Abstract
Background: Nutritional status affects bone fragility and related fractures. We investigated the relationships between bone fragility fractures and nutritional indicators, including the Geriatric Nutrition Risk Index (GNRI), Prognostic Nutrition Index (PNI), Control Nutrition Status (CONUT) score, and body mass index (BMI). Methods: Postmenopausal female outpatients aged 75 or older who experienced a hip fracture 2 to 4 weeks ago (hip fracture group; G-HF) or who have no history of hip fracture without secondary osteoporosis but have a T-score of bone mineral density less than −2.5 (primary osteoporosis group; G-POP) were studied using both cross-sectional and longitudinal methods. Variables, including blood test results, T-scores, and nutritional indicators at baseline, were compared between the two groups using a crude dataset and after propensity score matching (PSM). Correlations between hip fracture (HF) and baseline variables were statistically analyzed. The relationship between nutritional indicators and the development of subsequent major osteoporotic fractures (MOFs) after baseline was examined, and the relationship between dietary indicators and functional capacity was also investigated. Results: A total of 1201 patients were recruited from these 113 G-HF and 1088 G-POP groups (crude dataset), of whom 113 were included after PSM. There were many differences between the two groups using the crude dataset. However, no items were significantly different after PSM except for white blood cell count (WBC) and serum phosphorus levels. GNRI < 105.5 demonstrated a typical regression curve regarding prevalent hip fractures. Developing MOF was significantly correlated with T-scores in the femoral neck and the presence of a prevalent fragility fracture. PNI and GNRI demonstrated a significant correlation between functional capacity; however, there was no correlation with the development of MOF. Conclusions: GNRI < 105.5 was significantly correlated with the presence of hip fracture, although no significant association was found with the development of MOF.
1. Introduction
Fragility fractures of the bone are often overlooked in terms of medical costs and as a social issue in Japan, the world’s oldest society [1,2]. The care level needed is more severe after fractures, and the rise in mortality rates, especially among postmenopausal, older women, is well known [3,4,5].
It is also well-known that nutritional status affects the prognosis of bone fragility fractures. Studies have shown that postoperative outcomes for these fractures, including those of the vertebral body, proximal femur, and distal radius, are closely connected to undernutrition [6,7,8,9,10,11,12,13,14,15,16,17]. Presumably, poor nutritional status causes muscle loss, which significantly contributes to bone fragility and leads to decreased bone strength and an increased risk of falls [18].
Poor nutritional status can also serve as a prognostic factor for complications, including severe infections following a fracture, and various indicators have been studied and reported as risk factors [19,20,21]. The most common ones are the Geriatric Nutritional Risk Index (GNRI), Prognostic Nutritional Index (PNI), and Controlling Nutrition Status Score (CONUT). However, few reports compare which of these indices are better predictors of prognosis [22,23].
We used a retrospective case–control dataset to analyze the relationship between nutritional status indicators, serum chemistry data, bone metabolism markers, bone mineral density, and the occurrence of subsequent fragility fractures statistically. We used the STROBE checklist to confirm the study and report validation (Supplementary Table S1). This study aims to identify the most appropriate indicator for predicting the onset and prognosis of proximal femoral fractures.
2. Materials and Methods
We recruited patients with postoperative hip fracture (HF) who had surgery two to four weeks before visiting our institute (G-HF) and postmenopausal women aged 75 or older with previously diagnosed primary osteoporosis without prior osteoporotic fractures (G-POP) who visited our institute from June 2013 to May 2021. The diagnosis of primary osteoporosis was based on the criteria established by the Japan Osteoporosis Society, which include minimum T-scores of <−2.5, representing less than −2.5 standard deviations based on bone mineral density in a healthy thirty-aged population of the same sex, in the lumbar spine or proximal femur and no history of osteoporotic fractures. Additionally, patients had no secondary causes of osteoporosis, such as hyperparathyroidism, hyper- or hypo-adrenalism, or other metabolic bone disorders [24]. The date of diagnosis served as the baseline. Several cross-sectional and longitudinal statistical analyses were performed on these patients, as shown in Figure 1.
Figure 1.
Flowchart of this study.
2.1. Cross-Sectional Studies
2.1.1. Study A: Comparison of Variables Between the Two Groups at Baseline
We examined bone mineral density (BMD) using dual-energy X-ray absorptiometry, from which T-scores were measured in the lumbar spine (LS), femoral neck (FN), and total hip (TH) regions. At the same time, blood tests, such as tests for serum albumin level (ALB), C-reactive protein (CRP), white blood cell count (WBC), blood lymphocyte count (Lymph), hemoglobin (Hgb), serum total cholesterol level (T-chol), serum creatinine level (Cr), serum cystatin C level (CysC), serum calcium level (Ca), serum phosphorus level (IP), alkaline phosphatase (ALP), para-thyroid hormone (PTH), type-1 procollagen-N-pro-peptide (P1NP), and tartrate-resistant acid phosphatase-5b (TRACP-5b) were performed at baseline. The estimated glomerular filtration rate (eGFR) based on Cr (eGFR_Cr) and CysC (eGFR_CysC) could be calculated. Nutritional indices, such as body mass index (BMI), GNRI, PNI, and CONUT, were also calculated. We used body weight just before the operation in the G-HF for the calculation of these indices and at the measurement of BMD in the G-POP, and used height at the measurement of BMD in both groups. We compared the following variables between the G-HF and the crude dataset of G-POP using the Mann–Whitney U-test (Study A1).
