Next Article in Journal
Assessing the Impact of E-Commerce of a Footwear Vendor in Malaysia Through a Structural Equation Modeling Approach
Previous Article in Journal
Promoting Healthy Lifestyles: Availability of Healthy Resources and Prescriptions from Health Professionals—The Case of Tarragona, Spain
 
 
Font Type:
Arial Georgia Verdana
Font Size:
Aa Aa Aa
Line Spacing:
Column Width:
Background:
Article

Developing and Implementing a Risk Analysis-Based Model for Effective Management of Protected Areas

1
Department of Geomatics, Faculty of Architecture and Planning, King Abdulaziz University, Jeddah 21589, Saudi Arabia
2
Civil Engineering Department, College of Engineering, Taif University, P.O. Box 11099, Taif 21944, Saudi Arabia
3
King Abdulaziz City for Science and Technology (KACST), Riyadh 12354, Saudi Arabia
4
National Centre of Wildlife (NCW), Riyadh 12742, Saudi Arabia
*
Author to whom correspondence should be addressed.
World 2024, 5(4), 1285-1306; https://doi.org/10.3390/world5040066
Submission received: 12 September 2024 / Revised: 20 November 2024 / Accepted: 1 December 2024 / Published: 3 December 2024

Abstract

Managing protected areas (PAs) supports protecting biodiversity and preserves ecological functions. Many risks associated with PAs management affect the most important goals of PAs including sustainability, effectiveness, and ecological balance. This work aims to define the most predictable risk factors affecting PAs management as well as to introduce a model for assessing and exploring the influences of the identified risk factors on PAs management. Fifty-four risk factors affecting the PAs management goals are defined under seven risk groups including general and fundamental preparations, monitoring system, protocols, and implementation plans, training, visitors, employees, and activities conducted within the PAs. Many characteristics of risk factors such as presence rate and impacts on sustainability, effectiveness, and ecological balance goals are introduced. Fuzzy logic is utilized in developing the proposed risk model and applied using data collected in the Kingdom of Saudi Arabia. Various relationships are introduced among risk indices that impact PAs management goals, ensuring close relations among all indices. The results highlight various important risk factors, such as the “Absence of mechanisms for early warning of disasters affecting protected areas”, and the “Lack of a system for monitoring the occurrence development and spread of disasters”. A risk group related to the monitoring system has been identified as causing the highest risk impacting the management of PAs. Further, most of the risk impacts on the three goals are due to protocols and implementation plans group. This work presents a new strategy to support managing PAs in Saudi Arabia, which can be easily adapted for application in other countries.

1. Introduction

Protected areas (PAs) are designated geographical spaces that are recognized, dedicated, and managed to ensure the long-term protection of nature along with its related ecosystem services and cultural values [1]. They are considered the fundamental cornerstone of protecting and sustaining biodiversity, ecosystems, and unique natural resources and cultural values and finding ways in which the interactions between humans and nature coincide with mutually beneficial outcomes [2]. According to the Protected Planet Report of the World Database presented in June 2023, the total number of PAs in the world is 285,415, covering 244 countries and territories [3]. Establishing PAs is considered the major strategy for safeguarding wildlife and plant life from degradation and environmental threats caused by human activities, such as poaching, pollution, and habitat destruction [4]. According to the National Database on PAs in Saudi Arabia, 2024, there are currently a total of 36 designated PAs in the Kingdom. These cover 91,734 km2 of terrestrial area (18.1%) and 14,382 km2 of marine habitat (6.45%) [5]. Saudi Arabia is divided into seven main terrestrial physiographic regions, along with two marine regions, as classified by Child and Grainger in 1990 [6]. It can be classified into four realms, 20 eco-regions, and 65 ecosystems [5]. These ecosystems encompass a wide variety of terrestrial habitats, ranging from cool, moist high mountain areas to arid desert steppes and warm, semi-arid coastal plains. Saudi Arabia’s PA governance structure is characterized by a state-led management approach, emphasizing centralized monitoring and response mechanisms. This model prioritizes top-down oversight rather than engaging in localized or community-driven participation [5].
Recently, the Uruq Bani Ma’arid property, located at the western edge of Ar-Rub’ al-Khali, was recorded on the UNESCO World Heritage site list [7]. This reflects the efforts made by the kingdom to preserve biodiversity and protect natural environments. Establishing more nature PAs is a direct and effective way of biodiversity conservation [8], one of the main objectives of the Kingdom’s Vision 2030, as outlined in the Saudi Green Initiative and aligned with the Convention on Biological Diversity (CBD) Global Biodiversity Framework [9], is to protect 30% of the land and sea areas [10].
In addition to protecting biodiversity and safeguarding natural habitats by restricting and prohibiting human activities [11,12], PAs provide numerous environmental, economic, social, and scientific benefits. These benefits comprise developing ecotourism, mitigating the effects of climate change, maintaining ecological balance, and supporting scientific research. Despite their substantial importance in conserving biodiversity, PAs face numerous challenges, including those related to poaching, combating wildfires, illegal resource extraction, and tourism activities in PAs [13,14,15,16], which significantly impacts their effectiveness in achieving their goals. The main problems faced by PAs can be classified into three main groups. The first group is related to human encroachment, which includes mining exploration, oil extraction, urban and agricultural expansion, over-tourism, and overgrazing. The second group is related to environmental effects, these effects include chemical and industrial pollution, diseases and epidemics, the spread of invasive species, and climate change [17]. The third group is regarding management issues that include lack of funding, shortage of human resources, and weak environmental legislation.
The success of PAs in achieving their conservation goals largely depends on the quality of their management [18]. Effective management can enhance the conservation outcomes of PAs by reducing or mitigating the effect of other source problems, whereas poor management can lead to biodiversity loss, ecosystem degradation, and reduced benefits. Furthermore, well-managed PAs afford significant sustainable ecosystems, great efficiency in conserving biodiversity, and remarkable ecological balance in PAs. Thus, evaluating the efficiency of PAs management is fundamental. It is a concern that has been given serious attention by the International Union for Conservation of Nature (IUCN) [19] and the World Commission on PAs (WCPA) [20]. In the following, a brief description of the three main goals of Well-managed PAs (Sustainability, Effectiveness, and Ecological balance) is presented.
Sustainability of PAs means managing these areas in a way that guarantees the long-term preservation of biodiversity and ecosystems. Protected areas contribute to the preservation of biological and landscape diversity via the preservation of ecosystems and specific habitats of plant and animal species [21]. Sustainability can be adopted as a common strategy for sustainable economic, social, and environmental goals [22] which could contribute to the development of PAs. In addition to the socio-economic functions, tourism has a significant impact on the development and sustainability of PAs [23]. Properly well-planned tourism development can participate in the sociocultural, economic, and ecological benefits for the destination [24]. So, the second strategy is encouraging sustainable ecotourism which involves implementing restrictions and controls on tourism activities within PAs to minimize the negative impact on the natural habitats and wildlife as followed in Uruq Bani Ma’arid property [5]. It also includes educating visitors about the importance of preserving the PAs and encouraging their responsible behaviors.
The effectiveness of PAs can be defined as their ability to achieve environmental protection goals and conserve biodiversity and ecosystems, along with balancing economic and social needs. In other words, it is the management’s capability to protect values and achieve objectives [25]. Evaluating management effectiveness is regarded as an essential element of flexible, proactive PAs management [26]. Measuring the effectiveness of PAs involves several indicators. These indicators could reflect the success of PAs in protecting both living organisms and ecosystems. Implementing plans for conserving endangered species, monitoring changes in the population’s wildlife and plant species, adapting to climate change, and preventing human threats and illegal activity are the main indicators of PAs efficiency. Several scholars explore PAs effectiveness by utilizing the technique of restricting and prohibiting human activities [27,28,29]. Related studies are also presented at both national and regional levels [30,31]. These studies introduce a straightforward and well-organized method for assessing the effectiveness of large or multiple PAs in decreasing human pressure. Conversely, they did not account for sufficient human influence factors due to limitations in data availability [32]. From a global perspective, both the IUCN and the Intergovernmental Science-Policy Platform on Biodiversity and Ecosystem Services (IPBES) have conducted extensive analyses on the effectiveness of PAs management, offering essential insights into global strategies [1,33]. One widely recognized approach is the Protected Area Management Effectiveness (PAME) framework, which relies heavily on comprehensive data from PAs [17,25]. Moreover, Ghoddousi et al., proposed a multidimensional conceptual framework to assess effectiveness along three complementary dimensions: ecological outcomes, social outcomes, and social-ecological interactions [34]. In Saudi Arabia, however, there is a significant information gap regarding PAs, and such detailed data are more of an exception than the norm.
Ecological balance refers to the harmony and stability among all components of the ecosystem, including living organisms and non-living elements within the protected area. As they are deemed essential for protecting significant habitats, biodiversity, and the livelihoods of local communities [35], PAs introduce an important role in maintaining ecological balance [36]. Because of its natural wonders’ wealth, PAs everywhere are easily accessed by a substantial number of daily visitors [37]. This led to significant environmental influences and affected the ecological balance of this system [38]. The goal of sustaining ecological balance in PAs is to ensure that all components in the protected area interact in a way that prevents any imbalances that might lead to environmental degradation. To maintain ecological balance in PAs, it is essential to adopt comprehensive strategies, such as protecting local species, conducting continuous monitoring, and adapting to environmental changes and natural events that can impact the ecological balance like fires, floods, or droughts.
Risk can be defined as an uncertain event or condition, that if it occurs, has a positive or negative effect on a project’s objective. The key element of this definition is that the effect of the uncertainty if it occurs, may be positive or negative on the objectives of the planned endeavor [39]. However, many risks associated with PAs can affect the achievement of the goals. So, it is essential to detect the main risk factors that affect the management of PAs and to investigate the influences of each on the desired goals.
Most methodologies used for assessing the management effectiveness of PAs highlight the significance of describing risks and their external effects. Risks associated with PAs incorporate various barriers including global, regional, and local. So, identifying the risks, studying the root causes, and their impact are essential for successful assessment [40] as well as minimizing their influences and supporting decisions related to PAs management. Many scholars investigate PAs management. For example, Coad et al. presented a study about measuring the impact of PAs management interventions [41]. Whereas He and Cliquet have studied the challenges for PAs management in China [42]. Guala et al. analyzed tourism development linked to PAs [43]. Xin, 2023 investigated the vulnerability of PAs to future climate and land use change and biological invasions [44]. Mandić 2023 examined the effectiveness of Protected area management with COVID-19 in Plitvice Lakes National Park, Croatia [40]. However, up to the authors’ knowledge, there is limited research dealing with and evaluating risks that influence PAs management. For example, Shafiee et al. identified 16 risk factors to study the risk assessment of human activities on PAs [45]. Peng et al. present a framework for integrating ecosystem services indicators with risk assessment systems [46]. Chen et al. identified the areas that have priority for territorial ecological conservation and restoration in Tianjin City, China based on ecological networks [47].
Fuzzy logic can support several decisions related to inaccuracy, uncertainty, and inadequate data [48]. It is considered one of the most widely used modeling techniques [49,50]. Fuzzy logic has facilitated a wide range of successful applications across fields such as engineering, medicine, and agriculture [49,50,51,52,53,54]. It offers a robust approach to addressing vagueness and effectively handles parameters with complex quantification requirements needed for risk analysis [55]. Further. It can address infinite data and non-statistical uncertainties. One of the main advantages of using fuzzy logic is its capability to deal with linguistic variables using several logical rules for relating the dependencies among objects [56,57]. Fuzzy logic has numerous applications in the management of PAs. A risk analysis model using the fuzzy technique for assessing the effect of risks during the management of wilderness PAs in the Kingdom of Saudi Arabia is developed and applied in this study. Combining the effects of presence rate with the risk impacts on the goals of PAs management is considered an essential step in evaluating risks affecting PAs management. Fuzzy logic is applied to solving many problems in various fields to overcome many problems due to a shortage of data. It can deal with incomplete data for evaluating a certain problem by utilizing various simple linguistic terms and logical rules, which can introduce many relatives among inputs and outputs. Further, fuzzy logic is utilized in evaluating projects and assessing risks in many fields related to PAs. It is used for increasing the resilience of natural PAs [58], in assessing ecosystems’ vulnerability to fire in managing natural PAs [59], and in integrating social-ecological data to support overall resilience in marine PAs spatial planning [60] and in risk assessment of wild animal life in PAs [61]. For these advantages, fuzzy logic is used to qualify the linguistics that characterizes a certain organization.
This study aims to explore the influence of risks on the main goals of PAs management (sustainability, effectiveness, and ecological balance) by joining the presence rate and the various impacts of the risk factors. Consequently, a risk analysis model for assessing the influences of risks on PAs management goals is highly required. The fuzzy logic technique is proposed for developing the model. Additional objectives of the study include: (1) defining the primary risk factors affecting PAs management; (2) assessing the prevalence of these risk factors and their various impacts on sustainability, effectiveness, and ecological balance; (3) identifying risk factors with actual indices that influence PA management; and (4) determining the impacts of sustainability, effectiveness, and ecological balance within PAs. The objectives of this research represent a new strategy that helps PAs managers minimize risk impacts on PAs management goals.
This paper begins by providing an introduction to the PAs, their values, and management requirements followed by a description of the methodology. Then, the designing of the model and model application and verification. Then the obtained results are presented. Finally, the discussion limitations and future work are presented before concluding the work.

