Seismic and Post-Seismic Ductility and Forces of Mid-Story Pin Moment-Resisting Frames Based on Scale of Local Deformation of I-Beam’s Segments
Abstract
1. Introduction
- (1)
- Describing the elastoplastic behavior considering the local loss of stability of the structural members using detailed numerical models of shell and solid elements.
- (2)
- Evaluating the relationship between the seismic performance and the scale of deformation of the individual members, i.e., I-beams.
- (3)
- Proposing equations to estimate the level of damage, residual stresses, and outstanding capacity in the disaster-caused damage evaluation.
2. Numerical Model Definition and Validation for Square Hollow Section (SHS) Columns and I-Beams Considering Local Buckling
3. Simplified Residual Strength Indices in I-Beams After Local Buckling
3.1. Estimation of Residual Stress Using Maximal Local Buckling Deformation
3.2. Parametric Analysis Affecting Residual Strength
3.2.1. Overview
3.2.2. Numerical Analysis with Various Parameters
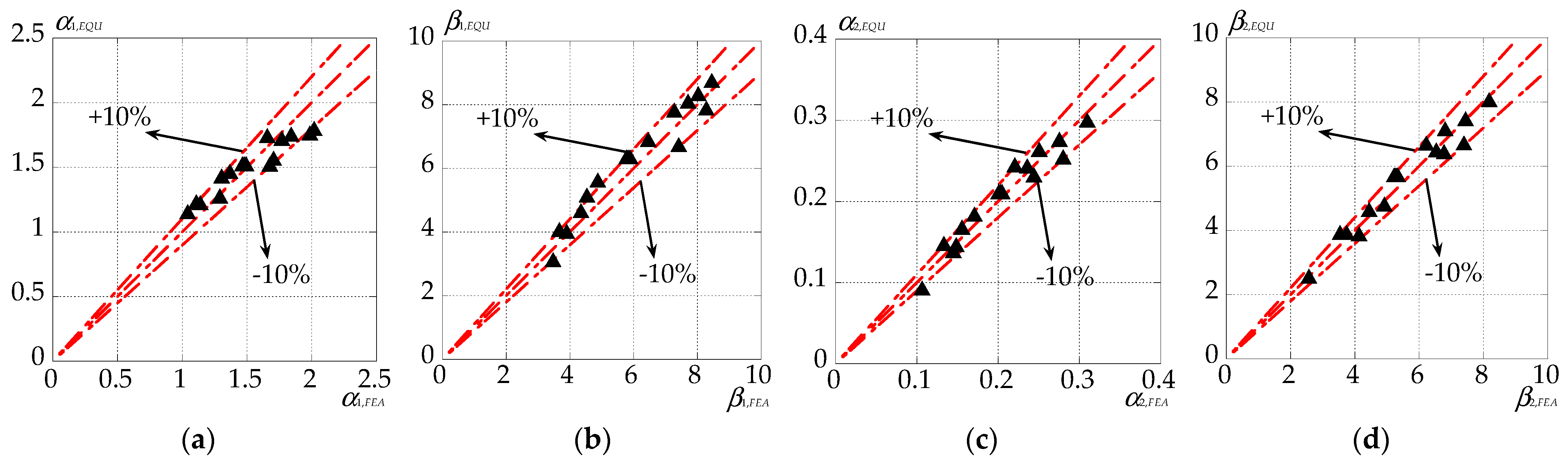
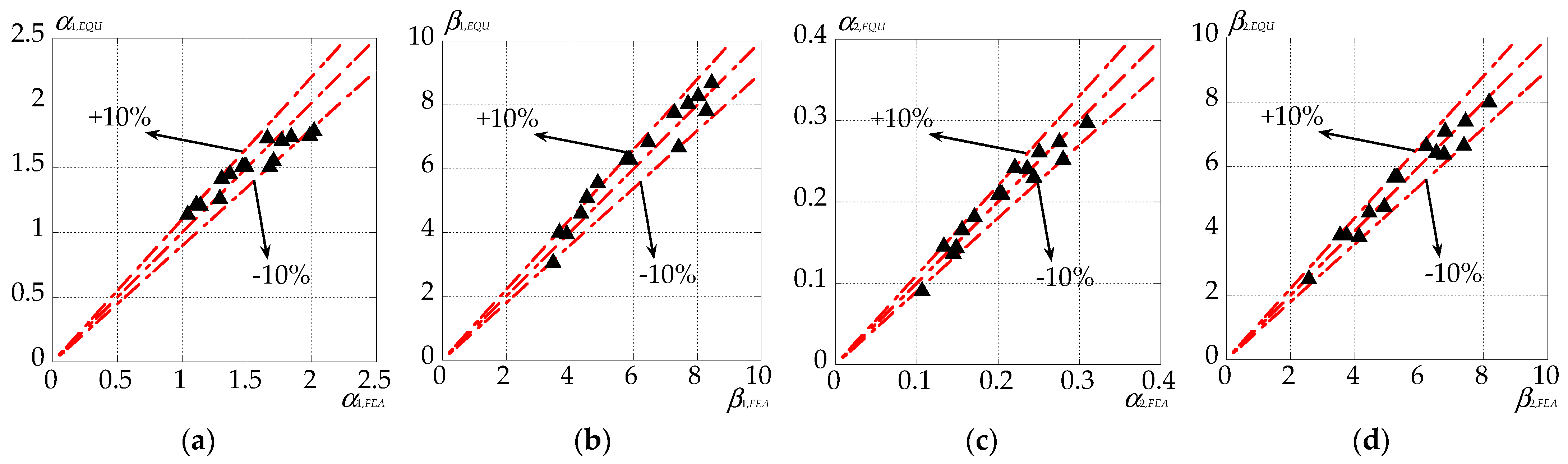
3.3. Simplified Formula for Residual Stress Evaluation
