Experimental Evaluation of Hybrid Fibre–Wireless System for 5G Networks
Abstract
:1. Introduction
1.1. Motivation
1.2. Problem Statement
1.3. Objectives
- Combination of a 2 × 2 MIMO and an RoF-based hybrid FiWi system, as well as testing with a 5G NR transceiver at 3 and 20 GHz to show the multiband propagation and extend the wired transmission range through a wireless link.
- In a supercell situation, convolutional neural network (CNN)-based digital pre-distortion (DPD) is used to improve the performance.
- In line with the C-RAN architecture, experimental assessment is made of multiband 5G NR transmissions using a 10 km analog FH.
2. Literature Review
3. 5G New Radio Hybrid MIMO-Based Fibre–Wireless System
- Generation of signal and its utilization in the system.
- Digital pre-distortion.
- Analog RoF-based OFH for the transmission of radio frequency (RF) signals.
- A fibre–wireless system with a total of 2 × 2 MIMO channels.
3.1. Signal Generation and Utilization
3.2. CNN Based Digital Pre-Distortion
3.2.1. Convolutional Neural Network (CNN)-Based DPD Method
3.2.2. Training Algorithm
| Algorithm 1: DPD Training with CNN |
| ← for i Z do ← : //FI-Wi Transmission ← Train on , //Fi-Wi Transmission CNN updates //Fixed NN weights of ← Train on . //() ← : //Pre-distort end for |
3.3. Radio Frequency Transport Using Analog Optical Fronthaul
3.4. MIMO-Based FiWi System
4. Experimental Setup
5. Experimental Results
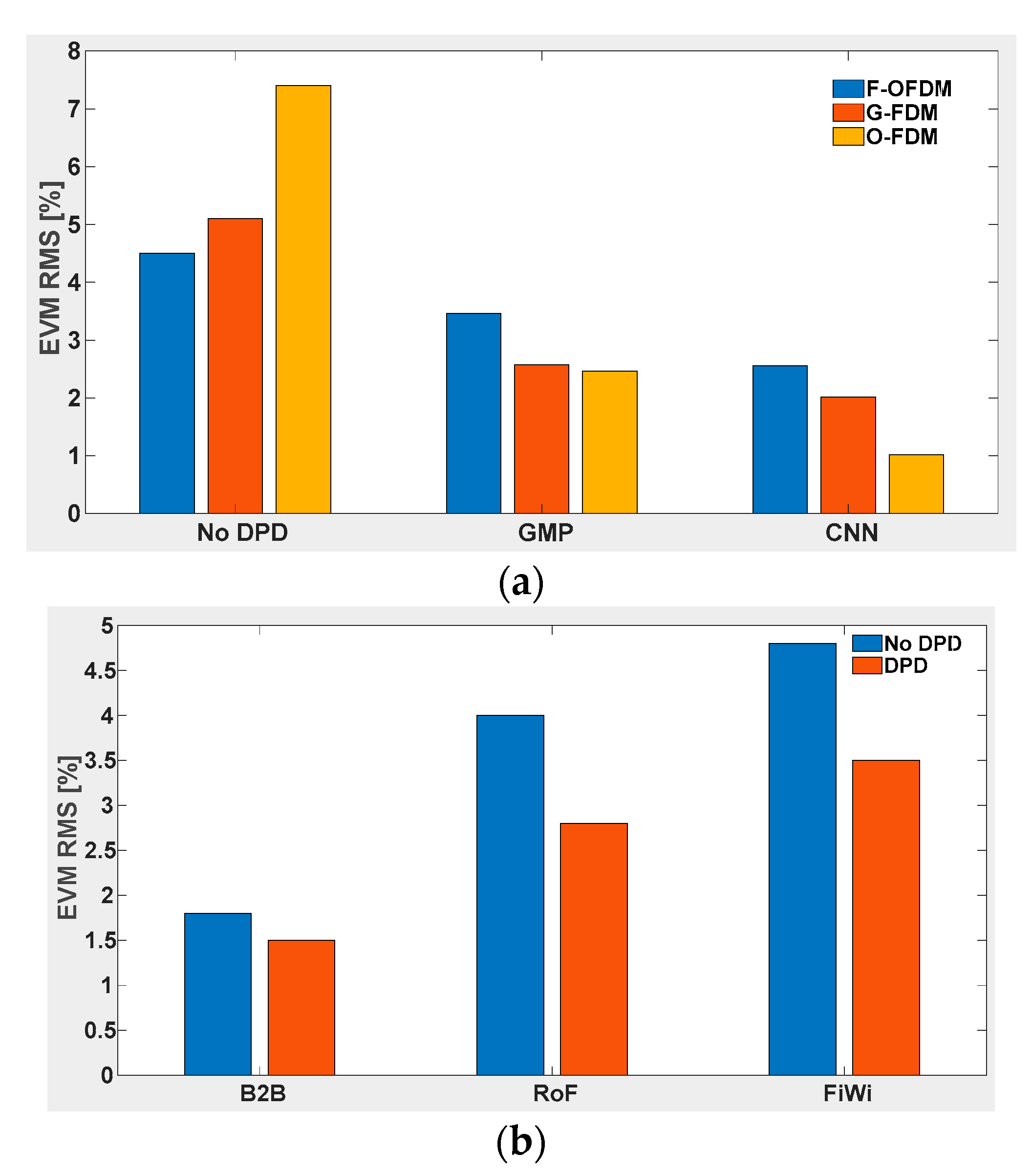
Error Vector Magnitude
6. Conclusions
Author Contributions
Funding
Institutional Review Board Statement
Informed Consent Statement
Data Availability Statement
Conflicts of Interest
References
- Hadi, M.; Awais, M.; Raza, M.; Khurshid, K.; Jung, H. Neural Network DPD for Aggrandizing SM-VCSEL-SSMF-Based Radio over Fibre Link Performance. Photonics 2021, 8, 19. [Google Scholar] [CrossRef]
- Hadi, M.U.; Awais, M.; Raza, M.; Ashraf, M.I.; Song, J. Experimental Demonstration and Performance Enhancement of 5G NR Multiband Radio over Fibre System Using Optimized Digital Predistortion. Appl. Sci. 2021, 11, 11624. [Google Scholar] [CrossRef]
- Nanni, J.; Polleux, J.-L.; Algani, C.; Rusticelli, S.; Perini, F.; Tartarini, G. VCSEL-Based radio-over-G652 fibre system for short-/medium-range MFH solutions. J. Lightwave Technol. 2018, 36, 4430–4437. [Google Scholar] [CrossRef]
- Zhang, X.; Zhu, R.; Shen, D.; Liu, T. Linearization Technologies for Broadband Radio-Over-Fibre Transmission Systems. Photonics 2014, 1, 455–472. [Google Scholar] [CrossRef]
- Nanni, J.; Baschieri, L.; Hadi, M.U.; Polleux, J.-L.; Tartarini, G. Effective Digital Pre-Distortion Loop for Front Hauls based on short-λ-VCSELs over pre-existent G-652 Infrastructures. In Proceedings of the 2021 International Topical Meeting on Microwave Photonics (MWP), Pisa, Italy, 15–17 November 2021; pp. 1–4. [Google Scholar] [CrossRef]
