Abstract
Cobalt electrochemical deposition, with its bottom–up growth properties, is a core technology for creating metal interconnects. Additives are crucial during electrodeposition to control the quality of deposits by adsorbing onto the Co surface. The functional groups of additive molecules are the key to tailoring the adsorption behavior. This study focuses on heteroaromatic thiol additives, including 2-mercaptobenzimidazole (MBI), 2-mercapto-5-benzimidazolesulfonic acid sodium salt dehydrate (MBIS), and 2-mercaptobenzoxazole (MBO). Cyclic voltammetry, chronopotentiometry, quantum chemical calculations, and characterization tests were employed to investigate the adsorption behavior of additive molecules with different functional groups on cobalt. The results indicate that the inhibitory strength of the three additives on electrodeposition follows the following order: MBI > MBIS > MBO. The strong inhibitory effect of MBI primarily stems from the adsorption of the thiol group, the pyridine-like nitrogen in the heterocycle, and the benzene ring. MBIS exhibits reduced inhibitory capability due to the combined effects of the sulfonic acid group and hydrolysis ionization. MBO, with the introduction of an oxygen atom in the heterocycle, shows the weakest adsorption and inhibitory capability among the three.
1. Introduction
With the continuous advancement of semiconductor technology, the dimension of metal interconnect lines continues to shrink. Copper, as the traditional interconnect material, faces a sharp increase in resistivity due to enhanced electron scattering at sidewalls and grain boundaries caused by its small electron mean-free path. Additionally, strong copper electromigration in silicon dioxide makes it necessary to form a relatively thick barrier layer, which has even higher resistivity [1,2]. Therefore, an alternative interconnect material is required to replace copper. Cobalt, as a promising new interconnect material that is superior to copper in certain situations, has attracted widespread attention due to its relatively low resistivity at small sizes because of its small electron mean-free path, good thermal stability, and strong resistance to electromigration, making it a promising candidate for the next generation of metal interconnects and resulting in its commercial application [3,4,5].
Electrodeposition is an excellent cobalt deposition process due to its bottom–up growth characteristics, controllable quality of deposition layers, low cost, and ease to scale up [6,7,8]. The cobalt electrodeposition solution primarily consists of cobalt sulfate, boric acid, and additives. The organic additives in cobalt electroplating solutions are critical to tuning the quality of Co deposits. Additives, particularly inhibitors, enable gap-free trench filling, prevent the premature closure of trench openings, improve micro-morphology, and control crystal structure [9,10,11,12,13].
The inhibitory effect of additives mainly stems from the adsorption of their functional groups on the Co surface. Therefore, additive molecules, with different functional groups, exhibit varying inhibitory effects. It is crucial to investigate the effect of functional groups in molecules on electroplating performance [14]. Heteroaromatic thiol molecules have been reported as a potential electroplating inhibitor. Kang et al. investigated the effect of 2-mercaptobenzimidazole on the filling morphology of Co into submicron trenches [15,16]. Cui et al. studied the adsorption mechanism of 2-mercaptobenzimidazole on gold surfaces where the thiol group is the main functional group attached to the gold surface [17]. DFT calculations have been utilized to study the adsorption of additive molecules on metals, showing that sulfur atoms in thiol-based molecules exhibit adsorption phenomena on the copper surface [18]. These studies reported the adsorption of heteroaromatic thiol molecules onto transition metals and highlight the potential application for cobalt electroplating. However, the effect of different functional groups on the adsorption behavior of these molecules on cobalt surface has not been systematically studied.
This study investigated the adsorption of heteroaromatic thiol molecules on cobalt surfaces and their impact on the morphology and crystal structure of electroplated cobalt film. Additionally, the chemical environment around functional groups was modified to tune the electrostatic potential and adsorption energy of additives. The selected additive molecules are 2-mercaptobenzimidazole (MBI), 2-mercapto-5-benzimidazolesulfonic acid sodium salt dihydrate (MBIS), and 2-mercaptobenzoxazole (MBO), all of which are heteroaromatic thiol derivatives with primary functional groups including thiol and imidazole ring. Cyclic voltammetry and constant current electrodeposition were utilized to investigate the electrochemical reaction of cobalt deposited in the solutions containing different additives. The morphology, crystal structure, and resistivity of the electrodeposited cobalt films were characterized. Furthermore, computational methods were used to study the molecular adsorption mechanisms, particularly the effects of adding a sulfonic acid group to the MBI molecule and replacing the nitrogen atom in the heterocycle on adsorption and electroplating. The findings provide reference and guidance for the screening and modification of new additive molecules.
