Impact of Parathormone (PTH) Levels on the Presence of Cardiovascular Disease in Patients with Primary Aldosteronism and Essential Hypertension
Abstract
1. Introduction
2. Materials and Methods
2.1. Data Collection
2.2. Statistical Analysis
3. Results
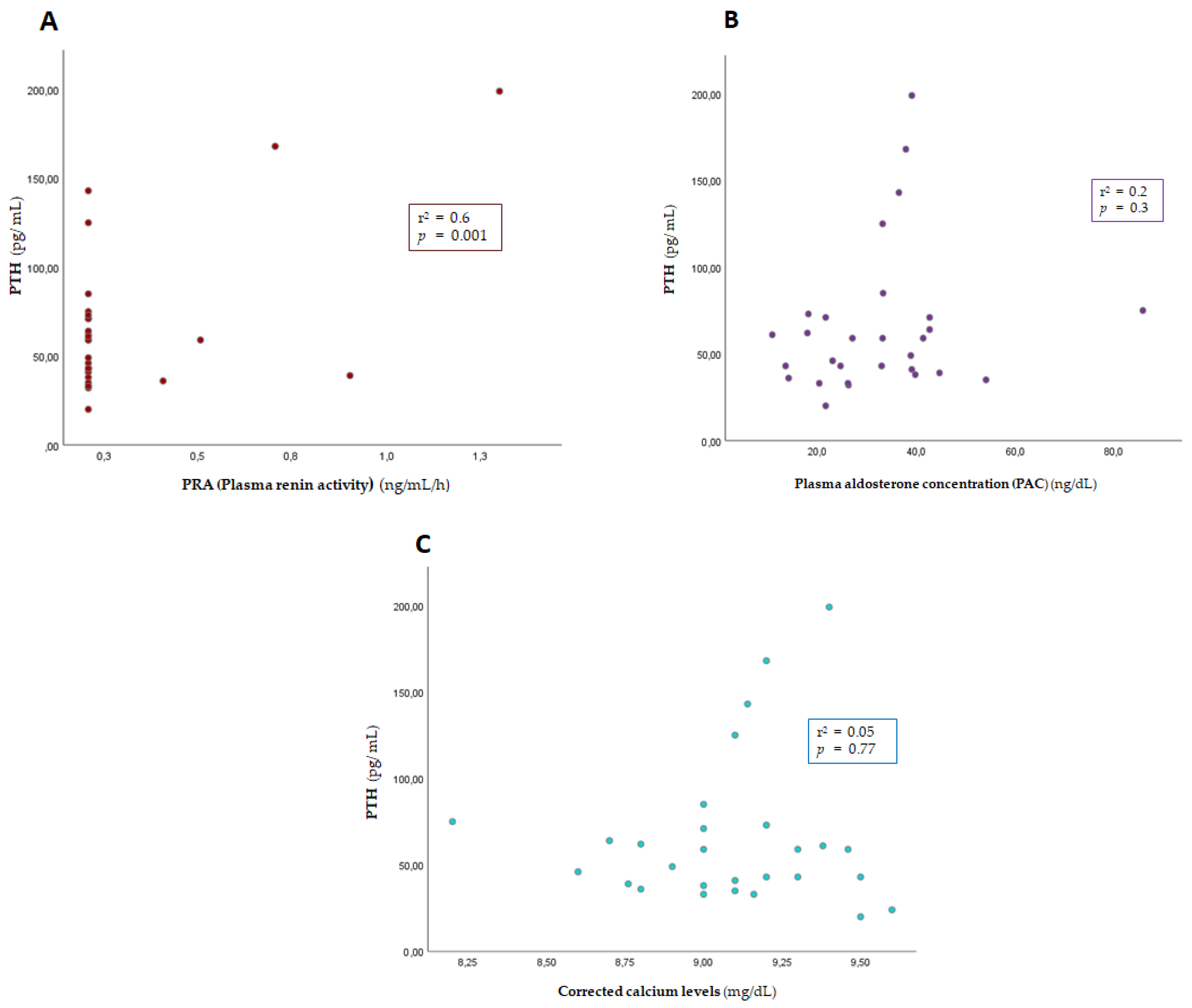
3.1. Interplays Between PA and PTH Levels
3.2. Impact of PA and Hyperparathyroidism on Prevalence of TOD and CVD
4. Discussion
Limitations of the Study
5. Conclusions
Author Contributions
Funding
Institutional Review Board Statement
Informed Consent Statement
Data Availability Statement
Conflicts of Interest
Abbreviations
| ARR | aldosterone-to-renin ratio |
| BP | blood pressure |
| CKD | chronic kidney disease |
| CVD | cardiovascular disease |
| EH | essential hypertension |
| PA | primary aldosteronism |
| PAC | plasma aldosteroneconcentration |
| PRA | plasma reninactivity |
| PTH | parathormone |
| RAAS | renin–angiotensin–aldosterone |
| TOD | target organ damage |
| UACR | albumin-to-creatinine ratio |
References
- Dogra, P.; Bancos, I.; Young, W.F. Primary Aldosteronism: A Pragmatic Approach to Diagnosis and Management. Mayo Clin. Proc. 2023, 98, 1207–1215. [Google Scholar] [CrossRef]
- Ruiz-Sanchez, J.G.; Sanchez, Á.F.; Cardenas-Salas, J.; Fernandez-Cagigao, Y.; Bellassai, E.R.A.; Rossello, M.G.; Fernandez-Fernandez, B.; Moreno, B.J.; Paniagua, A.; Vazquez, C.; et al. Primary aldosteronism prevalence enhanced by strict adherence to 2016 Endocrine Society guidelines: Insights from an endocrine hypertension unit. J. Hypertens. 2024, 42, 1813–1822. [Google Scholar] [CrossRef]
- Funder, J.W.; Carey, R.M.; Mantero, F.; Murad, M.H.; Reincke, M.; Shibata, H.; Stowasser, M.; Young, W.F. The Management of Primary Aldosteronism: Case Detection, Diagnosis, and Treatment: An Endocrine Society Clinical Practice Guideline. J. Clin. Endocrinol. Metab. 2016, 101, 1889–1916. [Google Scholar] [CrossRef]
- Rossi, G.P.; Seccia, T.M.; Maiolino, G.; Cesari, M. The cardiovascular consequences of hyperaldosteronism. Ann. Endocrinol. 2021, 82, 174–178. [Google Scholar] [CrossRef]
- Hundemer, G.L.; Curhan, G.C.; Yozamp, N.; Wang, M.; Vaidya, A. Cardiometabolic outcomes and mortality in medically treated primary aldosteronism: A retrospective cohort study. Lancet Diabetes Endocrinol. 2018, 6, 51–59. [Google Scholar] [CrossRef] [PubMed]
- Zheng, M.-H.; Li, F.-X.; Xu, F.; Lin, X.; Wang, Y.; Xu, Q.-S.; Guo, B.; Yuan, L.-Q. The Interplay Between the Renin-Angiotensin-Aldosterone System and Parathyroid Hormone. Front. Endocrinol. 2020, 11, 539. [Google Scholar] [CrossRef]