- Vieira, L.; Gomes, N.J.; Nkansah, A.; van Dijk, F. Behavioral modeling of radio-overfibre links using memory polynomials. In Proceedings of the 2010 IEEE Topical Meeting on Microwave Photonics (MWP), Montreal, QC, Canada, 5–9 October 2010; pp. 85–88. [Google Scholar]
- Hekkala, A.; Hiivala, M.; Lasanen, M.; Perttu, J.; Vieira, L.C.; Gomes, N.J.; Nkansah, A. Predistortion of Radio Over Fibre Links: Algorithms, Implementation, and Measurements. IEEE Trans. Circuits Syst. I Regul. Pap. 2011, 59, 664–672. [Google Scholar] [CrossRef]
- Fuochi, F.; Hadi, M.U.; Nanni, J.; Traverso, P.A.; Tartarini, G. Digital predistortion technique for the compensation of nonlinear effects in radio over fibre links. In Proceedings of the 2016 IEEE 2nd International Forum on Research and Technologies for Society and Industry Leveraging a Better Tomorrow (RTSI), Bologna, Italy, 7–9 September 2016; pp. 1–6. [Google Scholar]
- Vieira, L.C.; Gomes, N.J.; Nkansah, A. An experimental study on digital predistortion for radio-over-fibre links. In Proceedings of the Asia Communications and Photonics Conference and Exhibition, Shanghai, China, 8–12 December 2010; pp. 126–127. [Google Scholar] [CrossRef]
- Nanni, J.; Giovannini, A.; Hadi, M.U.; Lenzi, E.; Rusticelli, S.; Wayth, R.; Perini, F.; Monari, J.; Tartarini, G. Controlling Rayleigh-Backscattering-Induced Distortion in Radio Over Fibre Systems for Radioastronomic Applications. J. Lightwave Technol. 2020, 38, 5393–5405. [Google Scholar] [CrossRef]
- Hadi, M.U.; Jung, H.; Ghaffar, S.; Traverso, P.A.; Tartarini, G. Optimized digital radio over fibre system for medium range communication. Opt. Commun. 2019, 443, 177–185. [Google Scholar] [CrossRef]
- Nirmalathas, A.; Gamage, P.A.; Lim, C.; Novak, D.; Waterhouse, R. Digitized Radio-Over-Fiber Technologies for Converged Optical Wireless Access Network. J. Lightwave Technol. 2010, 28, 2366–2375. [Google Scholar] [CrossRef]
- Wang, J.; Jia, Z.; Campos, L.A.; Knittle, C.; Jia, S. Delta-Sigma Modulation for Next Generation Fronthaul Interface. J. Lightwave Technol. 2018, 37, 2838–2850. [Google Scholar] [CrossRef]
- Van Kerrebrouck, J.; Breyne, L.; Li, H.; Bauwelinck, J.; Torfs, G.; Demeester, P.; Bohn, T. Real-Time All-Digital Radioover-Fibre LTE Transmission. In Proceedings of the 2017 Advances in Wireless and Optical Communications (RTUWO), Riga, Latvia, 2–3 November 2017; pp. 83–86. [Google Scholar]
- Li, H.; Bauwelinck, J.; Demeester, P.; Torfs, G.; Verplaetse, M.; Verbist, J.; Van Kerrebrouck, J.; Breyne, L.; Wu, C.-Y.; Bogaert, L.; et al. Real-Time 100-GS/s Sigma-Delta Modulator for All-Digital Radio-Over-Fibre Transmission. J. Lightwave Technol. 2020, 38, 386–393. [Google Scholar] [CrossRef] [Green Version]