2. Research Methodology

Through a comprehensive review concerning PAs and PAs management, the barriers and problems concerning PAs management are collected and summarized in the form of risk factors and risk groups. Identifying these risks is considered the first step in this research methodology. Three familiar goals concerning managing PAs and chosen for exploring the effects of risks on these goals. These goals are sustainability, effectiveness, and ecological balance. For obtaining reasonable and useful results, a model for analyzing risks is proposed to be developed as a main objective of this study. This model takes into consideration the combined effect of the presence rate and multiple effects of each risk factor. Further, field surveys are conducted to collect the required data for applying and testing the proposed model. For preparing the initial risk factors, an inclusive literature review and brainstorming meetings with experts in the PAs management area. These sessions were conducted through two meetings in Saudi Arabia with nine experts in the PAs management area in the field of PAs management and their experience ranges between 10–21 years. The discussion was mainly aimed at describing most of the risks and their related groups concerning PAs management.
Using brainstorming sessions, a list of the main risk groups is achieved as well as the risk factors affecting PAs management. The outcomes from this stage conclude with the final risk factors influencing PAs management (fifty-four factors), in addition to seven risk groups. Additionally, the model outputs signify the importance of a definite risk factor that adjoins the influences of two inputs (rate of presence and impact). Next, semi-structured interviews are executed to permit respondents to improve survey results [39]. The interviews aim to choose the most suitable terms for risk factors related to presence rate and impact on sustainability, effectiveness, and ecological balance based on their experiences. These interviews were directed with 21 participants who work in various departments in PAs management field in Saudi Arabia they were asked about each risk factor its presence rate and its effect on the three goals, as well as to verify the logical rules that relate the model inputs and outputs. Based on the collected data, the proposed risk model is developed. The research methodology introduced in this work is depicted in Figure 1.

3. Risk Factors Affecting PAs Management

Based on the outlined review described in Section 1, concerning risks related to PAs management, numerous factors are presented and categorized into seven risk groups. A final risk factors list including fifty-four risk factors related to PAs management that affect sustainability, effectiveness, and ecological balance, is obtained as can be seen in Table 1. Further, the identified risk groups cover the following categories: General and fundamental preparations, Monitoring systems, Protocols and implementation plans, Training, Visitors, Employees, and Activities conducted within the PAs.

4. Fuzzy Model for Analyzing Risks Related to PAs (FMARPA)

The proposed model aims to qualitatively assess the risk factors influencing PAs management. The assessment process covers the proposed PAs goals: sustainability, effectiveness, and ecological balance. Instead of assessing the risk effects separately based on the PR of risk factors detached from their impact, the proposed model incorporates various relationships using logical rules between PR and other risk impacts, with the model outputs represented as fuzzy risk indices. Three fuzzy indices are suggested to signify the severity of each risk factor associated with a certain goal. The Fuzzy Risk Index for Sustainability (FRIS) is the severity that resulted in combining the Presence rate (PR) and Impact on sustainability (SI). On the other hand, the Fuzzy Risk Index for Effectiveness (FRIE) is the severity according to related PR and Impact on Effectiveness (EI). Lastly, the Fuzzy Risk Index for Ecological Balance (FRIEB) is the outcome of PR and Impact on Ecological Balance (EBI).
For calculating the Presence Rate Index (PRI), SI, EI, and EBI, the data of risk factors characteristics which are collected from the field survey including presence rate, and impacts on the proposed three goals, are utilized as a weighted average for each choice (from very low to very high). For each case of the three goals (sustainability, effectiveness, and ecological balance), there are two inputs and one output, as well as 5 × 5 logical rules are presented to relate the model inputs with outputs. The output is determined by the same range from very low (V-L) to very high (V-H). Further, the proposed logical rules relate model inputs with outputs using fuzzy associated memories (FAMs) shown in Table 2.
One of the main steps in fuzzy logic modeling is choosing a suitable membership function. These functions exemplify a numerical values linguistic term [62]. In addition, they signify linguistic terms ranges either for input or for output. The triangular membership function, shown in Figure 2, is the most familiar shape to be used in risk analysis and risk management, so it is suggested to be used in FMARPA to represent the ranges of inputs and outputs.