2. Materials and Methods
2.1. Materials and Instruments
The reagents used in this study include cobalt sulfate heptahydrate (CoSO4·7H2O, 99.99%), boric acid (H3BO3, 99.99%), 2-mercaptobenzimidazole (MBI), 2-mercapto-5-benzimidazolesulfonic acid sodium salt dihydrate (MBIS), and 2-mercaptobenzoxazole (MBO). The experiment employed a cobalt sulfate–boric acid system as the base plating solution, with a composition of 0.05 mol/L Co2⁺ and 0.485 mol/L H3BO3. The type and concentration of additives were used as variables, with concentrations set at 50 ppm and 100 ppm by mass fraction.
2.2. Electrochemical Experiments
A multi-channel electrochemical workstation, model M204 (Metrohm, Herisau, Switzerland), was used for the electrochemical experiments. A standard three-electrode system was adopted, with a silver/silver chloride (Ag/AgCl electrode immersed in a saturated KCl solution) reference electrode, a platinum sheet counter electrode, and a working electrode of an Au/Ti/Si substrate. Constant current electrodeposition was performed under additive-free and additive-containing conditions. All electrochemical experiments were conducted at room temperature.
2.3. Characterization and Testing Procedures
The morphology of the electrodeposited cobalt films was observed using a Field Emission Scanning Electron Microscope (FESEM, JSM-7800F, JEOL, Tokyo, Japan). The crystal structure of the cobalt films was characterized by X-ray diffraction (XRD, Bruker D8 Discover, Bruker, Berlin, Germany). The sheet resistance of the films was measured using a four-point probe resistivity tester(KEITHLEY 4200A-SCS, Keithley Instruments, Cleveland, OH, USA), with each resistance value measured five times and averaged.
2.4. Quantum Chemical Calculations
Quantum chemical calculations were performed using Gaussian 16, employing the B3LYP method within the framework of Density Functional Theory (DFT). Geometry optimization was carried out at the 6-311G basis set level. The highest occupied molecular orbital (HOMO), the lowest unoccupied molecular orbital (LUMO), the energy gap (ΔE = E_LUMO − E_HOMO), and the electrostatic potential distribution were analyzed to evaluate the adsorption capability of the additives on the metal surface and to identify reactive sites.
To simulate the adsorption interactions between the additives and the Co surface, all DFT calculations, including total energy calculations and perform geometry optimizations, were performed by using projector augmented wave (PAW) and generalized gradient approximation (GGA) potentials, with the Perdew–Burke–Ernzerhof (PBE) exchange-correlation functional implemented in the Vienna ab initio simulation package (VASP). To improve the description of the long-range interaction, we employed the DFT-D3 method of Grimme, as implemented in VASP. The cut-off energy was set at 450 eV, which gave bulk energies that converged to within 0.001 eV/atom. It is known that cobalt has two crystal structures: the face-centered cubic (FCC) phase and the hexagonal close-packed (HCP) phase. In our experiment, cobalt exists mainly in the HCP phase. Thus, the slab models used here had the most stable HCP (002) surfaces modeled by periodic slabs consisting four-layer 4 × 4 supercells and were separated by a vacuum of 20 Å for accurate surface energy calculations. Monkhorst–Pack k-points sampling of 2 × 2 × 1 were used. The adsorbate molecule and the two top-most surface layers were allowed to relax during structural optimization, while the rest of the atoms in the slab were fixed. The interaction energy was determined by ∆Ead = Ecomplex − (Esurface + Eadditive), where Ecomplex, Esurface, and Eadditive are the total energy of the optimized Co-additive complex, the cobalt surface, and the isolated additive molecule, respectively.
