You are currently viewing a new version of our website. To view the old version click .
Quantum Reports
  • Article
  • Open Access

12 April 2025

Towards a Multiqudit Quantum Processor Based on a 171Yb+ Ion String: Realizing Basic Quantum Algorithms

,
,
,
,
,
,
,
,
and
1
P.N. Lebedev Physical Institute of the Russian Academy of Sciences, Moscow 119991, Russia
2
Russian Quantum Center, Skolkovo, Moscow 121205, Russia
*
Author to whom correspondence should be addressed.

Abstract

We demonstrate a quantum processor based on a 3D linear Paul trap that uses Yb + 171 ions with eight individually controllable four-level qudits (ququarts), which is computationally equivalent to a sixteen-qubit quantum processor. The design of the developed ion trap provides high secular frequencies and a low heating rate, which, together with individual addressing and readout optical systems, allows executing quantum algorithms. In each of the eight ions, we use four electronic levels coupled by E2 optical transition at 435 nm for qudit encoding. We present the results of single- and two-qubit operations benchmarking and realizing basic quantum algorithms, including the Bernstein–Vazirani and Grover’s search algorithms as well as H2 and LiH molecular simulations. Our results pave the way to scalable qudit-based quantum processors using trapped ions.

1. Introduction

Since the conceptualization of trapped-ion-based quantum computing [1] and the first experimental demonstrations of two-qubit gates [2,3,4], this physical platform is among the leading candidates for building scalable quantum computing devices [5]. Various quantum algorithms have been tested with trapped ions, such as quantum simulation [6], the Deutsch–Jozsa algorithm [3], basic prime factorization [7], and the Bernstein–Vazirani and Hidden Shift algorithms [8]. Trapped-ion-based quantum devices have been used to demonstrate error correction [9,10,11,12,13,14], e.g., fault-tolerant entanglement between two logical qubits [14,15,16] and quantum algorithms with logical qubits [17] have been realized. Today, trapped-ion systems show the highest quantum volume (QV) of 2097152 ( 2 21 ) in experiments by Quantinuum with the 56-qubit H2 processor [18]. We note that superconducting circuits [19,20], semiconductor quantum dots [21,22,23], photonic systems (both in free space and integrated optics) [24,25], and neutral atoms [26,27,28,29] are also in development as physical platforms for quantum computing.
However, scaling to large enough numbers of ion qubits without decreasing gate fidelities remains a significant problem [30,31]. The “heart” of an ion quantum processor is a trap, which allows one to create and control ion strings. A well-developed approach is to use a linear Paul trap [30]. This three-dimensional volumetric trap design with metal blades or rods is widely used in research laboratories for manipulation with several tens of ion qubits, providing long coherence times [32], high fidelity of quantum gates [33], and all-to-all connectivity [30,34]. However, scaling to hundreds of ions within this approach remains challenging. Specifically, increasing the number of ions saturates the spectrum of vibrational modes, used as a quantum bus between particles, leading to a decrease in the ion-to-ion entanglement fidelity. In order to overcome this challenge, instead of increasing the number of particles within a single trap, one can use several ion traps and share entanglement between them. This can be achieved by employing photonic interconnects between remote traps [35,36] or by using a so-called quantum charge-coupled device architecture [37], in which ions are physically transported between separated traps [38]. Both these approaches have been demonstrated experimentally; however, they appear to be quite technologically demanding [34,38].
An inherent path to scale trapped-ion-based quantum processors is to use multilevel encoding. Indeed, each of the ions admits encoding not only qubits but also qudits, namely, d-level quantum systems, which are widely studied in the context of quantum technologies [39,40,41,42,43,44,45,46,47,48,49,50,51,52,53,54,55,56,57,58,59,60,61,62,63,64,65,66,67,68,69,70,71,72,73,74,75,76,77,78,79,79]. In the context of quantum computing, qudits can be used, first, to encode several qubits in a single qudit [56,57,71], and to use additional qudit levels to substitute ancilla qubits in multiqubit gate decompositions [66,67,78,79] (see also Ref. [80]). The latter is important, for example, in the case of the Toffoli gate implementation [51,53,81,82,83,84,85,86], which was experimentally realized with the use of ancillary levels on ions [87,88], superconducting circuits [67,89], and photons [66]. These approaches can be combined [90,91], in particular, in the realization of the Grover’s algorithm [79], where the use of qudits leads to significant advantages. Qudits also have significant potential for quantum matter simulations [92,93,94]. Specifically, the ion platform has proven itself particularly well in lattice gauge theory experimental simulations with qudits [95,96,97].
Recently, multiqudit processors have been realized with the use of trapped ions [98,99], superconducting circuits [89,100,101], and optical systems [77]. In the case of trapped ions, qudit processors with up to seven levels in each qudit with high-enough gate fidelities have been demonstrated [98,99]. Control over ion qudits with even higher dimensions was also demonstrated experimentally [102]. The crucial challenges in the development of qudit ion processors are a more complicated readout procedure and the reduced coherence, as it is usually difficult to find many controllable magnetically insensitive states in the ion. Thus, qudits are usually more susceptible to the magnetic field noise. Several approaches, including dynamical decoupling [103] and magnetic shielding [98], are suggested to improve the coherence time, which significantly increases the qudits applicability for realizing quantum algorithms.
In this work, we present the realization of the next generation of a quantum processor based on Yb + 171 qudits, where we encode quantum information in an E2 optical transition at 435 nm. One of the major improvements over our previous system [99] is a new trap. The developed ion trap provides better optical access and higher secular frequencies, and its architecture allows cooling, which significantly improves radial secular frequency stability, the heating rate, and the lifetime of the ion string. Additional modifications include a new readout system based on a fiber array, providing individual ion resolution, higher detection efficiency, an improved ion addressing system, and a control system. This enabled us to control a universal eight-qudit quantum processor with four levels in each particle. As qudits can be viewed as a generalization of qubits, the processor is capable of operating in both a full qudit mode and in a traditional qubit mode, where all operations are performed at only two levels within each ion. This helps to independently and progressively benchmark various features of the system. In addition to the details on the processor design, we also demonstrate the results of its benchmarking. We realize basic quantum algorithms, including the Bernstein–Vazirani algorithm and Grover’s search, as well as H2 and LiH molecular simulations.
Our work is organized as follows. In Section 2, we discuss the chosen ion species and information encoding type. In Section 3, we describe our experimental setup. In Section 4, we describe the benchmarking of single- and two-qudit gates in our setup. In Section 5, we present the results of the realization of basic quantum algorithms. We summarize our results in Section 6.