- Li, H.; Hajipour, J.; Attar, A.; Leung, V.C.M. Efficient HetNet implementation using broadband wireless access with fibre-connected massively distributed antennas architecture. IEEE Wirel. Commun. 2011, 18, 72–78. [Google Scholar] [CrossRef]
- Hadi, M.; Jung, H.; Traverso, P.; Tartarini, G. Experimental evaluation of real-time sigma-delta radio over fiber system for fronthaul applications. Int. J. Microw. Wirel. Technol. 2021, 13, 756–765. [Google Scholar] [CrossRef]
- Hadi, M.U. Practical Demonstration of 5G NR Transport Over-Fiber System with Convolutional Neural Network. Telecom 2022, 3, 103–117. [Google Scholar] [CrossRef]
- Hadi, M.U.; Awais, M.; Raza, M. Multiband 5G NR-over-Fiber System Using Analog Front Haul. In Proceedings of the 2020 International Topical Meeting on Microwave Photonics (MWP), Matsue, Japan, 24–26 November 2020; pp. 136–139. [Google Scholar] [CrossRef]
- Pereira, L.A.M.; Lima, E.S.; Cerqueira, S.A. A Multi-band 5G-NR Fiber-wireless System for Next-generation Networks. In Proceedings of the 2021 SBMO/IEEE MTT-S International Microwave and Optoelectronics Conference (IMOC), Fortaleza, Brazil, 24–27 October 2021; pp. 1–3. [Google Scholar] [CrossRef]
- LTE. Evolved Universal Terrestrial Radio Access (E-UTRA); ETSI, TS 136 104 V8.2.0; Base Station (BS) Radio Transmission and Reception; European Telecommunications Standards Institute: Valbonne, France, 2018. [Google Scholar]
- Zeng, H.; Liu, X.; Megeed, S.; Shen, A.; Effenberger, F. Digital Signal Processing for High-Speed Fiber-Wireless Convergence [Invited]. J. Opt. Commun. Netw. 2019, 11, A11–A19. [Google Scholar] [CrossRef]
- MHadi, U.; Ghaffar, S.; Murtaza, G. 5G NR MIMO Enabled MultiBand Fiber Wireless System using Analog Optical Front Haul. In Proceedings of the 2020 IEEE 17th International Conference on Smart Communities: Improving Quality of Life Using ICT, IoT and AI (HONET), Charlotte, NC, USA, 14–16 December 2020; pp. 59–62. [Google Scholar] [CrossRef]
- Hadi, M.U.; Basit, A.; Khurshid, K. MIMO Enabled MultiBand 5G NR FibreWireless using Sigma Delta over FibreTechnology. In Proceedings of the 2021 International Bhurban Conference on Applied Sciences and Technologies (IBCAST), Islamabad, Pakistan, 12–16 January 2021; pp. 1007–1010. [Google Scholar] [CrossRef]
- Zhu, R.; Zhang, X. Linearization of Radio-Over-Fibre Systems by Using Two Lasers with Different Wavelengths. In Proceedings of the 2014 IEEE MTT-S International Microwave Symposium (IMS), Tampa, FL, USA, 1–6 June 2014. [Google Scholar]
- Huang, Y.; Chen, Y.; Yu, J. Nonlinearity mitigation of RoF signal using machine learning based classifier. In Proceedings of the Asia Communications and Photonics Conference, Guangzhou, China, 10–13 November 2017; p. Su2A.28. [Google Scholar]
