SHM System for Multilevel Impact Detection of Full-Scale Composite Wing Box
Abstract
1. Introduction
2. Monitoring Methodology
2.1. Test Article Assembly Phase and Impact Location
- The bend radius is 2 cm.
- The sensor loop should be not less than 6 cm long.
- The measurement point(s) should be located at least 2.5 cm away from any bonded-to-unbonded transition regions or transition bends to mitigate strain transfer edge effects.
- To protect fiber from breakage, a Teflon tube can be slid over the fiber sensor and held down at these transition locations.
- A drop of silicone epoxy must be applied onto the end of the loose tube (Teflon) to hold it in place.
- Impact#2 is in the region of the stringer core and middle bay, where the thickness of the skin is around 7.5 mm—impact energy 50 J.
- Impact#3 is in the middle bay, where the thickness of the skin is around 5.0 mm—impact energy 50 J.
- Impact#4 is in the region of the stringer foot and middle bay, where the thickness of the skin is around 5.0 mm—impact energy 50 J.
2.2. SHM Systems Architectures
- Data acquisition, where the signals are recorded during aircraft parking according to the interrogation mode and stored for baseline signature analysis;
- Data processing, which deals with the analysis of stored data to extract features possibly affected by the damage (signal response);
- Decision-making process, where the minimum metrics associated with damage with reasonable confidence are established as a threshold level;
- Damage information, which deals with damage extension and position estimation.
2.2.1. FOS-Based Algorithm
- If the strain at the current acquisition instant of time (τ + Δτ) is not affected by any variation with respect to time evolution, it would be equal to the strain at time t and the two signals coincide, so the value of Equation (7) is maximized and corresponds to the auto-correlation.
- Similarly, also when the signal at different location points i-th and j-th coincide, Equation (7) is maximized and corresponds to the auto-correlation function.
2.2.2. PZT-Based Algorithm
3. Test Execution and Sensors Monitoring
- Phase I: Baseline acquisition, where diagnostic signals from PZTs are recorded to build the baseline dataset and FOS signal set to zero.
- Phase II: Impact testing, when impacts are carried out along with FOS- and PZT-based sensing to monitor the impact events.
- Phase III: Current acquisition, where diagnostic signals from PZTs are recorded to build the current dataset and distributed fiber optic sensor FOS is cross-correlated to record the local high edge onset information.
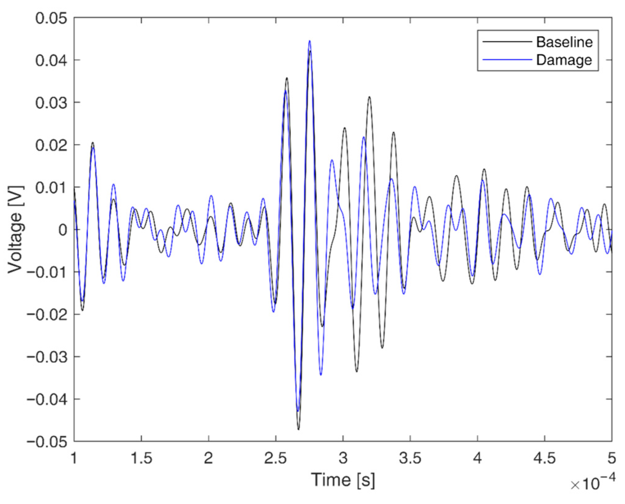
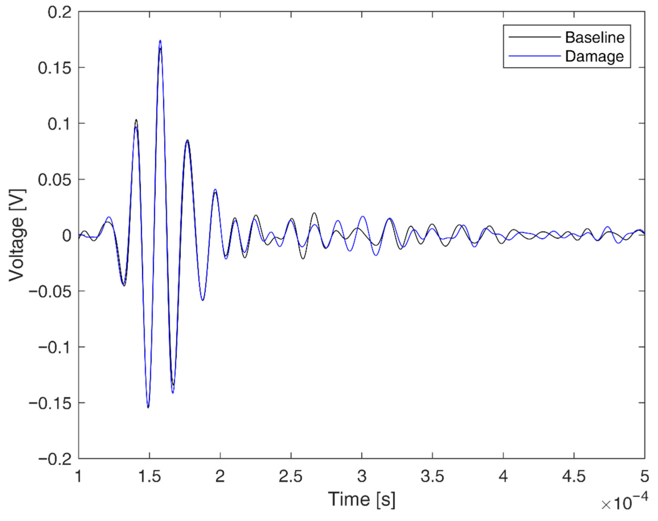
3.1. Impact #2
3.2. Impact #3
3.3. Impact #4
4. NDI vs. SHM Results Analysis
Discussion
5. Conclusions
Author Contributions
Funding
Institutional Review Board Statement
Informed Consent Statement
Data Availability Statement
Acknowledgments
Conflicts of Interest
References
- Jones, R. Mechanics of Composite Materials; Materials Science and Engineering Series; Taylor & Francis: Abingdon, UK, 1998. [Google Scholar]
- USA Department of Defense. MIL-HDBK 17-3F: Composite Materials Handbook; Department of Defense: Washington, DC, USA, 2002.