Calculation formulae of these indices are as follows: BMI, body weight (kg) per square height (m2); GNRI, 14.89 times ALB (g/dL) plus 41.7 times current body weight (kg) per ideal body weight (kg) (ideal body weight in women: (height (cm) − 100) − [(height − 150)/2.5]); PNI, ten times ALB (g/dL) + 0.005 times Lymph (/mm3); CONUT score, If (ALB ≥ 3.5; 0, or 3.5 > ALB and ALB ≥ 3.0; 2, or 3.0 > ALB and ALB ≥ 2.5; 4, or 2.5 > ALB, 6) plus If (T-chol ≥ 180; 0, or 180 > T-chol and T-chol ≥ 140; 1, or 140 > T-chol and T-chol ≥ 100; 2, or 100 > T-chol; 3) plus If (Lymph ≥ 1600; 0, or 1600 > Lymph and Lymph ≥ 1200; 1, or 1200 > Lymph and Lymph ≥ 800; 2 or 800 > Lymph; 3). The calculation formulae for the indices are shown in Table 1.
Table 1.
Calculation formulae for the nutritional indices.
Next, age and T-scores in the two groups were balanced using the G-POP’s propensity score matching technique (PSM: prespecified with age and T-score in the FN; matching ratio, 1:1; caliper width, 0.1; nearest neighbor algorithm; without replacement; cases with missing data were excluded), and then, parameters between the G-HF and G-POP after PSM were compared using the Mann–Whitney U test (Study A2, as shown in Figure 1).
2.1.2. Study B: Associations Between HF Incidence and Variables at Baseline
We also examined the associations between the incidence of HF and these variables from the crude dataset using binary logistic regression. They were assessed with both univariate and multivariate models of the significant variables.
2.1.3. Study C: Associations Between Nutritional Indices and the Other Variables at Baseline
Using a best subsets regression analysis, nutritional indices such as GNRI, PNI, CONUT score, and BMI were evaluated for their correlation with other variables. Regression coefficients and significant variables for each nutritional index were compared.
2.1.4. Study D: Determining the Cut-Off Index of Each Nutritional Index for Developing HFs Using Receiver Operating Characteristic Curve Analysis
Each nutritional index was evaluated using receiver operating characteristic (ROC) curve analysis for the absence of HF, since each index has an inverse relationship with the development of HF. It is assumed that the risk of developing HF decreases as nutritional status improves. The area under the curve (AUC), cut-off index (COI), and the statistical significance of the COI for each index were assessed.
2.2. Longitudinal Studies
2.2.1. Study E: Associations Between Subsequent Major Osteoporotic Fracture and Variables After Baseline
All patients in the crude dataset of G-POP and G-HF were followed up. Our primary endpoint is the presence of a major osteoporotic fracture (MOF) after baseline. We selected patients who had at least two years of follow-up and patients who censored MOF. MOF is defined as a vertebral fracture, a hip fracture, a proximal humerus fracture, and a wrist fracture. The diagnosis of MOF is derived from the medical record with the medical code. Patients who dropped out for any reason without developing incident MOF within two years after baseline were excluded. The relationship between the occurrence of MOF after baseline and the baseline variables was assessed using a Cox regression analysis.
2.2.2. Study F: Association Between Nutritional Indices and Functional Capacity After Baseline
In the same population used in Study E, the associations between nutritional indices such as BMI, PNI, GNRI, and CONUT score and functional capacity, including BI after baseline, were evaluated using linear regression analysis.
2.3. Additional Test Regarding the Correlation Between BMI and the Variables
As an additional test, the correlation between BMI and the variables examined in these study series at baseline was assessed using a best-subsets regression analysis.
The study protocol is shown in Figure 1.
3. Results
A total of 1894 patients were selected. Of those, 178 were men, and 1716 were women. We extracted a total of 1201 postmenopausal female patients from these. Of the 1201 patients, 1088 were included in the G-POP and 113 in the G-HF (Figure 1).
3.1. Cross-Sectional Studies
3.1.1. Study A: Comparison of Variables Between the Two Groups at Baseline
Demographics are demonstrated in Table 2. There are many variables that demonstrate a significant difference between G-HF and G-POP.
Table 2.
Demographic characteristics of the crude dataset and in groups pre- and post-propensity score matching.
Since the mean age of the G-HF group was significantly higher than that of the G-POP group, as indicated by the crude data, age could be a confounding factor. Therefore, PSM was used to adjust the G-POP group’s age for better matching. No cases from the G-HF group were excluded. After PSM, the variables of the G-POP group were 87.8 ± 5.8 years old; −2.7 ± 1.7 (T-score in the LS); −2.9 ± 0.8 (T-score in the FN); −2.8 ± 0.8 (T-score in the TH); −3.4 ± 0.9 (minimum T-score in these); 4.0 ± 0.3 g/dL (ALB); 5387 ± 1534 (/mm3) (WBC); 1469 ± 558 (/mm3) (Lymph); 11.6 ± 1.4 g/dL (Hgb); 200.1 ± 38.4 mg/dL (T-chol); 21.9 ± 3.3 (BMI); 100.3 ± 10.0 (GNRI); 47.6 ± 4.4 (PNI); 1.6 ± 1.3 (CONUT); 0.80 ± 0.29 (mg/dL) (Cr); 1.34 ± 0.40 (mg/dL) (CysC); 9.2 ± 0.5 (mg/dL) (Ca, corrected with ALB); 3.4 ± 0.6 (mg/dL) (IP); 219.3 ± 82.8 (IU/dL) (ALP); 46.6 ± 40.3 (IU/mL) (PTH); 413.0 ± 238.9 (mU/dL) (TRACP-5b); 49.4 ± 47.1 (ng/mL) (P1NP); 56.5 ± 16.8 (mL/min/1.73 m2) (eGFR_Cr); and 46.9 ± 15.2 (mL/min/1.73 m2) (eGFR_CysC), respectively (Table 1). These data showed that WBC levels were significantly higher in the G-HF group compared to the G-POP group (6119 vs. 5387; p < 0.001), and IP was also significantly higher in the G-HF group (3.6 vs. 3.4; p < 0.01). The other variables did not differ significantly between the groups (Table 2).