4. Static Pushover Analysis of a Three-Story Fishbone Frame with Mid-Story Pin Connections Considering Local Buckling
4.1. Numerical Model for Single-Story Cruciform Frame with Pin Connection
4.2. Overview of Three-Story Fishbone Frame Numerical Model with Mid-Story Pin Connection
4.3. Impact of Variable Parameters on the Ultimate Seismic Performance of the Frame
4.4. Method for Predicting Story’s Cumulative Plastic Ductility Based on Local Buckling Deformation
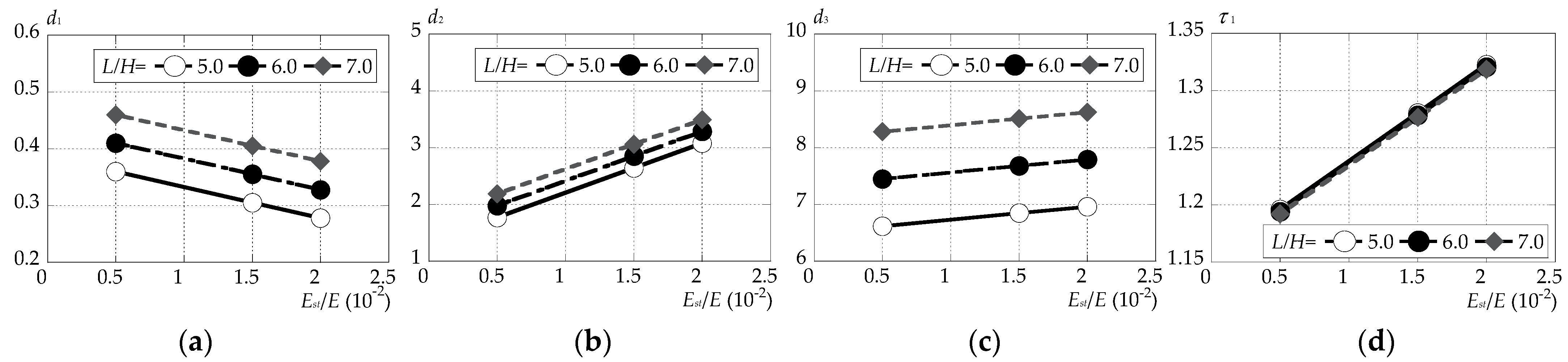
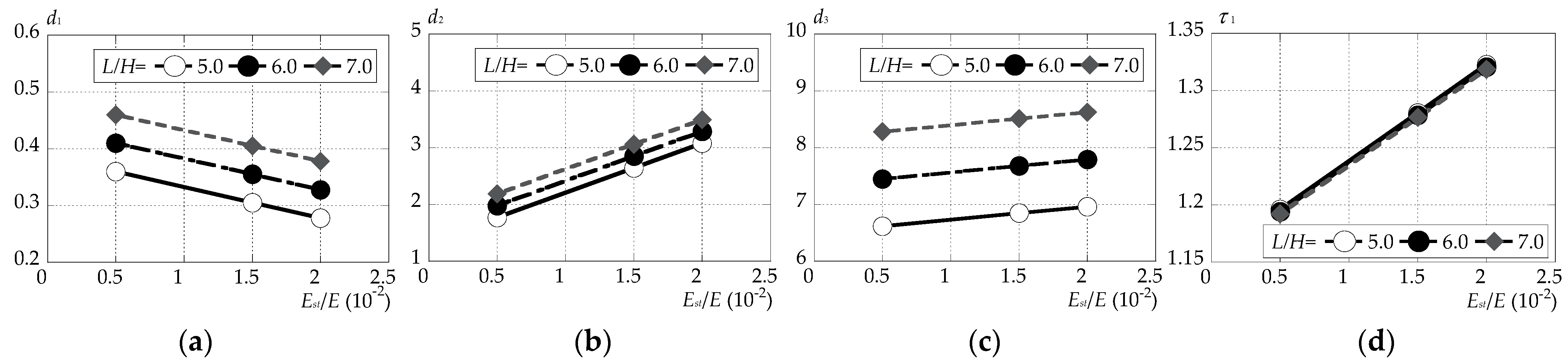
4.5. Definition of the Simplified Residual Stress Evaluation Formula to Estimate Story’s Cumulative Ductility
5. Conclusions
Author Contributions
Funding
Institutional Review Board Statement
Informed Consent Statement
Data Availability Statement
Conflicts of Interest
References
- Khatib, I.F.; Mahin, S.A.; Pister, K.S. Seismic Behavior of Concentrically Braced Steel Frames; UCB/EERC-88/01; University of California: Berkley, CA, USA, 1988. [Google Scholar]
- Kimura, Y.; MacRae, G.A. Effect of Column Flexural Stiffness and Strength on Story Drift Concentration Mechanism of 2 Story Braced Frames with Fixed Column Base. J. Struct. Constr. Eng. (Trans. AIJ) 2005, 70, 153–160. [Google Scholar] [CrossRef]
