Mechanical Properties of Translucent Zirconia: An In Vitro Study
Abstract
1. Introduction
2. Materials and Methods
2.1. Study Design and Sample Preparation
2.2. Aging Process
2.3. Grain Size Measurements
2.4. Vickers Hardness
2.5. Flexural Strength
2.6. Fracture Toughness
2.7. Brittleness
2.8. Statistical Analysis
3. Results
3.1. Grain Size Measurements
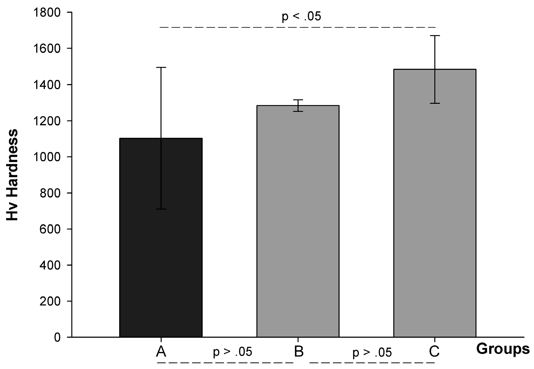
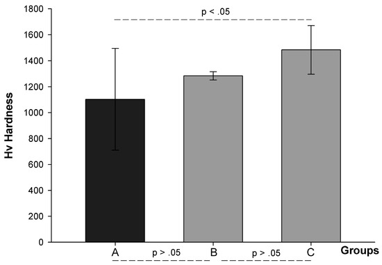
3.2. Vickers Hardness (Hv)
3.3. Flexural Strength (Fs)
3.4. Fracture Toughness (Ft)
3.5. Brittleness (Br)
4. Discussion
5. Conclusions
Author Contributions
Funding
Institutional Review Board Statement
Informed Consent Statement
Data Availability Statement
Conflicts of Interest
References
- Pjetursson, B.E.; Sailer, I.; Zwahlen, M.; Hammerle, C.H. A systematic review of the survival and complication rates of all-ceramic and metal-ceramic reconstructions after an observation period of at least 3 years. Part I: Single crowns. Clin. Oral. Implant. Res. 2007, 18, 73–85. [Google Scholar] [CrossRef] [PubMed]
- Sailer, I.; Pjetursson, P.B.E.; Zwahlen, M.; Hammerle, C.H. A systematic review of the survival and complication rates of all-ceramic and metal-ceramic reconstructions after an observation period of at least 3 years. Part II: Fixed dental prostheses. Clin. Oral. Implant. Res. 2007, 18, 86–96. [Google Scholar] [CrossRef] [PubMed]
- Traini, T.; Sinjari, B.; Pascetta, R.; Serafini, N.; Perfetti, G.; Trisi, P.; Caputi, S. The zirconia-reinforced lithium silicate ceramic: Lights and shadows of a new material. Dent. Mater. J. 2016, 35, 748–755. [Google Scholar] [CrossRef] [PubMed]
- Traini, T.; Sorrentino, R.; Gherlone, E.; Perfetti, F.; Bollero, P.; Zarone, F. Fracture Strength of Zirconia and Alumina Ceramic Crowns Supported by Implants. J. Oral Implantol. 2015, 41, 352–359. [Google Scholar] [CrossRef]
- D’Addazio, G.; Santilli, M.; Rollo, M.L.; Cardelli, P.; Rexhepi, I.; Murmura, G.; Al-Haj Husain, N.; Sinjari, B.; Traini, T.; Özcan, M.; et al. Fracture Resistance of Zirconia-Reinforced Lithium Silicate Ceramic Crowns Cemented with Conventional or Adhesive Systems: An In Vitro Study. Materials 2020, 13, 2012. [Google Scholar] [CrossRef]
- Traini, T.; Gherlone, E.; Parabita, S.F.; Caputi, S.; Piattelli, A. Fracture toughness and hardness of a Y-TZP dental ceramic after mechanical surface treatments. Clin. Oral Investig. 2014, 18, 707–714. [Google Scholar] [CrossRef]
- Heuer, A.H.; Hobbs, L.W. Science, and Technology of Zirconia; The American Ceramic Society: Columbus, OH, USA, 1981; pp. 1–24. [Google Scholar]
- El-Ghany, O.S.; Sherief, A.H. Zirconia based ceramics, some clinical and biological aspects: Review. Future Dent. J. 2016, 2, 55–64. [Google Scholar] [CrossRef]
- Christel, P.; Meunier, A.; Heller, M.; Torre, J.P.; Peill, C.N. Mechanical properties and short-term in-vivo evaluation of yttrium-oxide partially stabilized zirconia. J. Biomed. Mater. Res. 1989, 23, 45–61. [Google Scholar] [CrossRef]