3.1.2. Study B: Associations Between HF Incidence and Variables at Baseline
In the study regarding the correlations between HF incidence and other factors in G-HF and G-POP with the crude dataset, older age, lower T-score in the FN, T-score in the TH, minimum T-score, lower ALB, more elevated CRP and WBC, lower BMI, GNRI, and PNI, higher IP, and lower eGFR_CysC correlated with the incidence of HF using a univariate model. Lower T-score in the TH, higher minimum T-score, lower ALB, more elevated WBC, lower BMI, and higher GNRI were significantly correlated with the incidence of HF using a multivariate model (Table 3).
Table 3.
Correlations between the hip fracture and variables at baseline using a binary logistic regression analysis.
3.1.3. Study C: Associations Between Nutritional Indices and the Other Variables at Baseline
In the best subsets regression analysis, GNRI exhibited higher regression coefficients of 0.558 compared to 0.535 for PNI, 0.403 for the CONUT score, and 0.506 for BMI. Age was significantly associated with PNI and CONUT scores but showed no significant correlation with GNRI and BMI. Conversely, T-scores at each bone site were strongly linked to GNRI and BMI, while no significant association was observed with PNI and CONUT scores. CRP was only correlated with PNI. Blood cell count and T-cholesterol levels significantly correlated with all indices except T-chol, which showed no significant relationship with BMI. Creatinine (Cr) and calcium (Ca) significantly correlated with GNRI, but no significant association was found with PNI, CONUT score, or BMI. In contrast, intact parathyroid hormone (IP) was significantly correlated with PNI, CONUT score, and BMI, but not with GNRI. Alkaline phosphatase (ALP) showed a significant negative correlation with GNRI, PNI, and BMI, whereas parathyroid hormone (PTH) correlated positively with GNRI and PNI. The incidence of heart failure (HF) was only significantly associated with BMI and not with GNRI, PNI, or CONUT scores (Table 4).
Table 4.
Correlations between nutritional indices and variables using best subsets regression analysis.
3.1.4. Study D: Determining the Cut-Off Index of Each Nutritional Index for Developing HFs Using Receiver Operating Characteristic Curve Analysis
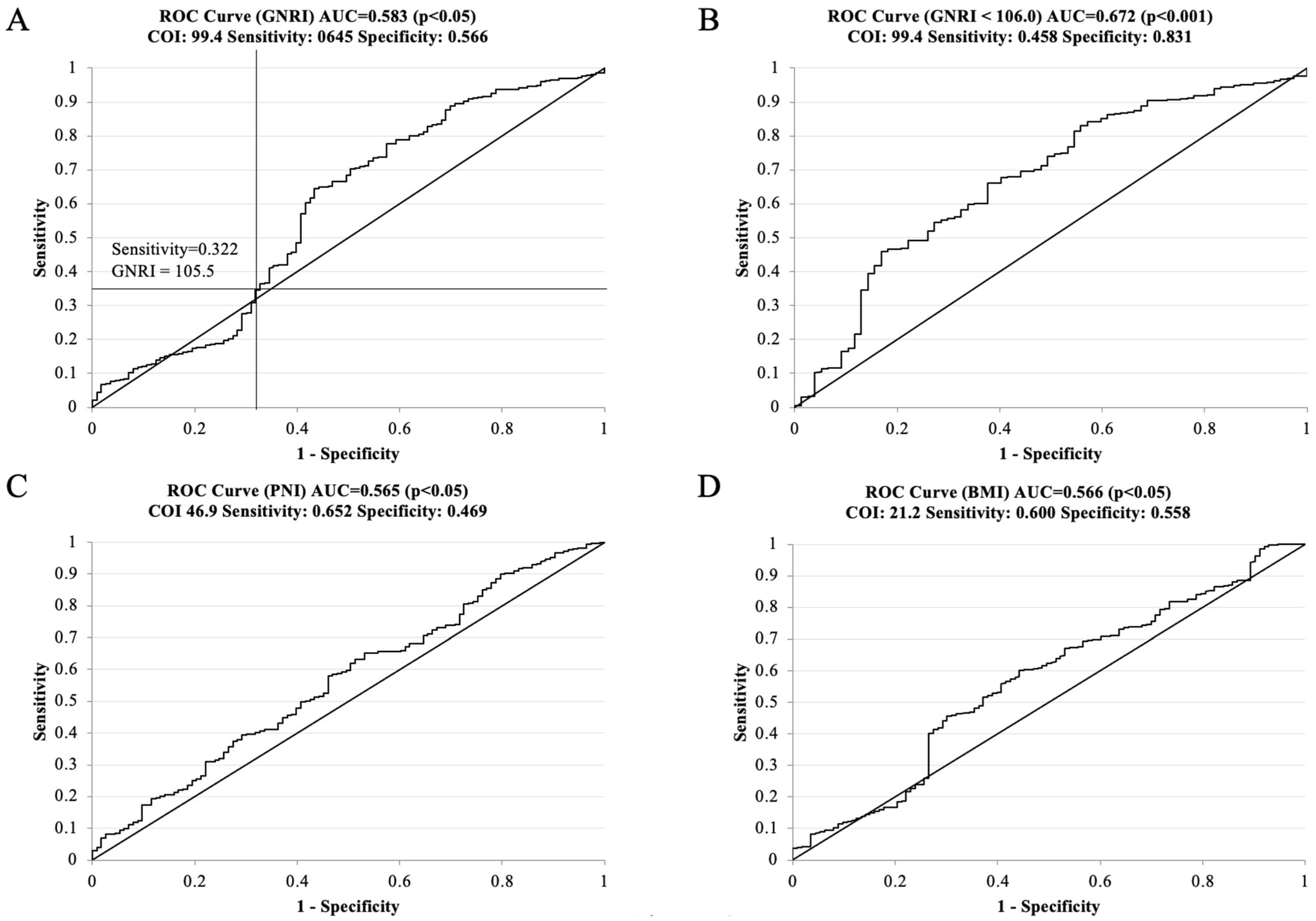
The ROC study revealed that a GNRI ≥ 99.4 was the COI for no HF with 0.583 of the AUC (p < 0.05). However, the ROC curve appears biphasic, with a separation in the zone where the sensitivity is 0.322 (105.5 for GNRI). The graph with the reference line was almost linear in the GNRI ≥ 105.5. On the other hand, in the GNRI < 105, a more significant curve was shown (Figure 2A). When patients were narrowed to GNRI < 105.5, the ROC curve showed a more clearly significant result, and the COI was ≥99.4 for no HF, with an AUC of 0.672, sensitivity of 0.458, and specificity of 0.831 (p < 0.001) (Figure 2B).
Figure 2.
Results of receiver operation characteristics curve study for not presenting hip fracture. (A): Regarding GNRI (B): Regarding GNRI in lower than 105.5 zone (C): Regarding PNI (D): Regarding BMI.
PNI showed a COI > 46.9 for no HF with 0.565 of the AUC, and sensitivity and specificity were 0.652 and 0.469, respectively (p < 0.05) (Figure 2C). BMI showed a similar curve to PNI, with >21.2 for no HF and 0.567 for the AUC. Sensitivity and specificity were 0.600 and 0.568, respectively. (p < 0.05) (Figure 2D). CONUT score showed no significant COI.