4.1. FMARPA Application

For evaluating risk factors affecting PAs management using FMARPA, various field survey stages are executed as explained before to collect data concerning characteristics of the identified risk factors that impact PAs management (PRI, SI, EI, and EBI). These items represent the model inputs and are summarized in Table 3. These indices are determined according to several equations. The presence rate is exemplified in Equation (1) while the remaining indices which are related to impacts on goals are represented by Equations (2)–(4), while Equation (5) represents the influence of the experiences of the participants.
P R I = ( i = 1 5 P r i N i E F ) / Y
S I = ( i = 1 5 s i N i E F ) / Y
E I = ( i = 1 5 e i N i E F ) / Y
E B I = ( i = 1 5 e b i N i E F ) / Y
Y = N i ( < 10 ) E F 1 + N i 10 : 15 E F 2 + N i ( 15 : 20 ) E F 3 + N i ( > 20 ) E F 4
where: PRI: presence rate index; Pri: the presence weight; Ni: number of applicants who responded to selection i; SI: Sustainability Index; si: the impact weight for sustainability; EI: Effectiveness Index; ei: the impact weight for effectiveness; EBI: Ecological balance index; ebi: the impact weight for Ecological balance; EF is the experience factor, (EF1 = 1 for 5–10 years, EF2 = 1.6 for 10–15 years, EF3 = 2.3 for 15–20 years and EF4 = 3 for above 20 years).
The three model outputs (FIS, FIE, and FIEB) are calculated using MATLAB software (version 9.11) and attached in Appendix A, along with the ranks for all risk factors according to each goal. Table 3 summarizes the top two risk factors associated with each goal. More details for the analysis of these results will be discussed in the model results and discussion section.

4.2. Verification of FMARPA

The severity of each risk factor can be indicated by the following equations [63]:
S S I = P R I × S I
S E I = P R I × E I
S E I = P R I × E B I
where SSI, SEI, and SEBI are the severity indices for Pas sustainability, effectiveness, and ecological balance respectively. The FMARPA is applied to all risks influencing Pas resulting in FIS, FIE, and FIEB. Spearman’s test is utilized and the correlation coefficient factor is determined to rank the risk factors according to the three goals. For +ve correlation factor value, the resurrection is to +1, the more direct the relationship is. On the other hand, a negative value expresses an inverse relationship, and as it approaches −1, the relationship increases, while a zero value indicates that there is no relationship. The results of the correlation coefficient are presented in Table 4. It is clear that all results have positive values and are higher than 88%, which verifies the model results.

5. Results

5.1. Correlations Between Pas Risk Indices and Fuzzy Risk Indices

A correlation test based on Spearman test principles is introduced to declare the association between Pas presence rate and Pas impact indices (model inputs), and between the fuzzy risk indices (model outputs). Figure 3 presents these relationships and declares that the correlation coefficient between the presence rate and impact indices varies from −0.262 to 0.111. A positive relation with the sustainability index is observed, whereas negative relationships are noted with the effectiveness and ecological balance indices. Conversely, the correlation coefficient among the impact indices, which are positively correlated, ranges from 0.19 to 0.589. The effectiveness and ecological balance indices have the weakest relation, while the sustainability and ecological balance indices have the strongest relation. Figure 4 illustrates the relationships between the fuzzy model outputs. The effectiveness and ecological balance fuzzy risk indices have the lowest coefficient value, indicating the weakest relationship, whereas the sustainability and ecological balance indices have the highest relation, with a coefficient value of 0.728. It is noted that all fuzzy risk indices are positively correlated.

5.2. FMARPA Inputs and Outputs Investigation

The boxplot diagram displays various statistical features, including the center, spread, range, and outlier points that fall outside the range. The box represents 50% of the data, with the 75th percentile and 25th percentile marking the upper and lower edges of the box, respectively. The median is indicated by a line in the middle of the box [64]. Figure 5 introduces a comparison of the PRI with other impact indices SI, EI, and EBI. PRI exhibits the widest distribution, while EI has the smaller distribution among the impact indices. All impact indices have values close to the lower limit, except for EI, which has a different lower limit. In addition, the values converge near the median without any outliers.
The boxplot in Figure 6 compares various risk indices related to Fuzzy indices. FIS shows the widest distribution range, with the highest upper limit and the lowest lower limit values. Outliers are observed in the effectiveness and ecological balance risk plots (FIE and FIEB). Excluding these outliers, the distribution ranges of these indices are quite similar, with only minor differences in their upper and lower limits. Comparing the inputs and outputs, FIS has the broadest distribution space, indicating that sustainability issues are most influenced by the investigated risk factors.

5.3. Analysis of Risk Groups

5.3.1. Analysis of Risk Groups Based on Sustainability

As explained before, the risk factors affecting Pas management are grouped under seven risk groups. The relationship between FIS and various risk groups is presented in Figure 7. FIS exhibits a broad relationship with all groups, particularly showing the widest distribution space for group RG(F) (employees). Additionally, concerning Table 5, the values of the cumulative group index and average FIS reflect that RG(C) (protocols and implementation plans) is the most substantial risk group for its high influences on sustainability, followed by RG(A) (general and fundamental preparations).

5.3.2. Analysis of Risk Groups Based on Effectiveness

Regarding Figure 8, it is clear that FIE has a wide distribution space with groups RG(E) (visitors) and RG(F) including outliers. Conversely, groups RG(C) and RG(D) (training) have the narrowest distribution spaces. For the same reason, the largest number of factors belongs to RG(C) with 10 risk factors, so its cumulative index is the highest, followed by RG(A) with 9 risk factors as declared in Table 6.

5.3.3. Analysis of Risk Groups Based on Ecological Balance

Figure 9 and Table 7 display the relation between FIEB and the seven risk groups. The widest distribution spaces are for the groups RG(B) (monitoring system) and RG(G) (activities conducted within the Pas), with very close values. While group RG(C) has the narrowest distribution spaces.

5.3.4. Analysis of Risk Groups Based on Fuzzy Risk Analysis

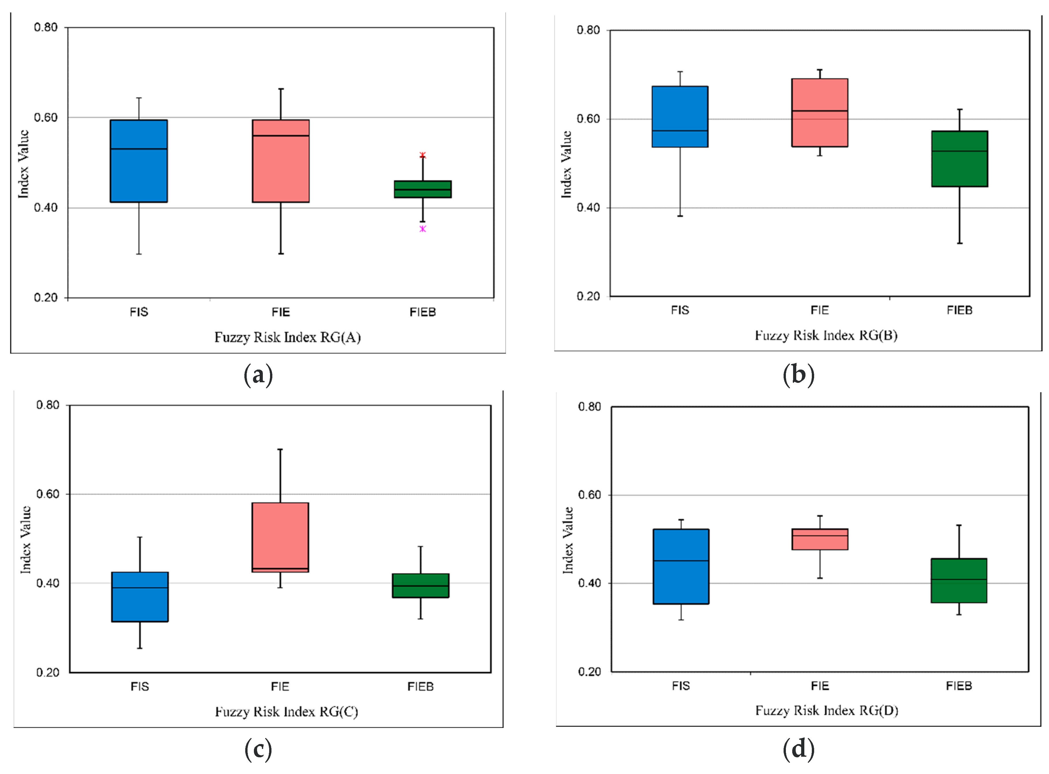
Regarding Figure 10, a detailed analysis for each risk group is conducted to compare the fuzzy risk indices. Figure 10a compares various fuzzy risk indices related to RG(A). This group considers nine different factors related to general and fundamental preparation risks. The ecological balance index has the smallest distribution space with two outliers and no high values, and the values are close. On the other hand, the distribution range for sustainability and effectiveness is close with no outliers. Figure 10b presents a comparison among the model outputs related to risk group RG(B) which are related to monitoring system risk factors. This group contains the first two risk factors in ranking in sustainability and effectiveness, (RPA(B)_01” Absence of mechanisms for early warning of disasters affecting protected areas”, and RPA(B)_02 “Lack of a system for monitoring the occurrence, development, and spread of disasters.” This group considers the least risk factors number (6 factors only). The ecological fuzzy risk index has lower risk values than sustainability and effectiveness.
Figure 10c shows a comparison among fuzzy risk indices related to risk group RG(C) which are related to protocols and implementation plans risk factors. It is clear that RPA(C)_10 “Absence of plans to combat invasive strange species that may have harmful effects on wildlife in protected areas”, is located as an outlier in the case of sustainability and ecological balance. Its order is 6 in sustainability and 1 in ecological balance while its order is 7 in effectiveness. Most of the risk factors in ecological balance are with low values, unlike the effectiveness which the values are high. Without taking into account the outliers, the higher range is for sustainability. Seven risk factors are related to training in this risk group. It is noted that from Figure 10d, the highest range is for sustainability followed by ecological balance. The three fuzzy risk indices have adjacent higher limits and diverse lower limit values.
Figure 10e compares fuzzy risk indices related to RG(E) (visitors) which considers seven different risk factors. The effectiveness fuzzy risk index has the longest distribution space, peak upper, and higher lower limit values. Sustainability and ecological balance indices come after that in descendent rank. No outliers, in all indices. Figure 10f declares a comparison among different fuzzy risk indices associated with RG(F) which is related to Employees and contains 8 risk factors. It is clear that the higher the range is for sustainability, and the lower is for effectiveness, regardless of outliers. In the effectiveness, it is noted that the lowest point for factor RPA(F)_03 (Non-compliance with designated patrol routes) is far from the box limits with a smaller value. A comparison between various fuzzy risk indices associated with RG(G) is indicated in Figure 10g. The group considers seven different risk factors related to activities conducted within the PAs. It is noted that the lowest range is for effectiveness, while the ranges are close and higher for sustainability and ecological balance.