3. Results
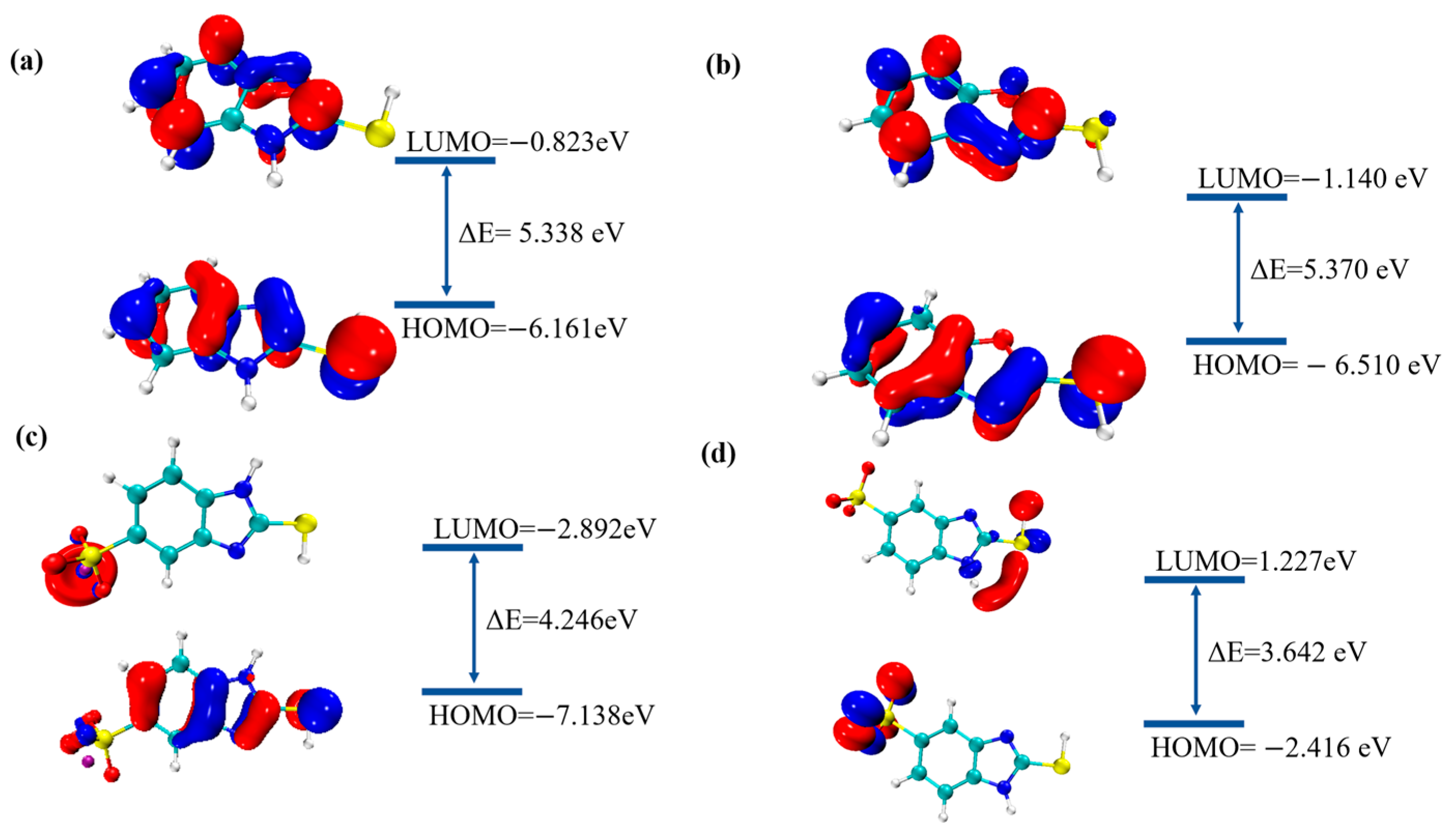
For MBI, MBO, and MBIS molecules in aqueous solution, MBI and MBO exhibit weak dissociation capabilities, while MBIS, as a sodium salt, exists in the form of negatively charged MBIS− ions in the plating solution. To predict the reactivity of these molecules with the metal surface and to clarify the roles of different functional groups, this study employed DFT calculations to obtain the HOMO, LUMO distributions, related energies (E_HOMO, E_LUMO, and ΔE), and electrostatic potentials of MBI, MBO, MBIS, and MBIS−. Figure 1 illustrates the molecular orbitals, HOMO and LUMO values, and the energy gap (ΔE) of MBI, MBO, MBIS, and MBIS−. From the HOMO and LUMO distributions, it can be observed that unlike the neutral MBI, MBO, and MBIS molecules, the electron density of MBIS− is primarily concentrated around the thiol and sulfonic acid groups, indicating strong chemical reactivity in these functional groups. Generally, a higher E_HOMO value suggests a stronger electron-donating ability, while a lower E_LUMO value indicates a stronger electron-accepting ability. Therefore, ΔE (ΔE = E_LUMO − E_HOMO) can be used to assess the ease of organic molecule adsorption on the metal surface, with a smaller ΔE value indicating easier adsorption. The ΔE values follow the order: E_MBO > E_MBI > E_MBIS > E_MBIS−, where E_MBIS− and E_MBIS are significantly smaller than E_MBO and E_MBI, suggesting that the introduction of the sulfonic acid group theoretically enhances the adsorption capability of MBIS− and MBIS on the metal surface.
Figure 1.
Quantum chemical calculation results of (a) MBI (b) MBO (c) MBIS, and (d) MBIS molecules: the highest occupied molecular orbital (HOMO), the lowest unoccupied orbital (LUMO), and the energy gap.
