The Association Between Daylight Saving Time and Acute Myocardial Infarction in Canada
Abstract
1. Introduction
2. Methods
3. Results
3.1. Baseline Characteristics
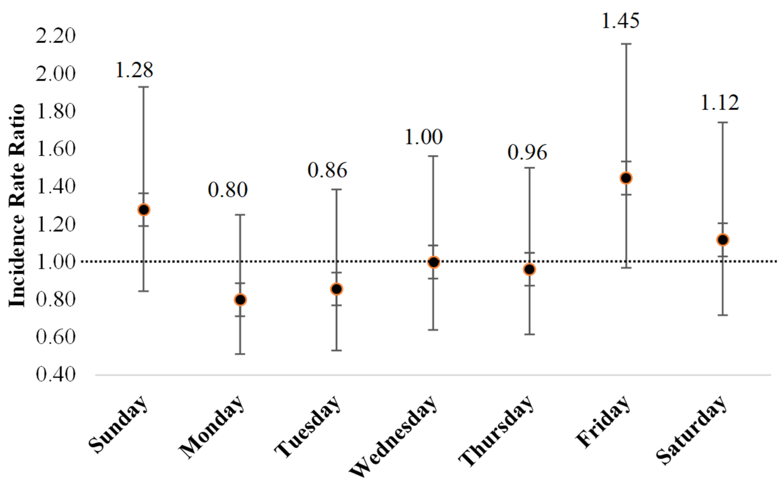
3.2. Incidence Rate Ratio of AMI Following DST
3.3. Infarct Size Following DST
4. Discussion
5. Conclusions
Supplementary Materials
Author Contributions
Funding
Institutional Review Board Statement
Informed Consent Statement
Data Availability Statement
Conflicts of Interest
References
- Cohen, M.C.; Rohtla, K.M.; Lavery, C.E.; Muller, J.E.; Mittleman, M.A. Meta-analysis of the morning excess of acute myocardial infarctions and sudden cardiac death. Am. J. Cardiol. 1997, 79, 1512–1516. [Google Scholar] [CrossRef] [PubMed]
- Boari, B.; Salmi, R.; Gallerani, M.; Malagoni, A.M.; Manfredini, F.; Manfredini, R. Acute myocardial infarction: Circadian, weekly and seasonal patterns of occurrence. Biol. Rhythm Res. 2007, 38, 155–167. [Google Scholar] [CrossRef]
- Janszky, I.; Ljung, R. Shifts to and from daylight saving time and incidence of myocardial infarction. N. Engl. J. Med. 2008, 359, 1966–1968. [Google Scholar] [CrossRef] [PubMed]
- Culic, V. Daylight saving time transitions and acute myocardial infarction. Chronobiol. Int. 2013, 30, 662–668. [Google Scholar] [CrossRef]
- Jiddou, M.R.; Pica, M.; Boura, J.; Qu, L.; Franklin, B.A. Incidence of myocardial infarction with shifts to and from daylight savings time. Am. J. Cardiol. 2013, 111, 631–635. [Google Scholar] [CrossRef]
- Kirchberger, I.; Wolf, K.; Heier, M.; Kuch, B.; von Scheidt, W.; Peters, A.; Meisinger, C. Are daylight saving time transitions associated with changes in myocardial infarction incidence? Results from the German MONICA/KORA Myocardial Infarction Registry. BMC Public Health 2015, 15, 778. [Google Scholar] [CrossRef]
- Sandhu, A.; Seth, M.; Gurm, H.S. Daylight savings time and myocardial infarction. Open Heart 2014, 1, e000019. [Google Scholar] [CrossRef]
- Sipila, J.O.; Rautava, P.; Kyto, V. Association of daylight saving time transitions with incidence and in-hospital mortality of myocardial infarction in Finland. Ann. Med. 2016, 48, 10–16. [Google Scholar] [CrossRef]
- Derks, L.; Houterman, S.; Geuzebroek, G.S.C.; van der Harst, P.; Smits, P.C.; PCI Registration Committee of the Netherlands Heart Registration. Daylight saving time does not seem to be associated with number of percutaneous coronary interventions for acute myocardial infarction in the Netherlands. Neth. Heart J. 2021, 29, 427–432. [Google Scholar] [CrossRef]
- Manfredini, R.; Fabbian, F.; Cappadona, R.; De Giorgi, A.; Bravi, F.; Carradori, T.; Flacco, M.E.; Manzoli, L. Daylight Saving Time and Acute Myocardial Infarction: A Meta-Analysis. J. Clin. Med. 2019, 8, 404. [Google Scholar] [CrossRef]
- Kantermann, T.; Eastman, C.I. Circadian phase, circadian period and chronotype are reproducible over months. Chronobiol. Int. 2018, 35, 280–288. [Google Scholar] [CrossRef]