- Ji, X.; Kato, M.; Wang, T.; Hitaka, T.; Nakashima, M. Effect of Gravity Columns on Mitigation of Drift Concentration for Braced Frames. J. Constr. Steel Res. 2009, 65, 2148–2156. [Google Scholar] [CrossRef]
- Qu, B.; Sanchez-Zamora, F.; Pollino, M. Mitigation of Inter-Story Drift Concentration in Multi-Story Steel Concentrically Braced Frames through Implementation of Rocking Cores. Eng. Struct. 2014, 70, 208–217. [Google Scholar] [CrossRef]
- Simpson, B.G.; Mahin, S.A. Experimental and Numerical Investigation of Strongback Braced Frame System to Mitigate Weak Story Behavior. J. Struct. Eng. 2018, 144, 04017211. [Google Scholar] [CrossRef]
- Dong, Z.-Q.; Li, G.; Li, H.-N. Dynamic Tests of the Collapse-Prevention Performance of a Low-Ductility Low-Rise Steel Concentrically Braced Frame. Eng. Struct. 2021, 240, 112420. [Google Scholar] [CrossRef]
- EN 1998-1:2004; European Committee for Standardization Eurocode 8: Design of Structures for Earthquake Resistance–Part 1: General Rules, Seismic Actions and Rules for Buildings. European Committee for Standardization: Brussels, Belgium, 2004.
