Previous Article in Journal
Synthetic Routes and Bioactivity Profiles of the Phenothiazine Privileged Scaffold
 
 
Font Type:
Arial Georgia Verdana
Font Size:
Aa Aa Aa
Line Spacing:
Column Width:
Background:
Article

Efficient Degradation of Cis-Polyisoprene by GQDs/g-C3N4 Nanoparticles Under UV Light Irradiation

1
College of Chemistry and Chemical Engineering, Hainan Normal University, Haikou 571158, China
2
Key Laboratory of Water Pollution Treatment & Resource Reuse of Hainan Province, Haikou 571158, China
3
Haikou Key Laboratory of Water Environmental Pollution Control, Haikou 571158, China
4
Rubber Research Institute, Chinese Academy of Tropical Agricultural Sciences, Haikou 571101, China
*
Authors to whom correspondence should be addressed.
Organics 2025, 6(4), 47; https://doi.org/10.3390/org6040047 (registering DOI)
Submission received: 3 July 2025 / Revised: 7 August 2025 / Accepted: 23 September 2025 / Published: 14 October 2025

Abstract

Rubber material with high elasticity and viscoelasticity has become the most widely used universal material, and the study of the aging failure mechanism of rubber has been meaningful research in the polymer materials field. Cis-polyisoprene was employed to analyze the mechanism of oxidative degradation under artificial UV irradiation, and the GQDs/g-C3N4 photocatalysis with a 2D layered structure prepared by the method of microwave-assisted polymerization enabled to accelerate the degradation procedure. The results showed that the oxidation of cis-polyisoprene occurred during the irradiation for 3 days and the structure of cis-polyisoprene changed. The α-H of the double bond was attacked by oxygen to form hydroperoxide. Then, aldehydes and ketones generated as the addition reaction of double bonds occurred. The content of the hydrogen of C=C reduced, and the oxidative degradation was dominant at the initial aging stage. The crosslinking reaction was dominant at the final aging stage and the average molecular weight decreased from 15.49 × 104 to 8.78 × 104. The GQDs could promote the charge transfer and the photodegradation efficiency and inhibit the electron–hole recombination. The light capture ability of GQDs was improved after compositing with g-C3N4. The free radicals ·O22− generated after adding GQDs/g-C3N4 nanoparticles, and the molecular weight of cis-polyisoprene decreased to 5.79 × 104, with the photocatalytic efficiency increasing by 20%. This work provided academic bases and reference values for the application of photocatalysts in the field of natural rubber degradation and rubber wastewater treatment.

1. Introduction

Natural rubber (NR), composed of approximately 95% cis-polyisoprene, is used in many industrial fields, such as medical gloves, tires, coatings, adhesives, health care equipment, etc. [1,2,3,4,5]. NR plays an indispensable role in the economy and national defense. When NR materials are exposed to the environment at high temperature, ultraviolet (UV) radiation, oxygen, ozone, heat, and sea in the practical storage and application process, the environment will result in the destruction of the composition and structure of NR [6,7,8,9,10]. The occurrence of discoloration, surface cracking, embrittlement, and hardening will lead to the failure and waste of NR materials. The original excellent performance and utilization value of NR will be lost in the process of aging gradually. This aging phenomenon is a common problem for polymer materials with unsaturated bonds in their structure. Therefore, the research on the failure mechanism of NR has always been a significant guiding subject. The effect of aging on the properties of NR materials is an important study in the field of mechanical rubber goods; however, there are few systematic works on the analysis between the aging mechanism and microstructure. Meanwhile, it has a positive significance and value for the rubber industry and environmental protection to explore the use of a fast and clean aging process in rubber waste disposal.
Light, as a radical initiator [11,12,13], can break the chemical bond and influence the performance of polymer materials during the process of photoaging. Free radicals are formed via the photo-initiated chain reaction in the presence of oxygen, based on the free radical mechanism [14,15,16]. In particular, the unsaturated bonds in the NR backbone are readily oxidized under the attack of oxygen and free radicals. Although light is a kind of promising and clean resource, the natural degradation of NR products under the condition of light irradiation takes several years, and the treatment of rubber waste provides a significant challenge to the environment. Therefore, how to accelerate the process of light degradation is a crucial factor that quickens and optimizes the rubber waste disposal. Graphitized carbon nitride (g-C3N4) has been widely applied in photocatalysis research due to its electronic band structure and excellent thermochemical stability. A narrow band gap (2.7 eV) and proper conduction band (CB) (−1.07 eV) [17,18,19] exist in the unique energy band structure of g-C3N4. Electrons on CB can be inspired by light and react with O2 to generate superoxide radical (·O2−) [20,21,22,23]. The g-C3N4 nanoparticles can improve the light capture ability of the substrate and accelerate the charge transfer rate in the redox process. In this process, the more superoxide radicals (·O2−) and hydroxyl radicals (·OH) are produced, the more these radicals accelerate the oxidation of polymer materials. The application of the photocatalyst in NR degradation and its mechanism are practical and have strong promotional value in environmental engineering.
In this work, cis-polyisoprene as a substitute for NR was employed to analyze the degradation mechanism accurately. UV aging was carried out under the photocatalytic condition. In order to accelerate the degradation efficiency, graphene quantum dots (GQDs) were added, and the GQDs/g-C3N4 nanoparticles were prepared by the microwave-assisted polymerization method. The modified GQDs nanoparticles were conducive to the charge transfer and the photocatalytic activity. The oxidation was promoted by the photocatalysis of GQDs/g-C3N4. The effect of the photocatalyst structure on the property of NR degradation was explored, and the action mechanism during the process of light degradation was analyzed. The studies of aging and degradation behavior provide an academic base for the waste disposal of NR products.

2. Experimental Section

2.1. Experimental Materials

Cis-polyisoprene (average Mw: 150,000 by GPC) was purchased from Sigma Aldrich, Saint Louis, MO, USA. Urea (AR) and citric acid (AR) were purchased from Shanghai McLean Biochemical Technology Co., Ltd., Shanghai, China. All the materials were used as received.

