Stress–Strength Reliability of the Type P(X < Y) for Birnbaum–Saunders Components: A General Result, Simulations and Real Data Set Applications
Abstract
1. Introduction
2. Preliminaries
2.1. Special Functions and Mellin Transforms
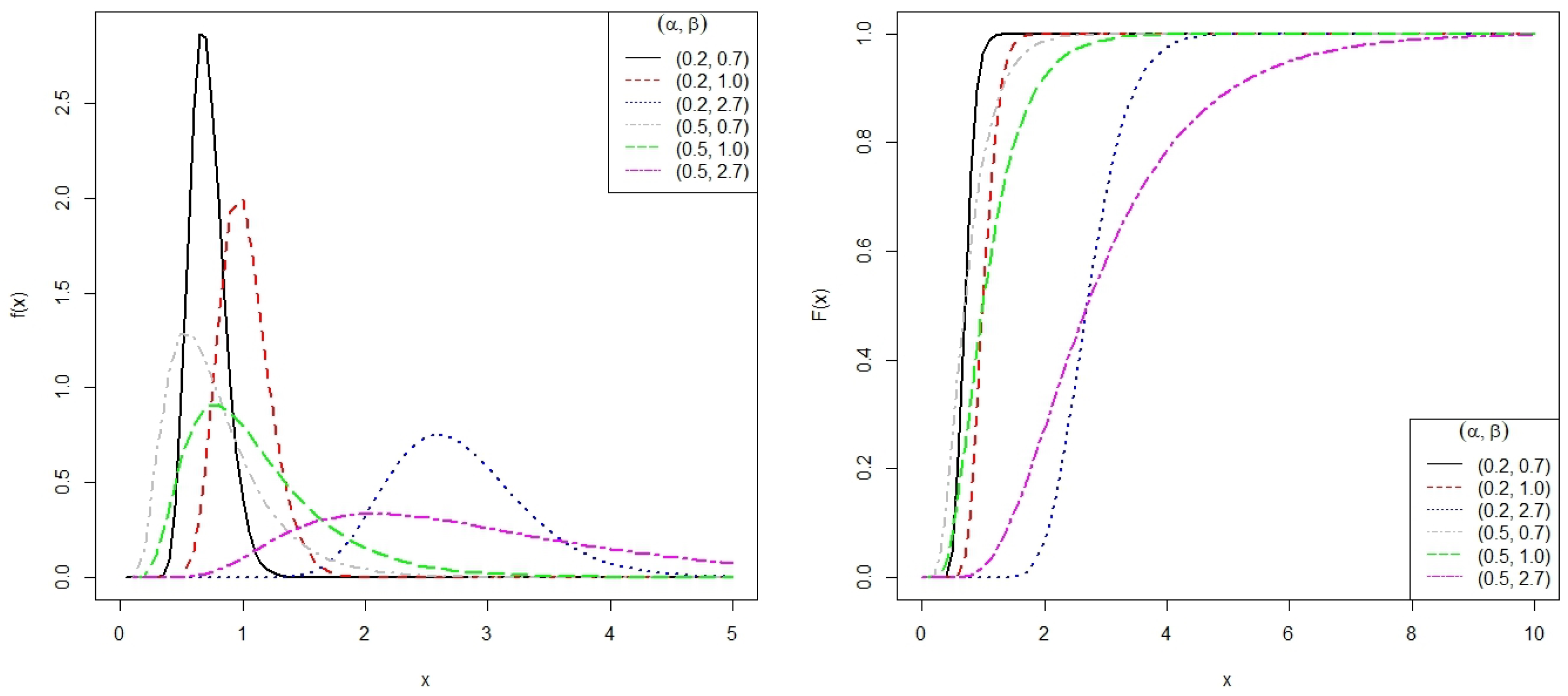
2.2. The BS Model
3. Stress–Strength Probability for BS Models
- is the CDF of ;
- is the PDF of .