- Li, D.; Yu, S.; Jiang, T.; Han, Y.; Gu, W. An M-ary SVM-based detection for 16-QAM RoF system with data-dependent cross modulation distortion. In Proceedings of the Asia Communications and Photonics Conference, Hong Kong, China, 19–23 November 2015; p. ASu3J.4. [Google Scholar]
- Gonzalez, N.G.; Zibar, D.; Caballero, A.; Monroy, I.T. Experimental 2.5-Gb/s QPSK WDM Phase-Modulated Radio-Over-Fibre Link with Digital Demodulation by a KK-Means Algorithm. IEEE Photonics Technol. Lett. 2010, 22, 335–337. [Google Scholar] [CrossRef]
- Fernandez, E.A.; Torres, J.J.G.; Soto, A.M.C.; Gonzalez, N.G. Radio-over-fibre signal demodulation in the presence of non-Gaussian distortions based on subregion constellation processing. Opt. Fibre Technol. 2019, 53, 102062. [Google Scholar] [CrossRef]
- Liu, S.; Wang, X.; Zhang, W.; Shen, G.; Tian, H. An Adaptive Activated ANN Equalizer Applied in Millimeter-Wave RoF Transmission System. IEEE Photonics Technol. Lett. 2017, 29, 1935–1938. [Google Scholar] [CrossRef]
- Liu, S.; Xu, M.; Wang, J.; Lu, F.; Zhang, W.; Tian, H.; Chang, G.-K. A Multilevel Artificial Neural Network Nonlinear Equalizer for Millimeter-Wave Mobile Fronthaul Systems. J. Lightwave Technol. 2017, 35, 4406–4417. [Google Scholar] [CrossRef]
- Liu, S.; Alfadhli, Y.M.; Shen, S.; Tian, H.; Chang, G.K. Mitigation of multi-user access impairments in 5G A-RoF-based mobile-fronthaul utilizing machine learning for an artificial neural network nonlinear equalizer. In Proceedings of the Optical Fibre Communication Conference, San Diego, CA, USA, 11–15 March 2018. [Google Scholar]
- Liu, E.; Yu, Z.; Yin, C.; Xu, K. Nonlinear distortions compensation based on artificial neural networks in wideband and multi-carrier systems. IEEE J. Quantum Electron. 2019, 55, 800305. [Google Scholar] [CrossRef]
- Liu, J.; Zou, X.; Bai, W. Performance enhancement of UFMC based radio over fibre system using ANN equalizer. In Proceedings of the Asia Communications and Photonics Conference, Hangzhou, China, 26–29 October 2018. [Google Scholar]
- Hadi, M.U.; Mittal, I. On the Use of SVR based Machine Learning Method for Nonlinearities Mitigation in Short Range Fronthaul Links. In Proceedings of the 2021 10th IEEE International Conference on Communication Systems and Network Technologies (CSNT), Bhopal, India, 18–19 June 2021; pp. 628–631. [Google Scholar]
- Hadi, M.U.; Basit, A. Machine Learning for Performance Enhancement in Fronthaul Links for IOT Applications. In Proceedings of the 2021 International Conference on Digital Futures and Transformative Technologies (ICoDT2), Islamabad, Pakistan, 20–21 May 2021; pp. 1–5. [Google Scholar]
- Lee, J.; He, J.; Wang, Y.; Fang, C.; Wang, K. Experimental demonstration of millimeter-wave radio-over-fibre system with convolutional neural network and binary convolutional neural network (BCNN). arXiv 2020, arXiv:2001.02018. Available online: https://arxiv.org/abs/2001.02018 (accessed on 5 December 2021).