2.2. Sample Preparation

2.2.1. Preparation of the GQDs/g-C3N4 Composite

Synthesis of GQDs: the GQDs were synthesized by the fast microwave synthesis method. Citric acid (1.00 g) and urea (1.00 g) were added to 50 mL of room temperature distilled water under magnetic stirring (magnetic stirrer ZNCL-BS, Shanghai Zhiwei Electric Appliance Co., Ltd., Shanghai, China) conditions. The solution mixture was transferred to a microwave oven (700 W) and heated for 7 min until the dark brown solid formed, indicating that the carbonization process of the reaction was complete. After cooling down to room temperature, the product was dissolved in 50 mL of water, then centrifuged at 10,000 rpm for 15 min (centrifuge TG16-WS, Hunan Xiangyi Laboratory Instrument Development Co., Ltd., Xiangtan, China). The obtained solution was filtered by a filtration membrane (0.45 μm) and dialyzed against a molecular weight cut-off of 1000 Da for 48 h. After vacuum drying, the GQDs solution was dispersed in deionized water.
Synthesis of GQDs/g-C3N4: Urea and as-prepared GQDs were added to water and stirred for 1 h, and the precursor of GQDs and g-C3N4 was obtained. The calcination precursor was formed after microwave irradiation at 700 W for 4 min. The temperature was then controlled by programmed heating in an atmosphere furnace, rising at a rate of 15 °C per minute to 550 °C, with a calcination time of 3 h. The sample was cooled to room temperature after calcination and washed three times with distilled water and ethanol solution, respectively. The GQDs/g-C3N4 composite material was prepared under treatment of vacuum drying at 60 °C in a vacuum drying oven (DZF-6020, Shanghai Yiheng Scientific Instrument Co., Ltd., Shanghai, China).

2.2.2. Cis-Polyisoprene Photocatalytic Degradation

The photodegradation experiment of cis-polyisoprene (3.00 g) was mixed with g-C3N4 (6 mg) and GQDs/g-C3N4, respectively. The mixture was then placed in a photochemical reaction apparatus (XPA-4, Nanjing Xujiang Electromechanical Factory, Nanjing, China) with a mercury lamp (300 W, 254 nm) as the light source, using an average light intensity of 2.1 mW/cm2. The distance between the sample and the light source was set to 20 cm. The temperature was maintained at 25 ± 2 °C to eliminate the influence of temperature. The photodegradation experiment was under air humidity ranging from 65% to 75%, and the aging test duration was 10 days.

2.3. Characterization Method

The X-ray diffraction (XRD) patterns were obtained on Ultima IV (German Brock, Bochum, Germany), and the diffractometer was equipped with a Cu Ka radiation source (λ = 0.154056 nm). The working voltage was 40 kV, and the current was 30 mA. The 2θ range was from 10° to 80° at a scanning speed of 2°/min. The Fourier transform infrared (FT-IR) spectra were measured on a Nicolet 6700 (Thermo Fisher, Waltham, MA, USA) spectrometer. The technical parameters are as follows: wavelength range of 400–4000 cm−1, scanning of 32 times, and resolution of 4 cm−1. The nuclear magnetic resonance (1H-NMR) spectra were obtained on a Bruker AV 400 mHz NMR spectrometer with chloroform-d as a solvent and trimethylsilane as an internal standard. The surface morphology and internal microstructure were captured on a JSM-7100F scanning electron microscope (SEM) (JEOL, JPN) and JEM-2010 transmission electron microscope (TEM) (JEOL, JPN). The samples were first dispersed in ethanol solution by ultrasonic action (BG-12C, Guangzhou Bangjie Electronic Products Co., Ltd., Guangzhou, China), and then the appropriate amount of suspension sample was dropped on a copper screen. The gel permeation chromatography (GPC) was characterized using Shimadzu Instruments with a polystyrene standard. Technical parameters are as follows: HPLC grade tetrahydrofuran as mobile phase, flow rate of 1 mL/min, column temperature of 40 °C, and sample volume of 50 μL. The elemental composition and valence state of catalysts were analyzed by X-ray photoelectron spectroscopy (XPS) on an ESCALAB250 (Thermo Fisher, Waltham, MA, USA) electron spectrometer with Al Ka (hν =1486.6 eV) X-ray radiation as the X-ray source. The glass transition temperature was measured using DSC-Q200 (TA Instruments, New Castle, DE, USA) equipment. The test temperatures ranged from −80 °C to 50 °C, and the heating speed was 10 °C/min. The ultraviolet spectrophotometer (UV-Vis) was characterized using a UV-2700 spectrophotometer (SHIMADZU JPN, Tokyo, Japan). The specific surface area, pore size, and pore volume of the composited catalysts were determined by a N2 adsorption/desorption equipment (APSP 2460 Micromeritics, Norcross, GA, USA). Photoluminescence spectroscopy (PL) was measured at room temperature on an F-7000 fluorescence spectrometer (Hitachi, Tokyo, Japan).

3. Results and Discussion

3.1. Aging of the Cis-Polyisoprene Under UV Light Irradiation

The non-rubber hydrocarbons, such as proteins contained in NR, can slow down the aging process, and these kinds of components also effectively reduce the influence of UV on the double bond in molecular structure. Cis-polyisoprene with a well-defined structure was applied to analyze the process and mechanism of aging, and the influence of non-rubber hydrocarbons was ignored in this work.
The UV aging of cis-polyisoprene was conducted at different aging times from 1 to 10 days. The effect of aging time on the molecular structure of polyisoprene was evaluated by FT-IR, as shown in Figure 1a. The absorption peaks at 2961 cm−1, 2850 cm−1, and 1660 cm−1 were contributed to the asymmetrical stretching vibration of -CH3, -CH2 and C=C, respectively [23]. The stretching vibration absorption peak of methylene (-CH2) appeared at 1375 cm−1. Due to the formation of methylene free radicals, the absorption of methylene weakened continuously during the aging process. The absorption intensity of C=C bonds weakened during the procedure of UV aging for 3 days, indicating that the C=C bonds of cis-polyisoprene were partially destroyed [24]. It was worth noting that a new peak for C=O appeared at 1716 cm−1 proved the occurrence of oxidation reactions and the generation of carbonyl compounds [25]. The intensity of C=O increased with the increase in aging time. This result was explained by the formation of ketones or aldehydes under UV light irradiation. The absorption peaks at 832 cm−1 were assigned to the deformation of =C-H out-of-plane for cis-1,4-polyisoprene (cis-CCH3=CH-) [26,27]. The decrease in the absorption intensity of =C-H is due to the formation of carbonyl groups. The absorption peaks of the C=C double bond at 1662 cm−1 and the =C-H peak in the cis-1,4-polyisoprene structure at 842 cm−1 both decrease over time, indicating a reduction in the content of double bonds in the molecule [28].
The molecular weight of cis-polyisoprene decreased significantly from the GPC pattern, as shown in Figure 1b. The Mw of cis-polyisoprene dropped from 15.49 × 104 to 8.78 × 104 after UV aging for 10 days. The crosslinking network of cis-polyisoprene was destroyed after UV irradiation. It significantly reduced the entanglement points between molecular chains, which led to lower molecular weight [29]. The thermal transitions of cis-polyisoprene were measured by DSC under N2 protection (Figure 1c). The glass transition temperature (Tg) of cis-polyisoprene rose from −61.59 to −41.28 °C after UV aging for 10 days. The reduced C=C double bonds caused the enhancement of the flexibility of cis-polyisoprene chains. The macroscopic consequence of the aging process was the increase in Tg [30]. The structural conversion of cis-polyisoprene was characterized by UV–Vis spectra, as shown in Figure 1d. There was only one absorption peak of a double bond (λ1) at 219 nm, and this signal peak had slight blue shifts with the increase in aging time. Blue shift is caused by ultraviolet light irradiation, weakening the conjugated structure of the polyisoprene chain through the breaking of double bonds. This results in a reduction in vinyl groups and a shift in the absorption wavelength toward shorter wavelengths.
The results of the above experimental tests and analysis indicated that cis-polyisoprene materials underwent slow aging under the influence of ultraviolet radiation as the duration of the experiment increased. This aging procedure can also be caused by the combined action of sunlight, oxygen, ozone, light energy, chemicals, and microorganisms in natural rubber materials [31,32,33,34]. The natural rubber underwent aging degradation over a long time, and this degradation is uncontrolled. The light degradation provides a kind of effective and potential method in the field of rubber wastewater treatment. However, the problem of degradation efficiency has to be considered first. The highly efficient photocatalyst is a good choice for the improvement of the light degradation of rubber materials.

