographical evaluation of high-elevation myxomycete assemblages in the northern Neotropics. Fungal Ecol. 2012, 5, 99–113. [Google Scholar] [CrossRef]
- Dagamac, N.H.A.; Rea-Maminta, M.A.D.; Batungbacal, N.S.; Jung, S.H.; Bulang, C.R.T.; Cayago, A.G.R.; Cruz, T.E.E.D. Diversity of plasmodial slime molds (myxomycetes) in coastal, mountain, and community forests of Puerto Galera, Oriental Mindoro, the Philippines. J. Asia-Pacific Biodivers. 2015, 8, 322–329. [Google Scholar] [CrossRef]
- Pecundo, M.H.; Dagamac, N.H.A.; Dela Cruz, T.E.E. A comparative diversity study of myxomycetes in the lowland forests of Mt. Malasimbo and Mt. Siburan, Mindoro Island, Philippines. Karstenia 2020, 58, 275–291. [Google Scholar] [CrossRef]
- Rojas, C.; Doss, R.G. Brief research history and status of myxomycete conservation in the Neotropics. Brenesia 2013, 79, 37–43. [Google Scholar]
- Rojas, C.; Stephenson, S.L.; Huxel, G.R. Macroecology of high-elevation myxomycete assemblages in the northern Neotropics. Mycol. Prog. 2011, 10, 423–437. [Google Scholar] [CrossRef]
- Liu, Q.S.; Yan, S.Z.; Dai, J.Y.; Chen, S.L. Species diversity of corticolous myxomycetes in tianmu mountain national nature reserve, China. Can. J. Microbiol. 2013, 59, 803–813. [Google Scholar] [CrossRef]
- Novozhilov, Y.K.; Shchepin, O.N.; Schnittler, M.; Dagamac, N.H.A.; Alexandrova, A.V.; Popov, E.S.; Kuznetsov, A.N. Myxomycetes associated with mountain tropical forests of Bidoup Nui Ba and Chu Yang Sin national parks (Dalat Plateau, southern Vietnam). Nova Hedwig. 2020, 110, 185–224. [Google Scholar] [CrossRef]
- Takahashi, K.; Fukushima, M.; Arayama, Y.; Matsuda, M.; Kidachi, Y.; Tanaka, F.; Minami, K.; Tominaga, A.; Tateishi, K.; Harakon, Y. The relationship between species diversity of myxomycetes on litter twigs and forest vegetation types in western Japan. Hikobia 2022, 18, 231–243. [Google Scholar]
- Novozhilov, Y.K.; Rollins, A.W.; Shchepin, O.N.; Schnittler, M. Chapter 9-Ecology and distribution of myxomycetes. In Myxomycetes, 2nd ed.; Rojas, C., Stephenson, S.L., Eds.; Academic Press: Cambridge, MA, USA, 2022; pp. 325–376. [Google Scholar]
- Schnittler, M.; Stephenson, S.L. Myxomycete biodiversity in four different forest types in Costa Rica. Mycologia 2000, 92, 626–637. [Google Scholar] [CrossRef]
- Kemppinen, J.; Lembrechts, J.J.; Van Meerbeek, K.; Carnicer, J.; Chardon, N.I.; Kardol, P.; Lenoir, J.; Liu, D.; Maclean, I.; Pergl, J.; et al. Microclimate, an important part of ecology and biogeography. Glob. Ecol. Biogeogr. 2024, 33, e13834. [Google Scholar] [CrossRef]
- Schnittler, M.; Dagamac, N.H.A.; Novozhilov, Y.K. Chapter 9-Biogeographical Patterns in Myxomycetes. In Myxomycetes; Stephenson, S.L., Rojas, C., Eds.; Academic Press: Cambridge, MA, USA, 2017; pp. 299–331. [Google Scholar]
- Stephenson, S.L.; Estrada-Torres, A.; Schnittler, M.; Lado, C.; Wrigley de Basanta, D.; Ogata, N. Distribution and ecology of myxomycetes in the forests of Yucatan. In Lowland Maya Area: Three Millenia at the Human-Wildland Interface; Haworth Press: New York, NY, USA, 2003. [Google Scholar]