3.2. Longitudinal Studies
3.2.1. Study E: Associations Between Subsequent Major Osteoporotic Fracture and Variables After Baseline
Of the 1201 patients, 1146 could be followed up. One hundred nine in G-HF and 1037 in G-POP were included (Figure 1). Follow-up lengths ranged from one to eighty-five months, with a mean of 31.4 months and a standard deviation of 16.2 months. Development of MOF counted 23 in the G-HF (21.1%) and 69 in the G-POP (6.1%). T-score in the FN, T-score in the TH, and the presence of HF at baseline had significantly higher risk ratios for developing incidental MOF in a Cox regression analysis using a univariate model. In these, the T-score in the FN demonstrated a significantly lower risk ratio (p < 0.05), whereas the presence of HF demonstrated a significantly higher risk ratio (p < 0.001) using a multivariate model (Schoenfield residuals; −0.05435). No nutritional indices had substantially higher or lower risk ratios (Table 5). Results of the associations between fractures and dietary indices are displayed in Supplementary Table S2.
Table 5.
Results of a Cox regression analysis for the development of major osteoporotic fracture by gathering the crude dataset of G-POP and G-HF.
3.2.2. Study F: Association Between Nutritional Indices and Functional Capacity After Baseline
Mean values for BMI, PNI, GNRI, CONUT score, and Barthel Index (BI) were 22.3 (SD: 3.7), 48.5 (SD: 4.7), 101.7 (SD: 10.8), 1.4 (SD: 1.3), and 62.3 (SD: 27.6), respectively. BI in the G-HF and G-POP groups was 51.3 (SD: 27.0) and 64.0 (SD: 27.3). BI in the G-HF group was significantly lower than in the G-POP group (p < 0.05). PNI and GNRI at baseline were significantly correlated with the BI after baseline, with regression coefficients of 0.19 and 0.15, respectively (p < 0.001); however, BMI and CONUT scores did not show significant correlations (Table 6).
Table 6.
Correlation between nutritional indices and Barthel Index.
3.3. Additional Test Regarding the Correlation Between BMI and the Variables
The most significant variable that correlates with BMI was the minimum T-score followed by Lymphocyte, Hgb, and Cr. These variables were significantly correlated at p < 0.001. T-scores in the LS and TH were correlated when the variables were three, and they diminished the significance in the minimum T-score. The correlation coefficients were 0.506 at most variables were assessed (Table 7).
Table 7.
Correlation between BMI and variables using a best subsets regression analysis.
4. Discussion
There is near consensus, as shown in numerous reports, that poor nutritional status worsens prognosis after trauma, including fractures, and in chronic inflammatory diseases like rheumatoid arthritis [25,26,27,28,29,30,31,32,33,34].
The primary indicators of nutritional status include GNRI, PNI, CONUT, and BMI. GNRI is calculated using serum albumin levels and the difference between current and ideal body weight. Therefore, it incorporates ALB, body weight, and height. PNI uses ALB and lymphocyte count as components. The CONUT score uses the same components as PNI but also includes T-chol. BMI is based on body weight and height. Some variables overlap, and individual indicators are interconnected.