Estimation
| Algorithm 1: Let and be samples of sizes n and m, respectively, and a positive integer M. |
|
4. Applications
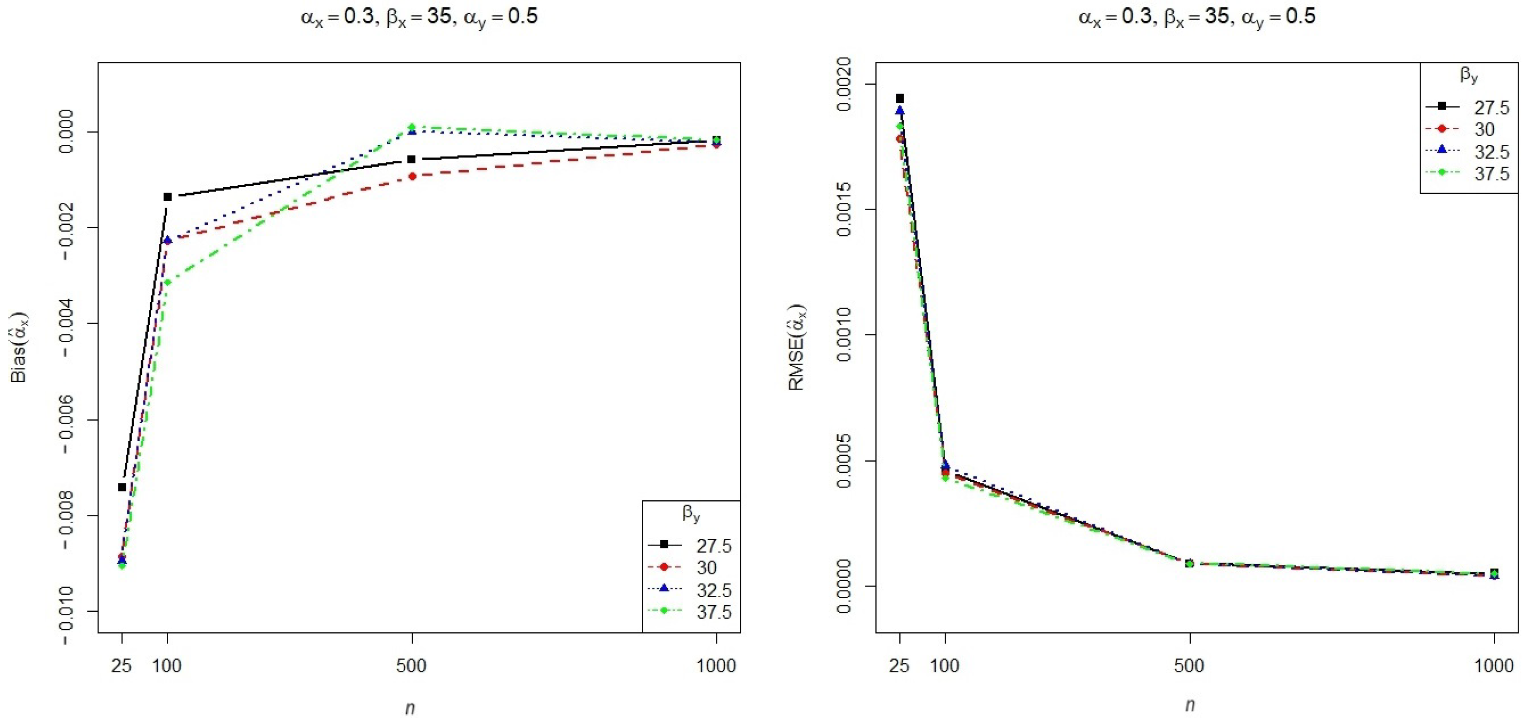