- Yazdanpanah, O.; Formisano, A.; Chang, M.; Mohebi, B. Fragility Curves for Seismic Damage Assessment in Regular and Irregular MRFs Using Improved Wavelet-Based Damage Index. Measurement 2021, 182, 109558. [Google Scholar] [CrossRef]
- Jia, M.; Gao, S.; Fu, F.; Yang, N. Failure Mechanism and Seismic Performance Evaluation of Steel Frame Using Rocking Truss. Structures 2021, 33, 1180–1192. [Google Scholar] [CrossRef]
- Zhu, R.; Guo, T.; Mwangilwa, F.; Han, D. Seismic Design of Self-Centering Viscous-Hysteretic Devices Used for Steel Moment-Resisting Frames. Eng. Struct. 2021, 239, 112369. [Google Scholar] [CrossRef]
- Shakeri, K.; Dadkhah, H. Development of DDBD for Steel MRFs Using Inelastic Response-Based Seismic Lateral Force Distribution. J. Build. Eng. 2021, 43, 103063. [Google Scholar] [CrossRef]
- Suita, K.; Matsuoka, Y.; Yamada, S.; Shimada, Y.; Tada, M.; Kasai, K. Experimental Procedure and Elastic Response Characteristics of Shaking Table Test—Complete Collapse Test of Full-Scale 4-Story Steel Building Part 1. J. Struct. Constr. Eng. (Trans. AIJ) 2009, 635, 157–166. [Google Scholar] [CrossRef]
- Yamada, S.; Suita, K.; Matsuaka, Y.; Shimada, Y. Elasto-Plastic Responses and Process Leading to a Collapse Mechanism; Dynamic Collapse Test of Full-Scale 4-Story Steel Building; Part 2. J. Struct. Constr. Eng. (Trans. AIJ) 2009, 74, 1851–1859. [Google Scholar] [CrossRef]
- Shimada, Y.; Suita, K.; Yamada, S.; Matsuoka, Y.; Tada, M.; Ohsaki, M.; Kasai, K. Collapse Behaviour on Shaking Table Test; Dynamic Collapse Test of Full-Scale 4-Story Steel Building; Part 3. J. Struct. Constr. Eng. (Trans. AIJ) 2010, 75, 1351–1360. [Google Scholar] [CrossRef][Green Version]
- Yamada, S.; Suita, K.; Tada, M.; Kasai, K.; Matsuoka, Y.; Shimada, Y. Collapse Experiment on 4-Story Steel Moment Frame: Part 1 Outline of Test Results. In Proceedings of the 14th World Conference on Earthquake Engineering, Beijing, China, 12–17 October 2008; Volume 4. [Google Scholar]
- Suita, K.; Yamada, S.; Tada, M.; Kasai, K.; Matsuoka, Y.; Shimada, Y. Collapse Experiment on 4-Story Steel Moment Frame: Part 2 Detail of Collapse Behavior. In Proceedings of the 14th World Conference on Earthquake Engineering, Beijing, China, 12–17 October 2008; Volume 11. [Google Scholar]
- Kaneda, K.; Kimura, Y.; Hamasaki, S.; Wada, A. Proposal of New Column Support System for Multi-Story Steel Moment Resisting Structures to Perform Beam Yielding Mechanism. J. Struct. Constr. Eng. (Trans. AIJ) 2010, 75, 1537–1546. [Google Scholar] [CrossRef]
- Elamary, A.S. Ultimate Shear Resistance of Plate Girders Part 2—Höglund Theory. Int. J. Civ. Environ. Eng. 2013, 7, 918–926. [Google Scholar]
- Alinia, M.M.; Shakiba, M.; Habashi, H.R. Shear Failure Characteristics of Steel Plate Girders. Thin-Walled Struct. 2009, 47, 1498–1506. [Google Scholar] [CrossRef]
- Anastasiadis, A.; Mosoarca, M.; Gioncu, V. Prediction of Available Rotation Capacity and Ductility of Wide-Flange Beams: Part 2: Applications. J. Constr. Steel Res. 2012, 68, 176–191. [Google Scholar] [CrossRef]
- Basler, K. Strength of Plate Girders in Shear. J. Struct. Div. 1961, 87, 151–180. [Google Scholar] [CrossRef]
- Cheng, X.; Chen, Y.; Pan, L. Experimental Study on Steel Beam–Columns Composed of Slender H-Sections under Cyclic Bending. J. Constr. Steel Res. 2013, 88, 279–288. [Google Scholar] [CrossRef]
