Numerical Study of Barotropic Circulation in the Gulfs of Patras and Corinth System
Abstract
1. Introduction
2. Simulation of Hydrodynamic Circulation in the Gulfs of Patras and Corinth System
2.1. Study Area
2.2. Code Application
2.3. Boundary and Initial Conditions
3. Results and Discussion
3.1. Simulated Tidal Circulation in the Gulfs System
3.2. Simulated Wind and Tidal Circulation in the Gulfs’ System
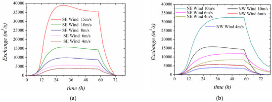
3.3. Wind-Induced Circulation in the Gulfs’ System
4. Conclusions
- The Gulfs of Patras and Corinth are numerically studied as a unified system, clarifying basic flow wind and tide-induced hydrodynamic characteristics of the system.
- The tidal flow, in the absence of wind, appears to decisively affect the central part of the gulfs’ system, leaving the coastal zone of the system almost unaffected. In the coastal zone and especially in the nearshore area, the flow is dictated by the wind action.
- Based on the numerical simulations, it is shown that the tidal wave at the body of the system up to the end of the western part of the Gulf of Corinth leads to an 85% increase in tidal amplitude, in comparison with the tidal amplitude at the entrance of the system. A possible mechanism for this increase could be a partial wave reflection during tidal propagation in the system, which requires further investigation.
- The study of the system reveals crucial flow characteristics between the gulfs, since the combined action of tide and wind opposes or favors the exchange flowrate at the Rio–Antirio strait.
- The Gulf of Patras, as well as the western part of the Gulf of Corinth, remain the more energetic sea areas of the system in terms of hydrodynamic circulation, leaving the central and deeper part of the Gulf of Corinth nearly stagnant.
Author Contributions
Funding
Institutional Review Board Statement
Informed Consent Statement
Data Availability Statement
Acknowledgments
Conflicts of Interest
References
- Fourniotis, N.Th. Three Dimensional Numerical Simulation of the Hydrodynamic Circulation in the Gulf of Patras with Emphasis on the Currents in the Coastal Zone of the Port of Patras. Ph.D. Thesis, University of Patras, Patras, Greece, 2009; p. 323. (In Greek). [Google Scholar]
- Fourniotis, N.Th. Effect of Internal Waves on the Hydrodynamics of a Mediterranean Sea Strait. J. Mar. Sci. Eng. 2024, 12, 532. [Google Scholar] [CrossRef]
- Rubi, R.; Hubert-Ferrari, A.; Fakiris, E.; Christodoulou, D.; Dimas, X.; Geraga, M.; Papatheodorou, G.; Caterina, B. Hydrodynamics and sedimentary processes in the modern Rion strait (Greece): Interplay between tidal currents and internal tides. Mar. Geol. 2022, 446, 106771. [Google Scholar] [CrossRef]
- Fourniotis, N.Th.; Leftheriotis, G.A. Water Renewal Simulation in Two Flow-Through Water Bodies in Western Greece. Water 2023, 15, 2745. [Google Scholar] [CrossRef]
- Lascaratos, A.; Salusti, E.; Papageorgaki, G. Wind-induced upwellings and currents in the gulfs of Patras, Nafpaktos and Korinthos, Western Greece. Oceanol. Acta 1989, 12, 159–164. [Google Scholar]
- Poulos, S.E.; Collins, M.B.; Pattiaratchi, C.; Cramp, A.; Gull, W.; Tsimplis, M.; Papatheodorou, G. Oceanography and sedimentation in the semi-enclosed, deep-water Gulf of Corinth (Greece). Mar. Geol. 1996, 134, 213–235. [Google Scholar] [CrossRef]
- Drakopoulos, P.G.; Lascaratos, A. A preliminary study on the internal tides of the gulfs of Patras and Korinthos, Greece. Cont. Shelf Res. 1998, 18, 1517–1529. [Google Scholar] [CrossRef]
- Paramana, T.; Karditsa, A.; Milatou, N.; Petrakis, S.; Megalofonou, P.; Poulos, S.; Dassenakis, M. Creating the base for MSP; depicting the environmental status of Inner Ionian-Korinthiakos Gulf. In Proceedings of the 17th International Conference on Environmental Science and Technology, CEST2021, Athens, Greece, 1–4 September 2021. [Google Scholar]
- Kanellopoulos, T.D.; Kapetanaki, N.; Karaouzas, I.; Botsou, F.; Mentzafou, A.; Kaberi, H.; Kapsimalis, V.; Karageorgis, A.P. Trace element contamination status of surface marine sediments of Greece: An assessment based on two decades (2001–2021) of data. Environ. Sci. Pollut. Res. 2022, 29, 45171–45189. [Google Scholar] [CrossRef] [PubMed]
- Trakas, E.; Leotsinidis, M.; Sazakli, E. Assessment of the pollution in an enclosed gulf in Greece before and after the operation of WWTPs: An integrated approach. Euro-Mediterr. J. Environ. Integr. 2024, 9, 1799–1814. [Google Scholar] [CrossRef]
- Google Earth Pro, Version 7.3.6.9345; Google LLC: Mountain View, CA, USA, 2023. Available online: https://www.google.com/earth/versions/#earth-pro (accessed on 20 April 2024).