- Lee, J.; He, J.; Wang, K. Neural networks and FPGA hardware accelerators for millimeter-wave radio-over-fibre systems. In Proceedings of the International Conference on Transparent Optical Networks, Bari, Italy, 19–23 July 2020; p. Mo.D1.5. [Google Scholar]
- Safari, L.; Baghersalimi, G.; Karami, A.; Kiani, A. On the Equalization of an OFDM-Based Radio-over-Fibre System Using Neural Networks. Radioengineering 2017, 26, 162–169. [Google Scholar] [CrossRef]
- Zhou, Q.; Lu, F.; Xu, M.; Peng, P.-C.; Liu, S.; Shen, S.; Zhang, R.; Yao, S.; Finkelstein, J.; Chang, G.-K. Enhanced Multi-Level Signal Recovery in Mobile Fronthaul Network Using DNN Decoder. IEEE Photonics Technol. Lett. 2018, 30, 1511–1514. [Google Scholar] [CrossRef]
- Xu, T.; Shevchenko, A.N.; Zhang, Y.; Jin, C.; Zhao, J.; Liu, T. Information rates in Kerr non-linearity limited optical fibre communication systems. Opt. Express 2021, 29, 17428–17439. [Google Scholar] [CrossRef] [PubMed]
- Draa, M.N.; Hastings, A.S.; Williams, K.J. Comparison of photodiode nonlinearity measurement systems. Opt. Express 2011, 19, 12635–12645. [Google Scholar] [CrossRef] [PubMed]
- Chen, Z.; Yan, L.; Pan, W.; Luo, B.; Zou, X.; Guo, Y.; Jiang, H.; Zhou, T. SFDR enhancement in analog photonic links by simultaneous compensation for dispersion and nonlinearity. OSA Opt. Expr. 2013, 21, 20999–21009. [Google Scholar] [CrossRef]
- Roselli, L.; Borgioni, V.; Zepparelli, F.; Ambrosi, F.; Comez, M.; Faccin, P.; Casini, A. Analog laser predistortion for multiservice radio-over-fibre systems. J. Lightwave Technol. 2003, 21, 1211–1223. [Google Scholar] [CrossRef] [Green Version]
- Hekkala, A.; Lasanen, M.; Vieira, L.C.; Gomes, N.J.; Nkansah, A. Architectures for Joint Compensation of RoF and PA with Nonideal Feedback. In Proceedings of the 2010 IEEE 71st Vehicular Technology Conference, Taipei, Taiwan, 16–19 May 2010; pp. 1–5. [Google Scholar]
- Mateo, C.; Carro, P.L.; Garcia-Ducar, P.; De Mingo, J.; Salinas, I. Experimental evaluation of the feedback loop effects in digital predistortion of a radio-over-fibre system. In Proceedings of the 2017 Ninth International Conference on Ubiquitous and Future Networks (ICUFN), Milan, Italy, 4–7 July 2017; pp. 1039–1041. [Google Scholar]
- Mateo, C.; Clemente, J.; Garcia-Ducar, P.; Carro, P.L.; de Mingo, J.; Salinas, I. Digital predistortion of a full-duplex Radio-over-Fibre mobile fronthaul link with feedback loop. In Proceedings of the 2017 13th International Wireless Communications and Mobile Computing Conference (IWCMC), Valencia, Spain, 26–30 June 2017; pp. 1425–1430. [Google Scholar]
- Mateo, C.; Carro, P.L.; García-Dúcar, P.; De Mingo, J.; Salinas, Í. Minimization of Feedback Loop Distortions in Digital Predistortion of a Radio-Over-Fibre System with Optimization Algorithms. IEEE Photonics J. 2017, 9, 7904414. [Google Scholar] [CrossRef]
- He, J.; Lee, J.; Kandeepan, S.; Wang, K. Machine Learning Techniques in Radio-over-Fibre Systems and Networks. Photonics 2020, 7, 105. [Google Scholar] [CrossRef]
- Hraimel, B.; Zhang, X. Low-cost broadband predistortion-linearized single drive x-cut Mach-Zehnder modulator for radio-over-fiber systems. Photonics Technol. Lett. 2012, 24, 1571–1573. [Google Scholar] [CrossRef]
- Hadi, M.U.; Nanni, J.; Polleux, J.-L.; Traverso, P.A.; Tartarini, G. Direct digital predistortion technique for the compensation of laser chirp and fiber dispersion in long haul radio over fiber links. Opt. Quant Electron. 2019, 51, 205. [Google Scholar] [CrossRef]
