Biophysical Insights into the Binding Interactions of Inhibitors (ICA-1S/1T) Targeting Protein Kinase C-ι
Abstract
1. Introduction
2. Materials and Methods
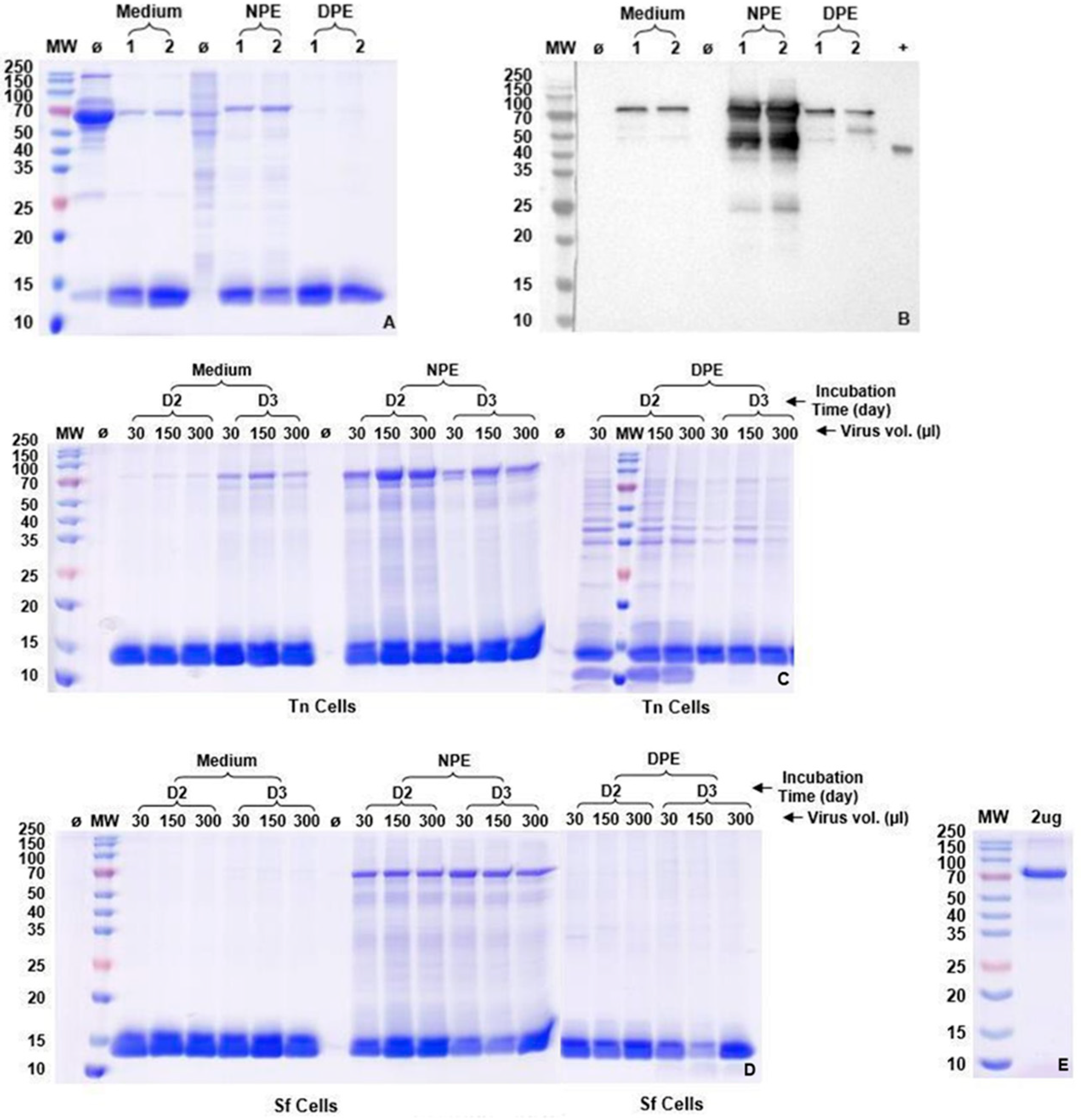
2.1. Expression and Purification of PKC-ι
2.2. Molecular Docking
2.3. Dynamic Light Scattering (DLS)
2.4. Nano-Differential Scanning Fluorimetry (nanoDSF)
2.5. Microscale Thermophoresis
3. Results
3.1. Molecular Docking of ICA-1T and ICA-1S to PKC-ι
3.2. The DLS Analysis Indicates PKC-ι and ICA-1S Homogeneity in the Protein–Ligand Complex
3.3. The NanoDSF Results Indicate a Stable PKC-ι and ICA-1S Complex Formation
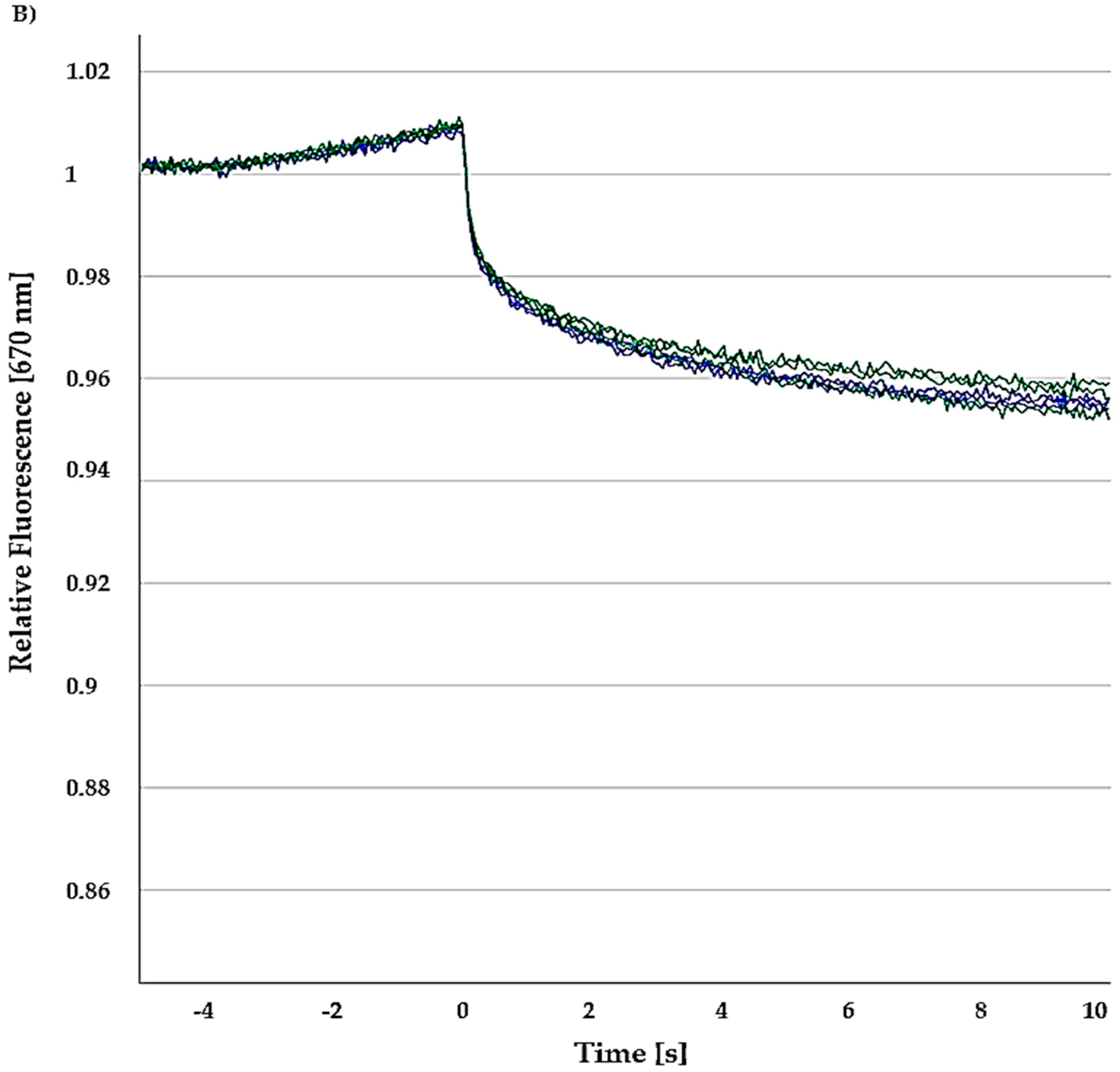
3.4. Turbidity Profile of PKC-ɩ and ICA-1S Indicates a Ligand-Induced Thermal Stability Enhancement
3.5. Determination of Binding Affinity by MST Using NHS-Ester Labeled PKC-ι
3.6. Assessing the Biophysical Properties of PKC-ι and ICA-1S by Isothermal Titration Calorimetry (ITC)
4. Discussion
5. Conclusions
Supplementary Materials
Author Contributions
Funding
Institutional Review Board Statement
Informed Consent Statement
Data Availability Statement
Acknowledgments
Conflicts of Interest
References
- Cicenas, J.; Zalyte, E.; Bairoch, A.; Gaudet, P. Kinases and Cancer. Cancers 2018, 10, 63. [Google Scholar] [CrossRef]
- Mochly-Rosen, D.; Das, K.; Grimes, K.V. Protein kinase C, an elusive therapeutic target? Nat. Rev. Drug Discov. 2012, 11, 937–957. [Google Scholar] [CrossRef]
- Vlahovic, G.; Crawford, J. Activation of Tyrosine Kinases in Cancer. Oncology 2003, 8, 531–538. [Google Scholar] [CrossRef] [PubMed]