- DHI Water and Environment. Hydrodynamic Module, User Guide; MIKE 3 Flow Model FM; DHI: Horsholm, Denmark, 2023; p. 171. [Google Scholar]
- Baines, D.W.; Knaap, D.J. Wind driven water currents. J. Hydraul. Div. 1965, 91, 205–221. [Google Scholar] [CrossRef]
- Achilleopoulos, P. Tides in Gulfs and Straits of Western Greece in Greek. Ph.D. Thesis, Department of Geology, University of Patras, Patras, Greece, 1990; 265p. [Google Scholar]
- Hellenic Navy Hydrographic Service. Harmonic Analysis of Tides in Greek Harbors; Hellenic Navy Hydrographic Service: Athens, Greece, 1992; Oceanographical Study No. 17; p. 50. [Google Scholar]
- Map Data Copyrighted OpenStreetMap Contributors. Available online: https://www.openstreetmap.org (accessed on 20 April 2024).
- Hellenic Navy Hydrographic Service. Sea Level Statistics from the Greek Tide Gauge Network, 2nd ed.; Hellenic Navy Hydrographic Service: Athens, Greece, 2015; p. 66. [Google Scholar]
- Anderson, J.J.; Carmack, E.C. Some physical and chemical properties of the Gulf of Corinth. Estuar. Coast. Mar. Sci. 1973, 1, 195–202. [Google Scholar] [CrossRef]
- Papailiou, D.D. Oceanographical Study in Patras Gulf Waters for Pollution Management; Technical Report; University of Patras: Patras, Greece, 1982. (In Greek) [Google Scholar]
- Friligos, N.; Theocharis, A.; Georgopoulos, D. Preliminary chemical and physical observations during summer 1980 on a silled embayment in the Ionian Sea. Vie Milieu-Life Environ. 1985, 35, 115–125. [Google Scholar]
- Hadjitheodorou, C.; Antonopoulos, J.; Lascaratos, A.; Papageorgiou, E.; Trova, E. Investigation of the Sea Currents in the Area of Rio-Antirio for the Bridging Project; Final Report; Department of Civil Engineering, University of Patras: Patras, Greece, 1992; p. 296. (In Greek) [Google Scholar]
- Koletsis, I.; Kotroni, V.; Lagouvardos, K. A model-based study of the wind regime over the Corinthian Gulf. Nat. Hazards Earth Syst. Sci. 2014, 14, 459–472. [Google Scholar] [CrossRef]
- Viikmäe, B.; Torsvik, T. Quantification and characterization of mesoscale eddies with different automatic identification algorithms. J. Coast. Res. 2013, 65, 2077–2082. [Google Scholar] [CrossRef]
- Csanady, G.T. Wind-induced barotropic motions in long lakes. J. Phys. Oceanogr. 1973, 3, 429–438. [Google Scholar] [CrossRef]
- Csanady, G.T. Circulation in the Coastal Ocean; Springer Nature: Berlin/Heidelberg, Germany, 1982; p. 279. [Google Scholar]
- Horsch, G.M.; Fourniotis, N.Th. On strong nearshore wind-induced currents in flow-through gulfs: Variations on a theme by Csanady. Water 2018, 10, 652. [Google Scholar] [CrossRef]

















| Mauromiti Station | Diurnal Tide | Semidiurnal Tide | ||||||
|---|---|---|---|---|---|---|---|---|
| Q1 | O1 | K1 | P1 | M2 | N2 | K2 | S2 | |
| Height | 0.20 | 0.63 | 2.02 | 0.67 | 8.19 | 1.41 | 1.28 | 4.71 |
| Fase | 36.5 | 4.19 | 32.1 | 32.05 | 134.9 | 157.3 | 126.15 | 126.5 |
| Posidonia Station | Diurnal Tide | Semidiurnal Tide | ||||||
| Q1 | O1 | K1 | P1 | M2 | N2 | K2 | S2 | |
| Height | 0.09 | 0.62 | 1.50 | 0.66 | 10.83 | 1.65 | 1.50 | 7.25 |
| Fase | 60 | 350 | 19 | 19 | 117 | 93 | 133 | 132 |
Disclaimer/Publisher’s Note: The statements, opinions and data contained in all publications are solely those of the individual author(s) and contributor(s) and not of MDPI and/or the editor(s). MDPI and/or the editor(s) disclaim responsibility for any injury to people or property resulting from any ideas, methods, instructions or products referred to in the content. |
© 2025 by the authors. Licensee MDPI, Basel, Switzerland. This article is an open access article distributed under the terms and conditions of the Creative Commons Attribution (CC BY) license (https://creativecommons.org/licenses/by/4.0/).
Share and Cite
Aspioti, A.G.; Fourniotis, N.T. Numerical Study of Barotropic Circulation in the Gulfs of Patras and Corinth System. Oceans 2025, 6, 10. https://doi.org/10.3390/oceans6010010
Aspioti AG, Fourniotis NT. Numerical Study of Barotropic Circulation in the Gulfs of Patras and Corinth System. Oceans. 2025; 6(1):10. https://doi.org/10.3390/oceans6010010
Chicago/Turabian StyleAspioti, Alexandra G., and Nikolaos Th. Fourniotis. 2025. "Numerical Study of Barotropic Circulation in the Gulfs of Patras and Corinth System" Oceans 6, no. 1: 10. https://doi.org/10.3390/oceans6010010
APA StyleAspioti, A. G., & Fourniotis, N. T. (2025). Numerical Study of Barotropic Circulation in the Gulfs of Patras and Corinth System. Oceans, 6(1), 10. https://doi.org/10.3390/oceans6010010