- Elkady, A.; Lignos, D.G. Full-Scale Testing of Deep Wide-Flange Steel Columns under Multiaxis Cyclic Loading: Loading Sequence, Boundary Effects, and Lateral Stability Bracing Force Demands. J. Struct. Eng. 2018, 144. [Google Scholar] [CrossRef]
- Gioncu, V.; Mosoarca, M.; Anastasiadis, A. Prediction of Available Rotation Capacity and Ductility of Wide-Flange Beams: Part 1: DUCTROT-M Computer Program. J. Constr. Steel Res. 2012, 69, 8–19. [Google Scholar] [CrossRef]
- Glassman, J.D.; Moreyra Garlock, M.E. A Compression Model for Ultimate Postbuckling Shear Strength. Thin-Walled Struct. 2016, 102, 258–272. [Google Scholar] [CrossRef]
- Ozkula, G.; Harris, J.; Uang, C.-M. Observations from Cyclic Tests on Deep, Wide-Flange Beam-Columns. Eng. J. 2017, 54, 45–60. [Google Scholar] [CrossRef]
- Hanna, M.T. Failure Loads of Web Panels Loaded in Pure Shear. J. Constr. Steel Res. 2015, 105, 39–48. [Google Scholar] [CrossRef]
- Ikarashi, K.; Suekuni, R.; Shinohara, T.; Wang, T. Evaluation of Plastic Deformation Capacity of H-Shaped Steel Beams with the Newly Proposed Limitation Value of Plate Slenderness. J. Struct. Constr. Eng. (Trans. AIJ) 2011, 76, 1865–1872. [Google Scholar] [CrossRef]
- Kasai, K.; Popov, E.P. General Behavior of WF Steel Shear Link Beams. J. Struct. Eng. 1986, 112, 362–382. [Google Scholar] [CrossRef]
- Kasai, K.; Popov, E.P. Cyclic Web Buckling Control for Shear Link Beams. J. Struct. Eng. 1986, 112, 505–523. [Google Scholar] [CrossRef]
- Kato, B. Rotation Capacity of H-Section Members as Determined by Local Buckling. J. Constr. Steel Res. 1989, 13, 95–109. [Google Scholar] [CrossRef]
- Lee, S.C.; Davidson, J.S.; Yoo, C.H. Shear Buckling Coefficients of Plate Girder Web Panels. Comput. Struct. 1996, 59, 789–795. [Google Scholar] [CrossRef]
- Lee, S.C.; Lee, D.S.; Yoo, C.H. Flexure and Shear Interaction in Steel I-Girders. J. Struct. Eng. 2013, 139, 1882–1894. [Google Scholar] [CrossRef]
- MacRae, G.A. The Seismic Response of Steel Frames; University of Canterbury: Christchurch, New Zealand, 1989. [Google Scholar]
- Araújo, M.; Macedo, L.; Castro, J.M. Evaluation of the Rotation Capacity Limits of Steel Members Defined in EC8-3. J. Constr. Steel Res. 2017, 135, 11–29. [Google Scholar] [CrossRef]
- Nakashima, M.; Takanashi, K.; Kato, H. Test of Steel Beam-Columns Subject to Sidesway. J. Struct. Eng. 1990, 116, 2516–2531. [Google Scholar] [CrossRef]
- Newell, J.D.; Uang, C.-M. Cyclic Behavior of Steel Wide-Flange Columns Subjected to Large Drift. J. Struct. Eng. 2008, 134, 1334–1342. [Google Scholar] [CrossRef]
- Torabian, S.; Schafer, B.W. Role of Local Slenderness in the Rotation Capacity of Structural Steel Members. J. Constr. Steel Res. 2014, 95, 32–43. [Google Scholar] [CrossRef]
- Shokouhian, M.; Shi, Y. Classification of I-Section Flexural Members Based on Member Ductility. J. Constr. Steel Res. 2014, 95, 198–210. [Google Scholar] [CrossRef]
- Suzuki, T.; Ikarashi, K.; Tsuneki, Y. A Study of Collapse Mode and Plastic Deformation Capacity of H-Shaped Steel Beams under Shear Bending. J. Struct. Constr. Eng. (Trans. AIJ) 2001, 66, 185–191. [Google Scholar] [CrossRef]
- Höglund, T. Simply Supported Long Thin Plate I-Girders Without Web Stiffeners Subjected to Distributed Transverse Load. In IABSE Colloquium London, Reports of the Working Comissions; 1971; pp. 85–97. Available online: https://www.researchgate.net/publication/313444594_Simply_supported_long_thin_plate_I-girders_without_web_stiffeners_subjected_to_distributed_transverse_load (accessed on 23 October 2024).