5.4. Significant Risk Factors Affecting PAs Management

Table 8 exemplifies the highest ten significant risk factors according to fuzzy risk indices influencing PAs management. Amongst fifty-four risk factors, eighteen factors formed the top ten registers for all indices. Four factors are repeated with the three fuzzy risk indices; they are RPA(B)_01, RPA(B)_02, RPA(G)_03, and RPA(C)_10. RPA(B)_01 (Absence of mechanisms for early warning of disasters affecting protected areas), and RPA(B)_02 (Lack of a system for monitoring the occurrence, development, and spread of disasters.) are ranked first and second in sustainability and effectiveness while they have relatively low ranks in ecological balance. Those two factors belong to RG(B) which is related to the monitoring system. The group that included the most repetitions of several factors at the top is RG(B) with several 9 factors followed by RG(A) with 7 factors, while the group with the least is RG(D) and included one factor.

6. Discussion

This study developed and applied a fuzzy logic-based risk model to assess the risks faced by PAs management in Saudi Arabia. Through a structured qualitative risk analysis, the model identifies significant risks that threaten PAs goals (sustainability, effectiveness, and ecological balance). The effectiveness was interpreted as the capacity to achieve intended outcomes, not as an independent goal equivalent to sustainability or ecological balance. The findings provide valuable insights into the needs of Saudi Arabia’s PAs management system, considering both national and global contexts.
The study identified monitoring systems, Protocols, and implementation plans as the most critical risk groups affecting the goals of protected areas, particularly in terms of sustainability and effectiveness. Key factors such as the “ Absence of mechanisms for early warning of disasters affecting protected areas “ and the “ Lack of a system for monitoring the occurrence, development, and spread of disasters “ were ranked as top priorities. These findings align with Saudi Arabia’s arid climate and vulnerability to natural hazards (e.g., flash floods, and extreme temperatures), where robust monitoring systems are essential for disaster preparedness. Additionally, the absence of a national framework for managing invasive species emerged as another significant risk factor, ranking as a primary concern for ecological balance. Globally, managing invasive species is a critical component of PAs effectiveness, as highlighted by the IUCN guidelines [1]. This gap in Saudi Arabia’s PAs system suggests an area for improvement, which could greatly benefit from adaptation strategies based on successful global practices, such as coordinated regional efforts for invasive species monitoring and control.
In evaluating the effectiveness of PAs in Saudi Arabia, this study highlights several factors that align partially with, but also diverge from, global best practices. The IUCN’s PAME framework, widely adopted internationally, emphasizes the necessity of co-management systems and continuous monitoring, particularly concerning risks related to natural and human threats [25]. Similarly, the IPBES report on values and valuations of nature emphasizes the importance of community-led management models, such as co-management, which integrate local knowledge and enhance conservation effectiveness through increased community engagement [33]. This study demonstrates that Saudi Arabia’s current PAs strategies prioritize risk mitigation and centralized management over community-based co-management models. This difference reflects Saudi Arabia’s unique PAs governance structure, where management is primarily state-led, focusing on centralized monitoring and response frameworks rather than local participation.

7. Limitations and Future Research

The use of brainstorming sessions with experts as the primary knowledge-elicitation method in this study due to the absence of data related to PAs in Saudi Arabia served to capture high-level risk insights, yet it also presents limitations. Brainstorming, generally more suited for generating ideas rather than capturing established expert knowledge, may not have been the ideal choice for a formal risk assessment framework. Moreover, while fuzzy logic modeling provides flexibility in handling incomplete data and assessing risk levels, it does introduce some subjectivity. The inherent dependency on expert-provided weights and inputs could affect replicability, particularly when applied to PAs in different geographic or ecological settings.
Future research should incorporate longitudinal data for performing a quantitative analysis of the effectiveness of Saudi Arabia’s current PAs that align with international standards, focusing on three outcome-oriented dimensions: ecological outcomes, social outcomes, and social-ecological interactions, and Integrating data from satellite monitoring and climate projections to yield a more comprehensive understanding of how Saudi Arabia’s PAs respond to long-term environmental pressures, thereby guiding adaptive management strategies. Additionally, it is recommended to develop the proposed model for quantifying risks and to cover risk management processes for supporting a multi-criteria decision analysis related to PAs management.

8. Conclusions

Protected areas management is considered an important issue for success and achieving the goals of these areas. On the other hand, there are various risks affecting the management of PAs goals, such as sustainability, effectiveness, and ecological balance. In this work, field surveys are directed to explore the risks associated with PAs management and affect the sustainability, effectiveness, and ecological balance. A model for analyzing these risks based on a fuzzy logic technique is developed and applied to evaluate the severity of these risks. Fifty-four risk factors are categorized under seven risk groups, including General and fundamental preparations, monitoring systems, Protocols and implementation plans, Training, Visitors, Employees, and Activities conducted within the PAs. Four indices are determined and used as the model inputs, while three fuzzy risk indices, relating to the model inputs, are determined as model outputs. The model is verified using data collected from PAs in Saudi Arabia as a case study. Several conclusions are briefed in the next points:
  • The risk factor RPA(B)_02 (Lack of a system for monitoring the occurrence, development, and spread of disasters) is rated as the most repeated factor; as well as it has an important effect on the three goals. On the other hand, RPA(B)_01 (Absence of mechanisms for early warning of disasters affecting protected areas) has the biggest influence on sustainability and effectiveness while RPA(C)_10 (Absence of plans to combat invasive strange species that may have harmful effects on wildlife in protected areas) has the biggest influence on the ecological balance.
  • Four factors are repeated with the three indices RPA(B)_01, RPA(B)_02, RPA(G)_03 and RPA(C)_10. RPA(B)_01 (Absence of mechanisms for early warning of disasters affecting protected areas), and RPA(B)_02 (Lack of a system for monitoring the occurrence, development, and spread of disasters.) are ranked first and second in sustainability and effectiveness while they have relatively low ranks in ecological balance. Those two factors belong to RG(B) which is related to the monitoring system. The group that included the most repetitions of several factors at the top is RG(B) with several 9 factors followed by RG(A) with 7 factors, while the group with the least is RG(D) and included one factor.
  • Risk indices’ correlations declared that the relationship between presence rate and both effectiveness and ecological balance is an adverse relation, while the relationship is slightly direct with sustainability. Regarding model outputs, all correlations are positive, and the highest correlation is between sustainability and ecological balance.
Regarding risk activity groups, RG(C) which is related to Protocols and implementation plans risk factors, is the most substantial group due to its high effects on the three goals, in addition to it contains the largest number of factors followed by RG(A). Although RG(B) which is related to monitoring system risk factors, contains the least risk factors number (6 factors only), it contains the first two highest risk factors in ranking according to sustainability and effectiveness, (RPA(B)_01 and RPA(B)_02).
This study has several important theoretical and practical implications for the field of PAs management. Theoretically, the fuzzy logic model developed in this study can be adapted and applied to other PAs systems worldwide, especially those facing similar challenges and limited monitoring resources, or complex governance structures. Also, the research provides a foundation for future studies exploring the integration of fuzzy logic with other risk assessment frameworks, such as multi-criteria decision analysis, to enhance the reliability and applicability of risk management models. From a practical point of view, it is a guide for Saudi Arabia’s PAs management to identify the critical risk factors and support proactive management practices, reducing the likelihood of adverse outcomes and enhancing the overall effectiveness of conservation efforts. Furthermore, Policymakers can leverage the model presented in this research to guide investments in PAs infrastructure, such as disaster response mechanisms and ecological monitoring technologies.