- Farese, R.V.; Sajan, M.P. Metabolic functions of atypical protein kinase C: “Good” and “bad” as defined by nutritional status. Am. J. Physiol. -Endocrinol. Metab. 2010, 298, E385–E394. [Google Scholar] [CrossRef] [PubMed]
- Griner, E.M.; Kazanietz, M.G. Protein kinase C and other diacylglycerol effectors in cancer. Nat. Rev. Cancer 2007, 7, 281–294. [Google Scholar] [CrossRef] [PubMed]
- Fields, A.P.; Regala, R.P. Protein kinase Cι: Human oncogene, prognostic marker and therapeutic target. Pharmacol. Res. 2007, 55, 487–497. [Google Scholar] [CrossRef]
- Dey, A.; Islam, S.A.; Patel, R.; Acevedo-Duncan, M. The interruption of atypical PKC signaling and Temozolomide combination therapy against glioblastoma. Cell. Signal. 2021, 77, 109819. [Google Scholar] [CrossRef]
- Ratnayake, W.S.; Apostolatos, C.A.; Apostolatos, A.H.; Schutte, R.J.; Huynh, M.A.; Ostrov, D.A.; Acevedo-Duncan, M. Oncogenic PKC-ι activates Vimentin during epithelial-mesenchymal transition in melanoma; a study based on PKC-ι and PKC-ζ specific inhibitors. Cell Adhes. Migr. 2018, 12, 1–17. [Google Scholar] [CrossRef]
- Marzan, M.; Oishee, N.N.; Olatunji, A.O.; Shourav, A.H.; Noor, R.E.; Astalos, A.J.; Leahy, J.W.; Acevedo-Duncan, M. Proteasome Inhibitor MG-132 and PKC-ι-Specific Inhibitor ICA-1S Degrade Mutant p53 and Induce Apoptosis in Ovarian Cancer Cell Lines. Int. J. Mol. Sci. 2025, 26, 3035. [Google Scholar] [CrossRef]