- Hadi, M.U.; Nanni, J.; Venard, O.; Baudoin, G.; Polleux, J.L.; Tartarini, G. Practically feasible closed-loop Digital Predistortion for VCSEL-MMF-based Radio-over-Fiber links. Radioengineering Czech Slovak Tech. Univ. 2020, 29, 37–43. [Google Scholar] [CrossRef]
- Hadi, M.U.; Kantana, C.; Traverso, P.A.; Tartarini, G.; Venard, O.; Baudoin, G.; Polleux, J. Assessment of digital predistortion methods for DFB-SSMF radio-over-fiber links linearization. Microw. Opt. Technol. Lett. 2020, 62, 540–546. [Google Scholar] [CrossRef]
- Cui, Y.; Zhang, M.; Wang, D.; Liu, S.; Li, Z.; Chang, G.K. Bit-Based support vector machine nonlinear detector for millimeter-wave radio-over-fibre mobile fronthaul systems. Opt. Express 2017, 25, 26186–26197. [Google Scholar] [CrossRef] [PubMed]
- Haas, B.M.; Murphy, T. A Simple, Linearized, Phase-Modulated Analog Optical Transmission System. IEEE Photonics Technol. Lett. 2007, 19, 729–731. [Google Scholar] [CrossRef]
- Ghannouchi, F.; Younes, M.; Rawat, M. Distortion and impairments mitigation and compensation of single- and multi-band wireless transmitters. IET Microw. Antennas Propag. 2013, 7, 518–534. [Google Scholar] [CrossRef]
- Duan, R.; Xu, K.; Dai, J.; Cui, Y.; Wu, J.; Li, Y.; Dai, Y.; Li, J. Linearity improvement based on digital signal processing in intensity-modulated analog optical links incorporating photonic frequency down conversion. In Proceedings of the Optical Fibre Communication Conference and Exposition, Los Angeles, CA, USA, 6–8 March 2012. [Google Scholar]
- Pei, Y.; Xu, K.; Li, J.; Zhang, A.; Dai, Y.; Ji, Y.; Lin, J. Complexity-reduced digital predistortion for subcarrier multiplexed radio over fibre systems transmitting sparse multi-band RF signals. Opt. Express 2013, 21, 3708–3714. [Google Scholar] [CrossRef]
- Wang, D.; Zhang, M.; Fu, M.; Cai, Z.; Li, Z.; Han, H.; Cui, Y.; Luo, B. Nonlinearity mitigation using a machine learning detector based on k-nearest neighbors. IEEE Photonics Technol. Lett. 2016, 28, 2102–2105. [Google Scholar] [CrossRef]
- Hadi, M.U.; Traverso, P.A.; Tartarini, G.; Venard, O.; Baudoin, G.; Polleux, J.-L. Digital Predistortion for Linearity Improvement of VCSEL-SSMF-Based Radio-Over-Fiber Links. IEEE Microw. Wirel. Compon. Lett. 2019, 29, 155–157. [Google Scholar] [CrossRef]
- Hadi, M.U.; Jacobsen, T.; Abreu, R.; Kolding, T. 5G Time Synchronization: Performance Analysis and Enhancements for Multipath Scenarios. In Proceedings of the 2021 IEEE Latin-American Conference on Communications (LATINCOM), Santo Domingo, Dominican Republic, 17–19 November 2021; pp. 1–5. [Google Scholar] [CrossRef]
- Mufutau, A.O.; Guiomar, F.P.; Fernandes, M.A.; Lorences-Riesgo, A.; Oliveira, A.; Monteiro, P.P. Demonstration of a hybrid optical fiber–wireless 5G fronthaul coexisting with end-to-end 4G networks. J. Opt. Commun. Netw. 2020, 12, 72–78. [Google Scholar] [CrossRef]
- Jiang, D.; Liu, G. An Overview of 5G Requirements. In 5G Mobile Communications; Xiang, W., Zheng, K., Shen, X., Eds.; Springer: Cham, Switzerland, 2017; pp. 3–26. [Google Scholar]






| No. | Work Item | Method | Technique | Parameter | Linearization | Advantages | Disadvantages |
|---|---|---|---|---|---|---|---|
| 1 | Hadi et al. [19] | Analog RoF | MIMO-A-RoF | EVM, ACLR | No Linearization | Fibre–Wireless Novel Trial | Limited Performance |
| 2 | Pereira et al. [20] | Analog RoF | Fibre–Wireless | EVM | No Linearization | 10 m FiWi trial | Limited to 64 QAM |
| 3 | A. O. Mufutau et al. [21] | Hybrid optical | Fibre–Wireless | EVM | No Linearization | Coexistence trial | Limited to 64 QAM |