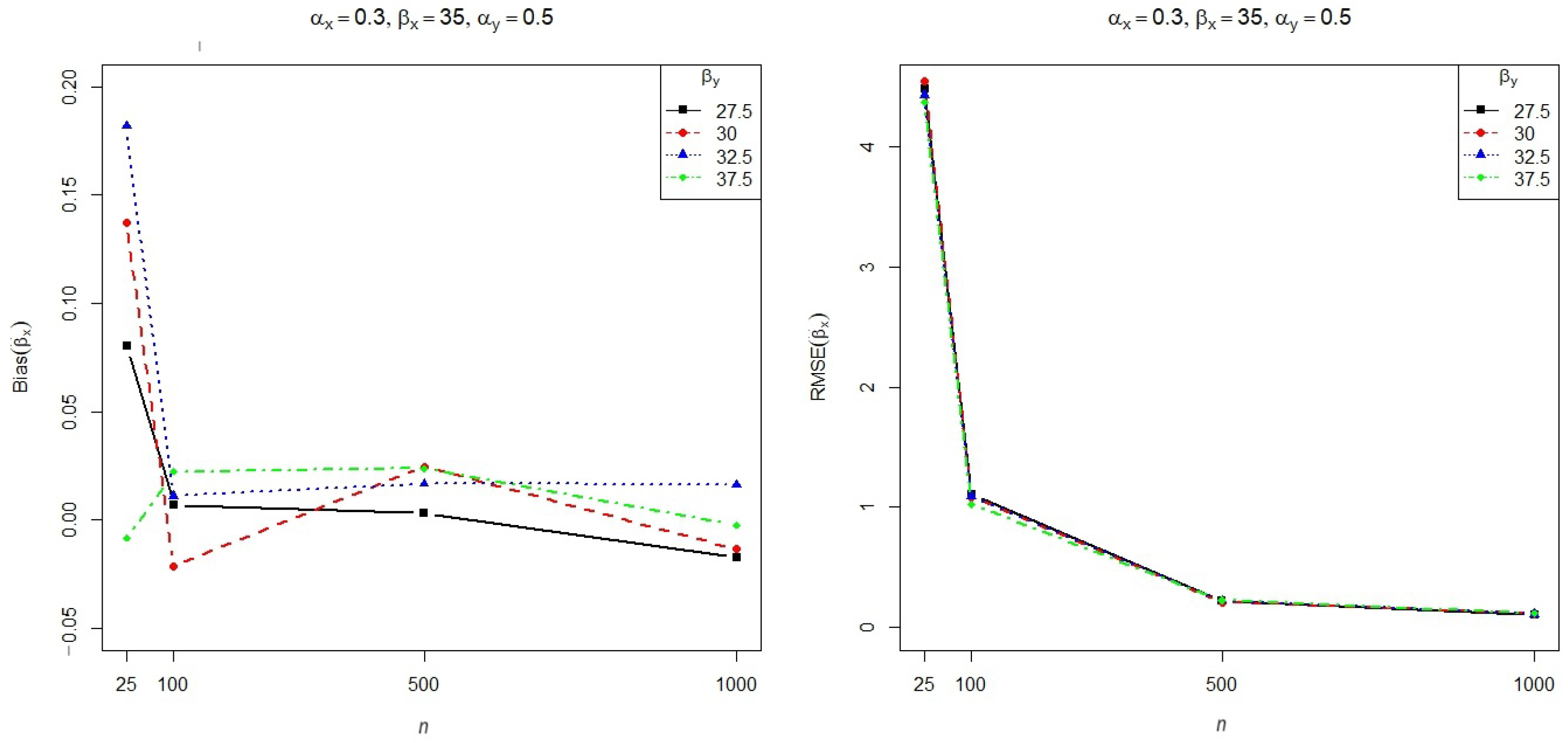
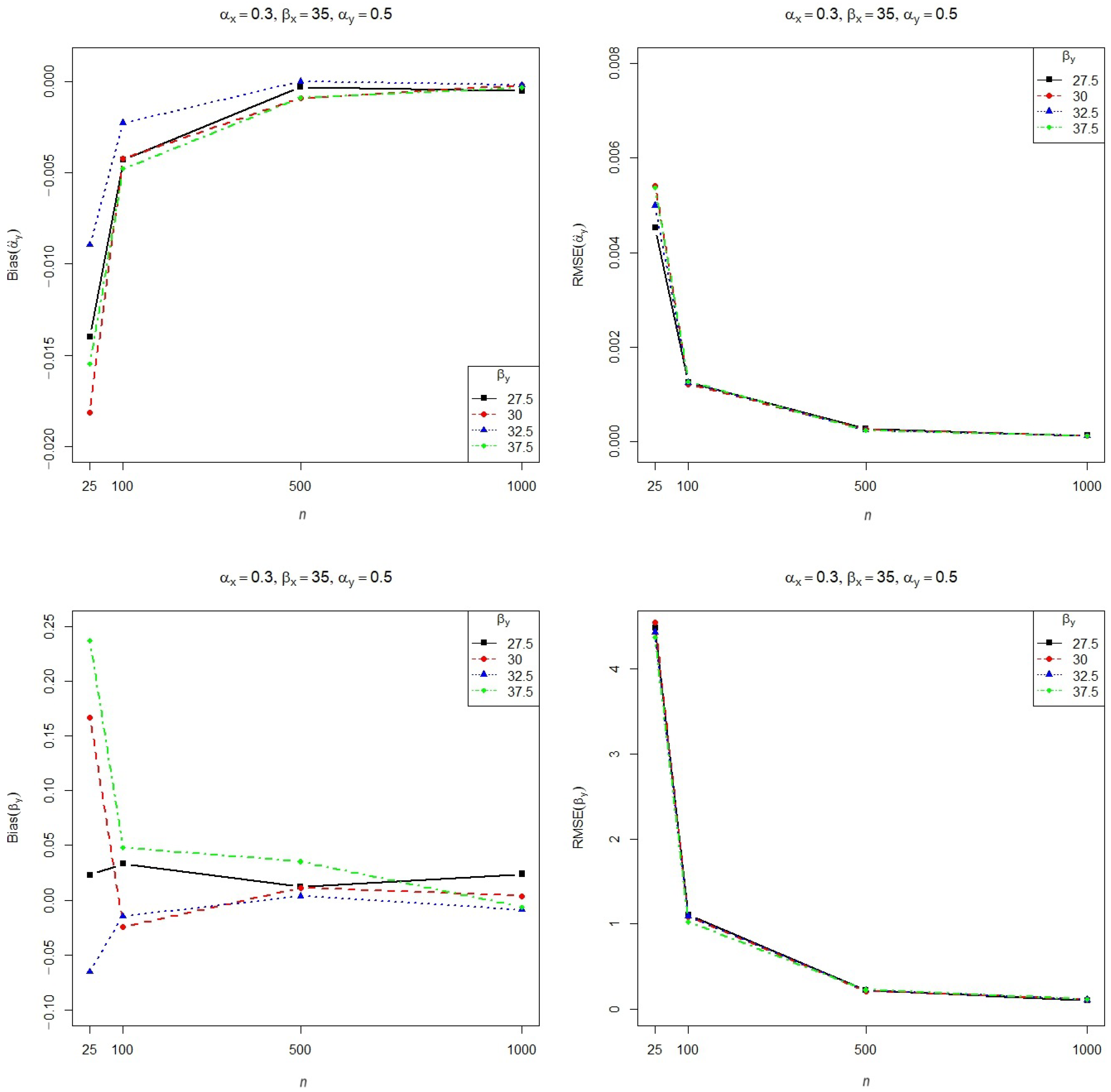
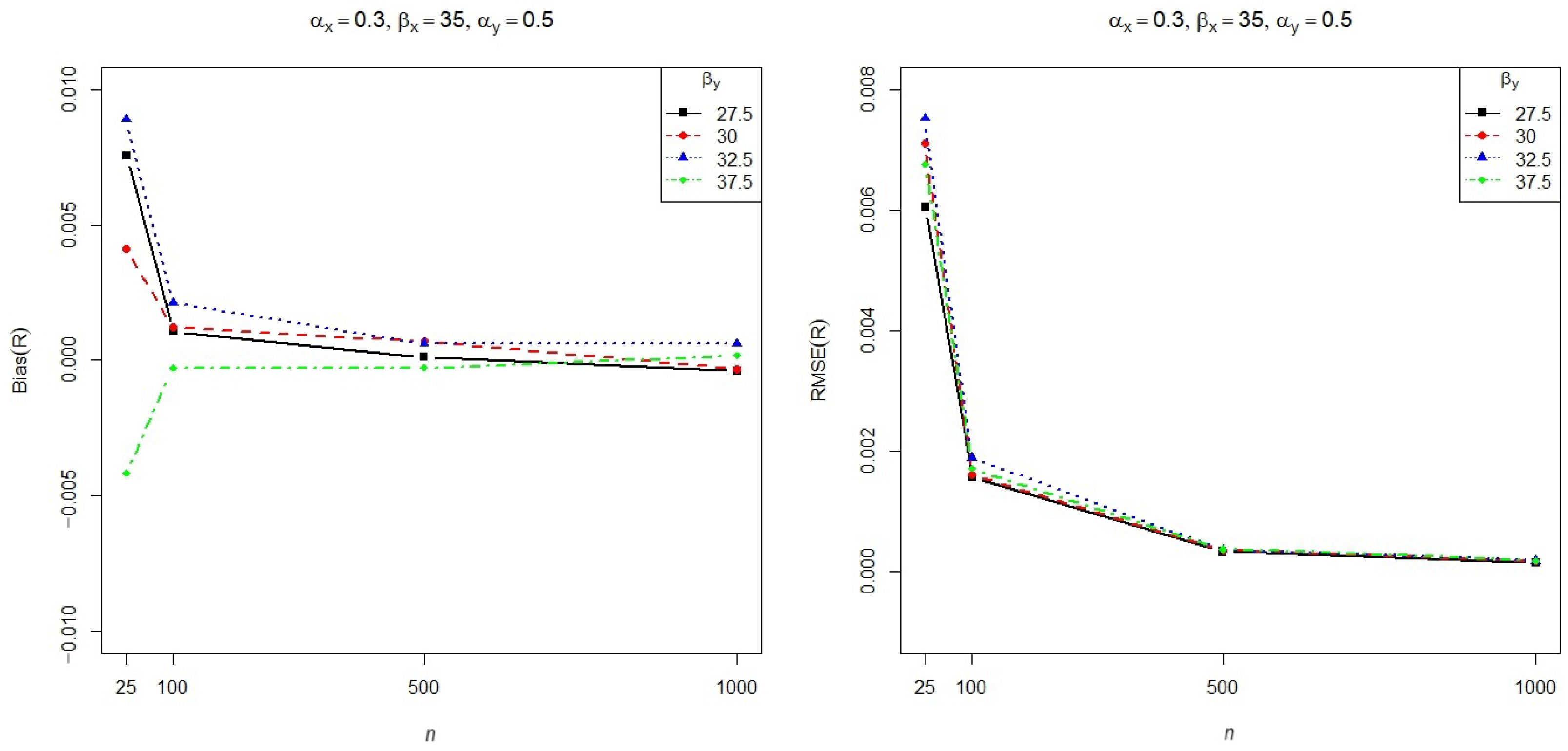
4.1. Monte Carlo Simulations
- True population parameters and ;
- Monte Carlo replications of samples and directly sampled from true distributions since the parameters are known;
- sample sizes .