In selecting subjects, we focused on women and individuals aged 75 or older because this group has the highest risk of hip fracture. We used weight measurements taken just before surgery in patients of the G-HF group after hip fracture, as they were transferred to the convalescent ward two weeks after hip fracture surgery in the acute care hospital by the Clinical Pathway with Regional Alliance [35]. There were many opportunities for blood collection and bone density testing at that time, which facilitated data collection.
There was a notable difference in nutritional indices such as BMI, GNRI, and PNI between the G-HF and G-POP groups in an initial dataset. At the same time, many factors showed significant differences between the two groups, including T-scores around the hip joint and blood data with ALB, CRP, WBC, CysC, IP, and eGFR_CysC. We selected outpatients with no history of fragility fracture as the control group, but because there was a significant age difference, we used PSM to balance these variables. As a result, no significant differences were observed except for WBC and IP, as shown in Table 1. Interestingly, WBC showed a substantial difference, likely due to a sustained inflammatory response. However, there was no significant difference in CRP during the postoperative state. The higher IP in G-HF was also attributed to active bone metabolism effects. Nonetheless, there were no significant differences in markers of bone metabolism.
Binary logistic regression analysis revealed significant correlations with HF for T-score in the TH, WBC, ALB, BMI, and GNRI. Bone mineral density in the proximal femur was more predictable than in the vertebral body, and WBC was also predictable based on the results of the Mann–Whitney U test. Interestingly, despite BMI and GNRI containing standard components, BMI was inversely correlated, while GNRI was positively correlated with the occurrence of HF. The inverse association between BMI and HF suggests that taller individuals have a lower risk of developing HF. Conversely, GNRI was positively correlated with HF in a multivariate model but negatively correlated in a univariate model, indicating a biphasic relationship with HF development. As shown in Table 3, GNRI has a strong inverse correlation with WBC, whereas WBC has a strong positive correlation with HF.
Furthermore, ALB, a component of GNRI, also has a strong inverse correlation with HF, and a high GNRI is likely to offset the correlation with HF. When GNRI exceeds 105.5 in ROC, there is no correlation with the development of HF. Still, considering that the most significant correlation with not developing HF is established when GNRI surpasses 99.4 within 105.5, it is reasonable to assume that GNRI’s correlation with avoiding HF development is limited to a specific range, resulting in an overall lack of correlation with HF.
BMI is also inversely related to WBC but positively related to T-scores. Although GNRI is not as strongly correlated as T-scores and BMI, this might explain why HF is inversely associated with BMI. However, in the best subsets regression analysis, BMI is the only nutritional indicator positively linked to HF, which contradicts the results from the binary logistic regression analysis. There may be a notable connection between BMI and HF, but it is not a strong one. This is because HF showed no significant correlation in the best subsets regression analysis as the number of independent variables decreased. HF occurs when there are nine or more independent variables. The relationship between HF and BMI changed significantly after nine variables (see Table 6). Therefore, HF remains an uncertain factor in the correlation with BMI.
PNI showed no significant correlation with HF; however, this index may be closely related to immune status. One report suggested that PNI was strongly associated with severe infections in patients with rheumatoid arthritis [30]. Since PNI reflects immune function, aging is linked to changes in PNI, as shown in Table 3. Calcium metabolism might also influence PNI and aging. Therefore, the best subset regression analysis revealed a strong association with ALP, IP, and PTH.
No significant correlation was observed between the CONUT score and HF, as shown in Table 1 and Table 2. Although two of the three components of the CONUT score resembled PNI, this difference could result from the calculation method. The CONUT score adds points from specific indices such as ALB, lymphocytes, and T-chol. This method might overlook aspects related to bone and calcium metabolism.
When analyzing the relationship between subsequent MOF and baseline variables, only the presence of HF and T-scores in the FN showed a significant correlation. The presence of HF is correlated with BMI and GNRI at baseline; however, these two indices showed no significant correlation with subsequent MOF. We conclude that there is no meaningful causal connection between nutritional indices and fragility fractures in this population. Nutritional indices indirectly reflect BMD, but no significant correlation exists.
The relationship between nutritional indices at baseline and subsequent functional capacity was strongly associated in PNI and GNRI, while no statistical significance was found with BMI and CONUT score. The common factor in PNI and GNRI is ALB, leading us to suggest that baseline ALB influences functional capacity. The correlation between serum albumin level at baseline and BI afterward was significant (Table 5), supporting this hypothesis.
GNRI might be the most suitable nutritional indicator for correlating with HF, but its available range is limited. GNRI is calculated using ALB and body weight relative to the ideal body weight. A high GNRI value is not associated with prevalent HF. These facts suggest that there is no link between GNRI and prevalent HF when nutritional status exceeds adequate levels.
The most significant risk factor for HF was bone mineral density in the femoral neck. Reports indicated a close relationship between femoral neck fractures and GNRI [36], but the small sample size in this study limited the statistical power. Therefore, the results depend on the characteristics of the study population. Although nutritional issues can influence bone fragility and fall risk, they did not reach statistical significance in this population. Baseline PNI and GNRI showed no significant correlation with the development of incident MOF. However, they did show a significant correlation with functional capacity, likely due to serum albumin levels. These results suggest that nutritional indices may serve as risk indicators for hip fractures, although they are not definitive factors. The relatively lower AUC in study D supports this rationale.
This study has several limitations. First, it was conducted at a single center and did not include data on the use of anti-osteoporosis medications; most importantly, no measurements were taken immediately after HF. Second, the study overlooks factors affecting bone fragility, such as serum vitamin D levels, comorbidities like lifestyle-related diseases, physical activity, and medication use, including glucocorticoids and anti-osteoporotic drugs. These factors should affect bone strength and, therefore, the prevalence of incident MOF. Despite these limitations, the link between variables and HF incidence may be coincidental. We hope this discussion encourages a constructive debate on the relationship between nutritional status and HF.