3.2. Preparation of the GQDs/g-C3N4 Composite

A rapid method was designed to prepare GQDs/g-C3N4 nanoparticles employing a microwave-assisted polymerization method for the application of a photocatalyst in the degradation of cis-polyisoprene. The characteristic morphologies of GQDs/g-C3N4 (Figure 2a) were observed by SEM. The g-C3N4 as a nanosheet exhibited irregular and overlapping features. The GQDs/g-C3N4 composited catalyst maintained an ultrathin 2D layer structure. The morphology of GQDs (Figure 2b) and GQDs/g-C3N4 (Figure 2c) composites was observed by TEM images. The GQDs showed a spherical structure. The average diameter was about 5–10 nm, and the GQDs were anchored to the surface of g-C3N4.
From the XRD pattern of g-C3N4 and GQDs/g-C3N4 (Figure 2d), two distinct diffraction peaks at 12.7° and 27.69° could be well corresponded to the (100) plane and (002) plane on account of the existence of g-C3N4 (JCPDS Card No. 87-1526) [35,36]. The crystal structure of g-C3N4 remained after compositing with GQDs. After the introduction of GQDs, the peak of (002) diffraction plane shifted to a slightly lower angle (from 27.74° to 27.43°), which might be attributed to the compression of GQDs nanoparticles and the decreased packing distance of graphitic-like planes [37]. In addition, several peaks appear in the XRD spectrum of g-C3N4 in the range of 14–25°, and these peaks become broader in the GQDs/g-C3N4 spectrum. This may be due to a decrease in crystallinity and an increase in the amorphous (non-crystalline) component of the material after composite formation.
In addition, the FT-IR spectra of both g-C3N4 and GQDs/g-C3N4 samples were almost identical (Figure 3a), which also indicated that the composition of GQDs did not change the chemical structure of pristine g-C3N4 [38]. The pore size and specific surface area of GQDs/g-C3N4 were analyzed by the nitrogen adsorption/desorption isotherms, and the results are shown in Figure 3b. The physical adsorption isotherms of pure g-C3N4 and GQDs/g-C3N4 showed type IV isotherms and H3 hysteresis rings in the range of 0.5–1.0 P/P0, which defined the characteristics of mesoporous structure. The structure of carbon nitride was not destroyed after the introduction of GQDs. The specific surface area of pure g-C3N4 was 91.8681 m2/g, and that of GQDs/g-C3N4 was 40.3947 m2/g. After compositing GQDs, the specific surface area of the catalysts decreased rapidly. In addition, the average BJH (Brunauer–Joyner–Halenda method) pore diameter and pore volume (Figure 3c) of GQDs/g-C3N4 were 19.7771 nm and 0.199722 cm3/g. The optical properties of g-C3N4, GQDs/g-C3N4 composites were evaluated through ultraviolet-visible diffuse reflectance spectroscopy (UV-vis DRS) as shown in Figure 3d. Pure g-C3N4 exhibited minimal absorption within the visible range of 460–800 nm, whereas the absorption edge of GQDs/g-C3N4 experienced a notable redshift. This phenomenon was attributed to the outstanding upconversion fluorescence property of GQDs, and it broadened the spectral response range of visible light effectively. Photoluminescence spectra (PL) were measured to assess upconversion properties in g-C3N4 and GQDs/g-C3N4 composites (Figure 3e). The pure g-C3N4 exhibited a robust emission peak around 450 nm. The incorporation of GQDs led to a notable reduction in photoluminescence intensity, indicating an efficient separation of photoluminescent electrons and holes. The luminescence intensity in GQDs/g-C3N4 composites was markedly lower than in g-C3N4, indicating that the doped GQDs enhanced the charge transfer and reduced the electron–hole complexation.
XPS was further employed to characterize the composition and valence of g-C3N4 and GQDs/g-C3N4 as shown in Figure 4a. Three different element peaks of C1s, N1s, and O1s could be observed. The C1s spectrum of g-C3N4 (Figure 4b) was divided into three peaks at 288.18, 286.1, and 284.8 eV [39], which corresponded to the C-NH2, C-(N)3, and N-C-NH2, respectively. The N1s spectrum (Figure 4c) was divided into three peaks at 398.71, 400.62, and 404.33 eV, which correspond to C=N-C, N-(C)3, and C-NH2 [40]. Both spectra of g-C3N4 and GQDs/g-C3N4 had similar phases. Combined with the XRD results, it proved the chemical structure of pristine g-C3N4 remained, and GQDs were anchored to the g-C3N4 (Figure 4d) surface via C-O and C=O bonds under the high temperatures.
In order to promote the degradation of cis-polyisoprene, the GQDs/g-C3N4 nanoparticles as a photocatalyst were applied to the procedure of UV irradiation. The similar energy band structure of GQDs and g-C3N4 can form an internal electric field, which ensures the stability of interfacial carrier transport. The performance of photocatalytic degradation was significantly improved, and the catalytic process is shown in Figure 5. The electrons of g-C3N4 transfer from VB to CB and then separate immediately to migrate to the surface [41]. GQDs/g-C3N4 can promote the generation of photoelectron-hole pairs under the condition of UV irradiation. Because EƟCB (−1.19 eV) has a more negative charge than EƟ (O2/·O2−) (−0.046 eV) [39,42], the photoelectrons can carry out a reduction reaction with the dissolved O2 to produce the active species of ·O2−. The photoelectrons of GQDs transfer to the surface of g-C3N4 and react with O2 to produce the ·O2−. The generated ·O2− will attack the polymer chains of polyisoprene and promote the formation of degradation products. GQDs/g-C3N4 nanomaterials contain rich functional groups, and the possibility of reactions between cis-polyisoprene and functional groups cannot be ruled out. However, it is limited by the complexity of functional group reactions and the rather low activity of functional groups in aqueous conditions. The reactions of functional groups were ignored, and the highly reactive free radical reactions were discussed in this work.
FT-IR spectra of cis-polyisoprene mixed with g-C3N4 (Figure 6a) and GQDs/g-C3N4 (Figure 6b) were observed under ultraviolet aging for 10 days. The cis-polyisoprene underwent oxidation, and oxidation products such as alcohol and acids were formed during UV light aging. The methylenes on the main polymer chains were broken, and the free radicals formed under the action of ultraviolet light. The oxidative degradation led to a reduction in the methylene peak. A large amount of ·O2− is formed in the process of photocatalytic reaction caused by the main chain breaking, and ·OH is formed in the degradation process. The generated free radicals improved the light absorption and accelerated charge transfer. The Mw reduced from 15.49 × 104 to 6.05 × 104 after adding g-C3N4 into cis-polyisoprene (Figure 6c). Compared with pristine g-C3N4, the light capture ability of GQDs/g-C3N4 was significantly improved. A higher chance of an electronic attack was received for a reactive substrate under the condition of a long decay time [23,40]. The methylene in cis-polyisoprene substrate was oxidized, and the breakage of the C=C bond led to short-chain segments, which resulted in the decreased molecular weight [39].
The Mw of cis-polyisoprene mixed GQDs/g-C3N4 reduced to 5.79 × 104 under the same irradiation conditions. Compared with pristine g-C3N4, the light trapping capacity of composite nanoparticles was obviously improved (Figure 6d-f). Because GQDs have an adjustable energy band width, the surface contains rich oxygen-containing functional groups. GQDs have fine electronic conductivity and high conversion photoluminescence characteristics, which promote the charge transfer. GQDs can also suppress the chance of electron–hole recombination. This composited photocatalyst can produce more free radicals and has higher catalytic performance than g-C3N4 [43,44].
The effect of UV irradiation on the structure of cis-polyisoprene was characterized by 1H-NMR as shown in Figure 7a-c. The main absorption signals of cis-polyisoprene were the double bond -CH= at 5.12 ppm and the α-carbon at 1.67 ppm. After UV aging for 7 days, new signals were observed around 2.6 ppm and 4.1 ppm, assigned to the α-H of the ketone and the hydrogen of the ester. The signal of 9.86 ppm was attributed to the proton of the aldehyde.
When the photocatalysts were applied in the degradation of cis-polyisoprene under UV irradiation for 10 days, the signals of alcohol compounds appeared at 3.51 ppm. It was consistent with the results of FT-IR, and the signals of ketones and aldehydes became higher with the increase in illumination time.