- Khalid, K.M.; Ratnayake, W.S.; Apostolatos, C.A.; Acevedo-Duncan, M. Dual inhibition of atypical PKC signaling and PI3K/Akt signaling dysregulates c-Myc to induce apoptosis in clear cell Renal Cell Carcinoma. Front. Oncol. 2024, 13, 1213715. [Google Scholar] [CrossRef]
- Nanos-Webb, A.; Bui, T.; Karakas, C.; Zhang, D.; Carey, J.P.; Mills, G.B.; Hunt, K.K.; Keyomarsi, K. PKCiota promotes ovarian tumor progression through deregulation of cyclin E. Oncogene 2016, 35, 2428–2440. [Google Scholar] [CrossRef]
- Pillai, P.; Desai, S.; Patel, R.; Sajan, M.; Farese, R.; Ostrov, D.; Acevedo-Duncan, M. A novel PKC-ι inhibitor abrogates cell proliferation and induces apoptosis in neuroblastoma. Int. J. Biochem. Cell Biol. 2011, 43, 784–794. [Google Scholar] [CrossRef]
- Desai, S.R.; Pillai, P.P.; Patel, R.S.; McCray, A.N.; Win-Piazza, H.Y.; Acevedo-Duncan, M.E. Regulation of Cdk7 activity through a phosphatidylinositol (3)-kinase/PKC-ι-mediated signaling cascade in glioblastoma. Carcinogenesis 2012, 33, 10–19. [Google Scholar] [CrossRef]
- Apostolatos, A.H.; Apostolatos, C.A.; Ratnayake, W.S.; Neuger, A.; Sansil, S.; Bourgeois, M.; Acevedo-Duncan, M. Preclinical testing of 5-amino-1-((1R,2S,3S,4R)-2,3-dihydroxy-4-methylcyclopentyl)-1H-imidazole-4-carboxamide: A potent protein kinase C-ι inhibitor as a potential prostate carcinoma therapeutic. Anticancer Drugs 2019, 30, 65–71. [Google Scholar] [CrossRef]
- Apostolatos, C.A.; Ratnayake, W.S.; Breedy, S.; Chuah, J.K.C.; Miller, J.A.; Zink, D.; Bourgeois, M.; Acevedo-Duncan, M. Preclinical Testing of Chronic ICA-1S Exposure: A Potent Protein Kinase C-ι Inhibitor as a Potential Carcinoma Therapeutic. Drugs Drug Candidates 2024, 3, 368–379. [Google Scholar] [CrossRef]