Author Contributions

Conceptualization, Y.M. and U.H.I.; methodology, Y.M. and U.H.I.; software, U.H.I.; validation, K.F., M.N.K. and K.F.A.; formal analysis, Y.M. and U.H.I.; investigation, Y.M.; resources, M.N.K. and K.F.A.; data curation, Y.M. and U.H.I.; writing—original draft preparation, Y.M., U.H.I. and K.F.; writing—review, and editing, K.F.; visualization, U.H.I.; supervision, Y.M.; project administration, Y.M.; funding acquisition, Y.M. All authors have read and agreed to the published version of the manuscript.

Funding

This research work was funded by Institutional Fund Projects under Grant No. IFPIP-1474-137-1443 provided by the Ministry of Education and King Abdulaziz University, DSR, Jeddah, Saudi Arabia.

Data Availability Statement

The data that support the findings of this study are available on request from the corresponding author.

Acknowledgments

The authors gratefully acknowledge the technical and financial support provided by the Ministry of Education and King Abdulaziz University, DSR, Jeddah, Saudi Arabia.

Conflicts of Interest

The authors declare no conflicts of interest.

Nomenclature

PAsProtected Areas
PRIpresence rate index
SISustainability Index
FISFuzzy index for Sustainability
EIEffectiveness index
FIEFuzzy Index for Effectiveness
EBIEcological balance index
FIEBFuzzy index for Ecological balance

Appendix A

Table A1. Risk factors affecting PAs management.
Table A1. Risk factors affecting PAs management.
Risk CodeModel InputModel ResultsRanking due to
PRISIEIEBIFISFIEFIEBSustainabilityEffectivenessEcological Balance
RPA(A)_010.6200.7230.7270.4550.6270.6290.4417623
RPA(A)_020.6700.6520.4320.4230.6440.4590.45944321
RPA(A)_030.4150.4210.5370.6550.4120.4120.44364825
RPA(A)_040.8150.4360.4920.2210.5950.5950.42391030
RPA(A)_050.5430.4890.5920.3450.4840.5600.353251546
RPA(A)_060.6820.5240.5610.5120.5310.5680.51717149
RPA(A)_070.3900.5830.5780.3890.3920.3920.391405040
RPA(A)_080.6320.5340.7790.3150.5460.6640.42614428
RPA(A)_090.2950.4270.4690.7190.2970.2980.495505311
RPA(B)_010.7310.6950.6980.5120.7070.7110.54116
RPA(B)_020.8420.6350.6120.4760.7030.7020.622223
RPA(B)_030.8050.4650.6080.3650.5860.6580.5831154
RPA(B)_040.7830.3470.5120.2090.5610.5790.425121229
RPA(B)_050.5120.3760.5190.2160.3810.5170.32452551
RPA(B)_060.5180.6180.6770.5110.5280.5240.515182210
RPA(C)_010.6760.5930.5120.3550.5940.5170.467102619
RPA(C)_020.5890.3210.4860.2260.3910.4770.391414139
RPA(C)_030.5790.4780.6890.4680.4670.5830.455291122
RPA(C)_040.4210.4360.7130.5380.4170.5140.417352732
RPA(C)_050.4560.6560.7080.6820.4480.5080.475322917
RPA(C)_060.4870.6790.5520.6930.4820.4810.49263812
RPA(C)_070.5360.4130.6160.4010.4100.5510.401371836
RPA(C)_080.4870.3870.6860.4120.3900.4820.41423733
RPA(C)_090.5280.4930.6730.4230.4900.5360.419241931
RPA(C)_100.7280.6230.6150.6630.6320.6260.668671
RPA(D)_010.3120.4690.7650.3530.3170.5180.329492349
RPA(D)_020.3260.4930.7080.3690.3330.5080.337483048
RPA(D)_030.3680.4290.7620.3740.3740.5530.375461742
RPA(D)_040.5210.7230.6890.7060.5440.5280.53215217
RPA(D)_050.6870.5120.4890.4860.5170.4850.482203514
RPA(D)_060.4350.7290.6770.5030.5280.4670.429194227
RPA(D)_070.5520.4610.4150.4110.4510.4120.409314934
RPA(E)_010.3870.2130.3890.3630.2540.3900.375545143
RPA(E)_020.6520.2890.6320.4290.4440.6260.44133824
RPA(E)_030.5240.3870.5770.4030.3900.5360.402432035
RPA(E)_040.4210.3630.6450.3930.3730.4330.394474438
RPA(E)_050.2150.4170.7210.5120.2550.4300.32524652
RPA(E)_060.4870.4070.4250.3540.4060.4200.362394744
RPA(E)_070.6890.5030.7360.3580.5040.7010.48322313
RPA(F)_010.4690.5310.7150.4920.4610.5140.461302820
RPA(F)_020.3150.6090.7050.5170.4070.5050.323383150
RPA(F)_030.2160.4120.4980.2660.2550.2980.256535454
RPA(F)_040.5510.3870.6770.3180.3900.5590.359441645
RPA(F)_050.4560.7490.6980.3820.5420.4970.386163441
RPA(F)_060.6870.7160.4490.4290.6890.4810.4833915
RPA(F)_070.4780.5090.7050.3360.4710.5050.344283247
RPA(F)_080.4790.7560.7190.7190.5470.5180.51813248
RPA(G)_010.5670.7830.6210.5880.6260.5760.5788135
RPA(G)_020.4780.6970.6890.6540.4960.4840.47233618