- Höglund, T. Shear Buckling Resistance of Steel and Aluminium Plate Girders. Thin-Walled Struct. 1997, 29, 13–30. [Google Scholar] [CrossRef]
- Ragheb, W.F. Local Buckling of Welded Steel I-Beams Considering Flange–Web Interaction. Thin-Walled Struct. 2015, 97, 241–249. [Google Scholar] [CrossRef]
- Chen, Y.; Cheng, X.; Nethercot, D.A. An Overview Study on Cross-Section Classification of Steel H-Sections. J. Constr. Steel Res. 2013, 80, 386–393. [Google Scholar] [CrossRef]
- Kimura, Y.; Kaneda, K.; Wada, A. Estimation of Ultimate Seismic Capacity and Column Demand of Multi-Story Steel Moment Resisting Frames with New Column Support System to Fishbone-Shaped Frame. J. Struct. Constr. Eng. (Trans. AIJ) 2012, 77, 765–773. [Google Scholar] [CrossRef]
- Kato, B.; Akiyama, H.; Obi, Y. Deformation of H-Shaped Cross-Section Member due to Local Buckling. Trans. Archit. Inst. Jpn. 1977, 257, 49–58. [Google Scholar] [CrossRef]
- Kaneda, K.; Kimura, Y.; Mutsukura, K.; Kadoya, H.; Watanabe, T.; Takahashi, K. Cyclic Loading Test for Partial Frames with New Column Support System for Multi-Story Steel Moment Resisting Structures to Perform Beam Yielding Mechanism. J. Struct. Constr. Eng. (Trans. AIJ) 2011, 76, 1357–1366. [Google Scholar] [CrossRef][Green Version]
- Suzuki, A.; Kimura, Y.; Kasai, K. Rotation Capacity of I-Shaped Beams under Alternating Axial Forces Based on Buckling-Mode Transitions. J. Struct. Eng. 2020, 146. [Google Scholar] [CrossRef]
- Kimura, Y.; Sato, Y.; Suzuki, A. Effect of Fork Restraint of Column on Lateral Buckling Behavior for H-Shaped Steel Beams with Continuous Braces under Flexural Moment Gradient. J. Struct. Constr. Eng. (Trans. AIJ) 2022, 87, 316–327. [Google Scholar] [CrossRef]
- Fujak, S.M.; Kimura, Y.; Suzuki, A. Estimation of Elastoplastic Local Buckling Capacities and Novel Classification of I-Beams Based on Beam’s Elastic Local Buckling Strength. Structures 2022, 39, 765–781. [Google Scholar] [CrossRef]
- Suzuki, A.; Kimura, Y. Rotation Capacity of I-Shaped Beam Failed by Local Buckling in Buckling-Restrained Braced Frames with Rigid Beam-Column Connections. J. Struct. Eng. 2023, 149. [Google Scholar] [CrossRef]
- Fujak, S.M.; Suzuki, A.; Kimura, Y. Estimation of Ultimate Capacities of Moment-Resisting Frame’s Subassemblies with Mid-Storey Pin Connection Based on Elastoplastic Local Buckling. Structures 2023, 48, 410–426. [Google Scholar] [CrossRef]
- Kishiki, S.; Iwasaki, Y. Evaluation of Residual Strength Based on Local Buckling Deformation of Steel Column—Quick Inspection Method for Steel Structures Based on the Visible Damage Part 3. J. Struct. Constr. Eng. (Trans. AIJ) 2017, 82, 735–743. [Google Scholar] [CrossRef]
- Chida, H.; Takahashi, N. Study on Image Diagnosis of Timber Houses Damaged by Earthquake Using Deep Learning. Jpn. Archit. Rev. 2021, 4, 420–430. [Google Scholar] [CrossRef]
- Chang, P.C.; Flatau, A.; Liu, S.C. Review Paper: Health Monitoring of Civil Infrastructure. Struct. Health Monit. 2003, 2, 257–267. [Google Scholar] [CrossRef]
- Carden, E.P.; Fanning, P. Vibration Based Condition Monitoring: A Review. Struct. Health Monit. 2004, 3, 355–377. [Google Scholar] [CrossRef]
- Ji, X.; Fenves, G.L.; Kajiwara, K.; Nakashima, M. Seismic Damage Detection of a Full-Scale Shaking Table Test Structure. J. Struct. Eng. 2011, 137, 14–21. [Google Scholar] [CrossRef]