3.3. Degradation Mechanism of Cis-Polyisoprene by Ultraviolet Light

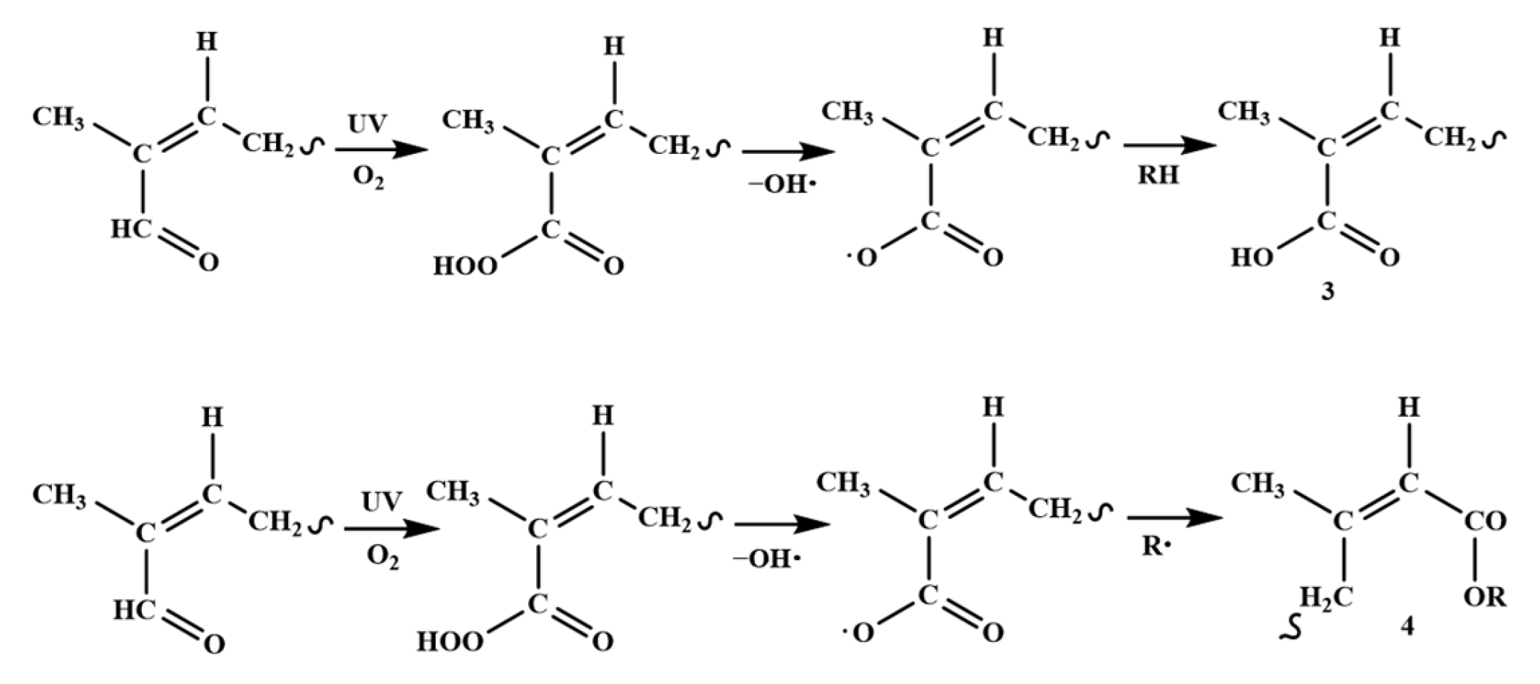
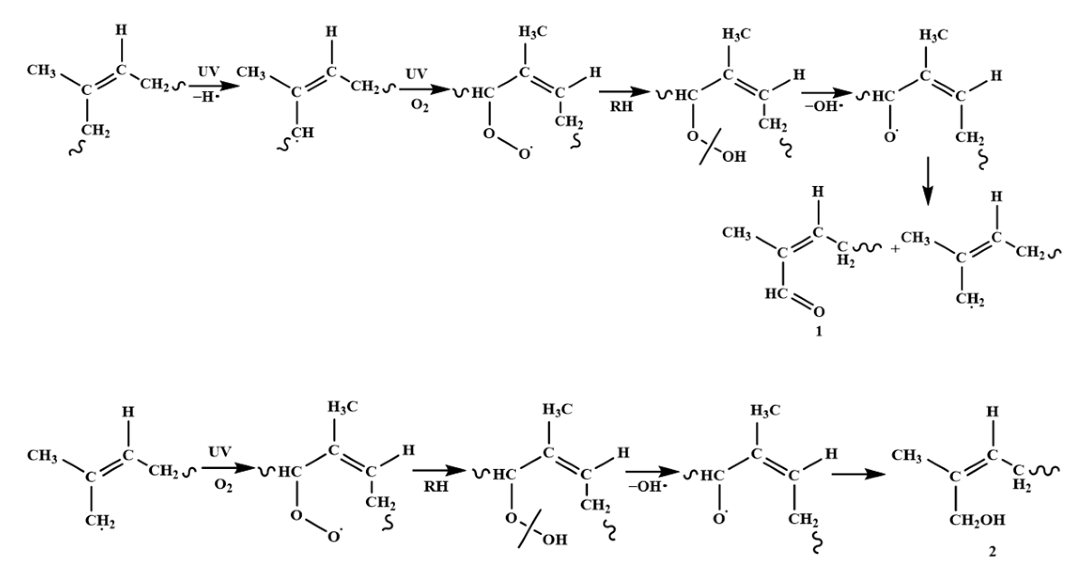
The main aging process of cis-polyisoprene was oxidation and ultraviolet degradation [45,46]. From what has been discussed above, the analysis of 1H-NMR, FT-IR, and GPC proved the degradation mechanism of cis-polyisoprene, and the reactions are shown in Figure 8. Under the condition of UV irradiation and the existence of ·O2− free radicals, the oxidation reaction initiated from the α-H, which was attacked by oxygen to form hydroperoxide. Then, the generated hydroperoxide underwent further reaction to yield aldehydes and ketones, and the main chains of polymers were broken. The free radicals produced by the cleavage of polymer chains reacted to each other and carried out further oxidation under oxygen attack. In this process, the double bonds underwent an additional reaction and were attacked by the free radicals at the same time. It resulted in the reduced content of olefinic hydrogen. The oxidative degradation was the dominant method in the early stage, and the surface of polyisoprene became sticky in this stage. The crosslinking reaction occurred in the later stage, and the polyisoprene became dry and hard, then the cracks appeared. The spectral data of products during the aging process are shown in Table 1.