2. Qudits Encoded in Yb + 171 Ions

Yb + 171 ions are one of the natural choices for the development of quantum computing devices due to their rich and convenient energy structure [31]; see Figure 1. Laser cooling, state initialization, and high-fidelity readout can be straightforwardly implemented using readily available diode lasers [104]. Another feature of this type of ion is the high resistance of the ion chain to collisions with the background gas. If a Yb+ ion experiences a collision with a gas particle (typically hydrogen) with the occasional formation of a YbH+ molecule, the latter can be efficiently photodissociated using, e.g., a cooling laser at 369 nm. But the most important is a wide spectrum of states suitable for quantum information encoding, especially an Yb + 171 isotope with hyperfine doublets (nuclear spin equals I = 1 / 2 ). Using different levels, a variety of methods both to encode quantum information and to perform quantum operations can be implemented. Today, the Yb + 171 is one of the most widely used ions for quantum processors [30,31], with several world-best results, e.g., the highest quantum volume [105] and the longest coherence time [32].
Figure 1. Yb + 171 level structure. The laser fields used for laser cooling, state initialization, manipulation, and readout are shown with solid lines. Dotted lines correspond to the modulation sidebands that are obtained with electro-optical modulators and prevent population trapping in metastable hyperfine sublevels.
In contrast to the ground state hyperfine levels encoding at 12.6 GHz demonstrated in several experiments [8,106], we use an alternative approach to encode quantum information: we employ the ground state 2S1/2 ( F = 0 , m F = 0 ) and the Zeeman sublevels of 2D3/2 ( F = 2 ) as qudit states (Figure 1). Therefore, the maximum qudit dimension that is supported by our system is d = 6 . The | 0 = S 1 / 2 2 ( F = 0 , m F = 0 ) state can be coupled to the upper states by the electric quadrupole transition at λ = 435.5 nm with a natural linewidth of 3 Hz (the upper state lifetime is τ = 53 ms). In this work, we use only four of these states, as in this way a direct mapping between our qudit system and an analogous qubit setup can be easily made. We label these states | 0 = S 1 / 2 2 ( F = 0 , m F = 0 ) , | 1 = S 3 / 2 2 ( F = 2 , m F = 0 ) , | 2 = S 3 / 2 2 ( F = 2 , m F = 1 ) , and | 3 = S 3 / 2 2 ( F = 2 , m F = 1 ) as shown in Figure 1. Compared to the conventional scheme with a 12.6 GHz microwave qubit, our approach provides (i) a larger qudit dimension; (ii) a straightforward way to readout the state of the whole qudit in one shot; and (iii) a convenient laser wavelength (435.5 nm) required for the qudit manipulation. The spectral region around 400 nm allows for combining both high spatial resolution for the individual addressing and compatibility with the visible-range optical components, including wide scan-range TeO 2 acousto-optical deflectors (AODs). The main drawback of optical encoding is the limited qudit coherence time due to, first, the limited upper state lifetime and, second, the first-order sensitivity to the magnetic field fluctuations of the states with a non-zero magnetic quantum number. Still, the natural lifetime is sufficiently long to perform, in principle, hundreds of quantum operations, while the problem of magnetic sensitivity can be circumvented by magnetic shielding or by dynamical decoupling. Previously, we demonstrated experimentally coherence times of more than 9 ms for magnetic-sensitive transitions using continuous dynamical decoupling [103] without magnetic shielding.