- Maniero, C.; Fassina, A.; Guzzardo, V.; Lenzini, L.; Amadori, G.; Pelizzo, M.R.; Gomez-Sanchez, C.; Rossi, G.P. Primary hyperparathyroidism with concurrent primary aldosteronism. Hypertension 2011, 197958, 341–346. [Google Scholar] [CrossRef]
- Mazzocchi, G.; Aragona, F.; Malendowicz, L.K.; Nussdorfer, G.G. PTH and PTH-related peptide enhance steroid secretion from human adrenocortical cells. Am. J. Physiol. Endocrinol. Metab. 2001, 280, E209–E213. [Google Scholar] [CrossRef]
- Lenzini, L.; Prisco, S.; Vanderriele, P.E.; Lerco, S.; Torresan, F.; Maiolino, G.; Seccia, T.M.; Iacobone, M.; Rossi, G.P. PTH Modulation by Aldosterone and Angiotensin II is Blunted in Hyperaldosteronism and Rescued by Adrenalectomy. J. Clin. Endocrinol. Metab. 2019, 104, 3726–3734. [Google Scholar] [CrossRef] [PubMed]
- Gruson, D. PTH and cardiovascular risk. Ann. Endocrinol. 2021, 82, 149–150. [Google Scholar] [CrossRef]
- Kometani, M.; Yoneda, T.; Aono, D.; Gondoh-Noda, Y.; Matsuoka, T.; Higashitani, T.; Yoshikura, S.; Sawada, K.; Takeda, Y.; Fujimoto, A.; et al. Primary Aldosteronism with Parathyroid Hormone Elevation: A Single-center Retrospective Study. Intern. Med. 2021, 60, 993–998. [Google Scholar] [CrossRef]
- Pilz, S.; Kienreich, K.; Drechsler, C.; Ritz, E.; Fahrleitner-Pammer, A.; Gaksch, M.; Meinitzer, A.; März, W.; Pieber, T.R.; Tomaschitz, A. Hyperparathyroidism in patients with primary aldosteronism: Cross-sectional and interventional data from the GECOH study. J. Clin. Endocrinol. Metab. 2012, 97, E75–E79. [Google Scholar] [CrossRef] [PubMed]
- Ruiz-Sánchez, J.G.; Guerra, M.P.; Meneses, D.; Runkle, I. Primary Hyperaldosteronism: When to Suspect It and How to Confirm Its Diagnosis. Endocrines 2022, 3, 29–42. [Google Scholar] [CrossRef]
- Wang, A.; Wang, Y.; Liu, H.; Hu, X.; Li, J.; Xu, H.; Nie, Z.; Zhang, L.; Lyu, Z. Bone and mineral metabolism in patients with primary aldosteronism: A systematic review and meta-analysis. Front. Endocrinol. 2022, 13, 1027841. [Google Scholar] [CrossRef] [PubMed]
- Gao, X.; Yamazaki, Y.; Tezuka, Y.; Onodera, Y.; Ogata, H.; Omata, K.; Morimoto, R.; Nakamura, Y.; Satoh, F.; Sasano, H. The crosstalk between aldosterone and calcium metabolism in primary aldosteronism: A possible calcium metabolism-associated aberrant ‘neoplastic’ steroidogenesis in adrenals. J. Steroid Biochem. Mol. Biol. 2019, 193, 105434. [Google Scholar] [CrossRef] [PubMed]
- Brown, S.J.; Ruppe, M.D.; Tabatabai, L.S. The Parathyroid Gland and Heart Disease. Methodist DeBakey Cardiovasc. J. 2017, 13, 49–54. [Google Scholar] [CrossRef] [PubMed]