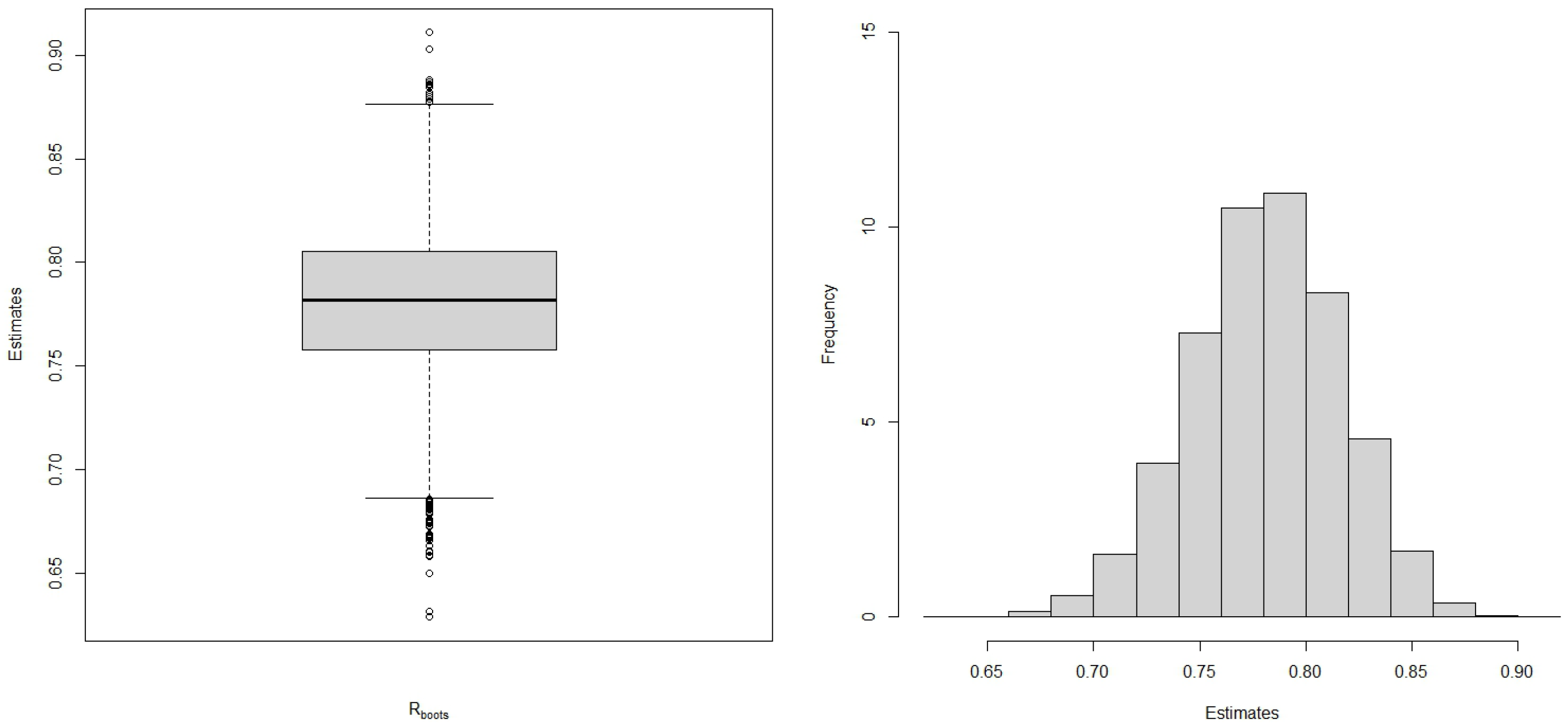
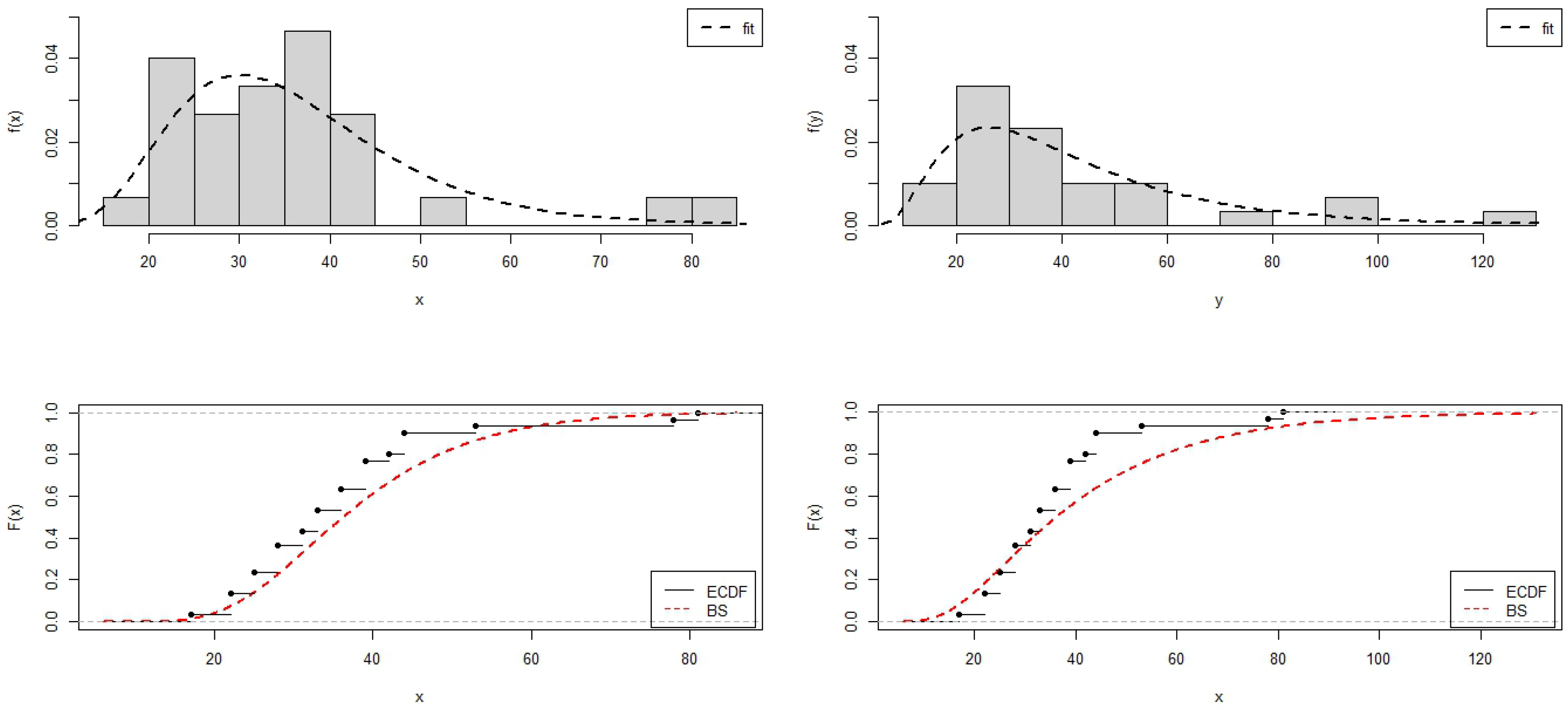
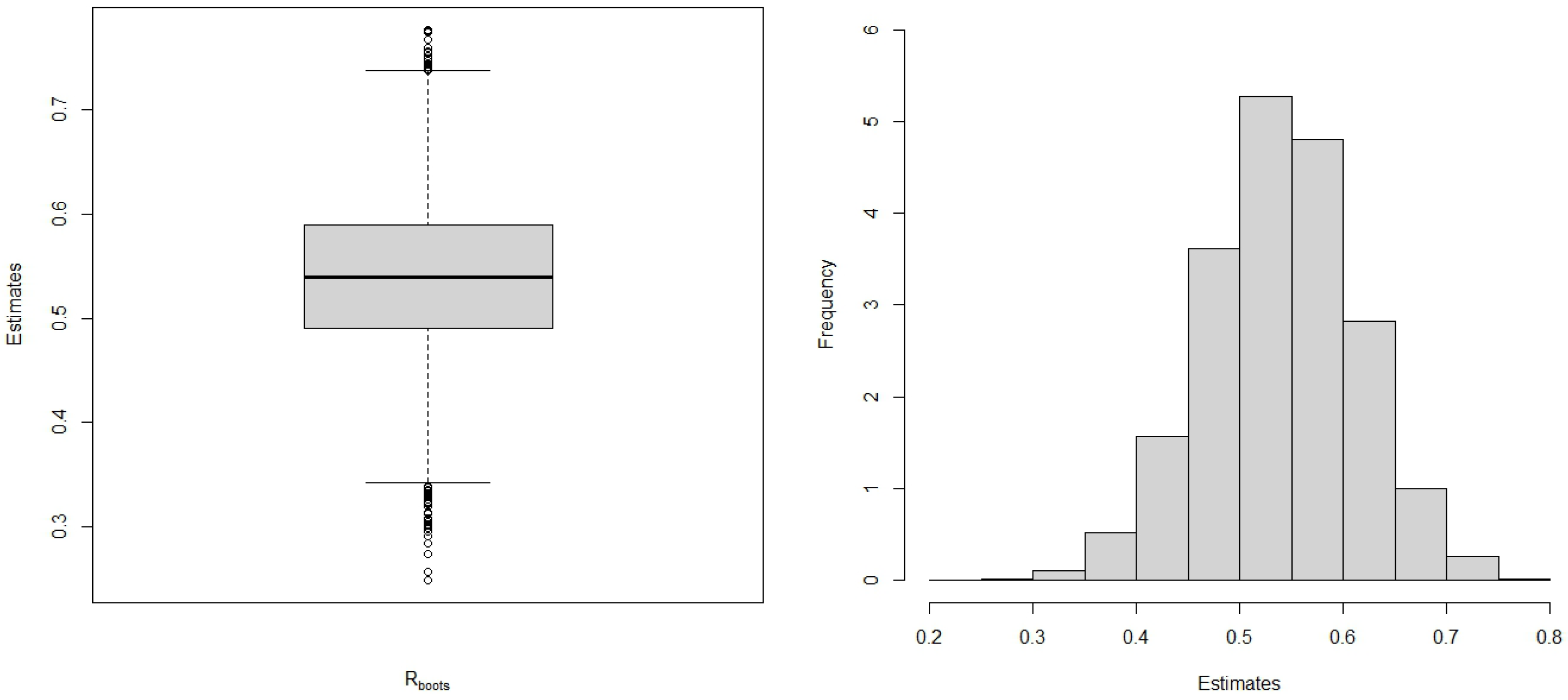
4.2. Real Data Set
4.2.1. Carbon Fibres
4.2.2. Daily Wind Speeds
5. Conclusions
Author Contributions
Funding
Data Availability Statement
Acknowledgments
Conflicts of Interest
References
- Birnbaum, Z.W.; Saunders, S.C. A new family of life distributions. J. Appl. Probab. 1969, 6, 319–327. [Google Scholar] [CrossRef]
- Birnbaum, Z.W.; Saunders, S.C. Estimation for a family of life distributions with applications to fatigue. J. Appl. Probab. 1969, 6, 328–347. [Google Scholar] [CrossRef]
- Desmond, A. Stochastic models of failure in random environments. Can. J. Stat. 1985, 13, 171–183. [Google Scholar] [CrossRef]
- Desmond, A.F. On the Relationship between Two Fatigue-Life Models. IEEE Trans. Reliab. 1986, 35, 167–169. [Google Scholar] [CrossRef]
- Kotz, S.; Lumelskii, Y.; Pensky, M. The Stress-Strength Model and Its Generalizations: Theory and Applications; World Scientific: Hackensack, NJ, USA, 2003. [Google Scholar]
- Xiuyun, P.; Yan, X.; Zaizai, Y. Reliability analysis of Birnbaum–Saunders model based on progressive type-II censoring. J. Stat. Comput. Simul. 2019, 89, 461–477. [Google Scholar] [CrossRef]
- Rathie, P.N.; Rathie, A.K.; Ozelim, L.C. On the distribution of the product and the sum of generalized shifted gamma random variables. Math. Aeterna 2013, 3, 421–432. [Google Scholar]
- Mathai, A.; Saxena, R.; Haubold, H. The H-Function: Theory and Applications; Springer Science & Business Media: Berlin, Germany, 2010. [Google Scholar]
- Nadarajah, S. Reliability for extreme value distributions. Math. Comput. Model. 2003, 37, 915–922. [Google Scholar] [CrossRef]