- Kost, T.A.; Condreay, J.P.; Jarvis, D.L. Baculovirus as versatile vectors for protein expression in insect and mammalian cells. Nat. Biotechnol. 2005, 23, 567–575. [Google Scholar] [CrossRef]
- Hong, M.; Li, T.; Xue, W.; Zhang, S.; Cui, L.; Wang, H.; Zhang, Y.; Zhou, L.; Gu, Y.; Xia, N.; et al. Genetic engineering of baculovirus-insect cell system to improve protein production. Front. Bioeng. Biotechnol. 2022, 10, 994743. [Google Scholar] [CrossRef]
- Messerschmidt, A.; Macieira, S.; Velarde, M.; Bädeker, M.; Benda, C.; Jestel, A.; Brandstetter, H.; Neuefeind, T.; Blaesse, M. Crystal Structure of the Catalytic Domain of Human Atypical Protein Kinase C-iota Reveals Interaction Mode of Phosphorylation Site in Turn Motif. J. Mol. Biol. 2005, 352, 918–931. [Google Scholar] [CrossRef]
- Soriano, E.V.; Ivanova, M.E.; Fletcher, G.; Riou, P.; Knowles, P.P.; Barnouin, K.; Purkiss, A.; Kostelecky, B.; Saiu, P.; Linch, M.; et al. aPKC Inhibition by Par3 CR3 Flanking Regions Controls Substrate Access and Underpins Apical-Junctional Polarization. Dev. Cell 2016, 38, 384–398. [Google Scholar] [CrossRef] [PubMed]
- Schramm, P.; Würtenberger, S.; Kleusch, C.T.N. Sizing Accuracy and Intra-Assay Precision of DLS Measurements with Prometheus Panta. 2020. pp. 3–6. Available online: https://resources.nanotempertech.com/technical-notes/sizing-accuracy-and-intra-assay-precision-of-dls-measurements-with-prometheus-panta (accessed on 13 November 2020).