- Monticone, S.; Burrello, J.; Tizzani, D.; Bertello, C.; Viola, A.; Buffolo, F.; Gabetti, L.; Mengozzi, G.; Williams, T.A.; Rabbia, F.; et al. Prevalence and Clinical Manifestations of Primary Aldosteronism Encountered in Primary Care Practice. J. Am. Coll. Cardiol. 2017, 69, 1811–1820. [Google Scholar] [CrossRef] [PubMed]
- Asbach, E.; Bekeran, M.; König, A.; Lang, K.; Hanslik, G.; Treitl, M.; Ladurner, R.; Bidlingmaier, M.; Beuschlein, F.; Quinkler, M.; et al. Primary and Secondary Hyperparathyroidism in Patients with Primary Aldosteronism—Findings From the German Conn’s Registry. Exp. Clin. Endocrinol. Diabetes 2020, 128, 246–254. [Google Scholar] [CrossRef] [PubMed]
- Pepe, J.; Cipriani, C.; Sonato, C.; Raimo, O.; Biamonte, F.; Minisola, S. Cardiovascular manifestations of primary hyperparathyroidism: A narrative review. Eur. J. Endocrinol. 2017, 177, R297–R308. [Google Scholar] [CrossRef]
- Pilz, S.; Tomaschitz, A.; Drechsler, C.; Ritz, E.; Boehm, B.O.; Grammer, T.B.; März, W. Parathyroid hormone level is associated with mortality and cardiovascular events in patients undergoing coronary angiography. Eur. Heart J. 2010, 31, 1591–1598. [Google Scholar] [CrossRef] [PubMed]



| Total (n = 67) | PA (n = 35) | EH (n = 32) | p-Value | |
|---|---|---|---|---|
| Age, years | 56 ± 13 | 57 ± 10 | 53 ± 15 | 0.239 |
| Female, n (%) | 44 (65) | 25 (71) | 19 (59) | 0.299 |
| Morbidity data | ||||
| Cardiovascular disease, n (%) | 21 (31) | 14 (40) | 7 (21) | 0.110 |
| Target organ damage, n (%) Left ventricular hypertrophy, n (%) Atrial fibrillation, n (%) Heart failure, n (%) Ictus, n (%) Ischemic cardiopathy, n (%) Albuminuria > 30 mg/g, n (%) | 28 (42) 28 (42) 5 (7) 3 (5) 5 (7) 5 (7) 16 (24) | 19 (54) 23 (67) 3 (9) 1 (3) 2 (6) 4 (11) 11 (32) | 9 (28) 5 (15) 2 (6) 2 (6) 3 (9) 1 (3) 5 (15) | 0.03 * <0.001 * 0.718 0.603 0.680 0.358 0.150 |
| Hypertension grade, n (%) Grade I, n (%) Grade II, n (%) Grade III, n (%) | 13 (40) 33 (49) 21 (31) | 0 15 (42) 20 (36) | 13 (40) 18 (56) 1 (3.1) | 0.001 * |
| Evolution of hypertension, years | 9 ± 8 | 11 ± 9 | 7 ± 6 | 0.061 |
| Number of antihypertensive medications Need 3 or more drugs, n (%) | 2.9 ± 1.2 32/54 (59.3) | 3 ± 1.4 14 (61) | 2.8 ± 1.1 18 (58) | 0.639 0.836 |
| Chronic kidney disease, n (%) | 6 (9) | 5 (15) | 1 (3.1) | 0.100 |
| Obstructive sleep apnea, n (%) | 31 (46) | 11 (32) | 20 (59) | 0.420 |
| Type 2 diabetes, n (%) | 16 (24) | 7 (20) | 9 (28) | 0.393 |
| Biochemical data | ||||
| Serum Na+, mmol/L | 141.9 ± 2.8 | 143.2 ± 2.4 | 140 ± 2.5 | <0.001 * |
| Serum K+, mmol/L | 4.1 ± 0.5 | 3.9 ± 0.4 | 4.4 ± 0.4 | <0.001 * |
| PAC, ng/dL | 28.1 ± 16.77 | 32.0 ± 15.4 | 16.2 ± 15.7 | <0.001 |
| ARR, ng/dL/mL/h | 99 ± 89 | 129 ± 84.0 | 8.0 ± 6.1 | <0.001 |
| eGFR, mL/min/1.73 m2 | 87.2 ± 15.3 | 88.5 ± 14.5 | 86.0 ± 16.3 | 0.509 |