Figure 2 shows the electrostatic potential maps of MBI, MBO, MBIS, and MBIS−, providing a visual representation of the electron density of the functional groups. Blue regions represent electron-rich areas with low potential values, while red regions indicate electron-deficient areas. Comparing MBI and MBO, for MBI, the two nitrogen atoms exert opposite effects on the benzene ring—the pyridine-like nitrogen has an electron-withdrawing effect, resulting in high electron density, while the pyrrole-like nitrogen has an electron-donating effect, leading to low electron density. In contrast, for MBO, both the nitrogen and oxygen atoms have electron-withdrawing effects, collectively reducing the electron density of the benzene ring. As a result, the benzene ring of MBO has a lower electron density than that of MBI, making it less capable of undergoing electrophilic reactions. Comparing MBI and MBIS, it is evident that the sulfonic acid group, as a strong electron-withdrawing group, increases the electron density around itself while significantly reducing the electron density of the benzene ring. This indicates that the adsorption of MBIS on the cobalt surface is more likely to occur at the sulfonic acid group, the pyridine-like nitrogen, and the thiol group.
Figure 2.
The electrostatic potential map of (a) MBI, (b) MBO, (c) MBIS, and (d) MBIS−.
To understand the electrochemical characteristics of the additive solutions, cyclic voltammetry tests were conducted on solutions containing the same concentration of additives using a three-electrode system. The CV test potential scanning range was set from 1.0 to −1.5 V vs. Ag/AgCl, with the potential starting at 0 V relative to the reference electrode with a scanning rate of 10 mV/s. The test results under different additive conditions are shown in Figure 3. Electroplating inhibitors adsorb onto the active sites on the electrode surface, forming a molecular barrier that hinders metal ions from approaching the electrode interface. This leads to a higher onset potential for the reduction reaction, resulting in a negative shift in the initial potential on the curve.
Figure 3.
Voltametric curves of cobalt electrodeposition: (a) Multi-additive CV, (b) multi-additive LSV, (c) multi-concentration MBI, (d) multi-concentration MBO, (e) multi-concentration MBIS.
As shown in Figure 3, the onset potential for cobalt electrodeposition is −0.81 V under additive-free conditions. The onset potentials shifted negatively to −1.23 V, −0.98 V, and −0.96 V with the addition of MBI, MBIS, and MBO in the electrolyte, respectively. This indicates that reduction reaction of cobalt was inhibited by these three additives, and the strength of the inhibitory effect followed this order: MBI > MBIS > MBO. This result does not fully align with the adsorption capability order (MBIS > MBI > MBO) derived from the energy gap calculations. The main discrepancy lies in the inhibitory effect of MBIS on cobalt deposition. According to the calculations, MBIS should have a stronger adsorption capability than MBI, theoretically. However, considering that MBIS is an ionic compound, the negatively charged MBIS− ions could be repelled by the negatively charged cathode during the electroplating process, therefore weakening the adsorption strength on the cobalt surface. Consequently, the inhibitory capability of MBIS lies between that of MBI and MBO, with a combined effect of sulfonic acid group adsorption and electric field repelling. The cyclic voltammetry experiments were conducted in the solution with additives and without cobalt ions. The results are shown in Figure S1. No reaction peak was observed on the CV curve of the additives without cobalt, indicating that the additives are relatively stable in the system. These data are available in the Supplementary Materials.
To investigate the effect of additive concentration on electrodeposition, CV tests were conducted at different concentrations for each of the three additives, as shown in Figure 3c–e. For all three additives, the onset potential showed minimal changes at mass fractions of 50 ppm and 100 ppm, indicating that increasing the concentration has an insignificant effect on the onset potential. For the oxidation peak, MBI significantly reduces the area of the oxidation peak and demonstrates its strong inhibitory effect, while MBO slightly increases the area of the oxidation peak, which may play a role in promoting the sedimentation process.
Cobalt thin films were deposited on substrates using the constant current electroplating process. The current density was fixed at 3 mA/cm2.
As shown in Figure 4a, the deposition potential of Co stabilized at −1.35 V, −1.21 V, and −1.01 V in the solution with MBI, MBO, and MBIS, respectively. A more negative equilibrium potential indicates that a higher potential is required to maintain the same current density, reflecting the inhibitory effect in this order: MBI > MBIS > MBO. This result is consistent with the onset potential trend observed in the CV tests. The strong adsorption effects of the thiol group, the pyridine-like nitrogen in the imidazole ring, and the benzene ring in MBI cause a significant negative shift in the equilibrium potential of electrodeposition. In contrast, the oxygen atom in the oxazole ring of MBO alters the electron distribution of the molecule, reducing its adsorption capability. Meanwhile, MBIS, under the combined influence of the sulfonic acid group, thiol group, pyridine-like nitrogen atom, and electric field repelling, exhibits an inhibitory capability stronger than MBO but weaker than MBI.
Figure 4.
Chronopotentiometric curves of constant current electrodeposition of cobalt (a) multi-additive, (b) multi-concentration MBI, (c) multi-concentration MBO, (d) multi-concentration MBIS.