- Okada, K.; Shiroishi, R.; Morii, Y.; Sagawa, R. Method of Structural Health Monitoring after Earthquake Using Limited Accelerometer—Case Study of Large-Scale Shaking Table Test on Six Story RC Building. Concr. J. 2017, 55, 138–145. [Google Scholar] [CrossRef] [PubMed]
- Gislason, G.P.; Mei, Q.; Gül, M. Rapid and Automated Damage Detection in Buildings Through ARMAX Analysis of Wind Induced Vibrations. Front. Built Environ. 2019, 5, 63–73. [Google Scholar] [CrossRef]
- Alampalli, S.; Fu, G.; Dillon, E.W. Signal versus Noise in Damage Detection by Experimental Modal Analysis. J. Struct. Eng. 1997, 123, 237–245. [Google Scholar] [CrossRef]
- Ju, M.; Dou, Z.; Li, J.-W.; Qiu, X.; Shen, B.; Zhang, D.; Yao, F.-Z.; Gong, W.; Wang, K. Piezoelectric Materials and Sensors for Structural Health Monitoring: Fundamental Aspects, Current Status, and Future Perspectives. Sensors 2023, 23, 543. [Google Scholar] [CrossRef]
- Gong, F.; Maekawa, K. Multi-Scale Simulation of Freeze-Thaw Damage to RC Column and Its Restoring Force Characteristics. Eng. Struct. 2018, 156, 522–536. [Google Scholar] [CrossRef]
- Gong, F.; Wang, Z.; Xia, J.; Maekawa, K. Coupled Thermo-hydro-mechanical Analysis of Reinforced Concrete Beams under the Effect of Frost Damage and Sustained Load. Struct. Concr. 2021, 22, 3430–3445. [Google Scholar] [CrossRef]
- Nobuhiro, S.; Tetsuya, N.; Akihiko, O.; Kazuhisa, N. Cuadra Carlos Comparison of Displacement Measurements in an Exposed Type Column Base Using Piezoelectric Vibration Sensors and Piezoelectric Limit Sensors. Am. J. Remote Sens. 2019, 6, 27–36. [Google Scholar]
- Suzuki, A.; Fujita, T.; Kimura, Y. Identifying damage mechanisms of gymnasium structure damaged by the 2011 Tohoku earthquake based on biaxial excitation. Structures 2022, 35, 1321–1338. [Google Scholar] [CrossRef]
- Aabid, A.; Parveez, B.; Raheman, M.A.; Ibrahim, Y.E.; Anjum, A.; Hrairi, M.; Parveen, N.; Mohammed Zayan, J. A Review of Piezoelectric Material-Based Structural Control and Health Monitoring Techniques for Engineering Structures: Challenges and Opportunities. Actuators 2021, 10, 101. [Google Scholar] [CrossRef]
- Harada, T.; Yokoyama, K.; Tanabe, K. Study of Crack Detection of Civil Infrastructure Using PVDF Film Sensor. J. Struct. Eng. 2013, 59, 47–55. [Google Scholar]
- Shimoi, N.; Cuadra, C.; Madokoro, H.; Nakasho, K. Comparison of Displacement Measurements and Simulation on Fillet Weld of Steel Column Base. Int. J. Mech. Eng. Appl. 2020, 8, 111. [Google Scholar] [CrossRef]
- Smith, M. ABAQUS/Standard User’s Manual; Version 6.9; Dassault Systèmes Simulia Corp.: Providence, RI, USA, 2009. [Google Scholar]
- Kishiki, S.; Iwasaki, Y. Seismic Repair to the Damaged RHS Column with Strength Deterioration Due to the Local Buckling. J. Struct. Constr. Eng. (Trans. AIJ) 2018, 83, 179–189. [Google Scholar] [CrossRef][Green Version]
- Kimura, Y.; Yamanashi, T.; Kasai, K. Cyclic Hysteresis Behavior and Plastic Deformation Capacity for H-Shaped Beams on Local Buckling Under Compressive and Tensile Forces. J. Struct. Constr. Eng. (Trans. AIJ) 2013, 78, 1307–1316. [Google Scholar] [CrossRef][Green Version]
- Lemaitre, J.; Chaboche, J. Mechanics of Solid Materials; Cambridge University Press: Cambridge, UK, 1990. [Google Scholar]
- EN 1993-1-1:2005; European Committee for Standardization Design of Steel Structures: Eurocode 3: Design of Steel Structures, Part 1-1: General Rules and Rules for Buildings. European Committee for Standardization: Brussels, Belgium, 2005.