4. Conclusions

In this study, the degradation of cis-polyisoprene was investigated under the condition of UV irradiation. The molecular structure of polyisoprene was changed significantly after 3 days of aging. The α-H of the double bond with low energy was activated, and then the generated aldehyde and ketone occurred. The oxidation of double bonds is carried out at the same time. The content of the hydrogen on the double reduced; the oxidative degradation and crosslinking reaction existed at the same time. The oxidative degradation was dominant at the initial aging stage, and the crosslinking reaction was dominant at the final aging stage. The GQDs/g-C3N4 nanoparticles with a 2D layered structure were prepared by the microwave-assisted polymerization method. The performance of photocatalytic degradation of cis-polyisoprene was significantly improved by the efficient photocatalytic nanoparticles, and the degradation efficiency increased by 20%. The application of photocatalyst to the aging studies and the improvement of degradation of polyisoprene provided academic bases and references for natural rubber.

Author Contributions

C.C.: Conceptualization, Investigation, Writing—original draft; J.L.: Conceptualization, Formal analysis, Methodology; B.L.: Investigation, Validation; D.Z.: Formal analysis, Supervision; P.Z.: Investigation; J.S.: Conceptualization, Project administration, Writing—review & editing; Z.S.: Conceptualization, Project administration, Writing—review & editing. All authors have read and agreed to the published version of the manuscript.

Funding

This research was funded by the National Natural Science Foundation of China (NO. 22168017), the Natural Science Foundation of Hainan Province foundation (222CXTD513, 223RC475) and the International Science & Technology Cooperation Program of Hainan Province (NO. G20241024002Y).

Data Availability Statement

Data are contained within the article.

Conflicts of Interest

The authors declare that they have no known competing financial interests or personal relationships that could have appeared to influence the work reported in this paper.