- Schnittler, M.; Dagamac, N.H.A.; Woyzichovski, J.; Novozhilov, Y.K. Chapter 10-Biogeographical patterns in myxomycetes. In Myxomycetes, 2nd ed.; Rojas, C., Stephenson, S.L., Eds.; Academic Press: Cambridge, MA, USA, 2022; pp. 377–416. [Google Scholar]
- Ko, T.W.K.; Stephenson, S.L.; Hyde, K.D.; Lumyong, S. Influence of seasonality on the occurrence of myxomycetes. Chiang Mai J. Sci. 2011, 38, 71–84. [Google Scholar]
- Xiao, W.; Chen, H.Y.H.; Kumar, P.; Chen, C.; Guan, Q. Multiple interactions between tree composition and diversity and microbial diversity underly litter decomposition. Geoderma 2019, 341, 161–171. [Google Scholar] [CrossRef]
- Gao, Y.; Yan, S.; Wang, G.; He, G.; Chen, S. Myxomycete diversity and ecology in the Baotianman National Nature Reserve, a subtropical mountain forest in central China. Fungal Ecol. 2018, 35, 10–19. [Google Scholar] [CrossRef]
- Fukasawa, Y.; Hyodo, F.; Kawakami, S.I. Foraging association between myxomycetes and fungal communities on coarse woody debris. Soil Biol. Biochem. 2018, 121, 95–102. [Google Scholar] [CrossRef]
- Kutschera, U.; Hoppe, T. Plasmodial slime molds and the evolution of microbial husbandry. Theory Biosci. 2019, 138, 127–132. [Google Scholar] [CrossRef]
- McLaren, J.R. Diversity in the afterlife. Nature 2014, 509, 173–174. [Google Scholar] [CrossRef]
- Leonardo-Silva, L.; Moreira, I.C.; Camilo-Cotrim, C.F.; Rojas, C.; Xavier-Santos, S.; Rollins, A.W. Ecological Aspects of Myxomycete Assemblages in Two Brazilian Cerrado Landscapes. Slime Molds 2021, 1–13. [Google Scholar] [CrossRef]
- Arenas-Taborda, A.; Carolina García-Chaves, M.; Pablo Niño-García, J.; Rojas, C.; Stephenson, S.L. Myxomycete Assemblage Turnover Across a Moisture and Elevation Gradient in Costa Rica. Slime Molds 2021, 1–4. [Google Scholar] [CrossRef]
- Stephenson, S.L. From morphological to molecular: Studies of myxomycetes since the publication of the Martin and Alexopoulos (1969) monograph. Fungal Divers. 2011, 50, 21–34. [Google Scholar] [CrossRef]
- Walker, L.M.; Cedeño-Sanchez, M.; Carbonero, F.; Herre, E.A.; Turner, B.L.; Wright, S.J.; Stephenson, S.L. The Response of Litter-Associated Myxomycetes to Long-Term Nutrient Addition in a Lowland Tropical Forest. J. Eukaryot. Microbiol. 2019, 66, 757–770. [Google Scholar] [CrossRef]
- Wrigley de Basanta, D.; Estrada-Torres, A. Techniques for Recording and Isolating Myxomycetes. In Myxomycetes: Biology, Systematics, Biogeography and Ecology; Academic Press: Cambridge, MA, USA, 2017; pp. 333–363. [Google Scholar] [CrossRef]
- Andersen, R.A. What to do with protists? Aust. Syst. Bot. 1998, 11, 185–201. [Google Scholar] [CrossRef]
- Walker, L.M.; Stephenson, S.L. The Species Problem in Myxomycetes Revisited. Protist 2016, 167, 319–338. [Google Scholar] [CrossRef] [PubMed]
- Leontyev, D.V. The evolution of sporophore in Reticulariaceae (Myxomycetes). Ukr. Bot. J. 2016, 73, 178–184. [Google Scholar] [CrossRef]
- Leontyev, D.V.; Schnittler, M. The phylogeny and phylogenetically based classification of myxomycetes. In Myxomycetes: Biology, Systematics, Biogeography and Ecology; Academic Press: Cambridge, MA, USA, 2022; pp. 97–124. [Google Scholar] [CrossRef]