- US Department of Transportation—Federal Aviation Administration. AC No: 20-107B. Composite Aircraft Structure; US Department of Transportation—Federal Aviation Administration: Washington, DC, USA, 2009.
- Verhagen, W.J.C.; Santos, B.F.; Freeman, F.; van Kessel, P.; Zarouchas, D.; Loutas, T.; Yeun, R.C.K.; Heiets, I. Condition-Based Maintenance in Aviation: Challenges and Opportunities. Aerospace 2023, 10, 762. [Google Scholar] [CrossRef]
- Sundravel, K.; Jagadeesan, R.; Dhanush, A.; Kumar, A. A Review of Innovations, Challenges, and Future Directions in Structural Health Monitoring Using Smart Materials. J. Environ. Nanotechnol. 2025, 14, 464–478. [Google Scholar] [CrossRef]
- Yang, Z.; Yang, H.; Tian, T.; Deng, D.; Hu, M.; Ma, J.; Gao, D.; Zhang, J.; Ma, S.; Yang, L.; et al. A review on guided-ultrasonic-wave-based structural health monitoring: From fundamental theory to machine learning techniques. Ultrasonics 2023, 133, 107014. [Google Scholar] [CrossRef] [PubMed]
- Memmolo, V.; Pasquino, N.; Ricci, F. Experimental characterization of a damage detection and localization system for composite structures. Measurement 2018, 129, 381–388. [Google Scholar] [CrossRef]
- De Marchi, L.; Marzani, A.; Moll, J.; Kudela, P.; Radzieński, M.; Ostachowicz, W. A pulse coding and decoding strategy to perform Lamb wave inspections using simultaneously multiple actuators. Mech. Syst. Signal Process. 2017, 91, 111–121. [Google Scholar] [CrossRef]
- Zhou, Y.; Ma, Z.; Fu, L. A Review of Key Signal Processing Techniques for Structural Health Monitoring: Highlighting Non-Parametric Time-Frequency Analysis, Adaptive Decomposition, and Deconvolution. Algorithms 2025, 18, 318. [Google Scholar] [CrossRef]
- Ciminello, M.; Boffa, N.D.; Concilio, A.; Memmolo, V.; Monaco, E.; Ricci, F. Stringer debonding edge detection employing fiber optics by combined distributed strain profile and wave scattering approaches for non-model based SHM. Compos. Struct. 2019, 216, 58–66. [Google Scholar] [CrossRef]
- Falcetelli, F.; Yue, N.; Sante, R.; Zarouchas, D. Probability of detection, localization, and sizing: The evolution of reliability metrics in Structural Health Monitoring. Struct. Health Monit. 2021, 21, 2990–3017. [Google Scholar] [CrossRef]
- Tiwari, A. Chapter 2—Supervised learning: From theory to applications. In Artificial Intelligence and Machine Learning for EDGE Computing; Pandey, R., Khatri, S.K., Singh, N.K., Verma, P., Eds.; Academic Press: Cambridge, MA, USA, 2022; pp. 23–32. ISBN 9780128240540. [Google Scholar] [CrossRef]
- Monaco, E.; Memmolo, V.; Ricci, F.; Boffa, N.; Maio, L. Guided waves based SHM systems for composites structural elements: Statistical analyses finalized at probability of detection definition and assessment. In Proceedings of the SPIE Smart Structures and Materials + Nondestructive Evaluation and Health Monitoring, San Diego, CA, USA, 8–12 March 2015; Volume 9438. [Google Scholar]