- Architectural Institute of Japan (AIJ). Recommendations for Loads on Buildings 2015; Maruzen Publishing Co., Ltd.: Tokyo, Japan, 2015. [Google Scholar]































| No. | H (mm) | hw (mm) | B (mm) | bf (mm) | tw (mm) | tf (mm) | Flange Class | Web Class |
|---|---|---|---|---|---|---|---|---|
| 1 | 600 | 562 | 300 | 145.5 | 9.0 | 19.0 | 1, 2 | 1, 2 |
| 2 | 600 | 576 | 300 | 144.0 | 12.0 | 12.0 | 3, 4 | 1 |
| 3 | 600 | 562 | 300 | 140.5 | 19.0 | 19.0 | 1, 2 | 1 |
| 4 | 600 | 552 | 300 | 144.0 | 12.0 | 24.0 | 1 | 1 |
| 5 | 600 | 562 | 300 | 144.0 | 12.0 | 19.0 | 1, 2 | 1 |
| Variables of all analyzed cross-sections | L/H | εy | Est (GPa) | |||||
| 5.0 | 1.14 × 10−3 | |||||||
| 6.0 | 1.58 × 10−3 | |||||||
| 7.0 | 1.95 × 10−3 | |||||||
| No. | D (mm) | tc (mm) | Wall Class | fy (N/mm2) |
|---|---|---|---|---|
| 1 | 450 | 22 | 1 | Elastic |
| No. | H (mm) | hw (mm) | B (mm) | bf (mm) | tw (mm) | tf (mm) | Flange Class | Web Class | fy (N/mm2) |
|---|---|---|---|---|---|---|---|---|---|
| 1 | 600 | 568 | 300 | 145.5 | 9.0 | 16.0 | 2 | 1 | 270 |
| 2 | 600 | 562 | 300 | 145.5 | 9.0 | 19.0 | 1 | 1 | 250 |
| 3 | 600 | 562 | 300 | 145.0 | 10.0 | 19.0 | 1 | 1 | 235 |
| 4 | 600 | 568 | 300 | 144.5 | 11.0 | 16.0 | 2 | 1 | 270 |
| 5 | 600 | 562 | 300 | 144.0 | 12.0 | 19.0 | 1 | 1 | 235 |
| 6 | 600 | 556 | 300 | 144.0 | 12.0 | 22.0 | 1 | 1 | 210 |
| 7 | 600 | 568 | 300 | 143.5 | 13.0 | 16.0 | 2 | 1 | 270 |
| 8 | 600 | 562 | 300 | 143.0 | 14.0 | 19.0 | 1 | 1 | 235 |
| 9 | 600 | 556 | 300 | 143.0 | 14.0 | 22.0 | 1 | 1 | 210 |
| 10 | 600 | 564 | 300 | 142.0 | 16.0 | 18.0 | 1 | 1 | 215 |
| 11 | 600 | 556 | 300 | 142.0 | 16.0 | 22.0 | 1 | 1 | 200 |
| 12 | 550 | 506 | 300 | 144.0 | 12.0 | 22.0 | 1 | 1 | 235 |
| 13 | 650 | 612 | 250 | 119.0 | 12.0 | 19.0 | 1 | 1 | 235 |
| 14 | 650 | 618 | 300 | 144.0 | 12.0 | 16.0 | 2 | 1 | 235 |
| Connection Parameters | Variables of All Analyzed Frames | ||
|---|---|---|---|
| Part | fy (N/mm2) | N (kN) | Est (kN/mm2) |
| Anchor bolt | 835 | 0.2 × Ny | 0.005 × E |
| Plate (Top, Collar, and Btm) | Elastic | 0.4 × Ny | 0.015 × E |
| (Ny = 9200 kN) | 0.020 × E | ||
Disclaimer/Publisher’s Note: The statements, opinions and data contained in all publications are solely those of the individual author(s) and contributor(s) and not of MDPI and/or the editor(s). MDPI and/or the editor(s) disclaim responsibility for any injury to people or property resulting from any ideas, methods, instructions or products referred to in the content. |
© 2024 by the authors. Licensee MDPI, Basel, Switzerland. This article is an open access article distributed under the terms and conditions of the Creative Commons Attribution (CC BY) license (https://creativecommons.org/licenses/by/4.0/).
Share and Cite
Suzuki, A.; Che, R.; Kimura, Y. Seismic and Post-Seismic Ductility and Forces of Mid-Story Pin Moment-Resisting Frames Based on Scale of Local Deformation of I-Beam’s Segments. Appl. Mech. 2024, 5, 938-963. https://doi.org/10.3390/applmech5040052
Suzuki A, Che R, Kimura Y. Seismic and Post-Seismic Ductility and Forces of Mid-Story Pin Moment-Resisting Frames Based on Scale of Local Deformation of I-Beam’s Segments. Applied Mechanics. 2024; 5(4):938-963. https://doi.org/10.3390/applmech5040052
Chicago/Turabian StyleSuzuki, Atsushi, Ruiyu Che, and Yoshihiro Kimura. 2024. "Seismic and Post-Seismic Ductility and Forces of Mid-Story Pin Moment-Resisting Frames Based on Scale of Local Deformation of I-Beam’s Segments" Applied Mechanics 5, no. 4: 938-963. https://doi.org/10.3390/applmech5040052
APA StyleSuzuki, A., Che, R., & Kimura, Y. (2024). Seismic and Post-Seismic Ductility and Forces of Mid-Story Pin Moment-Resisting Frames Based on Scale of Local Deformation of I-Beam’s Segments. Applied Mechanics, 5(4), 938-963. https://doi.org/10.3390/applmech5040052