The effect of additive concentration on Co electrodeposition was investigated, as shown in Figure 4b–d. For MBI, increasing the concentration from 50 ppm to 100 ppm shifted the deposition equilibrium potential from −1.35 V to −1.43 V, indicating a stronger inhibitory effect. For MBO, the deposition potential ultimately stabilized at approximately −1.01 V and −1.05 V, when the concentrations were 50 ppm and 100 ppm. From the perspective of deposition potential, MBO played a certain promoting role, while for MBIS, it stabilized at approximately −1.21 V and −1.23 V, when the concentrations were 50 ppm and 100 ppm. In all three cases, increasing the concentration of additives would result in a negative shift in the equilibrium potential and enhanced inhibition in the Co reduction reaction.
The morphology of the Co film deposited in the electrolyte with different additive molecules was examined using SEM, as shown in Figure 5. In the absence of additives, the cobalt film could fully cover the electrode surface, and the grain size was 18.8 nm, calculated from the XRD data shown in Table 1. With the addition of MBI, the cobalt film is not uniform due to the strong inhibitory effect, and micron-sized clusters appear on the surface [19]. In contrast, uniform cobalt films were deposited in the electrolyte with the addition of MBIS and MBO. The film surface was smoother compared to the one without additives. This phenomenon may be caused by the fact that proper inhibitors not only hinder the reduction of metal ions but also increase the number of nucleation sites, which ultimately refines the crystal grains and achieves a smooth and bright surface.
Figure 5.
Surface and cross-sectional SEM images of cobalt thin films with different additives; the concentration of additives was fixed at 50 ppm. (a,b) No additive, (c,d) MBI, (e,f) MBO, (g,h) MBIS.
Table 1.
Half-peak width, grain size, and sheet resistance of cobalt thin films with different concentrations of MBI and MBO at 50 ppm.
Additionally, the effects of different concentrations of additive molecules on the microstructure of Co were investigated. As shown in Figure 6, in the absence of additives, the thickness of the cobalt film was approximately 400 nm. Under the influence of 50 ppm and 100 ppm MBI, the film thickness reduced to 130–150 nm, and clusters with diameters of several tens of micrometers appeared on the surface. The formation of clusters on the Co surface results in a poor surface brightness [19,20].
Figure 6.
Surface and cross-sectional SEM images of cobalt thin films with different concentrations of MBI. (a,b) 50 ppm, (c,d) 100 ppm.
Figure 7 shows the microstructures of cobalt thin films with different concentrations of MBO. Compared to the additive-free morphology, MBO results in a smoother film surface and a reduced sharpness of grain boundaries. As the mass fraction of MBO increases, there is no significant change in grain size, but a small number of pits appear on the surface of the sample deposited with a 100 ppm MBO. The film thickness remains around 400 nm, which is comparable to the thickness of the additive-free film. From a microstructural perspective, MBO does not exhibit significant inhibitory effects but improves the flatness of the film.
Figure 7.
Surface and cross-sectional SEM images of cobalt thin films with different concentrations of MBO. (a,b) 50 ppm, (c,d) 100 ppm.
Figure 8 shows the microstructures of cobalt thin films deposited in the electrolyte with different concentrations of MBIS. At a concentration of 50 ppm, the cobalt film is relatively smooth, with a thickness of 400 nm. As the concentration of MBIS increases to 100 ppm, pits and protrusions appear on the surface of the film. The formation of pits and protrusions may result from increased polarization and hydrogen evolution due to the higher additive concentration. Hydrogen gas bubbles can increase the roughness of the coating [21,22]. The cross-sectional thickness remains around 400 nm.
Figure 8.
Surface and cross-sectional SEM images of cobalt thin films with different concentrations of MBIS. (a,b) 50 ppm, (c,d) 100 ppm.
To investigate the thermal stability of electrodeposited cobalt film, the sample was rapidly annealed at 150 °C for 60 s, and XRD, SEM, and resistivity data were measured.The data are shown in Figures S2 and S3, and Table S1 in the supplementary. The results indicate that cobalt film has good thermal stability. A set of experiments involving etching was added before characterization. The results are shown in Figures S4 and S5, and Table S2. The results indicate that the grain size is essentially consistent with that before etching.
Furthermore, the Co films were characterized by XRD to analyze the crystal structure, as shown in Figure 9. The standard cobalt reference (JCPDS card: 05-0727) indicates that the diffraction peaks at 2θ = 41.7°, 44.8°, and 47.6° correspond to the Co (100), Co (002), and Co (101) crystal planes, respectively.
Figure 9.
XRD patterns of electrodeposited cobalt thin films. (a) Multi-additive, (b) multi-concentration MBI, (c) multi-concentration MBO, (d) multi-concentration MBIS.