3. Eight-Qudit Quantum Processor

The general setup scheme is shown in Figure 2. The quantum register of eight Yb + 171 ions is stored in a four-blade linear Paul trap. The trap secular frequencies of center-of-mass motional modes along the trap principal axes are { ω x , ω y , ω z } = 2 π × { 3.7 , 3.8 , 0.116 } MHz. A detailed description of the trap and all experimental procedures is given in the Methods section of the Supplemental Materials. Before each experimental run, ions are Doppler-cooled [107,108], which is followed by the resolved-sideband cooling [109] of radial modes to the motional ground state. The achieved mean phonon number in all radial mode is less than 0.1, while the heating rate of center-of-mass radial modes is measured to be n ˙ = 23 ± 3 phonons/s (see Supplemental Materials). After the cooling procedure ions are initialized in the state | 0 using optical pumping.
Figure 2. Linear Paul trap and laser beam configuration. Beams along the trap axis z perform readout, recrystallization (369 nm), and repumping (935 nm and 760 nm). The photoionization (399 nm) and the main Doppler cooling (369 nm) beams propagate at an angle to all three principle trap axes. Individual and global addressing beams at 435 nm propagate orthogonally to the trap axis and to each other. The quantization magnetic field is directed orthogonally to the trap axis and at 60° to the individual addressing beams.
The quantum operations on the quantum register are performed with a laser at 435.5 nm, which is frequency-stabilized with respect to a high-finesse cavity. All the addressing beams are aligned orthogonally to the trap axis. One of them hits all the ions simultaneously (global addressing beam) and is used for the ground state cooling, global quantum gates, and micromotion compensation (details on these procedures are given in the Supplemental Materials). The other two beams, which are referred to as individual addressing beams (IABs), are aligned perpendicularly to the main beam and have a tight focus on the ion beam in order to resolve individual particles within it. The scanning of the beams along the ion chain is performed using acousto-optical deflectors (AODs). In contrast to other works [98,110], we use two dedicated individual beams controlled with their own AOMs and AODs for single- and two-qudit operations instead of the multi-frequency drive of an AOD in a single beam. This results in more degrees of freedom at the cost of slow relative phase fluctuations between these beams due to drifts in the non-common optical path lengths. The influence of these fluctuations is suppressed by performing operations, which could be affected in a phase-insensitive way (see Supplemental Materials). The cross-talk of the individual addressing beams is 3–5%, depending on the ion.
Two types of native single-qudit operations are supported by our system. The first type is given by the operator
R ϕ 0 j θ = exp ( ı σ ϕ 0 j θ / 2 ) ,
where θ is the rotation angle, 0 and j { 1 , 2 , 3 } denote addressed levels of the qudit, σ ϕ 0 j = cos ϕ σ x 0 j + sin ϕ σ y 0 j , σ κ 0 j with κ = x , y , z stands for the standard Pauli matrix acting in the two-level subspace spanned by | 0 and | j (e.g., σ y 03 = ı | 0 3 | + ı | 3 0 | ), and the angle ϕ specifies a rotation axis. We fix notations for rotations around the x- and y-axes: R x 0 j θ : = R ϕ = 0 0 j θ , R y 0 j θ : = R ϕ = π / 2 0 j θ . For rotations performed in the qubit subspace of the qudit, we also fix the notation R ϕ θ : = R ϕ 01 θ . The gate is implemented with a laser pulse at 435 nm resonant to the | 0 | j transition (details are given in the Supplemental Materials).
The second type of native single-qudit gate is a virtual phase gate:
R z j θ = exp ı θ | j j | ,
which is a generalization of widely used qubit virtual phase gates [111] to a qudit case (in a case of only two levels, this defined gate becomes equal to the standard form R z θ = exp ı θ 2 σ z up to a global phase). Here, | j = | 0 , . . . , | 3 is the qudit state, which acquires an additional phase θ . This gate is implemented by the appropriate shift of the IAB phase during all successive real gates.
As shown in Ref. [112], the two-qubit Hilbert space maps onto a single ququart. This reference also shows how a universal qubit gate set { R ϕ θ , C Z } on a register of qubits embedded in ququarts can be transpiled with a native qudit gate set { R ϕ 0 j θ } , R z j θ , X X ( χ ) , which we present here. Thus, the gate set implemented in our system also constitutes a universal set. This illustrates the fact that each qudit in our system can be treated as a pair of qubits.
To entangle several qudits with each other, we use the Mlmer-Srensen (MS) gate [4,113,114,115]
X X ( χ ) = exp ı χ 2 ( σ x 01 I + I σ x 01 ) 2 .
on a | 0 | 1 transition performed with bichromatic laser beams at 435 nm (details are given in the Supplemental Materials). The addition of such a gate to the set of single-qudit operations described above completes the construction of a universal gate set [112]. We note that we omit indexes 01 indicating involved levels in the gate designation to simplify notation. In a qubit subspace, this becomes a fully entangling gate at χ = π / 4 . It should be noted that this gate does not simply reduce to exp ( ı χ σ x 01 σ x 01 ) , since additional phases are also acquired by states | 2 and | 3 . These additional phases, however, can be compensated with virtual single-qudit gates [98], which do not reduce the overall entangling gate performance. The technical details on the implementation of both single- and two-qudit operations are given in the Supplemental Materials.
At the end of each experimental run, the states of all qudits in the register are detected using a sequential electron-shelving technique. In the first stage, the standard electron-shelving technique is employed to distinguish the state | 0 from others ( | 1 , | 2 , | 3 ): an ion in state | 0 strongly scatters photons under the illumination with 369 nm and 935 nm lasers, while for ions in other states, the scattering is suppressed. The scattered photons are collected with an in-vacuum composite lens. An ion string image is projected by the lens on a grid of multimode optical fibers, spaced according to the particles in the chain, coupled to the individual channels of a multi-channel photomultiplier tube (PMT). After the first stage, an R x 01 ( π ) gate is applied to all the ions in the register, and the measurement is repeated, while in this case, the strong fluorescence appears if the ion initially was in the | 0 or | 1 state. The same operation is repeated with state | 2 . The population in the remaining state | 3 is derived using a normalization condition. The mean state preparation and measurement (SPAM) fidelity was estimated to be 96.4(2)% per ion. More details on the procedure and SPAM fidelity measurement data are presented in the Supplemental Materials.
It should also be noted that this readout protocol can also be used to perform mid-circuit measurements. In this case, the population from the | 0 state in the qudits, which should not be affected by the readout procedure, is “hidden” from the 369 nm light by transferring them to the 2D3/2 ( F = 2 , m F = + 2 ) state for the duration of the measurement protocol.
The protocol itself is identical to the one described above, except that all single-qudit operations are performed only on the ions to be read out. The phase shifts acquired by the “hidden” ions during the measurement can be compensated with an appropriate sequence of dynamical decoupling pulses.