- Luke, Y.L. Special Functions and Their Approximations; Academic Press: Cambridge, MA, USA, 1969; Volume 1. [Google Scholar]
- Rieck, J.R. A moment-generating function with application to the Birnbaum-Saunders distribution. Commun. Stat. Theory Methods 1999, 28, 2213–2222. [Google Scholar] [CrossRef]
- Cordeiro, G.M.; Lemonte, A.J. The β-Birnbaum–Saunders distribution: An improved distribution for fatigue life modeling. Commun. Stat. Data Anal. 2011, 55, 1445–1461. [Google Scholar] [CrossRef]
- Springer, M.D. The Algebra of Random Variables; John Wiley: New York, NY, USA, 1979. [Google Scholar]
- Badar, M.G.; Priest, A.M. Statistical aspects of fiber and bundle strength in hybrid composites. In Progress in Science and Engineering Composites; Hayashi, T., Kawata, K., Umekawa, S., Eds.; ICCM-IV: Tokyo, Japan, 1982; pp. 1129–1136. [Google Scholar]
- Valiollahi, R.; Asgharzadeh, A.; Raqab, M.Z. Estimation of P (Y< X) for Weibull distribution under progressive Type-II censoring. Commun. Stat. Theory Methods 2013, 42, 4476–4498. [Google Scholar]
- Jovanović, M.; Milošević, B.; Obradović, M.; Vidović, Z. Inference on reliability of stress-strength model with Peng-Yan extended Weibull distributions. Filomat 2021, 35, 1927–1948. [Google Scholar] [CrossRef]











| n | R | |||||||
|---|---|---|---|---|---|---|---|---|
| 25 | 0.3 | 35 | 0.5 | 27.5 | 0.6618 | 0.6694 | 0.0076 | 0.0060 |
| 25 | 0.3 | 35 | 0.5 | 30 | 0.6051 | 0.6092 | 0.0041 | 0.0071 |
| 25 | 0.3 | 35 | 0.5 | 32.5 | 0.5510 | 0.5599 | 0.0089 | 0.0075 |
| 25 | 0.3 | 35 | 0.5 | 37.5 | 0.4525 | 0.4484 | −0.0042 | 0.0068 |