- Kantermann, T.; Sung, H.; Burgess, H.J. Comparing the morningness-eveningness questionnaire and munich chronotype questionnaire to the dim light melatonin onset. J. Biol. Rhythm. 2015, 30, 449–453. [Google Scholar] [CrossRef] [PubMed]
- Merikanto, I.; Lahti, T.; Puolijoki, H.; Vanhala, M.; Peltonen, M.; Laatikainen, T.; Vartiainen, E.; Salomaa, V.; Kronholm, E.; Partonen, T. Associations of chronotype and sleep with cardiovascular diseases and type 2 diabetes. Chronobiol. Int. 2013, 30, 470–477. [Google Scholar] [CrossRef]
- Kantermann, T.; Juda, M.; Merrow, M.; Roenneberg, T. The human circadian clock’s seasonal adjustment is disrupted by daylight saving time. Curr. Biol. 2007, 17, 1996–2000. [Google Scholar] [CrossRef] [PubMed]
- Roenneberg, T.; Kuehnle, T.; Pramstaller, P.P.; Ricken, J.; Havel, M.; Guth, A.; Merrow, M. A marker for the end of adolescence. Curr. Biol. 2004, 14, R1038–R1039. [Google Scholar] [CrossRef] [PubMed]
- Culic, V.; Kantermann, T. Acute Myocardial Infarction and Daylight Saving Time Transitions: Is There a Risk? Clocks Sleep 2021, 3, 547–557. [Google Scholar] [CrossRef]
- Zhang, H.; Dahlén, T.; Khan, A.; Edgren, G.; Rzhetsky, A. Measurable health effects associated with the daylight saving time shift. PLoS Comput. Biol. 2020, 16, e1007927. [Google Scholar] [CrossRef]
- Meira, E.C.M.; Miyazawa, M.; Manfredini, R.; Cardinali, D.; Madrid, J.A.; Reiter, R.; Araujo, J.F.; Agostinho, R.; Acuña-Castroviejo, D. Impact of daylight saving time on circadian timing system: An expert statement. Eur. J. Intern. Med. 2019, 60, 1–3. [Google Scholar] [CrossRef]
- Thygesen, K.; Alpert, J.S.; Jaffe, A.S.; Chaitman, B.R.; Bax, J.J.; Morrow, D.A.; White, H.D.; Executive Group on behalf of the Joint European Society of Cardiology (ESC)/American College of Cardiology (ACC)/American Heart Association (AHA)/World Heart Federation (WHF) Task Force for the Universal Definition of Myocardial Infarction. Fourth Universal Definition of Myocardial Infarction. Circulation 2018, 138, e618–e651. [Google Scholar] [CrossRef]
- St John Sutton, M.; Lee, D.; Rouleau, J.L.; Goldman, S.; Plappert, T.; Braunwald, E.; Pfeffer, M.A. Left ventricular remodeling and ventricular arrhythmias after myocardial infarction. Circulation 2003, 107, 2577–2582. [Google Scholar] [CrossRef]
- Clifford, C.R.; Le May, M.; Chow, A.; Boudreau, R.; Fu, A.Y.N.; Barry, Q.; Chong, A.Y.; So, D.Y.F. Delays in ST-Elevation Myocardial Infarction Care During the COVID-19 Lockdown: An Observational Study. CJC Open 2020, 3, 565–573. [Google Scholar] [CrossRef] [PubMed]
- Solomon, M.D.; McNulty, E.J.; Rana, J.S.; Leong, T.K.; Lee, C.; Sung, S.H.; Ambrosy, A.P.; Sidney, S.; Go, A.S. The COVID-19 Pandemic and the Incidence of Acute Myocardial Infarction. N. Engl. J. Med. 2020, 383, 691–693. [Google Scholar] [CrossRef] [PubMed]
- Yong, C.M.; Graham, L.; Beyene, T.J.; Sadri, S.; Hong, J.; Burdon, T.; Fearon, W.F.; Asch, S.M.; Turakhia, M.; Heidenreich, P. Myocardial Infarction Across COVID-19 Pandemic Phases: Insights From the Veterans Health Affairs System. J. Am. Heart Assoc. 2023, 12, e029910. [Google Scholar] [CrossRef] [PubMed]