- Guazzato, M.; Albakry, M.; Ringer, S.P.; Swain, M.V. Strength, fracture tough- ness, and microstructure of a selection of all-ceramic materials. Part II. Zirconia-based dental ceramics. Dent. Mater. 2004, 20, 449–456. [Google Scholar] [CrossRef]
- Guazzato, M.; Albakry, M.; Swain, M.V.; Ironside, J. Mechanical properties of In-Ceram Alumina and In-Ceram Zirconia. Int. J. Prosthodont. 2002, 15, 339–346. [Google Scholar]
- Passerini, L. Isomorphism among oxides of different tetravalent metals: CeO 2—ThO 2; CeO 2—ZrO 2; CeO 2—HfO 2. Gazz. Chim. Ital. 1930, 60, 762–776. [Google Scholar]
- Ruff, O.; Ebert, F. Refractory ceramics: I. The forms of zirconium dioxide. Z. Anorg. Allg. Chem. 1929, 180, 19–41. [Google Scholar] [CrossRef]
- Denry, I.L.; Holloway, J.A. Microstructural and crystallographic surface changes after grinding zirconia-based dental ceramics. J. Biomed. Mater. Res. Part B Appl. Biomater. 2006, 76, 440–448. [Google Scholar] [CrossRef]
- Baldissara, P.; Llukacej, A.; Ciocca, L.; Valandro, F.L.; Scotti, R. Translucency of zirconia copings made with different CAD/CAM systems. J. Prosthet. Dent. 2010, 104, 6–12. [Google Scholar] [CrossRef]
- Gherlone, E.; Mandelli, F.; Capparè, P.; Pantaleo, G.; Traini, T.; Ferrini, F. A 3 years retrospective study of survival for zirconia-based single crowns fabricated from intraoral digital impressions. J. Dent. 2014, 42, 1151–1155. [Google Scholar] [CrossRef]
- Aurélio, I.L.; Marchionatti, A.M.; Montagner, A.F.; May, L.G.; Soares, F.Z. Does air particle abrasion affect the flexural strength and phase transformation of Y-TZP? A systematic review and meta-analysis. Dent. Mater. 2016, 32, 827–845. [Google Scholar] [CrossRef]
- Du, Q.; Swain, M.V.; Zhao, K. Fractographic analysis of anterior bilayered ceramic crowns that failed by veneer chipping. Quintessence Int. 2014, 45, 369–376. [Google Scholar]
- Chevalier, J. What is the future for zirconia as a biomaterial? Biomaterials 2006, 27, 535–543. [Google Scholar] [CrossRef]
- de Medeiros, R.A.; Vechiato-Filho, A.J.; Pellizzer, E.P.; Mazaro, J.V.; dos Santos, D.M.; Goiato, M.C. Analysis of the peri-implant soft tissues in contact with zirconia abutments: An evidence-based literature review. J. Contemp. Dent. Pract. 2013, 14, 567–572. [Google Scholar]
- Rimondini, L.; Cerroni, L.; Carrasi, A.; Torricelli, P. Bacterial colonization of zirconia ceramic surfaces: An in vitro and in vivo study. Int. J. Oral Maxillofac. Implant. 2002, 17, 793–797. [Google Scholar]
- Welander, M.; Abrahamsson, I.; Berglundh, T. The mucosal barrier at implant abutments of different materials. Clin. Oral Implant. Res. 2008, 19, 635–641. [Google Scholar]
- Jung, R.E.; Sailer, I.; Hämmerle, C.H.; Attin, T.; Schmidlin, P. In vitro color changes of soft tissues caused by restorative materials. Int. J. Periodontics Restor. Dent. 2007, 27, 251–257. [Google Scholar]