- Buisan, P.N.-H.N.; Dagamac, N.H.A. Elucidating hidden slime mold diversity in Southeast Asia: A review of potential methods. Slime Molds 2021, 1, V1A3. [Google Scholar]
- Shchepin, O.; Schnittler, M.; Dagamac, N.H.; Leontyev, D.; Novozhilov, Y. Unexplored diversity of microscopic myxomycetes: Evidence from environmental DNA. Plant Ecol. Evol. 2019, 152, 499–506. [Google Scholar] [CrossRef]
- Shchepin, O.N.; Schnittler, M.; Erastova, D.A.; Prikhodko, I.S.; Dahl, M.B.; Azarov, D.V.; Chernyaeva, E.N.; Novozhilov, Y.K. Community of dark-spored myxomycetes in ground litter and soil of taiga forest (Nizhne-Svirskiy Reserve, Russia) revealed by DNA metabarcoding. Fungal Ecol. 2019, 39, 80–93. [Google Scholar] [CrossRef]
- Dagamac, N.H.A.; Rojas, C.; Novozhilov, Y.K.; Moreno, G.H.; Schlueter, R.; Schnittler, M. Speciation in progress? A phylogeographic study among populations of Hemitrichia serpula (Myxomycetes). PLoS ONE 2017, 12, e0174825. [Google Scholar] [CrossRef]
- Leontyev, D.; Buttgereit, M.; Kochergina, A.; Shchepin, O.; Schnittler, M. Two independent genetic markers support separation of the myxomycete Lycogala epidendrum into numerous biological species. Mycologia 2023, 115, 32–43. [Google Scholar] [CrossRef]
- Woyzichovski, J.; Shchepin, O.N.; Schnittler, M. High Environmentally Induced Plasticity in Spore Size and Numbers of Nuclei per Spore in Physarum Albescens (Myxomycetes). Protist 2022, 173, 125904. [Google Scholar] [CrossRef]
- Shchepin, O.N.; Villalba, L.; Inoue, M.; Prikhodko, I.S.; Erastova, D.A.; Okun, M.V.; Woyzichovski, J.; Yajima, Y.; Gmoshinskiy, V.I.; Moreno, G.; et al. DNA barcodes reliably differentiate between nivicolous species of Diderma (Myxomycetes, Amoebozoa) and reveal regional differences within Eurasia. Protist 2024, 175, 126023. [Google Scholar] [CrossRef]
- Inoue, M.; Woyzichovski, J.; López-Villalba, A.; Shchepin, O.; Klahr, A.; Novozhilov, Y.K.; Schnittler, M. Using barcoding to reveal ecological patterns of nivicolous myxomycetes in the German Alps: How do they deal with varying snow conditions? Fungal Ecol. 2024, 71, 101374. [Google Scholar] [CrossRef]
- Li, M.; Wang, G.; Gao, Y.; Dou, M.; Wang, Z.; Yan, S.; Chen, S. Distribution and diversity of myxomycetes in Tiantangzhai National Forest Park, China. PeerJ 2021, 9, e12059. [Google Scholar] [CrossRef] [PubMed]
- Feng, Y.; Schnittler, M. Molecular or morphological species? Myxomycete diversity in a deciduous forest in northeastern Germany. Nova Hedwig. 2017, 104, 359–380. [Google Scholar] [CrossRef]
- Porter, T.M.; Hajibabaei, M. Scaling up: A guide to high-throughput genomic approaches for biodiversity analysis. Mol. Ecol. 2018, 27, 313–338. [Google Scholar] [CrossRef]
- Irawan, D.E.; Zahroh, H.; Puebla, I. Preprints as a driver of open science: Opportunities for Southeast Asia. Front. Res. Metrics Anal. 2022, 7, 992942. [Google Scholar] [CrossRef]
- Lahuf, A.A.; Jaafar, O.H.; Hameed, Z.L. A simple, rapid, safe and low-cost method to extract DNA from phytopathogenic fungi. Asian J. Agric. Biol. 2019, 7, 197–203. [Google Scholar]