To analyze the preferred orientation of different crystal planes, the texture coefficient Tc is introduced. The parameter Tc (texture coefficient) is used to quantify the degree of preferred orientation for different crystal planes [23]:
In the equation, I(hkl) represents the X-ray diffraction intensity of the (hkl) plane, and I0(hkl) corresponds to the relative X-ray diffraction intensity of the (hkl) plane of cobalt without preferred orientation, as given in the reference JCPDS card#05-0727. The Tc values for the crystal planes of samples without additives and with 50 ppm of the three additives are shown in Table 2.
Table 2.
Preferred orientation of crystals in samples with different additives.
The XRD pattern of the additive-free film showed a referred orientation of (002). A diffraction peak at 38.2° was also observed, which corresponds to Ti from the substrate. Co films deposited with MBO and MBIS exhibited detectable Co (002) diffraction peaks. Additionally, the data did not show the diffraction peaks for the Co (100) and Co (101) directions, indicating that both additives induce selective crystal growth direction. In the case of MBI, the Co (002) diffraction peak was undetectable, suggesting that MBI strongly inhibited the (002) growth direction. XRD tests were also conducted on cobalt thin film samples with different concentrations of additives, as shown in Figure 9b–d. For MBI, the cobalt peaks can barely be observed at both concentrations, indicating that the Co films became amorphous due to the inhibitory effect of MBI. For MBO, only the Co (002) peak was detected at both concentrations. For MBIS, increasing the concentration had little effect on the peak intensity, and only the Co (002) peak was observed.
Table 1 presents the XRD half-peak width, grain size, and sheet resistance test results of Co films, with the additive concentration fixed at 50 ppm. Compared to the additive-free condition, the addition of all three additives increases the half-peak width and reduces the grain size. Under the influence of the three heteroaromatic thiol additives, the average grain sizes of Co were 12.6, 9.8, and 12.2 nm for MBI, MBO, and MBIS, respectively. The addition of these three molecules would increase the sheet resistance. These additives would restrict the growth of cobalt nuclei, leading to grain refinement, which would increase the grain boundaries and impurity of Co crystal, thereby exacerbating electron scattering and increasing the resistivity [24,25].
To further investigate the inhibitory effects of MBI, MBO, and MBIS molecules on cobalt deposition, this study conducted DFT calculations on the adsorption behavior of the three additive molecules on the cobalt (002) surface. Figure 10 shows the adsorption configurations and adsorption energies of MBI, MBO, MBIS, and MBIS−. All adsorbed molecules were parallel to the metal surface. In MBI and MBO, the benzene ring, pyridine-like nitrogen, oxazole nitrogen, and sulfur atom of the thiol group formed covalent bonds with cobalt atoms, consistent with the reactive sites predicted by the electrostatic potential analysis. Additionally, due to the strong interaction between the benzene and imidazole rings of the MBI and MBO molecules and the underlying Co surface, deformation of the benzene and imidazole rings was observed. In contrast, MBIS, influenced by the electron-withdrawing effect of its sulfonic acid group, forms bonds with cobalt atoms through the double-bonded oxygen atom of the sulfonic acid group and the sulfur atom of the thiol group, while the benzene and imidazole rings do not bond with cobalt.
Figure 10.
Equilibrium adsorption geometries and adsorption energies (eV) for (a) MBI, (b) MBO, (c) MBIS, and (d) MBIS− on the studied surface.
Generally, without considering external forces (such as electric fields or flow fields), the lower the adsorption energy, the stronger the adsorption capability of the molecule. As shown in Figure 10, the adsorption energies of MBI, MBO, and MBIS on the cobalt surface are −17.12 eV, −16.87 eV, and −25.49 eV, respectively, indicating that MBIS− and MBIS have the strongest adsorption capability, followed by MBI, and with MBO having the weakest. However, during the actual electrodeposition process, MBIS molecules hydrolyze to form negatively charged molecules (MBIS−), which experience repulsion from the cobalt coating acting as the cathode. This repulsion hinders the adsorption of MBIS− on the cobalt surface, ultimately resulting in a weaker inhibitory effect during cobalt electroplating. However, the current model simply assumes that the cobalt substrate is electrically neutral, neglecting charge interactions. A model which better reflects the actual electrodeposition environment to study the effects of additives on the cobalt surface could be developed in future work. Therefore, when designing and selecting electroplating additive molecules, it is essential to consider the influence of the charge carried by the molecules due to hydrolysis on their adsorption behavior on the metal electrode surface.