5. Conclusions
In conclusion, dietary indices are associated with prevalent HF. GNRI may be most strongly connected to a specific condition within the index. GNRI has a biphasic effect on its association with HF presence. A GNRI below 105.5 is significantly linked to HF, while a GNRI of 105.5 or higher is not correlated. No significant link was found between dietary indices and incidental MOF.
Supplementary Materials
The following supporting information can be downloaded at: https://www.mdpi.com/article/10.3390/osteology5040032/s1, Table S1: STROBE Statement—Checklist of items that should be included in reports of case-control studies; Table S2: Associations between prevalent hip fracture or incident major osteoporotic fracture and dietary indices.
Author Contributions
Conceptualization, I.Y.; Methodology, I.Y. and N.S.; Software, I.Y.; Validation, I.Y., T.C. and N.S.; Formal Analysis, I.Y.; Investigation, I.Y.; Resources, I.Y., T.C. and N.S.; Data Curation, I.Y.; Writing—Original Draft Preparation, I.Y.; Writing—Review and Editing, I.Y., T.C. and N.S.; Visualization, I.Y.; Supervision, T.C. and N.S.; Project Administration, I.Y.; Funding Acquisition, none. All authors have read and agreed to the published version of the manuscript.
Funding
This research did not receive any specific grant from funding agencies in the public, commercial, or not-for-profit sectors.
Institutional Review Board Statement
This study was conducted in accordance with the guidelines of the Declaration of Helsinki and was approved by the Institutional Review Board (or Ethics Committee) of Yoshii Hospital (approval number: GC-2024-3, dated 14 September 2024).
Informed Consent Statement
Informed consent was obtained from all subjects involved in the study. Anonymity was ensured for all patients and families who participated in this study, and no names and/or addresses were issued that could help identify these individuals.
Data Availability Statement
The datasets used and/or analyzed during the current study are available from the corresponding author on reasonable request.
Acknowledgments
The authors would like to thank Kaoru Kuwabara, Sayori Masuoka, Eri Morichika, and Aoi Yoshida for their dedicated data collection. The authors also appreciate Grammarly, an AI application for English grammar correction.
Conflicts of Interest
None of author and his families have share income, property with any person, or any grants or other financial supports of the study.
Abbreviations
GNRI, geriatric nutritional risk index; PNI, prognostic nutritional index; CONUT, controlling nutrition status score; HF, hip fracture; G-HF, a patient group with prevalent hip fracture; G-POP, a patient group aged 75 or older with diagnosed primary osteoporosis without prior osteoporotic fractures; BMD, bone mineral density; LS, lumbar spine; FN, femoral neck; TH, total hip; ALB, serum albumin level; CRP, C-reactive protein; WBC, white blood cell count; Lymph, blood lymphocyte count; Hgb, hemoglobin; T-chol, serum total cholesterol; Cr, serum creatinine; CysC, serum cystatin C; Ca, serum calcium; IP, serum phosphorus; ALP, alkaline phosphatase; PTH, parathyroid hormone; P1NP, type-1 procollagen N-propeptide; TRACP-5b, tartrate-resistant acid phosphatase 5b; eGFR, estimated glomerular filtration rate; BMI, body mass index; MOF, major osteoporotic fracture; PSM, propensity score matching technique; ROC, receiver operating characteristic; AUC, area under the curve; COI, cut-off index.
References
- Curtis, E.M.; Moon, R.J.; Harvey, N.C.; Cooper, C. Reprint of: The impact of fragility fracture and approaches to osteoporosis risk assessment worldwide. Int. J. Orthop. Trauma Nurs. 2017, 26, 7–17. [Google Scholar] [CrossRef]
- Iihara, N.; Ohara, E.; Bando, Y.; Yoshida, T.; Ohara, M.; Kirino, Y. Fragility Fractures in Older People in Japan Based on the National Health Insurance Claims Database. Biol. Pharm. Bull. 2019, 42, 778–785. [Google Scholar] [CrossRef]
- Bliuc, D.; Alarkawi, D.; Nguyen, T.V.; Eisman, J.A.; Center, J.R. Risk of Subsequent Fractures and Mortality in Elderly Women and Men with Fragility Fractures with and without Osteoporotic Bone Density: The Dubbo Osteoporosis Epidemiology Study. J. Bone Miner. Res. 2015, 30, 637–646. [Google Scholar] [CrossRef]
- Wang, O.; Hu, Y.; Gong, S.; Xue, Q.; Deng, Z.; Wang, L.; Liu, H.; Tang, H.; Guo, X.; Chen, J.; et al. A survey of outcomes and management of patients post fragility fractures in China. Osteoporos. Int. 2015, 26, 2631–2640. [Google Scholar] [CrossRef]