- Giam, X.; Wilcove, D.S. The geography of conservation ecology research in Southeast Asia: Current biases and future opportunities. Raffles Bull. Zool. 2012, 60, 29–36. [Google Scholar]
- Walther, B.A.; Boëte, C.; Binot, A.; By, Y.; Cappelle, J.; Carrique-Mas, J.J.; Chou, M.; Furey, N.; Kim, S.; Lajaunie, C.; et al. Biodiversity and health: Lessons and recommendations from an interdisciplinary conference to advise Southeast Asian research, society and policy. Infect. Genet. Evol. 2016, 40, 29–46. [Google Scholar] [CrossRef]






| Seasons | Elevation Sites | Substrates | ||||||||
|---|---|---|---|---|---|---|---|---|---|---|
| Taxon | Wet | Dry | 1 | 2 | 3 | 4 | 5 | GL | AL | WD |
| Arcyria affinis Rostaf | R | R | R | R | C | |||||
| Arcyria cinerea (Bull.) Pers. | A | C | O | O | C | R | R | C | O | C |
| Arcyria globosa Schwein. | R | R | R | R | R | R | R | |||
| Arcyria incarnata (Pers. ex J.F. Gmel.) Pers. | R | R | R | R | R | |||||
| Arcyria obvelata (Oeder) Onsberg | R | R | R | R | R | R | R | R | R | |
| Collaria cf. arcyrionema (Rostaf.) Nann-Bremek. ex-Lado | R | R | R | R | R | |||||
| Comatricha cf. ellae Härk | R | R | R | |||||||
| Comatricha fragilis Meyl. | R | R | R | |||||||
| Comatricha nigra (Pers. ex J.F. Gmel.) J. Schröt. | R | R | R | R | R | |||||
| Comatricha pulchella (C. Bab.) Rostaf. | R | R | R | |||||||
| Comatricha cf. suksdorfii Ellis & Everh | R | R | R | |||||||
| Comatricha tenerrima (M.A. Curtis) G. Lister | R | R | R | R | ||||||
| Cribraria macrocarpa Schrad. | R | R | R | |||||||
| Cribraria piriformis Schrad. | R | R | R | |||||||
| Cribraria cf. tenella Schrad | R | R | R | R | R | |||||
| Cribraria violacea Rex | R | R | R | R | R | R | R | |||
| Cribraria cf. languescens Rex | R | R | R | |||||||
| Cribraria cf. tecta Hooff | R | R | R | |||||||
| Diachea bulbillosa (Berk. & Broome) Lister | R | R | R | |||||||
| Diderma effusum (Schwein.) Morgan | R | R | R | R | R | R | ||||
| Diderma hemisphaericum (Bull.) Hornem. | O | O | O | R | R | R | O | O | R | |
| Diderma cf. montanum (Meyl.) Meyl. | R | R | R | |||||||
| Diderma testaceum (Schrad.) Pers. | R | R | R | |||||||
| Didymium columella-cavum Hochg, Gottsb et Nann -Bremek | R | R | R | R | ||||||
| Didymium difforme (Pers.) Gray | R | R | R | R | R | R | ||||
| Didymium nigripes (Link) Fr. | R | R | R | R | R | R | R | R | ||
| Didymium serpula Fr. | R | R | R | |||||||
| Didymium squamulosum (Alb. & Schwein.) Fr. & Palmquist | C | R | O | R | R | R | R | O | O | R |
| Didymium verrucosporum A.L. Welden | R | R | R | R | R | R | ||||
| Hemitrichia calyculata (Speg.) M.L.Farr | R | R | R | R | R | |||||
| Hemitrichia cf. minor G. Lister | R | R | R | |||||||
| Hemitrichia serpula (Scop.) Rostaf. ex-Lister | R | R | R | R | R | R | R | |||
| Hemitrichia pardina (Minakata) Ing | R | R | R | R | R | |||||
| Lamproderma scintillans (Berk. & Broome) Morgan | R | R | R | |||||||
| Lepidoderma tigrinum (Schrad.) Rostaf. | R | R | R | |||||||
| Oligonema sp. | R | R | R | |||||||
| Ophiotheca chrysosperma (Curr.) Lister | R | R | R | R | R | R | O | |||