| 100 | 0.3 | 35 | 0.5 | 27.5 | 0.6618 | 0.6629 | 0.0011 | 0.0016 |
| 100 | 0.3 | 35 | 0.5 | 30 | 0.6051 | 0.6063 | 0.0012 | 0.0016 |
| 100 | 0.3 | 35 | 0.5 | 32.5 | 0.5510 | 0.5531 | 0.0021 | 0.0019 |
| 100 | 0.3 | 35 | 0.5 | 37.5 | 0.4525 | 0.4523 | −0.0003 | 0.0017 |
| 500 | 0.3 | 35 | 0.5 | 27.5 | 0.6618 | 0.6619 | 0.0001 | 0.0003 |
| 500 | 0.3 | 35 | 0.5 | 30 | 0.6051 | 0.6058 | 0.0007 | 0.0003 |
| 500 | 0.3 | 35 | 0.5 | 32.5 | 0.5510 | 0.5516 | 0.0006 | 0.0004 |
| 500 | 0.3 | 35 | 0.5 | 37.5 | 0.4525 | 0.4522 | −0.0003 | 0.0004 |
| 1000 | 0.3 | 35 | 0.5 | 27.5 | 0.6618 | 0.6614 | −0.0004 | 0.0001 |
| 1000 | 0.3 | 35 | 0.5 | 30 | 0.6051 | 0.6048 | −0.0003 | 0.0002 |
| 1000 | 0.3 | 35 | 0.5 | 32.5 | 0.5510 | 0.5516 | 0.0006 | 0.0002 |
| 1000 | 0.3 | 35 | 0.5 | 37.5 | 0.4525 | 0.4527 | 0.0002 | 0.0002 |
| Data Set | Min. | 1st Qu. | Median | Mean | 3rd Qu. | Max. | Std. dv. |
|---|---|---|---|---|---|---|---|
| 1.31 | 2.10 | 2.48 | 2.45 | 2.77 | 3.58 | 0.50 | |
| 1.90 | 2.55 | 3.00 | 3.06 | 3.42 | 5.02 | 0.62 |
| Data Set | KS p-Value | ||
|---|---|---|---|
| 0.2138 | 2.3965 | 0.8496 | |
| 0.1984 | 3.0003 | 0.7678 |
| City | Min. | 1st Qu. | Median | Mean | 3rd Qu. | Max. | Std. dv. |
|---|---|---|---|---|---|---|---|
| Coruña | 17.00 | 28.00 | 33.00 | 36.03 | 39.00 | 81.00 | 14.37 |
| Bergen | 11.00 | 27.25 | 34.50 | 41.80 | 49.50 | 126.00 | 25.99 |
| City | Data Set | KS p-Value | ||
|---|---|---|---|---|
| Coruña | 0.3463 | 34.0008 | 0.7125 | |
| Bergen | 0.5559 | 36.2300 | 0.8309 |