| UACR, mg/g | 148 ± 634 | 326 ± 55 | 55 ± 95 | 0.311 |
| PTH, pg/mL | 51.4 ± 33.1 | 64.3 ± 42.2 | 39.4 ± 13.5 | 0.004 * |
| Albumin-corrected Ca, mg/dL | 9.3 ± 0.4 | 9.12 ± 0.40 | 9.6 ± 0.38 | <0.001 * |
| 25-OH vitamin D, ng/mL | 28.9 ± 10.9 | 28.91 ± 8.9 | 28.8 ± 12.8 | 0.97 |
| Cardiovascular Disease | |||
| Yes | No | ||
| Primary aldosteronism | 79 ± 45 | 55 ± 39 | 0.13 |
| Essential hypertension | 38 ± 15 | 40 ± 13 | 0.747 |
| Target Organ Damage | |||
| Yes | No | ||
| Primary aldosteronism | 63 ± 37 | 66 ± 48 | 0.887 |
| Essential hypertension | 33 ± 5 | 42 ± 15 | 0.023 |
Disclaimer/Publisher’s Note: The statements, opinions and data contained in all publications are solely those of the individual author(s) and contributor(s) and not of MDPI and/or the editor(s). MDPI and/or the editor(s) disclaim responsibility for any injury to people or property resulting from any ideas, methods, instructions or products referred to in the content. |
© 2025 by the authors. Licensee MDPI, Basel, Switzerland. This article is an open access article distributed under the terms and conditions of the Creative Commons Attribution (CC BY) license (https://creativecommons.org/licenses/by/4.0/).
Share and Cite
Fernández-Sánchez, Á.; Meneses, D.; Bellasai, E.R.A.; Cárdenas-Salas, J.; Paniagua, A.; Vázquez, C.; Ruiz-Sánchez, J.G. Impact of Parathormone (PTH) Levels on the Presence of Cardiovascular Disease in Patients with Primary Aldosteronism and Essential Hypertension. Endocrines 2025, 6, 8. https://doi.org/10.3390/endocrines6010008
Fernández-Sánchez Á, Meneses D, Bellasai ERA, Cárdenas-Salas J, Paniagua A, Vázquez C, Ruiz-Sánchez JG. Impact of Parathormone (PTH) Levels on the Presence of Cardiovascular Disease in Patients with Primary Aldosteronism and Essential Hypertension. Endocrines. 2025; 6(1):8. https://doi.org/10.3390/endocrines6010008
Chicago/Turabian StyleFernández-Sánchez, Álvaro, Diego Meneses, Emma Raquel Alegre Bellasai, Jersy Cárdenas-Salas, Amalia Paniagua, Clotilde Vázquez, and Jorge Gabriel Ruiz-Sánchez. 2025. "Impact of Parathormone (PTH) Levels on the Presence of Cardiovascular Disease in Patients with Primary Aldosteronism and Essential Hypertension" Endocrines 6, no. 1: 8. https://doi.org/10.3390/endocrines6010008
APA StyleFernández-Sánchez, Á., Meneses, D., Bellasai, E. R. A., Cárdenas-Salas, J., Paniagua, A., Vázquez, C., & Ruiz-Sánchez, J. G. (2025). Impact of Parathormone (PTH) Levels on the Presence of Cardiovascular Disease in Patients with Primary Aldosteronism and Essential Hypertension. Endocrines, 6(1), 8. https://doi.org/10.3390/endocrines6010008