- La Vecchia, G.; Del Buono, M.G.; Bonaventura, A.; Vecchiè, A.; Moroni, F.; Cartella, I.; Saponara, G.; Campbell, M.J.; Dagna, L.; Ammirati, E.; et al. Cardiac Involvement in Patients with Multisystem Inflammatory Syndrome in Adults. J. Am. Heart Assoc. 2024, 13, e032143. [Google Scholar] [CrossRef]
- Fan, Y.; Wu, Y.; Peng, Y.; Zhao, B.; Yang, J.; Bai, L.; Ma, X.; Yan, B. Sleeping Late Increases the Risk of Myocardial Infarction in the Middle-Aged and Older Populations. Front. Cardiovasc. Med. 2021, 8, 709468. [Google Scholar] [CrossRef]
- Grandner, M.A.; Alfonso-Miller, P.; Fernandez-Mendoza, J.; Shetty, S.; Shenoy, S.; Combs, D. Sleep: Important considerations for the prevention of cardiovascular disease. Curr. Opin. Cardiol. 2016, 31, 551–565. [Google Scholar] [CrossRef]
- De Koninck, J.; Nixon, A.; Godbout, R. The practice of Daylight Saving Time in Canada: Its suitability with respect to sleep and circadian rhythms. Can. J. Public Health 2024, 115, 276–281. [Google Scholar] [CrossRef]
- Satterfield, B.A.; Dikilitas, O.; Van Houten, H.; Yao, X.; Gersh, B.J. Daylight Saving Time Practice and the Rate of Adverse Cardiovascular Events in the United States: A Probabilistic Assessment in a Large Nationwide Study. Mayo Clin. Proc. Innov. Qual. Outcomes 2024, 8, 45–52. [Google Scholar] [CrossRef]



| Total (n = 1058) | Control Group * (n = 696) | Transition Group * (n = 362) | Pre-COVID-19 (n = 611) | Post-COVID-19 (n = 447) | |
|---|---|---|---|---|---|
| Mean age | 65 ± 12 | 65 ± 12 | 65 ± 12 | 64 ± 12 | 65 ± 12 |
| Women | 284 (27%) | 177 (25%) | 107 (30%) | 162 (27%) | 122 (27%) |
| BMI (kg/m2) | 28 ± 6 | 28 ± 6 | 28 ± 6 | 28 ± 6 | 28 ± 6 |
| Hypertension | 543 (51%) | 361 (52%) | 182 (50%) | 325 (53%) | 219 (49%) |
| Dyslipidemia | 502 (47%) | 343 (49%) | 159 (44%) | 293 (48%) | 209 (47%) |
| Diabetes mellitus | 256 (24%) | 173 (25%) | 83 (23%) | 158 (26%) | 98 (22%) |
| Family history of CAD | 145 (14%) | 103 (15%) | 42 (12%) | 91 (15%) | 54 (12%) |
| Smoking status | |||||
| Never | 531 (50%) | 341 (49%) | 190 (53%) | 276 (45%) | 255 (57%) |
| Former | 215 (20%) | 149 (21%) | 66 (18%) | 135 (22%) | 80 (18%) |
| Current | 312 (30%) | 206 (30%) | 106 (29%) | 200 (33%) | 112 (25%) |
| Prior MI | 199 (19%) | 133 (19%) | 66 (18%) | 114 (19%) | 85 (19%) |
| Prior AF | 58 (6%) | 39 (6%) | 19 (5%) | 37 (6%) | 21 (5%) |
| Prior PCI | 180 (17%) | 119 (17%) | 61 (17%) | 100 (16%) | 80 (18%) |
| Prior CABG | 84 (8%) | 58 (8%) | 26 (7%) | 54 (9%) | 30 (7%) |
| Medications before admission | |||||
| Aspirin | 275 (26%) | 184 (26%) | 91 (25%) | 158 (26%) | 117 (26%) |
| Beta blockers | 211 (20%) | 142 (20%) | 69 (19%) | 121 (20%) | 90 (20%) |
| Statins | 331 (31%) | 222 (32%) | 109 (30%) | 188 (31%) | 143 (32%) |
| Rate of AMI per Day | IRR | 95% CI | p Value | |
|---|---|---|---|---|
| Total | ||||
| Control group | 1.78 | 1.04 | 0.91–1.18 | 0.56 |
| Transition group | 1.85 | |||
| Spring transition | ||||
| Control group | 1.68 | 1.05 | 0.87–1.26 | 0.66 |