- Yoshimura, M.; Noma, T.; Kawabata, K.; Somiya, S. Role of water on the degradation process of Y-TZP. J. Mater. Sci. Lett. 1987, 6, 465–467. [Google Scholar] [CrossRef]
- Kobayashi, K.; Kuwajima, H.; Masaki, T. Phase change and mechanical properties of ZrO2-Y2O3 solid electrolyte after aging. Solid State Ion. 1981, 3, 489–495. [Google Scholar] [CrossRef]
- Alghazzawi, T.F.; Lemons, J.; Liu, P.R.; Essig, M.E.; Janowski, G.M. Evaluation of the optical properties of CAD-CAM generated yttria-stabilized zirconia and glassceramic laminate veneers. J. Prosthet. Dent. 2012, 107, 300–308. [Google Scholar] [CrossRef]
- Sakakibara, T.; Yoshihara, K.; Takeuchi, M.; Ban, S.; Kawai, T.; Murakami, H. Properties of dental polishing materials and devices. Jpn. Soc. Dent. Mater. Devices 2012, 31, 140. [Google Scholar]
- Ban, S. Caution for frame processing. In Current CAD/CAM Restoration; Practice in prosthodontics extra issue; Miura, H., Miyazaki, T., Eds.; Quintessence Publishing: Batavia, IL, USA, 2008; pp. 86–89. [Google Scholar]
- Harianawala, H.H.; Kheur, M.G.; Apte, S.K.; Kale, B.B.; Sethi, T.S.; Kheur, S.M. Comparative analysis of transmittance for different types of commercially available zirconia and lithium disilicate materials. J. Adv. Prosthodont. 2014, 6, 456–461. [Google Scholar] [CrossRef]
- Kontonasaki, E.; Rigos, A.E.; Ilia, C.; Istantsos, T. Monolithic Zirconia: An Update to Current Knowledge. Optical Properties, Wear, and Clinical Performance. Dent. J. 2019, 7, 90. [Google Scholar] [CrossRef]
- Sinjari, B.; D’Addazio, G.; Murmura, G.; Di Vincenzo, G.; Semenza, M.; Caputi, S.; Traini, T. Avoidance of Interaction between Impression Materials and Tooth Surface Treated for Immediate Dentin Sealing: An In Vitro Study. Materials 2019, 12, 3454. [Google Scholar] [CrossRef]
- Trunec, M. Effect of grain size on mechanical properties of 3Y-TZP ceramics. Ceram-Silik 2008, 52, 165–171. [Google Scholar]
- Lange, F.F.; Dunlpo, G.L.; Davis, B.I. Degradation during ageing of transformation toughened ZrO2–Y2O3 materials at 250 °C. J. Am. Ceram. Soc. 1986, 69, 237–240. [Google Scholar] [CrossRef]
- Garvie, R.C. The occurrence of metastable tetragonal zirconia as a crystallite size effect. J. Phys. Chem. 1965, 69, 1238–1243. [Google Scholar] [CrossRef]
- Garvie, R.C. Stabilization of the tetragonal structure in zirconia microcrystals. J. Phys. Chem. 1978, 82, 218–224. [Google Scholar] [CrossRef]
- Tsukuba, K.; Kubota, Y.; Tsukidate, T. Thermal and mechanical properties of Yttria -stabilized tetragonal zirconia polycrystals. In Advanced in Ceramics; American Ceramic Society, Inc.: Columbus, OH, USA, 1984; pp. 382–390. [Google Scholar]
- Munoz-Saldana, J.; Balmori-Ramirez, H.; Jaramillo-Vigueras, D.; Iga, T.; Schneider, G.A. Mechanical properties and low-temperature aging of tetragonal zirconia polycrystals processed by hot isostatic pressing. Mater. Res. 2003, 18, 2415–2426. [Google Scholar] [CrossRef]