- Gianneo, A.; Carboni, M.; Giglio, M. Feasibility study of a multi-parameter probability of detection formulation for a Lamb waves based structural health monitoring approach to light alloy aeronautical plates. Struct. Health Monit. 2017, 16, 225–249. [Google Scholar] [CrossRef]
- Ciminello, M.; Ameduri, S.; Galasso, B.; Romano, F.; Concilio, A. Numerical and Experimental Comparison of Impact Damage Detection by Using Distributed Fiber Optics on a Stiffened Composite Panel. In Dynamic Response and Failure of Composite Materials: DRAF 2022; Lopresto, V., Papa, I., Langella, A., Eds.; Lecture Notes in Mechanical Engineering; Springer: Cham, Switzerland, 2023. [Google Scholar] [CrossRef]
- Apuleo, G.; Ciminello, M.; Pellone, L.; Mercurio, U.; Concilio, A. Application of a Fiber Optic-Based SHM System to a Composite Aircraft Wing and Its Technological Maturity Evaluation. Eng. Proc. 2025, 90, 31. [Google Scholar] [CrossRef]
- Memmolo, V.; Maio, L.; Ricci, F. Assessment of Damage in Composite Pressure Vessels Using Guided Waves. Sensors 2022, 22, 5182. [Google Scholar] [CrossRef] [PubMed]



























| #ID Damage | FOS—SHM Damage Max Extension [mm] | PZT—SHM Damage Max Extension [mm] | NDI Damage Max Extension [mm] |
|---|---|---|---|
| #2 | Spike detection | N.A. | N.A. |
| #3 | 57 | 76 | 50 |
| #4 | 73 | 110 | 80 |
Disclaimer/Publisher’s Note: The statements, opinions and data contained in all publications are solely those of the individual author(s) and contributor(s) and not of MDPI and/or the editor(s). MDPI and/or the editor(s) disclaim responsibility for any injury to people or property resulting from any ideas, methods, instructions or products referred to in the content. |
© 2026 by the authors. Licensee MDPI, Basel, Switzerland. This article is an open access article distributed under the terms and conditions of the Creative Commons Attribution (CC BY) license.
Share and Cite
Ciminello, M.; Memmolo, V.; Sorrentino, A.; Romano, F. SHM System for Multilevel Impact Detection of Full-Scale Composite Wing Box. Appl. Mech. 2026, 7, 19. https://doi.org/10.3390/applmech7010019
Ciminello M, Memmolo V, Sorrentino A, Romano F. SHM System for Multilevel Impact Detection of Full-Scale Composite Wing Box. Applied Mechanics. 2026; 7(1):19. https://doi.org/10.3390/applmech7010019
Chicago/Turabian StyleCiminello, Monica, Vittorio Memmolo, Assunta Sorrentino, and Fulvio Romano. 2026. "SHM System for Multilevel Impact Detection of Full-Scale Composite Wing Box" Applied Mechanics 7, no. 1: 19. https://doi.org/10.3390/applmech7010019
APA StyleCiminello, M., Memmolo, V., Sorrentino, A., & Romano, F. (2026). SHM System for Multilevel Impact Detection of Full-Scale Composite Wing Box. Applied Mechanics, 7(1), 19. https://doi.org/10.3390/applmech7010019