- Hagino, H. Changing Bones through Rehabilitation Therapy: Toward Bone Attack Prevention. Jpn. J. Rehabil. Med. 2021, 58, 59–65. (In Japanese) [Google Scholar] [CrossRef]
- Nagai, T.; Tanimoto, K.; Tomizuka, Y.; Uei, H.; Nagaoka, M. Nutrition status and functional prognosis among elderly patients with distal radius fracture: A retrospective cohort study. J. Orthop. Surg. Res. 2020, 15, 133. [Google Scholar] [CrossRef] [PubMed]
- Di Monaco, M.; Castiglioni, C.; Bardesono, F.; Milano, E.; Massazza, G. Simultaneous hip and upper-limb fractures are associated with lower Geriatric Nutritional Index scores than isolated hip fractures: A cross-sectional study of 858 women. Aging Clin. Exp. Res. 2020, 32, 1707–1712. [Google Scholar] [CrossRef] [PubMed]
- He, M.; Fan, Q.; Zhu, Y.; Liu, D.; Liu, X.; Xu, S.; Peng, J.; Zhu, Z. The need for nutritional assessment and interventions based on the prognostic nutritional index for patients with femoral fractures: A retrospective study. Perioper. Med. 2021, 10, 61. [Google Scholar] [CrossRef] [PubMed]
- Nagai, T.; Uei, H.; Nakanishi, K. Association Among Geriatric Nutritional Risk Index and Functional Prognosis in Elderly Patients with Osteoporotic Vertebral Compression Fractures. Indian J. Orthop. 2021, 56, 338–344. [Google Scholar] [CrossRef]
- Yokoyama, K.; Ukai, T.; Watanabe, M. Effect of nutritional status before femoral neck fracture surgery on postoperative outcomes: A retrospective study. BMC Musculoskelet. Disord. 2021, 22, 1027. [Google Scholar] [CrossRef]
- Yamaura, T.; Arizumi, F.; Maruo, K.; Kishima, K.; Yoshie, N.; Kusukawa, T.; Imamura, F.; Tachibana, T. The Impact of Controlling Nutritional Status (CONUT) score on functional prognosis in hospitalized elderly patients with acute osteoporotic vertebral fractures. BMC Geriatr. 2022, 22, 1002. [Google Scholar] [CrossRef]
- Faust, L.M.; Lerchenberger, M.; Gleich, J.; Linhart, C.; Keppler, A.M.; Schmidmaier, R.; Böcker, W.; Neuerburg, C.; Zhang, Y. Predictive Value of Prognostic Nutritional Index for Early Postoperative Mobility in Elderly Patients with Pertrochanteric Fracture Treated with Intramedullary Nail Osteosynthesis. J. Clin. Med. 2023, 12, 1792. [Google Scholar] [CrossRef] [PubMed]
- Tsutsui, T.; Fujiwara, T.; Matsumoto, Y.; Kimura, A.; Kanahori, M.; Arisumi, S.; Oyamada, A.; Ohishi, M.; Ikuta, K.; Tsuchiya, K.; et al. Geriatric nutritional risk index as the prognostic factor in older patients with fragility hip fractures. Osteoporos. Int. 2023, 34, 1207–1221. [Google Scholar] [CrossRef] [PubMed]
- Cheng, X.; Chen, W.; Yan, J.; Yang, Z.; Li, C.; Wu, D.; Wang, T.; Zhang, Y.; Zhu, Y. Association of preoperative nutritional status evaluated by the controlling nutritional status (CONUT) score with walking independence at 180 days postoperatively: A prospective cohort study in Chinese older patients with hip fracture. Int. J. Surg. 2023, 109, 2660–2671. [Google Scholar] [CrossRef] [PubMed]
- Pan, J.; Xu, G.; Zhai, Z.; Sun, J.; Wang, Q.; Huang, X.; Guo, Y.; Lu, Q.; Mo, J.; Nong, Y.; et al. Geriatric nutritional risk index as a predictor for fragility fracture risk in elderly with type 2 diabetes mellitus: A 9-year ambispective longitudinal cohort study. Clin. Nutr. 2024, 43, 1125–1135. [Google Scholar] [CrossRef]
- Kamioka, H.; Saeki, C.; Oikawa, T.; Kinoshita, A.; Kanai, T.; Ueda, K.; Nakano, M.; Torisu, Y.; Saruta, M.; Tsubota, A. Low geriatric nutritional risk index is associated with osteoporosis and fracture risk in patients with chronic liver disease: A cross-sectional study. BMC Gastroenterol. 2024, 24, 376. [Google Scholar] [CrossRef]
- Wu, S.; Lai, J.; Chen, Q. Geriatric nutritional risk index as a predictor for fragility fracture risk in elderly with type 2 diabetes mellitus. Clin. Nutr. 2024, 43, 2296–2297. [Google Scholar] [CrossRef]
- Montalcini, T.; Romeo, S.; Ferro, Y.; Migliaccio, V.; Gazzaruso, C.; Pujia, A. Osteoporosis in chronic inflammatory disease: The role of malnutrition. Endocrine 2013, 43, 59–64. [Google Scholar] [CrossRef]
- Xing, H.; Xiang, D.; Li, Y.; Ji, X.; Xie, G. Preoperative prognostic nutritional index predicts postoperative delirium in elderly patients after hip fracture surgery. Psychogeriatrics 2020, 20, 487–494. [Google Scholar] [CrossRef]
- Yagi, T.; Oshita, Y.; Okano, I.; Kuroda, T.; Ishikawa, K.; Nagai, T.; Inagaki, K. Controlling nutritional status score predicts postoperative complications after hip fracture surgery. BMC Geriatr. 2020, 20, 243. [Google Scholar] [CrossRef]