- Lucas, T.J.; Lawson, N.C.; Janowski, G.M.; Burgess, J.O. Effect of grain size on the monoclinic transformation, hardness, roughness, and modulus of aged partially stabilized zirconia. Dent. Mater. 2015, 12, 1487–1492. [Google Scholar] [CrossRef]
- Matsui, K.; Yoshida, H.; Ikuhara, Y. Nanocrystalline, Ultra-Degradation-Resistant Zirconia: Its Grain Boundary Nanostructure and Nanochemistry. Sci. Rep. 2014, 4, 4758. [Google Scholar] [CrossRef]
- Kim, M.J.; Ahn, J.S.; Kim, J.H.; Kim, H.Y.; Kim, W.C. Effects of the sintering conditions of dental zirconia ceramics on the grain size and translucency. J. Adv. Prosthodont. 2013, 5, 161–166. [Google Scholar] [CrossRef]
- Gafur, M.; Sarker, M.; Alam, M.; Qadir, M. Effect of 3 mol% Yttria Stabilized Zirconia Addition on Structural and Mechanical Properties of Alumina-Zirconia Composites. Mater. Sci. Appl. 2017, 8, 584–602. [Google Scholar] [CrossRef]
- Sutharsini, U.; Thanihaichelvan, M.; Ting, C.H.; Ramesh, S.; Tan, C.Y.; Chandran, H.; Sarhan, A.A.D.; Ramesh, S.; Urriés, I. Effect of two-step sintering on the hydrothermal ageing resistance of tetragonal zirconia polycrystals. Ceram. Int. 2017, 43, 7594–7599. [Google Scholar] [CrossRef]
- Singh, R.; Meenaloshini, S.; Tan, C.; Sopyan, I.; Teng, W.D. Sintering and Ageing Properties of Manganese Doped Y-TZP Ceramics. In Proceedings of the 33rd International Conference & Exposition on Advanced Ceramics and Composites, Daytona Beach, FL, USA, 18–23 January 2009. [Google Scholar]
- Liu, C.; Eser, A.; Albrecht, T.; Stournari, V.; Felder, M.; Heintze, S.; Broeckmann, C. Strength characterization and lifetime prediction of dental ceramic materials. Dent. Mater. 2021, 37, 94–105. [Google Scholar] [CrossRef]
- Flinn, B.D.; Raigrodski, A.; Mancl, L.A.; Toivola, R.; Kuykendall, T. Influence of aging on flexural strength of translucent zirconia for monolithic restorations. J. Prosthet. Dent. 2017, 117, 303–309. [Google Scholar] [CrossRef] [PubMed]
- Kontonasaki, E.; Giasimakopoulos, P.; Rigos, A.E. Strength and aging resistance of monolithic zirconia: An update to current knowledge. Jpn. Dent. Sci. Rev. 2020, 56, 1–23. [Google Scholar] [CrossRef] [PubMed]
- Muñoz, E.M.; Longhini, D.; Antonio, S.G.; Adabo, G.L. The effects of mechanical and hydrothermal aging on microstructure and biaxial flexural strength of an anterior and a posterior monolithic zirconia. J. Dent. 2017, 63, 94–102. [Google Scholar] [CrossRef] [PubMed]
- Sulaiman, T.A.; Abdulmajeed, A.A.; Shahramian, K.; Lassila, L. Effect of different treatments on the flexural strength of fully versus partially stabilized monolithic zirconia. J. Prosthet. Dent. 2017, 118, 216–220. [Google Scholar] [CrossRef] [PubMed]
- Adabo, G.L.; Mariscal, E.M.; Hatanaka, G.R. Flexural strength and microstructure of anterior/monolithic zirconia after low-temperature aging. Dent. Mater. 2015, 31, e48–e49. [Google Scholar] [CrossRef]