References

  1. Tan, J.; Chen, C.; Wu, J.; He, R.; Liu, Y. Influence of ultraviolet aging on the structure, mechanical and gas permeability properties of hydrogenated nitrile butadiene rubber. J. Appl. Polym. Sci. 2021, 138, 50543. [Google Scholar] [CrossRef]
  2. Kolodziej, M.; Bokobza, L.; Bruneel, J.L. Investigations on natural rubber filled with multiwall carbon nanotubes. Compos. Interfaces 2007, 14, 215–228. [Google Scholar] [CrossRef]
  3. Vinod, V.S.; Varghese, S.; Kuriakose, B. Degradation behaviour of natural rubber–aluminium powder composites: Effect of heat, ozone and high energy radiation. Polym. Degrad. Stab. 2002, 75, 405–412. [Google Scholar] [CrossRef]
  4. Zheng, T.; Zheng, X.; Zhan, S.; Zhou, J.; Liao, S. Study on the ozone aging mechanism of Natural Rubber. Polym. Degrad. Stab. 2021, 186, 109514. [Google Scholar] [CrossRef]
  5. Kim, I.S.; Lee, B.W.; Sohn, K.S.; Yoon, J.; Lee, J.H. Characterization of the UV oxidation of raw natural rubber thin film Using Image and FT-IR Analysis. Elastomers Compos. 2016, 51, 1–9. [Google Scholar] [CrossRef]
  6. Zhang, B.; Huang, H.; Wang, Y.; Deng, W.; Wang, P. Aging Characteristics of Constant Viscosity Natural Rubber. Polym. Mater. Sci. Eng. 2012, 28, 24–27. [Google Scholar]
  7. Dayang Habibah, A.I.H.; Devaraj, V.; Kamarularifin, H.; Suhawati, I. Cure Characteristics and Ageing Resistance of Recovered Waste Pre-Vulcanized Nitrile/Epoxidized Natural Rubber Latex Blends in Nitrile Butadiene Rubber Compounds. Adv. Mater. Res. 2015, 1119, 347–351. [Google Scholar] [CrossRef]
  8. Tuampoemsab, S. Influence of Amino Acids on Anti-Oxidative Properties of Green Natural Rubber and Natural Rubber Compound. Adv. Mater. Res. 2012, 747, 664–667. [Google Scholar]
  9. Pan, Q.; Wang, B.; Chen, Z. Application of antioxidant functionalized silicas in natural rubber. Acta Mater. Compos. Sin. 2013, 30, 1–8. [Google Scholar]
  10. Liu, S.M.; Yu, L.; Gao, J.X.; Zhang, X.D. Durability of rubber water stop in extreme environment: Effect and mechanisms of ultraviolet aging. Polym. Bull. 2021, 78, 4019–4032. [Google Scholar]
  11. Oda, H. The effect of hydroxyaryl benzotriazoles containing a singlet oxygen quenching moiety on the photofading of dyes on a polymer substrate. Dye. Pigment. 2001, 48, 233–238. [Google Scholar] [CrossRef]
  12. Layer, R.W. Reaction of ozone with p-phenylene-diamine and related compounds. Rubber Chem. Technol. 1966, 39, 1584–1592. [Google Scholar] [CrossRef]
  13. Dos Santos, K.A.M.; Suarez, P.A.Z.; Rubim, J.C. Photo-degradation of synthetic and natural polyisoprenes at specific UV radiations. Polym. Degrad. Stab. 2005, 90, 34–43. [Google Scholar] [CrossRef]
  14. Tertyshnaya, Y.; Podzorova, M.; Moskovskiy, M. Impact of water and UV irradiation on nonwoven polylactide/natural rubber fiber. Polymers 2021, 13, 461. [Google Scholar] [CrossRef] [PubMed]
  15. Tomer, N.S.; Delor-Jestin, F.; Singh, R.P.; Lacoste, J. Cross-linking assessment after accelerated ageing of ethylene propylene diene monomer rubber. Polym. Degrad. Stab. 2007, 92, 457–463. [Google Scholar] [CrossRef]
  16. Reowdecha, M.; Sukthaworn, C.; Dittanet, P.; Moonprasith, N.; Lampang, T.N.; Loykulnant, S.; Prapainainar, P. Degradation of silica-reinforced natural rubber by UV radiation and humidity in soil. Key Engineering Materials. Trans Tech Publ. Ltd. 2017, 751, 314–319. [Google Scholar]
  17. Ong, W.J.; Tan, L.L.; Ng, Y.H.; Yong, S.-T.; Chai, S.-P. Graphitic carbon nitride (g-C3N4)-based photocatalysts for artificial photosynthesis and environmental remediation: Are we a step closer to achieving sustainability. Chem. Rev. 2016, 116, 7159–7329. [Google Scholar] [CrossRef]
  18. Zhen, W.; Yuan, X.; Ning, X.; Gong, X.; Xue, C. Building oxime-Ni2+ complex on polymeric carbon nitride: Molecular-level design of highly efficient hydrogen generation photocatalysts. ACS Appl. Mater. Interfaces 2019, 12, 868–876. [Google Scholar] [CrossRef]
  19. Wang, Y.; Vogel, A.; Sachs, M.; Sprick, R.S.; Wilbraham, L.; Moniz, S.J.A.; Godin, R.; Zwijnenburg, M.A.; Durrant, J.R.; Cooper, A.I.; et al. Current understanding and challenges of solar-driven hydrogen generation using polymeric photocatalysts. Nat. Energy 2019, 4, 746–760. [Google Scholar] [CrossRef]
  20. Jiang, Z.; Wan, W.; Li, H.; Yuan, S.; Zhao, H.; Wong, P.K. A hierarchical Z-Scheme α-Fe2O3/g-C3N4 hybrid for enhanced photocatalytic CO2 reduction. Adv. Mater. 2018, 30, 1706108. [Google Scholar] [CrossRef]
  21. Li, C.; Chen, G.; Sun, J.; Rao, J.; Han, Z.; Hu, Y.; Xing, W.; Zhang, C. Doping effect of phosphate in Bi2WO6 and universal improved photocatalytic activity for removing various pollutants in water. Appl. Catal. B Environ. 2016, 188, 39–47. [Google Scholar] [CrossRef]
  22. Lau, V.W.; Moudrakovski, I.; Botari, T.; Weinberger, S.; Mesch, M.B.; Duppel, V.; Senker, J.; Blum, V.; Lotsch, B.V. Rational design of carbon nitride photocatalysts by identification of cyanamide defects as catalytically relevant sites. Nat. Commun. 2016, 7, 12165. [Google Scholar] [CrossRef] [PubMed]
  23. Hansupalak, N.; Srisuk, S.; Wiroonpochit, P.; Chisti, Y. Sulfur-free prevulcanization of natural rubber latex by ultraviolet irradiation. Ind. Eng. Chem. Res. 2016, 55, 3974–3981. [Google Scholar] [CrossRef]
  24. Stenberg, B.; Peterson, L.O.; Flink, P.; BjörK, F. Effect of butyl rubber coating on accelerated aging of natural rubber. Rubber Chem. Technol. 1986, 59, 70–76. [Google Scholar] [CrossRef]
  25. SchlögL, S.; Temel, A.; Schaller, R.; Holzner, A.; Kern, W. Prevulcanization of natural rubber latex by UV techniques: A process towards reducing type IV chemical sensitivity of latex articles. Rubber Chem. Technol. 2010, 83, 133. [Google Scholar] [CrossRef]
  26. Milman, B.L. Identification of chemical compounds. TRAC Trends Anal. Chem. 2005, 24, 493–508. [Google Scholar]
  27. Seentrakoon, B.; Junhasavasdikul, B.; Chavasiri, W. Enhanced UV-protection and antibacterial properties of natural rubber/rutile-TiO2 nanocomposites. Polym. Degrad. Stab. 2013, 98, 566–578. [Google Scholar] [CrossRef]
  28. Andrade, G.S.; Collard, D.M.; Schiraldi, D.A.; Hu, Y.; Baer, E.; Hiltner, A. Oxygen barrier properties of PET copolymers containing bis (2-hydroxyethyl) hydroquinones. J. Appl. Polym. Sci. 2003, 89, 934–942. [Google Scholar] [CrossRef]
  29. Wei, Y.; Wu, H.; Weng, G.; Zhang, Y.; Cao, X.; Gu, Z.; Liu, Y.; Liu, R.; Zhou, Z.; Nie, Y. Effect of interface on bulk polymer: Control of glass transition temperature of rubber. J. Polym. Res. 2018, 25, 173. [Google Scholar] [CrossRef]
  30. Le Gac, P.Y.; Le Saux, V.; Paris, M.; Marco, Y. Ageing mechanism and mechanical degradation behaviour of polychloroprene rubber in a marine environment: Comparison of accelerated ageing and long term exposure. Polym. Degrad. Stab. 2012, 97, 288–296. [Google Scholar] [CrossRef]
  31. Boubakri, A.; Guermazi, N.; Elleuch, K.; Ayedi, H.F. Study of UV-aging of thermoplastic polyurethane material. Mater. Sci. Eng. A 2010, 527, 1649–1654. [Google Scholar] [CrossRef]
  32. Zhao, Q.; Li, X.; Gao, J. Aging behavior and mechanism of ethylene–propylene-diene monomer (EPDM) rubber in fluorescent UV/condensation weathering environment. Polym. Degrad. Stab. 2009, 94, 339–343. [Google Scholar] [CrossRef]
  33. Ahmed, K.; Nizami, S.S.; Raza, N.Z.; Mahmood, K. Mechanical, swelling, and thermal aging properties of marble sludge-natural rubber composites. Int. J. Ind. Chem. 2012, 3, 21. [Google Scholar] [CrossRef]