- Fang, X.-Y.; Xu, H.-W.; Chen, H.; Zhang, S.-B.; Yi, Y.-Y.; Ge, X.-Y.; Wang, S.-J. Association Between Poor Nutritional Status and Increased Risk for Subsequent Vertebral Fracture in Elderly People with Percutaneous Vertebroplasty. Clin. Interv. Aging 2022, 17, 1503–1512. [Google Scholar] [CrossRef] [PubMed]
- Inoue, T.; Misu, S.; Tanaka, T.; Kakehi, T.; Ono, R. Acute phase nutritional screening tool associated with functional outcomes of hip fracture patients: A longitudinal study to compare MNA-SF, MUST, NRS-2002 and GNRI. Clin. Nutr. 2019, 38, 220–226. [Google Scholar] [CrossRef] [PubMed]
- Liu, N.; Lv, L.; Jiao, J.; Zhang, Y.; Zuo, X.-L. Association between nutritional indices and mortality after hip fracture: A systematic review and meta-analysis. Eur. Rev. Med. Pharmacol. Sci. 2023, 27, 2297–2304. [Google Scholar] [PubMed]
- Soen, S.; Fukunaga, M.; Sugimoto, T.; Sone, T.; Fujiwara, S.; Endo, N.; Gorai, I.; Shiraki, M.; Hagino, H.; Hosoi, T. Japanese Society for Bone and Mineral Research and Japan Osteoporosis Society Joint Review Committee for the Revision of the Diagnostic Criteria for Primary Osteoporosis. Diagnostic criteria for primary osteoporosis: Year 2012 revision. J. Bone Min. Metab. 2013, 31, 247–257. [Google Scholar] [CrossRef]
- Compston, J. Obesity and fractures. Jt. Bone Spine 2013, 80, 8–10. [Google Scholar] [CrossRef]
- Tokumoto, H.; Tominaga, H.; Arishima, Y.; Jokoji, G.; Akimoto, M.; Ohtsubo, H.; Taketomi, E.; Sunahara, N.; Nagano, S.; Ishidou, Y.; et al. Association between Bone Mineral Density of Femoral Neck and Geriatric Nutritional Risk Index in Rheumatoid Arthritis Patients Treated with Biological Disease-Modifying Anti-Rheumatic Drugs. Nutrients 2018, 10, 234. [Google Scholar] [CrossRef]
- Roberts, J.L.; Drissi, H. Advances and Promises of Nutritional Influences on Natural Bone Repair. J. Orthop. Res. 2020, 38, 695–707. [Google Scholar] [CrossRef]
- Piñar-Gutierrez, A.; García-Fontana, C.; García-Fontana, B.; Muñoz-Torres, M. Obesity and Bone: A Complex Relationship. Int. J. Mol. Sci. 2021, 22, 13662. [Google Scholar] [CrossRef]
- Nagayama, Y.; Ebina, K.; Tsuboi, H.; Hirao, M.; Hashimoto, J.; Yoshikawa, H.; Okada, S.; Nakata, K. Low serum albumin concentration is associated with increased risk of osteoporosis in postmenopausal patients with rheumatoid arthritis. J. Orthop. Sci. 2022, 27, 1283–1290. [Google Scholar] [CrossRef]
- Isoda, K.; Tsuji, S.; Harada, Y.; Yoshimura, M.; Nakabayashi, A.; Sato, M.; Nagano, H.; Kim, D.-S.; Hashimoto, J.; Ohshima, S. The potential of the prognostic nutritional index to determine the risk factor for severe infection in elderly patients with rheumatoid arthritis. Mod. Rheumatol. 2023, 33, 88–95. [Google Scholar] [CrossRef] [PubMed]
- Soliman, S.S.; Jordan, G.B.; Bilaniuk, J.W.; Benfante, A.; Kong, K.; Rolandelli, R.H.; Curran, T.; Nemeth, Z.H. The impact of BMI on morbidity and mortality after femoral fractures. Eur. J. Trauma Emerg. Surg. 2022, 48, 2441–2447. [Google Scholar] [CrossRef]
- Muñoz-Garach, A.; García-Fontana, B.; Muñoz-Torres, M. Nutrients and Dietary Patterns Related to Osteoporosis. Nutrients 2020, 12, 1986. [Google Scholar] [CrossRef]
- Rizzoli, R.; Biver, E.; Brennan-Speranza, T.C. Nutritional intake and bone health. Lancet Diabetes Endocrinol. 2021, 9, 606–621. [Google Scholar] [CrossRef]
- Rizzoli, R.; Chevalley, T. Nutrition and Osteoporosis Prevention. Curr. Osteoporos. Rep. 2024, 22, 515–522. [Google Scholar] [CrossRef] [PubMed]
- Yoshii, I.; Satake, Y.; Kitaoka, K.; Komatsu, M.; Hashimoto, K. Relationship between dementia degree and gait ability after proximal femoral fracture surgery: Review from Clinical Pathway with Regional Alliance data of rural region in Japan. J. Orthop. Sci. 2016, 21, 481–486. [Google Scholar] [CrossRef] [PubMed]
- Maezawa, K.; Nozawa, M.; Maruyama, Y.; Sakuragi, E.; Sugimoto, M.; Ishijima, M. Comparison of anemia, renal function, and nutritional status in older women with femoral neck fracture and hip joint osteoarthritis. J. Orthop. Sci. 2023, 28, 380–384. [Google Scholar] [CrossRef] [PubMed]
Disclaimer/Publisher’s Note: The statements, opinions and data contained in all publications are solely those of the individual author(s) and contributor(s) and not of MDPI and/or the editor(s). MDPI and/or the editor(s) disclaim responsibility for any injury to people or property resulting from any ideas, methods, instructions or products referred to in the content. |
© 2025 by the authors. Licensee MDPI, Basel, Switzerland. This article is an open access article distributed under the terms and conditions of the Creative Commons Attribution (CC BY) license (https://creativecommons.org/licenses/by/4.0/).