Disclaimer/Publisher’s Note: The statements, opinions and data contained in all publications are solely those of the individual author(s) and contributor(s) and not of MDPI and/or the editor(s). MDPI and/or the editor(s) disclaim responsibility for any injury to people or property resulting from any ideas, methods, instructions or products referred to in the content. |
© 2024 by the authors. Licensee MDPI, Basel, Switzerland. This article is an open access article distributed under the terms and conditions of the Creative Commons Attribution (CC BY) license (https://creativecommons.org/licenses/by/4.0/).
Share and Cite
Quintino, F.S.; Ozelim, L.C.d.S.M.; Fonseca, T.A.d.; Rathie, P.N. Stress–Strength Reliability of the Type P(X < Y) for Birnbaum–Saunders Components: A General Result, Simulations and Real Data Set Applications. Modelling 2024, 5, 223-237. https://doi.org/10.3390/modelling5010012
Quintino FS, Ozelim LCdSM, Fonseca TAd, Rathie PN. Stress–Strength Reliability of the Type P(X < Y) for Birnbaum–Saunders Components: A General Result, Simulations and Real Data Set Applications. Modelling. 2024; 5(1):223-237. https://doi.org/10.3390/modelling5010012
Chicago/Turabian StyleQuintino, Felipe S., Luan Carlos de Sena Monteiro Ozelim, Tiago A. da Fonseca, and Pushpa Narayan Rathie. 2024. "Stress–Strength Reliability of the Type P(X < Y) for Birnbaum–Saunders Components: A General Result, Simulations and Real Data Set Applications" Modelling 5, no. 1: 223-237. https://doi.org/10.3390/modelling5010012
APA StyleQuintino, F. S., Ozelim, L. C. d. S. M., Fonseca, T. A. d., & Rathie, P. N. (2024). Stress–Strength Reliability of the Type P(X < Y) for Birnbaum–Saunders Components: A General Result, Simulations and Real Data Set Applications. Modelling, 5(1), 223-237. https://doi.org/10.3390/modelling5010012