- Magnani, F.; Serrano-Vega, M.J.; Shibata, Y.; Abdul-Hussein, S.; Lebon, G.; Miller-Gallacher, J.; Singhal, A.; Strege, A.; Thomas, J.A.; Tate, C.G. Thermal stability of membrane-bound proteins. Struct. Biol. Commun. 2019, 75, 270–277. [Google Scholar]
- Tosstorff, A.; Svilenov, H.; Peters, G.H.; Harris, P.; Winter, G. Structure-based discovery of a new protein-aggregation breaking excipient. Eur. J. Pharm. Biopharm. 2019, 144, 207–216. [Google Scholar] [CrossRef] [PubMed]
- Kim, S.H.; Yoo, H.J.; Park, E.J.; Na, D.H. Nano Differential Scanning Fluorimetry-Based Thermal Stability Screening and Optimal Buffer Selection for Immunoglobulin G. Pharmaceuticals 2021, 15, 29. [Google Scholar] [CrossRef]
- Stetefeld, J.; McKenna, S.A.; Patel, T.R. Dynamic light scattering: A practical guide and applications in biomedical sciences. Biophys. Rev. 2016, 8, 409–427. [Google Scholar] [CrossRef]
- Hallett, F.R. Particle size analysis by dynamic light scattering. Food Res. Int. 1994, 27, 195–198. [Google Scholar] [CrossRef]
- Chattopadhyay, G.; Varadarajan, R. Facile measurement of protein stability and folding kinetics using a nano differential scanning fluorimeter. Protein Sci. 2019, 28, 1127–1134. [Google Scholar] [CrossRef]
- Magnusson, A.O.; Szekrenyi, A.; Joosten, H.; Finnigan, J.; Charnock, S.; Fessner, W. nanoDSF as screening tool for enzyme libraries and biotechnology development. FEBS J. 2018, 286, 184–204. [Google Scholar] [CrossRef]
- Celej, M.S.; Montich, G.G.; Fidelio, G.D. Protein stability induced by ligand binding correlates with changes in protein flexibility. Protein Sci. 2003, 12, 1496–1506. [Google Scholar] [CrossRef] [PubMed]
- Hall, D.; Zhao, R.; Dehlsen, I.; Mannix, E.J.; Williams, S.R.; Arisaka, F.; Goto, Y.; Carver, J.A. Protein aggregate turbidity: Simulation of turbidity profiles for mixed-aggregation reactions. Anal. Biochem. 2016, 498, 78–94. [Google Scholar] [CrossRef]
- Entzian, C.; Schubert, T. Studying small molecule–aptamer interactions using MicroScale Thermophoresis (MST). Methods 2016, 97, 27–34. [Google Scholar] [CrossRef] [PubMed]
- Jerabek-Willemsen, M.; André, T.; Wanner, R.; Roth, H.M.; Duhr, S.; Baaske, P.; Breitsprecher, D. MicroScale Thermophoresis: Interaction analysis and beyond. J. Mol. Struct. 2014, 1077, 101–113. [Google Scholar] [CrossRef]
- Jerabek-Willemsen, M.; Wienken, C.J.; Braun, D.; Baaske, P.; Duhr, S. Molecular Interaction Studies Using Microscale Thermophoresis. ASSAY Drug Dev. Technol. 2011, 9, 342–353. [Google Scholar] [CrossRef]
- Baaske, P.; Wienken, C.J.; Reineck, P.; Duhr, S.; Braun, D. Optical Thermophoresis for Quantifying the Buffer Dependence of Aptamer Binding. Angew. Chem. Int. Ed. 2010, 49, 2238–2241. [Google Scholar] [CrossRef]
- Duhr, S.; Braun, D. Why molecules move along a temperature gradient. Proc. Natl. Acad. Sci. USA 2006, 103, 19678–19682. [Google Scholar] [CrossRef]
- Saponaro, A. Isothermal Titration Calorimetry: A Biophysical Method to Characterize the Interaction between Label-free Biomolecules in Solution. Bio-Protocol 2018, 8, e2957. [Google Scholar] [CrossRef] [PubMed]