- Sailer, I.; Gottnerb, J.; Kanelb, S.; Hammerle, C.H. Randomized controlled clinical trial of zirconia-ceramic and metal-ceramic posterior fixed dental prostheses: A 3-year follow-up. Int. J. Prosthodont. 2009, 22, 553–560. [Google Scholar]
- Komine, F.; Saito, A.; Kobayashi, K.; Koizuka, M.; Koizumi, H.; Matsumura, H. Effect of cooling rate on shear bond strength of veneering porcelain to a zirconia ceramic material. J. Oral Sci. 2010, 52, 647–652. [Google Scholar] [CrossRef]
- Aboushelib, M.N.; de Jager, N.; Kleverlaan, C.J.; Feilzer, A.J. Microtensile bond strength of different components of core veneered all-ceramic restorations. Dent. Mater. 2005, 21, 984–991. [Google Scholar] [CrossRef]
- Tan, J.P.; Sederstrom, D.; Polansky, J.R.; McLaren, E.A.; White, S.N. The use of slow heating and slow cooling regimens to strengthen porcelain fused to zirconia. J. Prosthet. Dent. 2012, 107, 163–169. [Google Scholar] [CrossRef]
- Komine, F.; Strub, J.R.; Matsumura, H. Bonding between layering materials and zirconia frameworks. Jpn. Dent. Sci. Rev. 2012, 48, 153–161. [Google Scholar] [CrossRef]
- Sailer, I.; Fehér, A.; Filser, F.; Gauckler, L.J.; Lüthy, H.; Hämmerle, C.H. Five-year clinical results of zirconia frameworks for posterior fixed partial dentures. Int. J. Prosthodont. 2007, 20, 383–388. [Google Scholar]
- Tang, X.; Nakamura, T.; Usami, H.; Wakabayashi, K.; Yatani, H. Effects of multiple firings on the mechanical properties and microstructure of veneering ceramics for zirconia frameworks. J. Dent. 2012, 40, 372–380. [Google Scholar] [CrossRef]
- Vigolo, P.; Mutinelli, S. Evaluation of zirconium-oxide-based ceramic single-unit posterior fixed dental prostheses (FDPs) generated with two CAD/CAM systems compared to porcelain-fused-to-metal single-unit posterior FDPs: A 5-year clinical prospective study. J. Prosthodont. 2012, 21, 265–269. [Google Scholar] [CrossRef]
- Kongkiatkamon, S.; Peampring, C. Effect of speed sintering on low temperature degradation and biaxial flexural strength of 5y-tzp zirconia. Molecules 2022, 27, 5272. [Google Scholar] [CrossRef]
- Ordoñez Balladares, A.; Abad-Coronel, C.; Ramos, J.C.; Martín Biedma, B.J. Fracture resistance of sintered monolithic zirconia dioxide in different thermal units. Materials 2022, 15, 2478. [Google Scholar] [CrossRef]
- Jerman, E.; Wiedenmann, F.; Eichberger, M.; Reichert, A.; Stawarczyk, B. Effect of high-speed sintering on the flexural strength of hydrothermal and thermo-mechanically aged zirconia materials. Dent. Mater. 2020, 36, 1144–1150. [Google Scholar] [CrossRef]
- Mayinger, F.; Pfefferle, R.; Reichert, A.; Stawarczyk, B. Impact of high-speed sintering of three-unit 3y-tzp and 4y-tzp fixed dental prostheses on fracture load with and without artificial aging. Int. J. Prosthodont. 2021, 34, 47–53. [Google Scholar] [CrossRef]
- Kongkiatkamon, S.; Peampring, C. Comparison of Regular and Speed Sintering on Low-Temperature Degradation and Fatigue Resistance of Translucent Zirconia Crowns for Implants: An In Vitro Study. J. Funct. Biomater. 2022, 13, 281. [Google Scholar] [CrossRef]