4. Conclusions
The inhibitory effect of additives stems from the adsorption of their functional groups. In this study, the inhibitory strength of 2-mercaptobenzimidazole(MBI), 2-mercapto-5-benzimidazolesulfonic acid sodium salt dihydrate (MBIS), and 2-mercaptobenzoxazole (MBO) on cobalt electrodeposition take the following order: MBI > MBIS > MBO. MBI, as a strong inhibitor, derives its adsorption capability from the thiol group, the pyridine-like nitrogen in the imidazole ring, and the benzene ring. The declined inhibitory effect of MBIS compared to MBI may be attributed to the combined influence of the sulfonic acid group and molecular hydrolysis. MBO exhibits a relatively low inhibitory effect because the oxygen atom in the oxazole ring replaces the pyrrole nitrogen in the imidazole ring of MBI, altering the electronic properties of the molecule and reducing its adsorption energy, making it the weakest inhibitor among the three. Co film, deposited in the additive-free solution, shows distinct grains and clear grain boundaries. However, by adding MBI into the solution, the deposited Co film formed micron-sized hemispherical clusters on the surface, caused by the strong adsorption of MBI on the Co surface. The cobalt films obtained by electrodeposition with MBIS and MBO primarily exhibit the Co (002) crystal plane. All three additives reduced the grain size and increased resistivity.
Supplementary Materials
The following supporting information can be downloaded at: https://www.mdpi.com/article/10.3390/electrochem6020016/s1, Figure S1: CVs of the additive in different solutions; Figure S2: XRD images of electrodeposited cobalt films after annealing; Figure S3: Surface and Cross-sectional SEM Images of Cobalt Films after annealing; Figure S4: XRD pattern of electroplated cobalt film after etching; Figure S5: Surface and Cross-sectional SEM Images of Cobalt Films after etching; Table S1: Half-peak width, grain size, and sheet resistance of cobalt films after annealing; Table S2: Half-peak width, grain size, and sheet resistance of cobalt films after etching.
Author Contributions
Conceptualization, Y.D. and T.W.; methodology, investigation, data curation, validation, Y.D., Y.L., T.W. and W.X.; supervision, T.W. and Y.W.; project design, funding acquisition, T.W., L.Z., Q.L., Y.W. and W.Y. All authors have read and agreed to the published version of the manuscript.
Funding
This work was supported in part by Shanghai Sailing Program under Grant 23YF1455900.
Institutional Review Board Statement
Not applicable.
Informed Consent Statement
Not applicable.
Data Availability Statement
The original contributions presented in this study are included in the article. Further inquiries can be directed to the corresponding author.
Conflicts of Interest
The authors declare no conflicts of interest.
References
- Dutta, S.; Beyne, S.; Gupta, A.; Kundu, S.; Van Elshocht, S.; Bender, H.; Jamieson, G.; Vandervorst, W.; Bömmels, J.; Wilson, C.J.; et al. Sub-100 nm2 Cobalt Interconnects. IEEE Electron Device Lett. 2018, 39, 731–734. [Google Scholar] [CrossRef]
- Andricacos, P.C. Copper on-chip interconnections: A breakthrough in electrodeposition to make better chips. Electrochem. Soc. Interface 1999, 8, 32–37. [Google Scholar] [CrossRef]
- Chen, H.C.; Standaert, T.E.; Alptekin, E.; Spooner, T.A.; Paruchuri, V. Interconnect performance and scaling strategy at 7 nm node. In Proceedings of the 2014 IEEE International Interconnect Technology Conference/Advanced Metallization Conference (IITC/AMC), San Jose, CA, USA, 20–23 May 2014. [Google Scholar]
- Wafula, F.; Wu, J.; Branagan, S.; Suzuki, H.; Eisden, J.V. Electrolytic cobalt fill of sub-5 nm node interconnect features. In Proceedings of the 2018 IEEE International Interconnect Technology Conference (IITC), Santa Clara, CA, USA, 4–7 June 2018. [Google Scholar]
- Mont, F.W.; Zhang, X.; Wang, W.; Kelly, J.J.; Ryan, E.T. Cobalt interconnect on same copper barrier process integration at the 7nm node. In Proceedings of the 2017 IEEE International Interconnect Technology Conference (IITC), HsinChu, Taiwan, 16–18 May 2017. [Google Scholar]
- Jezewski, C.J.; Clarke, J.S.; Indukuri, T.K.; Gstrein, F.; Zierath, D.J. Cobalt Based Interconnects and Methods of Fabrication Thereof. U.S. Patent 9,997,457, 12 June 2018. [Google Scholar]
- Adamowicz, N.; Clauss, R.; Klein, R.; Tremmel, R. Electrodeposition of Cobalt. U.S. Patent 3,814,674, 4 June 1974. [Google Scholar]