| Perichaena depressa Lib. | O | O | R | R | R | R | R | R | O | R |
| Perichaena dictyonema Rammeloo | R | R | R | R | R | |||||
| Perichaena pedata (Lister & G. Lister) Lister ex E. Jahn | R | R | R | |||||||
| Perichaena cf. vermicularis (Schwein.) Rostaf. | R | R | R | |||||||
| Physarum bitectum G.Lister | R | R | R | |||||||
| Physarum bivalve Pers. | R | R | R | R | R | |||||
| Physarum cinereum (Batsch) Pers. | R | R | R | R | R | R | ||||
| Physarum compressum Alb. & Schwein. | R | R | R | R | R | R | R | R | ||
| Physarum decipiens M.A. Curtis | R | R | R | R | R | R | R | R | ||
| Physarum diderma Rostaf. | R | R | R | R | R | R | R | |||
| Physarum echinosporum Lister | R | R | R | R | R | R | R | |||
| Physarum gyrosum Rostaf. | R | R | R | R | ||||||
| Physarum leucophaeum Fr. & Palmquist | R | R | R | |||||||
| Physarum notabile T. Macbr. | R | R | R | |||||||
| Physarum pusillum (Berk. & M.A. Curtis) G. Lister | R | R | R | |||||||
| Physarum viride (Bull.) Pers. | R | R | R | |||||||
| Stemonitis fusca Roth | R | R | R | R | R | R | R | R | R | |
| Stemonitis pallida Wingate | R | R | R | R | ||||||
| Trichia cf. persimilis P. Karst. | R | R | R | |||||||
| Trichia cf. scabra Rostaf. | R | R | R | |||||||
| Species Richness (S) | 51 | 26 | 33 | 32 | 24 | 17 | 7 | 28 | 33 | 30 |
Disclaimer/Publisher’s Note: The statements, opinions and data contained in all publications are solely those of the individual author(s) and contributor(s) and not of MDPI and/or the editor(s). MDPI and/or the editor(s) disclaim responsibility for any injury to people or property resulting from any ideas, methods, instructions or products referred to in the content. |
© 2025 by the authors. Licensee MDPI, Basel, Switzerland. This article is an open access article distributed under the terms and conditions of the Creative Commons Attribution (CC BY) license (https://creativecommons.org/licenses/by/4.0/).
Share and Cite
Racoma, C.J.M.; Redeña-Santos, J.C.; Dagamac, N.H.A. Distribution and Diversity of Myxomycetes Along the Elevational Belt of Mt. Calavite Wildlife Sanctuary (MCWS), Occidental Mindoro, Philippines. Ecologies 2025, 6, 7. https://doi.org/10.3390/ecologies6010007
Racoma CJM, Redeña-Santos JC, Dagamac NHA. Distribution and Diversity of Myxomycetes Along the Elevational Belt of Mt. Calavite Wildlife Sanctuary (MCWS), Occidental Mindoro, Philippines. Ecologies. 2025; 6(1):7. https://doi.org/10.3390/ecologies6010007
Chicago/Turabian StyleRacoma, Christon Jairus M., John Carlo Redeña-Santos, and Nikki Heherson A. Dagamac. 2025. "Distribution and Diversity of Myxomycetes Along the Elevational Belt of Mt. Calavite Wildlife Sanctuary (MCWS), Occidental Mindoro, Philippines" Ecologies 6, no. 1: 7. https://doi.org/10.3390/ecologies6010007
APA StyleRacoma, C. J. M., Redeña-Santos, J. C., & Dagamac, N. H. A. (2025). Distribution and Diversity of Myxomycetes Along the Elevational Belt of Mt. Calavite Wildlife Sanctuary (MCWS), Occidental Mindoro, Philippines. Ecologies, 6(1), 7. https://doi.org/10.3390/ecologies6010007