- Jung, Y.S.; Lee, J.W.; Choi, Y.J.; Ahn, J.S.; Shin, S.W.; Huh, J.B. A study on the invitro wear of the natural tooth structure by opposing zirconia or dental porcelain. J. Adv. Prosthodont. 2010, 2, 111–115. [Google Scholar] [CrossRef]
- De Angelis, F.; Buonvivere, M.; Sorrentino, E.; Rondoni, G.D.; D’Arcangelo, C. Wear Properties of Conventional and High-Translucent Zirconia-Based Materials. Materials 2022, 15, 7324. [Google Scholar] [CrossRef]
- Albashaireh, Z.S.M.; Ghazal, M.; Kern, M. Two-body wear of different ceramic materials opposed to zirconia ceramic. J. Prosthet. Dent. 2010, 104, 105–113. [Google Scholar] [CrossRef] [PubMed]
- Park, J.H.; Park, S.; Lee, K.; Yun, K.D.; Lim, H.P. Antagonist wear of three CAD/CAM anatomic contour zirconia ceramics. J. Prosthet. Dent. 2014, 111, 20–29. [Google Scholar] [CrossRef] [PubMed]







| Product Name | ZrO2 [wt%] | Y2O3 [wt%] | Fe2O3 [wt%] | SiO2 [wt%] | HfO2 [wt%] | Al2O3 [wt%] | Na2O [wt%] |
|---|---|---|---|---|---|---|---|
| Prettau (group A) | 87–93 | <12 | 0.01 | 0.02 | 0 | 0–1 | 0.04 |
| Diazir * (group B) | 87–95 | 4–6 | 0 | 0 | 1–5 | 0–1 | 0 |
| Average | Group A (±SD) | Group B (±SD) | Group C (±SD) | Measure Unit |
|---|---|---|---|---|
| Flexural Strength | 427 (±59.5) | 805 (±198.4) | 440 (±96.2) | MPa |
| Fracture Toughness | 4.9 (±0.9) | 8.9 (±1.1) | 5.1 (±0.7) | MPa.m1/2 |
| Brittleness index | 230.9 (±46.4) | 144.9 (±20.3) | 295 (±42.8) | Hv/MPa.m1/2 |
| Vickers hardness | 1102 (±392) | 1284 (±32) | 1483 (±187) | Hv |
| Grain Size | 2.7 (±1.2) | 0.16 (±0.05) | 3.0 (±1.1) | µm2 |
Disclaimer/Publisher’s Note: The statements, opinions and data contained in all publications are solely those of the individual author(s) and contributor(s) and not of MDPI and/or the editor(s). MDPI and/or the editor(s) disclaim responsibility for any injury to people or property resulting from any ideas, methods, instructions or products referred to in the content. |
© 2023 by the authors. Licensee MDPI, Basel, Switzerland. This article is an open access article distributed under the terms and conditions of the Creative Commons Attribution (CC BY) license (https://creativecommons.org/licenses/by/4.0/).
Share and Cite
Mavriqi, L.; Traini, T. Mechanical Properties of Translucent Zirconia: An In Vitro Study. Prosthesis 2023, 5, 48-59. https://doi.org/10.3390/prosthesis5010004
Mavriqi L, Traini T. Mechanical Properties of Translucent Zirconia: An In Vitro Study. Prosthesis. 2023; 5(1):48-59. https://doi.org/10.3390/prosthesis5010004
Chicago/Turabian StyleMavriqi, Luan, and Tonino Traini. 2023. "Mechanical Properties of Translucent Zirconia: An In Vitro Study" Prosthesis 5, no. 1: 48-59. https://doi.org/10.3390/prosthesis5010004
APA StyleMavriqi, L., & Traini, T. (2023). Mechanical Properties of Translucent Zirconia: An In Vitro Study. Prosthesis, 5(1), 48-59. https://doi.org/10.3390/prosthesis5010004