| 4 | Zeng et al. [22] | Fibre–Wireless Convergence | Fibre–Wireless Convergence | Relative Power Spectral Density | No Linearization | 25 Gbauds throughput | DSP Kit challenges with post-processing |
| 5 | Hadi et al. [23] | Analog RoF | MIMO-A-RoF | EVM, ACLR | No Linearization | Supercell case included with standardized | Limited Performance |
| 6 | Hadi et al. [24] | Sigma Delta RoF | MIMO-Sigma Delta RoF | EVM | No Linearization | Sigma Delta RoF amalgamation | Robust but limited distance due to high BPF quantization noise |
| 7 | Zhu et al. [25] | Opt | Dual wavelength linearization (DWL) | Second/third order nonlinear distortion | Complete RoF system | Suppression of second and third order nonlinearities | Transmission is wavelength dependent, i.e., nonlinear components are suppressed exclusively at anti-phased wavelengths. |
| 8 | Lam et al. [26] | Dig | Digital Post Distortion | ACLR, BER | RoF | All order nonlinear distortion components significantly compressed. | Digitizer with high speed is required. Uplinks are the only ones that apply. |
| 9 | Li et al. [27] | SVM | ML DPD | EVM | Fibre nonlinearity | 1.5 dB improvement | High data training and complexity |
| 10 | Gonzalez et al. [28] | ML | AI DPD | BER, OSNR | Cross Modulation Detection | N/A | N/A |
| 11 | Fernandez et al. [29] | ML | ML DPD | OSNR | Phase Modulation Impairments | 1.4 dB improvement | N/A |
| 12 | Liu et al. [30,31,32,33,34] | ML | ML DPD | EVM, ACLR | Laser Chirp | 10 dBs improvement | Limited to small link lengths |
| 13 | Hadi et al. [35,36,37,38,39] | Dig | ML-NN-based DPD | EVM | Laser | Learns nonlinearities | Limited to LTE framework. |
| 14 | Xu et al., Zhou et al. [40,41] | Dig | DNN DPD | ACLR, EVM | Black Box approach | N/A | Limited to 20 MHz bandwidth and 256 QAM modulation |
| 15 | Draa et al.; Chen et al. [42,43] | Elec | Analog DPD | IMD3 | Complete RoF system (Laser, photodiode, LNA) | IMD3 for phase maintenance | It suppresses second order nonlinear distortion for large bandwidth. |
| 16 | Roselli et al. [44] | Electrical | Analog DPD | IMD3 | RoF | Fixed phase for IMD3 components | |
| 17 | Hadi et al. [8] | Dig | Direct DPD | C/HD2, IIP2, IIP3 | Combination of fibre dispersion and laser chirp | Linearizes links up to tens of km | Because each RoF transmitter requires a particular pre-distorter, large-scale production is difficult. |
| 18 | Vieira et al. [9] | Dig | Conventional DPD | EVM | Laser | OFDM signal utilization | I/P tones must be sinusoidal (single/dual). |
| 19 | Hekkala et al. [45] | Dig | Conventional DPD | ACLR, BER | Laser | OFDM signal with 12.5 MHz bandwidth | The RoF link isn’t generic; it includes a 10 dB attenuation. |
| 20 | Carlos et al. [46] | Dig | Conventional DPD | EVM, ACLR | RoF | LTE 20 MHz signal | Only the magnitude (AM/AM) linearization is shown. |
| 21 | Carlos et al. [47] | Dig | Conventional DPD | NMSE, ACLR | RoF | LTE 20 MHz with 16 QAM modulation | Feedback is unrealistic. |
| 22 | Carlos et al. [48] | Dig | Conventional DPD | ACLR, EVM | RoF | Ideal and no feedback | The distributed feedback (DFB) laser was not pushed to higher RF I/P powers to evaluate the pre-distorter’s efficacy. |
| 23 | Hekkala et al. [41] | Dig | Conventional DPD | ACLR, EVM | Laser only | Less complexity and fewer overheads | The findings are attenuation dependent, which means that with the right attenuation and different optimization procedures, outcomes that are close to the ideal situation can be achieved. |
| 24 | He et al. [49] | Electrical | Conventional DPD | IMD3 | RoF | Fixed correction | Slight Improvement |