  34. Bhowmick, A.K.; White, J.R. Thermal, UV-and sunlight ageing of thermoplastic elastomeric natural rubber-polyethylene blends. J. Mater. Sci. 2002, 37, 5141–5151. [Google Scholar] [CrossRef]
  35. Sperling, L.H.; Fay, J.J. Factors which affect the glass transition and damping capability of polymers. Polym. Adv. Technol. 1991, 2, 49–56. [Google Scholar] [CrossRef]
  36. Honorato, L.R.; Visconte, L.L.Y.; Nunes, R.C.R. Effect of different cure systems on natural rubber/nanocellulose nanocomposites in rheological, physical-mechanical, aging, and mechanical properties. J. Elastomers Plast. 2022, 54, 676–692. [Google Scholar] [CrossRef]
  37. Li, C.; Sun, T.; Zhang, D.; Zhang, X.; Zhang, Y.; Lin, X.; Liu, J.; Zhu, L.; Wang, X.; Shi, Z.; et al. Microwave assisted-polymerization synthesis of 0D/2D CNQDs/g-C3N4 with the excellent visible light photocatalytic performance. Mater. Lett. 2022, 308, 131232. [Google Scholar] [CrossRef]
  38. Huang, Z.; Chen, H.; Zhao, L.; He, X.; Du, Y.; Fang, W.; Li, W.; Tian, P. Constructing g-C3N4 quantum dots modified g-C3N4/GO nanosheet aerogel for UV-Vis-NIR driven highly efficient photocatalytic H2 production. Int. J. Hydrog. Energy 2019, 44, 31041–31052. [Google Scholar] [CrossRef]
  39. Dong, H.; Zhang, X.; Li, J.; Zhou, P.; Yu, S.; Song, N.; Liu, C.; Che, G.; Li, C. Construction of morphology-controlled nonmetal 2D/3D homojunction towards enhancing photocatalytic activity and mechanism insight. Appl. Catal. B Environ. 2020, 263, 118270. [Google Scholar] [CrossRef]
  40. Liu, F.; Xu, Y.; Zhou, H.; Li, X.-C.; Song, Y.; Zhang, C.; Li, Q.; He, C.; Luo, G.-N. Defect production and deuterium retention in quasi-homogeneously damaged tungsten. Nucl. Instrum. Methods Phys. Res. Sect. B Beam Interact. Mater. At. 2015, 351, 23–26. [Google Scholar] [CrossRef]
  41. Shao, N.; Hou, Z.; Zhu, H.; Wang, J.; François-Xavier, C.P. Novel 3D core-shell structured CQDs/Ag3PO4@ Benzoxazine tetrapods for enhancement of visible-light photocatalytic activity and anti-photocorrosion. Appl. Catal. B Environ. 2018, 232, 574–586. [Google Scholar] [CrossRef]
  42. Ji, J.; Wen, J.; Shen, Y.; Lv, Y.; Chen, Y.; Liu, S.; Ma, H.; Zhang, Y. Simultaneous noncovalent modification and exfoliation of 2D carbon nitride for enhanced electrochemiluminescent biosensing. J. Am. Chem. Soc. 2017, 139, 11698–11701. [Google Scholar] [CrossRef]
  43. Wang, F.; Wang, Y.; Feng, Y.; Zeng, Y.; Xie, Z.; Zhang, Q.; Su, Y.; Chen, P.; Liu, Y.; Yao, K.; et al. Novel ternary photocatalyst of single atom-dispersed silver and carbon quantum dots co-loaded with ultrathin g-C 3 N 4 for broad spectrum photocatalytic degradation of naproxen. Appl. Catal. B Environ. 2018, 221, 510–520. [Google Scholar] [CrossRef]
  44. Zhang, M.; Zhang, Y.; Tang, L.; Zeng, G.; Wang, J.; Zhu, Y.; Feng, C.; Deng, Y.; He, W. Ultrathin Bi2WO6 nanosheets loaded g-C3N4 quantum dots: A direct Z-scheme photocatalyst with enhanced photocatalytic activity towards degradation of organic pollutants under wide spectrum light irradiation. J. Colloid Interface Sci. 2019, 539, 654–664. [Google Scholar] [CrossRef]
  45. Li, C.; Yu, S.; Dong, H.; Liu, C.; Wu, H.; Che, H.; Chen, G. Z-scheme mesoporous photocatalyst constructed by modification of Sn3O4 nanoclusters on g-C3N4 nanosheets with improved photocatalytic performance and mechanism insight. Appl. Catal. B Environ. 2018, 238, 284–293. [Google Scholar] [CrossRef]
  46. Che, H.; Che, G.; Zhou, P.; Liu, C.; Dong, H.; Li, C.; Song, N.; Li, C. Nitrogen doped carbon ribbons modified g-C3N4 for markedly enhanced photocatalytic H2-production in visible to near-infrared region. Chem. Eng. J. 2020, 382, 122870. [Google Scholar] [CrossRef]
Figure 1. (a) FTIR spectra of cis-polyisoprene with different UV aging times, (b) Mw of cis-polyisoprene, (c) DSC spectra of cis-polyisoprene with different UV aging times; and (d) UV–Vis spectra of cis-polyisoprene with different UV degradation times.
Figure 1. (a) FTIR spectra of cis-polyisoprene with different UV aging times, (b) Mw of cis-polyisoprene, (c) DSC spectra of cis-polyisoprene with different UV aging times; and (d) UV–Vis spectra of cis-polyisoprene with different UV degradation times.
Organics 06 00047 g001
Figure 2. (a) SEM images of the g-C3N4 and GQDs/g-C3N4, (b) TEM images of GQDs and (c) GQDs/g-C3N4; and (d) XRD patterns of the g-C3N4 and GQDs/g-C3N4 samples.
Figure 2. (a) SEM images of the g-C3N4 and GQDs/g-C3N4, (b) TEM images of GQDs and (c) GQDs/g-C3N4; and (d) XRD patterns of the g-C3N4 and GQDs/g-C3N4 samples.
Organics 06 00047 g002
Figure 3. (a) FT-IR spectra of g-C3N4 and GQDs/g-C3N4 composite, (b) Nitrogen adsorption–desorption curve, (c) Pore size distribution of g-C3N4 and GQDs/g-C3N4, (d) UV-vis DRS spectra of g-C3N4 and GQDs/g-C3N4 composite; and (e) PL spectra of g-C3N4 and GQDs/g-C3N4 composites.
Figure 3. (a) FT-IR spectra of g-C3N4 and GQDs/g-C3N4 composite, (b) Nitrogen adsorption–desorption curve, (c) Pore size distribution of g-C3N4 and GQDs/g-C3N4, (d) UV-vis DRS spectra of g-C3N4 and GQDs/g-C3N4 composite; and (e) PL spectra of g-C3N4 and GQDs/g-C3N4 composites.
Organics 06 00047 g003
Figure 4. XPS spectra of the g-C3N4 and GQDs/g-C3N4 samples. (a) XPS patterns of g-C3N4 and GQDs/g-C3N4, (b) C1s XPS survey spectra of g-C3N4 and GQDs/g-C3N4, (c) N1s XPS survey spectra of g-C3N4 and GQDs/g-C3N4, (d) O1s XPS survey spectra of g-C3N4 and GQDs/g-C3N4.
Figure 4. XPS spectra of the g-C3N4 and GQDs/g-C3N4 samples. (a) XPS patterns of g-C3N4 and GQDs/g-C3N4, (b) C1s XPS survey spectra of g-C3N4 and GQDs/g-C3N4, (c) N1s XPS survey spectra of g-C3N4 and GQDs/g-C3N4, (d) O1s XPS survey spectra of g-C3N4 and GQDs/g-C3N4.
Organics 06 00047 g004
Figure 5. Catalytic degradation process of cis-polyisoprene doped GQDs/g-C3N4.
Figure 5. Catalytic degradation process of cis-polyisoprene doped GQDs/g-C3N4.
Organics 06 00047 g005
Figure 6. (a) FT-IR spectra of cis-polyisoprene with g-C3N4, (b) GQDs/g-C3N4 nanomaterials at different UV degradation times, (c) Mw of cis-polyisoprene; and (df) UV-vis spectra of cis-polyisoprene with different UV degradation times.
Figure 6. (a) FT-IR spectra of cis-polyisoprene with g-C3N4, (b) GQDs/g-C3N4 nanomaterials at different UV degradation times, (c) Mw of cis-polyisoprene; and (df) UV-vis spectra of cis-polyisoprene with different UV degradation times.
Organics 06 00047 g006
Figure 7. (a) 1H-NMR spectra of cis-polyisoprene, (b) g-C3N4; and (c) GQDs/g-C3N4 with different irradiation times.
Figure 7. (a) 1H-NMR spectra of cis-polyisoprene, (b) g-C3N4; and (c) GQDs/g-C3N4 with different irradiation times.
Organics 06 00047 g007
Figure 8. Degradation mechanism of cis-polyisoprene.
Figure 8. Degradation mechanism of cis-polyisoprene.
Organics 06 00047 g008aOrganics 06 00047 g008b
Table 1. Spectral data of aging products.
Table 1. Spectral data of aging products.
Peak EvidenceAssignmentsOrigin of the Chemical StructuresCorresponding Legends
1710–1730 cm−1 δ 9.96Organics 06 00047 i001aldehyde 1Figure 1a, Figure 6a,b and Figure 7a–c
δ 3.50–δ 3.54-OHalcohol 2Figure 7b,c
3351 cm−13428 cm−1Organics 06 00047 i002carboxylic acid 3Figure 1a and Figure 6a,b
1710–1730 cm−1 δ 4.10Organics 06 00047 i003ester 4Figure 1a, Figure 6a,b and Figure 7a–c
Disclaimer/Publisher’s Note: The statements, opinions and data contained in all publications are solely those of the individual author(s) and contributor(s) and not of MDPI and/or the editor(s). MDPI and/or the editor(s) disclaim responsibility for any injury to people or property resulting from any ideas, methods, instructions or products referred to in the content.