References

  1. Stolton, S.; Shadie, P.; Dudley, N. Edited by Nigel Dudley Including IUCN WCPA Best Practice Guidance on Recognising Protected Areas and Assigning Management Categories and Governance Types Guidelines for Applying Protected Area Management Categories; IUCN: Gland, Switzerland, 2008; ISBN 978-2-8317-1636-7.
  2. UNEP-WCMC. Protected Planet Live Report 2020; UNEP-WCMC: Cambridge, UK; Gland, Switzerland; Washington, DC, USA, 2020. [Google Scholar]
  3. UNEP-WCMC Protected Areas Map of the World. Available online: https://www.protectedplanet.net/en/resources/june-2023-update-of-the-wdpa-and-wd-oecm (accessed on 10 September 2024).
  4. Marquet, P.A.; Allen, A.P.; Brown, J.H.; Dunne, J.A.; Enquist, B.J.; Gillooly, J.F.; Gowaty, P.A.; Green, J.L.; Harte, J.; Hubbell, S.P.; et al. On Theory in Ecology. Bioscience 2014, 64, 701–710. [Google Scholar] [CrossRef]
  5. National Database on Protected Areas in Saudi Arabia. Available online: https://www.protectedplanet.net/country/SAU (accessed on 7 November 2024).
  6. Child, G.G.J. A System Plan for Protected Areas for Wildlife Conservation and Sustainable Rural Development in Saudi Arabia; National Commission for Wildlife Conservation and Development & Gland; IUCN: Gland, Switzerland; The World Conservation Union: Riyadh, Saudi Arabia, 1990.
  7. Kingdom of Saudi Arabia Vision 2030. Available online: https://www.vision2030.gov.sa (accessed on 10 September 2024).
  8. Pritchard, D.J.; Fa, J.E.; Oldfield, S.; Harrop, S.R. Bring the Captive Closer to the Wild: Redefining the Role of Ex Situ Conservation. Oryx 2012, 46, 18–23. [Google Scholar] [CrossRef]
  9. Convention on Biological Diversity. Kunming-Montreal Global Biodiversity Framework. Available online: https://www.cbd.int/doc/c/e6d3/cd1d/daf663719a03902a9b116c34/cop-15-l-25-en.pdf (accessed on 7 July 2024).
  10. UNESCO World Heritage Convention. Available online: https://whc.unesco.org/en/convention/ (accessed on 10 September 2024).
  11. Li, S.; Zhang, H.; Zhou, X.; Yu, H.; Li, W. Enhancing Protected Areas for Biodiversity and Ecosystem Services in the Qinghai–Tibet Plateau. Ecosyst. Serv. 2020, 43, 101090. [Google Scholar] [CrossRef]
  12. Castillo, L.S.; Correa Ayram, C.A.; Matallana Tobón, C.L.; Corzo, G.; Areiza, A.; González-M, R.; Serrano, F.; Chalán Briceño, L.; Sánchez Puertas, F.; More, A.; et al. Connectivity of Protected Areas: Effect of Human Pressure and Subnational Contributions in the Ecoregions of Tropical Andean Countries. Land 2020, 9, 239. [Google Scholar] [CrossRef]
  13. Beck, T.; Maimbo, S.M. Financial Sector Development in Africa: Opportunities and Challenges; World Bank Publications: Washington, DC, USA, 2012. [Google Scholar]
  14. Dudley, N. Towards Effective Protected Area Systems: An Action Guide to Implement the Convention on Biological Diversity Programme of Work on Protected Areas; Secretariat of the Convention on Biological Diversity: Montreal, QC, Canada, 2005; ISBN 9292250310. [Google Scholar]
  15. Huntley, B.; Hole, D.G.; Willis, S.G. Assessing the Effectiveness of a Protected Area Network in the Face of Climatic Change. In Climate Change, Ecology, and Systematics; Hodkinson, T.R., Ed.; Cambridge University Press: Cambridge, UK, 2011. [Google Scholar]
  16. Foxcroft, L.C.; Richardson, D.M.; Pyšek, P.; Genovesi, P. Plant Invasions in Protected Areas: Outlining the Issues and Creating the Links. In Plant Invasions in Protected Areas; Springer: Dordrecht, The Netherlands, 2013; pp. 3–18. [Google Scholar]
  17. Leverington, F.; Lemos Costa, K.; Courrau, J.; Pavese, H.; Nolte, C.; Marr, M.; Coad, L.; Burgess, N.; Bomhard, B.; Hockings, M. Management Effectiveness Evaluation in Protected Areas-a Global Study, 2nd ed.; World Wide Fund for Nature: Gland, Switzerland, 2010. [Google Scholar]
  18. Rossberg, A.G.; Barabás, G.; Possingham, H.P.; Pascual, M.; Marquet, P.A.; Hui, C.; Evans, M.R.; Meszéna, G. Let’s Train More Theoretical Ecologists—Here Is Why. Trends Ecol. Evol. 2019, 34, 759–762. [Google Scholar] [CrossRef]
  19. Bingham, H.C.; Juffe Bignoli, D.; Lewis, E.; MacSharry, B.; Burgess, N.D.; Visconti, P.; Deguignet, M.; Misrachi, M.; Walpole, M.; Stewart, J.L.; et al. Sixty Years of Tracking Conservation Progress Using the World Database on Protected Areas. Nat. Ecol. Evol. 2019, 3, 737–743. [Google Scholar] [CrossRef]
  20. Jones, K.R.; Venter, O.; Fuller, R.A.; Allan, J.R.; Maxwell, S.L.; Negret, P.J.; Watson, J.E.M. One-Third of Global Protected Land Is under Intense Human Pressure. Science 2018, 360, 788–791. [Google Scholar] [CrossRef]
  21. Banos-González, I.; Martínez-Fernández, J.; Esteve-Selma, M.A. Using Dynamic Sustainability Indicators to Assess Environmental Policy Measures in Biosphere Reserves. Ecol. Indic. 2016, 67, 565–576. [Google Scholar] [CrossRef]
  22. Machnik, A. Ecotourism as a Core of Sustainability in Tourism. In Handbook of Sustainable Development and Leisure Services; Springer: Berlin/Heidelberg, Germany, 2021; pp. 223–240. [Google Scholar]
  23. Trišić, I.; Privitera, D.; Ristić, V.; Štetić, S.; Milojković, D.; Maksin, M. Protected Areas in the Function of Sustainable Tourism Development—A Case of Deliblato Sands Special Nature Reserve, Vojvodina Province. Land 2023, 12, 487. [Google Scholar] [CrossRef]
  24. Mihalic, T. Sustainable-Responsible Tourism Discourse—Towards ‘Responsustable’ Tourism. J. Clean. Prod. 2016, 111, 461–470. [Google Scholar] [CrossRef]
  25. Hockings, M.; Leverington, F.; Cook, C. Protected Area Management Effectiveness; Protected Area Governance and Management: Canberra, Australia, 2015; pp. 889–928.
  26. Bushell, R.; Bricker, K. Tourism in Protected Areas: Developing Meaningful Standards. Tour. Hosp. Res. 2017, 17, 106–120. [Google Scholar] [CrossRef]
  27. Geldmann, J.; Manica, A.; Burgess, N.D.; Coad, L.; Balmford, A. A Global-Level Assessment of the Effectiveness of Protected Areas at Resisting Anthropogenic Pressures. Proc. Natl. Acad. Sci. USA 2019, 116, 23209–23215. [Google Scholar] [CrossRef] [PubMed]
  28. Geldmann, J.; Joppa, L.N.; Burgess, N.D. Mapping Change in Human Pressure Globally on Land and within Protected Areas. Conserv. Biol. 2014, 28, 1604–1616. [Google Scholar] [CrossRef] [PubMed]
  29. Anderson, E.; Mammides, C. The Role of Protected Areas in Mitigating Human Impact in the World’s Last Wilderness Areas. Ambio 2020, 49, 434–441. [Google Scholar] [CrossRef]
  30. Tapia-Armijos, M.F.; Homeier, J.; Draper Munt, D. Spatio-Temporal Analysis of the Human Footprint in South Ecuador: Influence of Human Pressure on Ecosystems and Effectiveness of Protected Areas. Appl. Geogr. 2017, 78, 22–32. [Google Scholar] [CrossRef]
  31. Li, S.; Wu, J.; Gong, J.; Li, S. Human Footprint in Tibet: Assessing the Spatial Layout and Effectiveness of Nature Reserves. Sci. Total Environ. 2018, 621, 18–29. [Google Scholar] [CrossRef]
  32. Li, S.; Su, S.; Liu, Y.; Zhou, X.; Luo, Q.; Paudel, B. Effectiveness of the Qilian Mountain Nature Reserve of China in Reducing Human Impacts. Land 2022, 11, 1071. [Google Scholar] [CrossRef]
  33. Brondízio, E.S.; Settele, J.; Díaz, S.; Ngo, H.T. The Global Assessment Report of the Intergovernmental Science-Policy Platform on Biodiversity and Ecosystem Services; Intergovernmental Science-Policy Platform on Biodiversity and Ecosystem Services (IPBES): Bonn, Germany, 2019; ISBN 9783947851201. [Google Scholar]
  34. Ghoddousi, A.; Loos, J.; Kuemmerle, T. An Outcome-Oriented, Social–Ecological Framework for Assessing Protected Area Effectiveness. Bioscience 2022, 72, 201–212. [Google Scholar] [CrossRef]
  35. Xu, W.; Xiao, Y.; Zhang, J.; Yang, W.; Zhang, L.; Hull, V.; Wang, Z.; Zheng, H.; Liu, J.; Polasky, S.; et al. Strengthening Protected Areas for Biodiversity and Ecosystem Services in China. Proc. Natl. Acad. Sci. USA 2017, 114, 1601–1606. [Google Scholar] [CrossRef]
  36. Zhu, K.; Zhou, Q.; Cheng, Y.; Zhang, Y.; Li, T.; Yan, X.; Alimov, A.; Farmanov, E.; Dávid, L.D. Regional Sustainability: Pressures and Responses of Tourism Economy and Ecological Environment in the Yangtze River Basin, China. Front. Ecol. Evol. 2023, 11, 1148868. [Google Scholar] [CrossRef]
  37. Talebi Otaghvar, Y.; Najafi Alamdarlo, H.; Esmaili, R.; Asadi, M.A.; Mosavi, S.H.; Vakilpoor, M.H. Estimation of the Monetary Value of Biodiversity in the Central Alborz Protected Area. Environ. Sci. Pollut. Res. 2022, 29, 19553–19562. [Google Scholar] [CrossRef]
  38. Sobhani, P.; Esmaeilzadeh, H.; Wolf, I.D.; Deljouei, A.; Marcu, M.V.; Sadeghi, S.M.M. Evaluating the Ecological Security of Ecotourism in Protected Area Based on the DPSIR Model. Ecol. Indic. 2023, 155, 110957. [Google Scholar] [CrossRef]