- Su, Y.Z.; Fu, Y.C.; Wei, Y.M.; Yan, J.W.; Mao, B.W. The electrode/ionic liquid interface: Electric double layer and metal electrodeposition. ChemPhysChem 2010, 11, 2764–2778. [Google Scholar] [CrossRef] [PubMed]
- Huang, Q.; Lyons, T.W.; Sides, W.D. Electrodeposition of cobalt for interconnect application: Effect of dimethylglyoxime. J. Electrochem. Soc. 2016, 163, D715. [Google Scholar] [CrossRef]
- Ni, X.; Chen, Y.; Jin, X.; Wang, C.; Huang, Y.; Hong, Y.; Su, X.; Zhou, G.; Wang, S.; He, W.; et al. Investigation of polyvinylpyrrolidone as an inhibitor for trench super-filling of cobalt electrodeposition—Sciencedirect. J. Taiwan Inst. Chem. Eng. 2020, 112, 232–239. [Google Scholar] [CrossRef]
- Sun, Z.; Wang, J. Effects of additives on via filling and pattern plating with simultaneous electroplating. Circuit World 2023, 49, 105–112. [Google Scholar] [CrossRef]
- Rigsby, M.A.; Spurlin, T.A.; Reid, J.D.; Reid, J. The multi-functional role of boric acid in cobalt electrodeposition and superfill. J. Electrochem. Soc. 2020, 167, 112507. [Google Scholar] [CrossRef]
- Dahms, W.; Fels, C.C.; Bauer, G. Aqueous, Acidic Solution and Method for Electrolytically Depositing Copper Coatings as Well as Use of Said Solution. U.S. Patent Application No. 10/566,913, 5 July 2020. [Google Scholar]
- Roy, S.; Pintauro, P.N. Analysis of Convective Mass Transfer by Potential Relaxation: V Copper Deposition in the Presence of Organic Plating Additives. J. Electrochem. Soc. 1993, 140, 3167. [Google Scholar] [CrossRef]
- Kang, J.; Sung, M.; Byun, J.; Kwon, O.J.; Kim, J.J. Proton sensitive additive for cobalt electrodeposition. J. Electrochem. Soc. 2020, 167, 122510. [Google Scholar] [CrossRef]
- Kang, J.; Sung, M.; Byun, J.; Kwon, O.J.; Kim, J.J. Superconformal cobalt electrodeposition with a hydrogen evolution reaction suppressing additive. J. Electrochem. Soc. 2020, 167, 162514. [Google Scholar] [CrossRef]
- Cui, B.; Chen, T.; Wang, D.; Wan, L.J. In situ STM evidence for the adsorption geometry of three N-heteroaromatic thiols on Au(111). Langmuir 2011, 27, 7614–7619. [Google Scholar] [CrossRef] [PubMed]
- Luo, A.; Luo, Y.; Chen, J. DFT study on the adsorption of mercaptophenyl collectors on the surface of chalcopyrite. J. Guangxi Univ. (Nat. Sci. Ed.) 2023, 48, 192–202. [Google Scholar]
- Wang, Z.; Wang, C.; Zhou, C.; Zhang, J. A brief discussion on brighteners for acidic copper plating and typical fault handling. Surf. Eng. Inf. 2014, 14, 13–18. [Google Scholar] [CrossRef]
- Yuan, S. Lecture 11: Faults of uneven and raised electroplating layers. Electroplat. Finish. 2009, 28, 48–52. [Google Scholar] [CrossRef]
- Chen, G.; Chen, Q. The principle and application of electroplating additives. Guangxi Chem. Ind. 1995, 17–19+26. [Google Scholar]
- Zhang, C.; Chen, B. Research on the influence of cathodic polarization on the surface treatment coating of copper foil. In Proceedings of the 2019 Annual Conference of China Copper Processing Industry and the China (Shaoxing) Copper Industry Development Summit Forum, Zhuji, China, 28 June 2019; China Nonferrous Metals Processing Industry Association: Beijing, China; Shaoxing Municipal People’s Government of Zhejiang Province: Shaoxing, China; Shanghai Futures Exchange: Shanghai, China, 2019. [Google Scholar]
- Gu, M.; Yang, F.Z.; Huang, L. Xrd study on highly preferred orientation cu electrodeposit. Electrochemistry 2002, 8, 282–287. [Google Scholar]
- Liu, R. Analysis of electroplating additives. Surf. Eng. Remanuf. 2022, 22, 15–22. [Google Scholar]
- Hu, Y.; Deb, S.; Li, D.; Huang, Q. Effects of organic additives on the impurity and grain structure of electrodeposited cobalt. Electrochim. Acta 2021, 368, 137594. [Google Scholar]
Disclaimer/Publisher’s Note: The statements, opinions and data contained in all publications are solely those of the individual author(s) and contributor(s) and not of MDPI and/or the editor(s). MDPI and/or the editor(s) disclaim responsibility for any injury to people or property resulting from any ideas, methods, instructions or products referred to in the content. |
© 2025 by the authors. Licensee MDPI, Basel, Switzerland. This article is an open access article distributed under the terms and conditions of the Creative Commons Attribution (CC BY) license (https://creativecommons.org/licenses/by/4.0/).