- Wiseman, T.; Williston, S.; Brandts, J.F.; Lin, L.-N. Rapid measurement of binding constants and heats of binding using a new titration calorimeter. Anal. Biochem. 1989, 179, 131–137. [Google Scholar] [CrossRef] [PubMed]
- Kjær, S.; Linch, M.; Purkiss, A.; Kostelecky, B.; Knowles, P.P.; Rosse, C.; Riou, P.; Soudy, C.; Kaye, S.; Patel, B.; et al. Adenosine-binding motif mimicry and cellular effects of a thieno [2,3-d] pyrimidine-based chemical inhibitor of atypical protein kinase C isoenzymes. Biochem. J. 2013, 451, 329–342. [Google Scholar] [CrossRef]
- Sastry, G.M.; Adzhigirey, M.; Day, T.; Annabhimoju, R.; Sherman, W. Protein and ligand preparation: Parameters, protocols, and influence on virtual screening enrichments. J. Comput. Aided Mol. Des. 2013, 27, 221–234. [Google Scholar] [CrossRef]
- Søndergaard, C.R.; Olsson, M.H.M.; Rostkowski, M.; Jensen, J.H. Improved Treatment of Ligands and Coupling Effects in Empirical Calculation and Rationalization of pKa Values. J. Chem. Theory Comput. 2011, 7, 2284–2295. [Google Scholar] [CrossRef] [PubMed]
- Lu, C.; Wu, C.; Ghoreishi, D.; Chen, W.; Wang, L.; Damm, W.; Ross, G.A.; Dahlgren, M.K.; Russell, E.; Von Bargen, C.D.; et al. OPLS4: Improving Force Field Accuracy on Challenging Regimes of Chemical Space. J. Chem. Theory Comput. 2021, 17, 4291–4300. [Google Scholar] [CrossRef]
- Jacobson, M.P.; Pincus, D.L.; Rapp, C.S.; Day, T.J.F.; Honig, B.; Shaw, D.E.; Friesner, R.A. A hierarchical approach to all-atom protein loop prediction. Proteins Struct. Funct. Bioinform. 2004, 55, 351–367. [Google Scholar] [CrossRef]
- Schrödinger Release 2023-2. Available online: https://www.schrodinger.com/life-science/download/release-notes/release-2023-2/ (accessed on 28 February 2023).
- Almagor, L.; Weis, W.I. Polarity protein Par6 facilitates the processive phosphorylation of Lgl via a dynamic interaction with aPKC. Commun. Biol. 2025, 8, 967. [Google Scholar] [CrossRef]
- Johnston, R.C.; Yao, K.; Kaplan, Z.; Chelliah, M.; Leswing, K.; Seekins, S.; Watts, S.; Calkins, D.; Chief Elk, J.; Jerome, S.V.; et al. Epik: P K a and protonation state prediction through machine learning. J. Chem. Theory Comput. 2023, 19, 2380–2388. [Google Scholar] [CrossRef]
- Eberhardt, J.; Santos-Martins, D.; Tillack, A.F.; Forli, S. AutoDock Vina 1.2. 0: New docking methods, expanded force field, and python bindings. J. Chem. Inf. Model. 2021, 61, 3891–3898. [Google Scholar] [CrossRef] [PubMed]
- Friesner, R.A.; Banks, J.L.; Murphy, R.B.; Halgren, T.A.; Klicic, J.J.; Mainz, D.T.; Repasky, M.P.; Knoll, E.H.; Shelley, M.; Perry, J.K.; et al. Glide: A New Approach for Rapid, Accurate Docking and Scoring. 1. Method and Assessment of Docking Accuracy. J. Med. Chem. 2004, 47, 1739–1749. [Google Scholar] [CrossRef]
- Morris, G.M.; Huey, R.; Lindstrom, W.; Sanner, M.F.; Belew, R.K.; Goodsell, D.S.; Olson, A.J. AutoDock4 and AutoDockTools4: Automated docking with selective receptor flexibility. J. Comput. Chem. 2009, 30, 2785–2791. [Google Scholar] [CrossRef] [PubMed]
- Schrödinger Release 2018-4 Induced Fit Docking Protocol: Glide. Available online: https://ir.schrodinger.com/press-releases/news-details/2018/Announcing-Schrdinger-Software-Release-2018-4-11-14-2018/default.aspx (accessed on 14 November 2018).