  39. Staffs of PMI (Project Management Institute). A Guide to The Project Management Body of Knowledge (PMBOK Guide); Project Management Institute: Upper Darby, PA, USA, 2017; ISBN 9781628251845. [Google Scholar]
  40. Mandić, A. Protected Area Management Effectiveness and COVID-19: The Case of Plitvice Lakes National Park, Croatia. J. Outdoor Recreat. Tour. 2023, 41, 100397. [Google Scholar] [CrossRef] [PubMed]
  41. Coad, L.; Leverington, F.; Knights, K.; Geldmann, J.; Eassom, A.; Kapos, V.; Kingston, N.; de Lima, M.; Zamora, C.; Cuardros, I.; et al. Measuring Impact of Protected Area Management Interventions: Current and Future Use of the Global Database of Protected Area Management Effectiveness. Philos. Trans. R. Soc. B Biol. Sci. 2015, 370, 20140281. [Google Scholar] [CrossRef] [PubMed]
  42. He, M.; Cliquet, A. Challenges for Protected Areas Management in China. Sustainability 2020, 12, 5879. [Google Scholar] [CrossRef]
  43. Guala, C.; Veloso, K.; Farías, A.; Sariego, F. Analysis of Tourism Development Linked to Protected Areas in Chilean Patagonia. In Conservation in Chilean Patagonia: Assessing the State of Knowledge, Opportunities, and Challenges; Castilla, J.C., Armesto Zamudio, J.J., Martínez-Harms, M.J., Tecklin, D., Eds.; Springer International Publishing: Cham, Switzerland, 2023; pp. 481–504. ISBN 978-3-031-39408-9. [Google Scholar]
  44. Xin, Y.; Yang, Z.; Du, Y.; Cui, R.; Xi, Y.; Liu, X. Vulnerability of Protected Areas to Future Climate Change, Land Use Modification, and Biological Invasions in C Hina. Ecol. Appl. 2024, 34, e2831. [Google Scholar] [CrossRef]
  45. Shafiee, M.; Saffarian, S.; Zaredar, N. Risk Assessment of Human Activities on Protected Areas: A Case Study. Hum. Ecol. Risk Assess. Int. J. 2015, 21, 1462–1478. [Google Scholar] [CrossRef]
  46. Peng, Y.; Welden, N.; Renaud, F.G. A Framework for Integrating Ecosystem Services Indicators into Vulnerability and Risk Assessments of Deltaic Social-Ecological Systems. J. Environ. Manag. 2023, 326, 116682. [Google Scholar] [CrossRef]
  47. Chen, X.; Kang, B.; Li, M.; Du, Z.; Zhang, L.; Li, H. Identification of Priority Areas for Territorial Ecological Conservation and Restoration Based on Ecological Networks: A Case Study of Tianjin City, China. Ecol. Indic. 2023, 146, 109809. [Google Scholar] [CrossRef]
  48. Zadeh, L.A. Is There a Need for Fuzzy Logic? Inf. Sci. 2008, 178, 2751–2779. [Google Scholar] [CrossRef]
  49. Eid, M.A.; Hu, J.W.; Issa, U. Developing a Model for Analyzing Risks Affecting Machinery Tunnel Execution. Buildings 2023, 13, 1757. [Google Scholar] [CrossRef]
  50. Trillas, E.; Eciolaza, L. Fuzzy Logic: An Introductory Course for Engineering Students; Springer: Berlin/Heidelberg, Germany, 2015. [Google Scholar]
  51. Shouny, A.A.; Issa, U.H.; Sayed, E.T.; Rezk, H.; Abdelkareem, M.A.; Miky, Y.; Olabi, A.G. Modeling and Analysis of Risk Factors Affecting Operation of Photovoltaic Power Plants. Ain Shams Eng. J. 2024, 15, 102812. [Google Scholar] [CrossRef]
  52. Issa, U.; Saeed, F.; Miky, Y.; Alqurashi, M.; Osman, E. Hybrid AHP-Fuzzy TOPSIS Approach for Selecting Deep Excavation Support System. Buildings 2022, 12, 295. [Google Scholar] [CrossRef]
  53. Siam, A.I.; El-Affendi, M.A.; Elazm, A.A.; El-Banby, G.M.; El-Bahnasawy, N.A.; El-Samie, F.E.A.; El-Latif, A.A.A. Portable and Real-Time IoT-Based Healthcare Monitoring System for Daily Medical Applications. IEEE Trans. Comput. Soc. Syst. 2023, 10, 1629–1641. [Google Scholar] [CrossRef]
  54. Kart, S.; Demir, F.; Kocaarslan, İ.; Genc, N. Increasing PEM Fuel Cell Performance via Fuzzy-Logic Controlled Cascaded DC-DC Boost Converter. Int. J. Hydrogen Energy 2024, 54, 84–95. [Google Scholar] [CrossRef]
  55. de Ru, W.G.; Eloff, J.H.P. Risk Analysis Modelling with the Use of Fuzzy Logic. Comput. Secur. 1996, 15, 239–248. [Google Scholar] [CrossRef]
  56. Novák, V.; Lehmke, S. Logical Structure of Fuzzy IF-THEN Rules. Fuzzy Sets Syst. 2006, 157, 2003–2029. [Google Scholar] [CrossRef]
  57. Cheng, J.; Xu, M.; Chen, Z. A Fuzzy Logic-Based Method for Risk Assessment of Bridges during Construction. J. Harbin Inst. Technol. 2019, 26, 1–10. [Google Scholar]
  58. Prato, T. Increasing Resilience of Natural Protected Areas to Future Climate Change: A Fuzzy Adaptive Management Approach. Ecol. Model. 2012, 242, 46–53. [Google Scholar] [CrossRef]
  59. Semeraro, T.; Mastroleo, G.; Aretano, R.; Facchinetti, G.; Zurlini, G.; Petrosillo, I. GIS Fuzzy Expert System for the Assessment of Ecosystems Vulnerability to Fire in Managing Mediterranean Natural Protected Areas. J. Environ. Manag. 2016, 168, 94–103. [Google Scholar] [CrossRef]
  60. Noble, M.M.; Harasti, D.; Pittock, J.; Doran, B. Using GIS Fuzzy-Set Modelling to Integrate Social-Ecological Data to Support Overall Resilience in Marine Protected Area Spatial Planning: A Case Study. Ocean. Coast. Manag. 2021, 212, 105745. [Google Scholar] [CrossRef]
  61. Hajiahmadi, D.; Amanollahi, J. Fuzzy Risk Assessment Modelling of Wild Animal Life in Bijar Protected Area. Ecol. Model. 2018, 387, 49–60. [Google Scholar] [CrossRef]
  62. Issa, U.H.; Mosaad, S.A.A.; Salah Hassan, M. Evaluation and Selection of Construction Projects Based on Risk Analysis. Structures 2020, 27, 361–370. [Google Scholar] [CrossRef]
  63. Issa, U.; Sharaky, I.; Alwetaishi, M.; Balabel, A.; Shamseldin, A.; Abdelhafiz, A.; Al-Surf, M.; Al-Harthi, M.; Osman, M.M.A. Developing and Applying a Model for Evaluating Risks Affecting Greening Existing Buildings. Sustainability 2021, 13, 6403. [Google Scholar] [CrossRef]
  64. Tukey, J.W. Exploratory Data Analysis; Pearson: Boston, MA, USA, 1977. [Google Scholar]
Figure 1. The research methodology. Abbreviations: PAs, Protected areas; PRI, SI, EI, and EBI are indices for Presence rate, Sustainability, effectiveness and Ecological balance respectively; FIS, FIE, and FIEB are impacts for Sustainability, effectiveness and Ecological balance respectively.
Figure 1. The research methodology. Abbreviations: PAs, Protected areas; PRI, SI, EI, and EBI are indices for Presence rate, Sustainability, effectiveness and Ecological balance respectively; FIS, FIE, and FIEB are impacts for Sustainability, effectiveness and Ecological balance respectively.
World 05 00066 g001
Figure 2. The proposed triangular membership function used in FMARPA.
Figure 2. The proposed triangular membership function used in FMARPA.
World 05 00066 g002
Figure 3. Correlation coefficient FMARPA risk indices.
Figure 3. Correlation coefficient FMARPA risk indices.
World 05 00066 g003
Figure 4. Correlation coefficient for FMARPA fuzzy risk indices.
Figure 4. Correlation coefficient for FMARPA fuzzy risk indices.
World 05 00066 g004
Figure 5. A comparison between FMARPA inputs.
Figure 5. A comparison between FMARPA inputs.
World 05 00066 g005
Figure 6. A comparison between FMARPA outputs.
Figure 6. A comparison between FMARPA outputs.
World 05 00066 g006
Figure 7. Pas risk groups comparison based on sustainability goal.
Figure 7. Pas risk groups comparison based on sustainability goal.
World 05 00066 g007
Figure 8. Pas risk groups comparison based on effectiveness goal.
Figure 8. Pas risk groups comparison based on effectiveness goal.
World 05 00066 g008
Figure 9. Pas risk groups comparison based on ecological balance goal.
Figure 9. Pas risk groups comparison based on ecological balance goal.
World 05 00066 g009
Figure 10. Fuzzy risk indices Comparison for all risk groups; (a) for group RG(A), (b) for group RG(B), (c) for group RG(C), (d) for group RG(D), (e) for group RG(E), (f) for group RG(F), and (g) for group RG(G).
Figure 10. Fuzzy risk indices Comparison for all risk groups; (a) for group RG(A), (b) for group RG(B), (c) for group RG(C), (d) for group RG(D), (e) for group RG(E), (f) for group RG(F), and (g) for group RG(G).
World 05 00066 g010aWorld 05 00066 g010b
Table 1. Risk factors and risk groups affecting PAs management.
Table 1. Risk factors and risk groups affecting PAs management.
No.Risk CodeRG(A): General and Fundamental Preparations Risk Factors
1RPA(A)_01Absence of a crisis management team during emergencies.
2RPA(A)_02Lack of studies, research, and scenarios to confront expected and recurring disasters.
3RPA(A)_03Shortage of water, food, and fuel during long tours inside the protected areas
4RPA(A)_04Unavailability of aircraft for conducting aerial search operations when needed in emergency situations.
5RPA(A)_05Inadequate documentation of emergency cases for future reference.
6RPA(A)_06Absence of a permanent central operations room to receive distress calls.
7RPA(A)_07Lack of responsible management for security, safety, and ensuring the necessary readiness for emergencies.