| 25 | Hraimel et al. [50] | Electrical | Conventional DPD | IMD3 | RoF | Phase maintenance is easy | Only Phase depended nonlinearities solved |
| 26 | MU. Hadi et al. [51] | Dig | Direct DPD | ACLR, IMD | RoF | Only requires transient chirp coefficient, no exhaustive training. | High complexity as a baseband signal needs to be oversampled by a very large over factor. |
| 27 | MU. Hadi et al. [52] | Dig | DPD | ACLR | RoF | Feasible closed loop DPD | Shown only for VCSEL |
| 28 | MU. Hadi et al. [53] | Dig | DPD | ACLR, EVM | RoF | DVR, GMP, MP | N/A |
| 29 | Cui et al. [54] | SVM | Deep Learning | BER | Modulation Impairments | 1.3 dB improvement | Small improvement |
| 30 | Hass et al. [55] | Opt | Mixed Polarization | Second/third order nonlinear distortion | Complete RoF system | Nonlinearities of second and third order are suppressed. | DPD deployment at the RRH level, further complicating the RRH. |
| 31 | Ghannouchi et al. [56] | Dig | DPD | Third order nonlinearities | Power Amplifier | Wideband enhancements are feasible. | The DSP necessary is difficult. |
| 32 | Duan et al. [57] | Dig | DPD | ACLR, EVM | Laser | More precision with fewer DSP requirements | Enormous energy consumption |
| 33 | Pei et al. [58] | Dig | DPD | ACLR | Modulator | ACLR suppression increased by 15 decibels. | Complex feedback. |
| 34 | Wang et al. [59] | KNN | ML | BER | Fibre nonlinearity | Improvement of 0.6 decibels | Large training data required |
| Parameters | Values |
|---|---|
| Signal Types | = 3, 20 GHz F/O/G—FDM waveform Modulation Data Rate = 256 QAM |
| Laser Diode | = 1310 nm Dual Drive Mach Zehnder Modulator |
| Fibre | |
| Photoreceiver | = 0.69 A/W |
| Framework | Parameters |
|---|---|
| Optimizer | ADAM |
| Activation function | ReLu |
| Type of output layer | Softmax |
| Loss type | Mean Square Error (MSE) |
| Hidden Layers N | 20 |
| Neurons per layer K | 15 |
| Regularization Type | L1 |
| Regularization factor | 0.01 |
| Learning rate Batch size | 0.01 16, 32, 64, 128, 256 |
| Validation split | 0.3 |
| Training specimens | 500,000 |
| Testing specimens | 200,000 |
| Complexity | |
| (4 + N) K + (N − 1) K2 + 6 | 5986 |
| Methodology | EVM (%) | PSD (dBc) |
|---|---|---|
| No-DPD RoF | 7 | −27 |
| GMP-DPD RoF | 2 | −30 |
| CNN DPD RoF | 1.1 | −39 |
| No-DPD FiWi | 6 | −21 |
| GMP-DPD FiWi | 5 | −30 |
| CNN DPD FiWi | 3.2 | −41 |
Publisher’s Note: MDPI stays neutral with regard to jurisdictional claims in published maps and institutional affiliations. |
© 2022 by the authors. Licensee MDPI, Basel, Switzerland. This article is an open access article distributed under the terms and conditions of the Creative Commons Attribution (CC BY) license (https://creativecommons.org/licenses/by/4.0/).
Share and Cite
Hadi, M.U.; Song, J.; Soman, S.K.O.; Rahimian, A.; Cheema, A.A. Experimental Evaluation of Hybrid Fibre–Wireless System for 5G Networks. Telecom 2022, 3, 218-233. https://doi.org/10.3390/telecom3020014
Hadi MU, Song J, Soman SKO, Rahimian A, Cheema AA. Experimental Evaluation of Hybrid Fibre–Wireless System for 5G Networks. Telecom. 2022; 3(2):218-233. https://doi.org/10.3390/telecom3020014
Chicago/Turabian StyleHadi, Muhammad Usman, Jian Song, Sunish Kumar Orappanpara Soman, Ardavan Rahimian, and Adnan Ahmad Cheema. 2022. "Experimental Evaluation of Hybrid Fibre–Wireless System for 5G Networks" Telecom 3, no. 2: 218-233. https://doi.org/10.3390/telecom3020014
APA StyleHadi, M. U., Song, J., Soman, S. K. O., Rahimian, A., & Cheema, A. A. (2022). Experimental Evaluation of Hybrid Fibre–Wireless System for 5G Networks. Telecom, 3(2), 218-233. https://doi.org/10.3390/telecom3020014