| Transition group | 1.76 | |||
| Fall transition | ||||
| Control group | 1.88 | 1.03 | 0.86–1.23 | 0.74 |
| Transition group | 1.94 | |||
| Sundays (Day 0 after DST) | ||||
| Control group | 1.78 | 1.17 | 0.80–1.70 | 0.43 |
| Transition group | 2.07 | |||
| Women | ||||
| Control group | 0.45 | 1.21 | 0.95–1.54 | 0.13 |
| Transition group | 0.55 | |||
| Men | ||||
| Control group | 1.32 | 0.98 | 0.84–1.15 | 0.83 |
| Transition group | 1.30 | |||
| STEMI | ||||
| Control group | 1.31 | 0.99 | 0.85–1.15 | 0.91 |
| Transition group | 1.30 | |||
| NSTEMI | ||||
| Control group | 0.46 | 1.19 | 0.93–1.52 | 0.17 |
| Transition group | 0.55 | |||
| Pre-COVID-19 (2016–2019) | ||||
| Control group | 1.71 | 1.19 | 1.01–1.41 | 0.04 |
| Transition group | 2.04 | |||
| Post-COVID-19 (2020–2022) | ||||
| Control group | 1.86 | 0.86 | 0.70–1.05 | 0.14 |
| Transition group | 1.60 | |||
| Overall CK-MB (µg/L) | Transition Group CK-MB (µg/L) | Control Group CK-MB (µg/L) | p Value | |
|---|---|---|---|---|
| Overall cohort | 110 ± 226 | 107 ± 179 | 112 ± 246 | 0.776 |
| Pre-COVID-19 | 113 ± 257 | 90 ± 140 | 127 ± 306 | 0.085 |
| Post-COVID-19 | 106 ± 174 | 137 ± 229 | 93 ± 142 | 0.013 |
Disclaimer/Publisher’s Note: The statements, opinions and data contained in all publications are solely those of the individual author(s) and contributor(s) and not of MDPI and/or the editor(s). MDPI and/or the editor(s) disclaim responsibility for any injury to people or property resulting from any ideas, methods, instructions or products referred to in the content. |
© 2024 by the authors. Licensee MDPI, Basel, Switzerland. This article is an open access article distributed under the terms and conditions of the Creative Commons Attribution (CC BY) license (https://creativecommons.org/licenses/by/4.0/).
Share and Cite
Al Samarraie, A.; Godbout, R.; Goupil, R.; Suarasan, C.P.; Kanj, S.; Russo, M.; Dano, M.; Roy, J.; Reiher, L.; Rousseau, G.; et al. The Association Between Daylight Saving Time and Acute Myocardial Infarction in Canada. Hearts 2024, 5, 575-583. https://doi.org/10.3390/hearts5040044
Al Samarraie A, Godbout R, Goupil R, Suarasan CP, Kanj S, Russo M, Dano M, Roy J, Reiher L, Rousseau G, et al. The Association Between Daylight Saving Time and Acute Myocardial Infarction in Canada. Hearts. 2024; 5(4):575-583. https://doi.org/10.3390/hearts5040044
Chicago/Turabian StyleAl Samarraie, Ahmad, Roger Godbout, Remi Goupil, Catalin Paul Suarasan, Samaya Kanj, Melina Russo, Mathilde Dano, Justine Roy, Laurence Reiher, Guy Rousseau, and et al. 2024. "The Association Between Daylight Saving Time and Acute Myocardial Infarction in Canada" Hearts 5, no. 4: 575-583. https://doi.org/10.3390/hearts5040044
APA StyleAl Samarraie, A., Godbout, R., Goupil, R., Suarasan, C. P., Kanj, S., Russo, M., Dano, M., Roy, J., Reiher, L., Rousseau, G., & Pichette, M. (2024). The Association Between Daylight Saving Time and Acute Myocardial Infarction in Canada. Hearts, 5(4), 575-583. https://doi.org/10.3390/hearts5040044