8RPA(A)_08Failure to conduct simulation exercises for virtual emergency situations and training for handling such scenarios.
9RPA(A)_09Shortage of food and veterinary supplies within the protected area
RG(B): Monitoring system risk factors
10RPA(B)_01Absence of mechanisms for early warning of disasters affecting protected areas.
11RPA(B)_02Lack of a system for monitoring the occurrence, development, and spread of disasters.
12RPA(B)_03Insufficient coverage of protected areas with wireless communication networks
13RPA(B)_04Absence of a system for monitoring vehicle movement within protected areas.
14RPA(B)_05Absence of a hotline within ‘open-to-public’ protected areas.
15RPA(B)_06Lack of mini-weather stations for weather forecasting at hikers’ centers.
RG(C): Protocols and implementation plans risk factors
16RPA(C)_01Lack of updates on environmental disaster preparedness plans.
17RPA(C)_02Absence of management plans for open-to-public protected areas, including visitor routes, permitted activities, and activity regulations.
18RPA(C)_03Failure to adhere to approved protocols for emergency management.
19RPA(C)_04Failure to adhere to civil defense instructions in facing emergency situations.
20RPA(C)_05Failure to comply with World Health Organization protocols regarding epidemics and viruses.
21RPA(C)_06Absence of a plan to deal with mass mortality events and epidemic outbreaks.
22RPA(C)_07Lack of maps from relevant authorities identifying hazardous areas for non-presence and isolation.
23RPA(C)_08Failure to determine the cases that require contacting relevant government entities for disaster management support.
24RPA(C)_09Lack of continuous review and development of employee training programs
25RPA(C)_10Absence of plans to combat invasive strange species that may have harmful effects on wildlife in protected areas.
RG(D): Training risk factors
26RPA(D)_01Failure to train employees in wilderness survival and first aid skills.
27RPA(D)_02Failure to train employees in navigation skills.
28RPA(D)_03Failure to train employees in handling minor vehicle breakdowns.
29RPA(D)_04Failure to train employees effectively dealing with exotic strange species.
30RPA(D)_05Failure to train employees in assessing the environmental impacts of licensed projects.
31RPA(D)_06Failure to train employees in handling emergencies of all types (such as floods and fires).
32RPA(D)_07Lack of workshops and seminars specifically focused on environmental disaster management and crisis management.
RG(E): Visitors risk factors
33RPA(E)_01Lack of visitor awareness regarding potential risks within the protected areas.
34RPA(E)_02Failure to clarify areas without communication network coverage within the protected area for visitors.
35RPA(E)_03Absence of informative signs warning visitors of any dangers such as road damage or rough terrain.
36RPA(E)_04Inappropriate selection of visitor activity sites which may result in conflicting activities.
37RPA(E)_05Allowing visitors entry during the possibility of natural disasters.
38RPA(E)_06Failure to provide printed maps of visitable areas within the protected area to assist visitors.
39RPA(E)_07Visitors’ non-compliance with protected area management instructions and regulations.
RG(F): Employees risk factors
40RPA(F)_01Insufficient availability of security and safety resources with security and protection personnel.
41RPA(F)_02Lack of necessary tools to respond to emergencies and conduct rescue operations.
42RPA(F)_03Non-compliance with designated patrol routes.
43RPA(F)_04Inadequate monitoring of patrol movements and returns.
44RPA(F)_05Lack of experience among staff and decision-makers.
45RPA(F)_06Lack of clarity in responsibilities and task distribution.
46RPA(F)_07Poor organization and lack of cooperation among management personnel.
47RPA(F)_08Allowing locals to use protected areas as grazing areas.
RG(G): Activities conducted within the PAs risk factors
48RPA(G)_01Non-compliance of licensed projects, such as mines, quarries, and farms within protected areas, with the environmental regulations stipulated in the licenses.
49RPA(G)_02Failure to require companies to rehabilitate the site after the end of the activity period.
50RPA(G)_03Lack of environmental impact assessment by companies applying for licenses during their operations within the protected area.
51RPA(G)_04Poor coordination with relevant authorities in regulating work procedures, preventive measures, detailed precautions, and precautions.
52RPA (G)_05Non-compliance with civil defense instructions in facilities within protected areas.
53RPA(G)_06The existence of conflicts within the work environment.
54RPA(G)_07Unauthorized use of toxins or chemicals within the protected area.
Table 2. FAMs rules for calculating the FMARPA output.
Table 2. FAMs rules for calculating the FMARPA output.
Risk ScaleRisk Impact Index
Very LowLowMediumHighVery High
Presence RateVery LowV-LV-LLLM
LowV-LLLMM
MediumLLMMH
HighLMMHV-H
Very HighMMHV-HV-H
Table 3. Top two risk factors affecting Pas management.
Table 3. Top two risk factors affecting Pas management.
Risk CodeRanking Due to
SustainabilityEffectivenessEcological Balance
RPA(B)_01116
RPA(B)_02223
RPA(C)_10671
RPA(G)_03592
Table 4. Correlation coefficient factors for FMARPA verification.
Table 4. Correlation coefficient factors for FMARPA verification.
IndicesFIS and SSIFIE and SEIFIEB and SEBI
Correlation coefficient factors0.9650.8840.915
Table 5. Cumulative group index and average FIS for Pas risk groups in case of sustainability.
Table 5. Cumulative group index and average FIS for Pas risk groups in case of sustainability.
RG(A)RG(B)RG(C)RG(D)RG(E)RG(F)RG(G)
Cumulative group index4.5283.4664.7213.0642.6263.7623.478
Average FIS0.5030.5780.4720.4380.3750.4700.497
Table 6. Cumulative group index and average FIE for Pas risk groups in case of effectiveness.
Table 6. Cumulative group index and average FIE for Pas risk groups in case of effectiveness.
RG(A)RG(B)RG(C)RG(D)RG(E)RG(F)RG(G)
Cumulative group index4.5773.6914.6493.4713.5363.8773.457
Average of FIE0.5090.6150.4650.4960.5050.4850.494
Table 7. Cumulative group index and average FIEB for Pas risk groups in case of ecological balance.
Table 7. Cumulative group index and average FIEB for Pas risk groups in case of ecological balance.
RG(A)RG(B)RG(C)RG(D)RG(E)RG(F)RG(G)
Cumulative group index3.9453.0053.9252.8932.7773.1273.289
Average of FIEB0.4380.5010.3930.4130.3970.3910.470
Table 8. Highest ten significant risk factors influencing PAs management.
Table 8. Highest ten significant risk factors influencing PAs management.
RankSustainabilityEffectivenessEcological Balance
Factor No.FISRisk GroupFactor No.FIERisk GroupFactor No.FIEBRisk Group
1RPA(B)_010.707BRPA(B)_010.711BRPA(C)_100.668C
2RPA(B)_020.703BRPA(B)_020.702BRPA(G)_030.635B
3RPA(F)_060.689FRPA(E)_070.701ERPA(B)_020.622G
4RPA(A)_020.644ARPA(A)_080.664ARPA(B)_030.583B
5RPA(G)_030.639GRPA(B)_030.658BRPA(G)_010.578D
6RPA(C)_100.632CRPA(A)_010.629ARPA(B)_010.54F
7RPA(A)_010.627ARPA(C)_100.626CRPA(D)_040.532A
8RPA(G)_010.626GRPA(E)_020.626ERPA(F)_080.518B
9RPA(A)_040.595ARPA(D)_050.599GRPA(A)_060.517A
10RPA(C)_010.594CRPA(A)_040.595ARPA(B)_060.515B
Disclaimer/Publisher’s Note: The statements, opinions and data contained in all publications are solely those of the individual author(s) and contributor(s) and not of MDPI and/or the editor(s). MDPI and/or the editor(s) disclaim responsibility for any injury to people or property resulting from any ideas, methods, instructions or products referred to in the content.

Share and Cite

MDPI and ACS Style

Miky, Y.; Issa, U.H.; Faisal, K.; Kordi, M.N.; Alshammari, K.F. Developing and Implementing a Risk Analysis-Based Model for Effective Management of Protected Areas. World 2024, 5, 1285-1306. https://doi.org/10.3390/world5040066

AMA Style

Miky Y, Issa UH, Faisal K, Kordi MN, Alshammari KF. Developing and Implementing a Risk Analysis-Based Model for Effective Management of Protected Areas. World. 2024; 5(4):1285-1306. https://doi.org/10.3390/world5040066

Chicago/Turabian Style

Miky, Yehia, Usama Hamed Issa, Kamil Faisal, Moataz Nael Kordi, and Khalaf Finassani Alshammari. 2024. "Developing and Implementing a Risk Analysis-Based Model for Effective Management of Protected Areas" World 5, no. 4: 1285-1306. https://doi.org/10.3390/world5040066

APA Style

Miky, Y., Issa, U. H., Faisal, K., Kordi, M. N., & Alshammari, K. F. (2024). Developing and Implementing a Risk Analysis-Based Model for Effective Management of Protected Areas. World, 5(4), 1285-1306. https://doi.org/10.3390/world5040066

Article Metrics

Back to TopTop