Share and Cite

MDPI and ACS Style

Chen, C.; Liu, J.; Li, B.; Zhang, D.; Zhang, P.; Shi, J.; Shi, Z. Efficient Degradation of Cis-Polyisoprene by GQDs/g-C3N4 Nanoparticles Under UV Light Irradiation. Organics 2025, 6, 47. https://doi.org/10.3390/org6040047

AMA Style

Chen C, Liu J, Li B, Zhang D, Zhang P, Shi J, Shi Z. Efficient Degradation of Cis-Polyisoprene by GQDs/g-C3N4 Nanoparticles Under UV Light Irradiation. Organics. 2025; 6(4):47. https://doi.org/10.3390/org6040047

Chicago/Turabian Style

Chen, Cilong, Jinrui Liu, Bangsen Li, Dashuai Zhang, Peisong Zhang, Jianjun Shi, and Zaifeng Shi. 2025. "Efficient Degradation of Cis-Polyisoprene by GQDs/g-C3N4 Nanoparticles Under UV Light Irradiation" Organics 6, no. 4: 47. https://doi.org/10.3390/org6040047

APA Style

Chen, C., Liu, J., Li, B., Zhang, D., Zhang, P., Shi, J., & Shi, Z. (2025). Efficient Degradation of Cis-Polyisoprene by GQDs/g-C3N4 Nanoparticles Under UV Light Irradiation. Organics, 6(4), 47. https://doi.org/10.3390/org6040047

Article Metrics

Article metric data becomes available approximately 24 hours after publication online.
Back to TopTop