- Sherman, W.; Day, T.; Jacobson, M.P.; Friesner, R.A.; Farid, R. Novel Procedure for Modeling Ligand/Receptor Induced Fit Effects. J. Med. Chem. 2005, 49, 534–553. [Google Scholar] [CrossRef] [PubMed]
- Friesner, R.A.; Murphy, R.B.; Repasky, M.P.; Frye, L.L.; Greenwood, J.R.; Halgren, T.A.; Sanschagrin, P.C.; Mainz, D.T. Extra Precision Glide: Docking and Scoring Incorporating a Model of Hydrophobic Enclosure for Protein−Ligand Complexes. J. Med. Chem. 2006, 49, 6177–6196. [Google Scholar] [CrossRef]
- Bartoschik, T.; Galinec, S.; Kleusch, C.; Walkiewicz, K.; Breitsprecher, D.; Weigert, S.; Muller, Y.A.; You, C.; Piehler, J.; Vercruysse, T.; et al. Near-native, site-specific and purification-free protein labeling for quantitative protein interaction analysis by MicroScale Thermophoresis. Sci. Rep. 2018, 8, 4977. [Google Scholar] [CrossRef]
- Brautigam, C.A.; Zhao, H.; Vargas, C.; Keller, S.; Schuck, P. Integration and global analysis of isothermal titration calorimetry data for studying macromolecular interactions. Nat. Protoc. 2016, 11, 882–894. [Google Scholar] [CrossRef]
- Clark, J.J.; Benson, M.L.; Smith, R.D.; Carlson, H.A.; Deane, C.M. Inherent versus induced protein flexibility: Comparisons within and between apo and holo structures. PLoS Comput. Biol. 2019, 15, e1006705. [Google Scholar] [CrossRef]
- Panalytical, M. Microcal PEAQ-ITC Operating Instructions. 2015. Available online: https://www.malvernpanalytical.com/en/learn/knowledge-center/user-manuals/man0572en (accessed on 8 April 2015).
- Abraham, T.; Lewis, R.N.A.H.; Hodges, R.S.; McElhaney, R.N. Isothermal Titration Calorimetry Studies of the Binding of a Rationally Designed Analogue of the Antimicrobial Peptide Gramicidin S to Phospholipid Bilayer Membranes. Biochemistry 2005, 44, 2103–2112. [Google Scholar] [CrossRef]













Disclaimer/Publisher’s Note: The statements, opinions and data contained in all publications are solely those of the individual author(s) and contributor(s) and not of MDPI and/or the editor(s). MDPI and/or the editor(s) disclaim responsibility for any injury to people or property resulting from any ideas, methods, instructions or products referred to in the content. |
© 2025 by the authors. Licensee MDPI, Basel, Switzerland. This article is an open access article distributed under the terms and conditions of the Creative Commons Attribution (CC BY) license (https://creativecommons.org/licenses/by/4.0/).
Share and Cite
Noor, R.E.; Islam, S.; Smalley, T.; Mizgalska, K.; Eschenfelder, M.; Keramisanou, D.; Astalos, A.J.; Leahy, J.W.; Guida, W.C.; Karolak, A.; et al. Biophysical Insights into the Binding Interactions of Inhibitors (ICA-1S/1T) Targeting Protein Kinase C-ι. Biophysica 2025, 5, 36. https://doi.org/10.3390/biophysica5030036
Noor RE, Islam S, Smalley T, Mizgalska K, Eschenfelder M, Keramisanou D, Astalos AJ, Leahy JW, Guida WC, Karolak A, et al. Biophysical Insights into the Binding Interactions of Inhibitors (ICA-1S/1T) Targeting Protein Kinase C-ι. Biophysica. 2025; 5(3):36. https://doi.org/10.3390/biophysica5030036
Chicago/Turabian StyleNoor, Radwan Ebna, Shahedul Islam, Tracess Smalley, Katarzyna Mizgalska, Mark Eschenfelder, Dimitra Keramisanou, Aaron Joshua Astalos, James William Leahy, Wayne Charles Guida, Aleksandra Karolak, and et al. 2025. "Biophysical Insights into the Binding Interactions of Inhibitors (ICA-1S/1T) Targeting Protein Kinase C-ι" Biophysica 5, no. 3: 36. https://doi.org/10.3390/biophysica5030036
APA StyleNoor, R. E., Islam, S., Smalley, T., Mizgalska, K., Eschenfelder, M., Keramisanou, D., Astalos, A. J., Leahy, J. W., Guida, W. C., Karolak, A., Gelis, I., & Acevedo-Duncan, M. (2025). Biophysical Insights into the Binding Interactions of Inhibitors (ICA-1S/1T) Targeting Protein Kinase C-ι. Biophysica, 5(3), 36. https://doi.org/10.3390/biophysica5030036