4. Components Benchmarking

4.1. Single-Qudit Gates

Single-qudit gates are characterized using the randomized benchmarking (RB) [116] method. We individually benchmark gates on each qudit transition ( | 0 | 1 , | 0 | 2 , | 0 | 3 ) using the classical qubit RB technique while keeping all eight ions in the trap. Cross-talk errors are ignored in this measurement.
Random circuits have been generated and then transpiled to our native gates. To keep the fidelities of each Clifford gate on the same level, we transpiled each gate using U3 decomposition:
U 3 ( θ , ϕ , λ ) = cos θ 2 e ı λ sin θ 2 e ı ϕ sin θ 2 e ı ( ϕ + λ ) cos θ 2 R z 0 j ( ϕ ) R x 0 j ( π / 2 ) R z 0 j ( θ ) R x 0 j ( π / 2 ) R z 0 j ( λ ) .
Thus, each Clifford gate always has two real π / 2 rotations and three virtual phase rotations. As we expect all real rotations to have approximately the same fidelity, all Cliffords, even the identity gate, have fidelities close to each other.
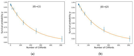
We perform measurements on all eight ions in the chain and all three qudit transitions. From ion to ion, results differ only statistically. The difference between magnetically sensitive and magnetically insensitive transitions also appeared to be less than a statistical uncertainty. We present typical RB results in Figure 3. The mean single-qudit fidelity is extracted by fitting the | 0 state survival probability dependence on the circuit length l with a A + B p l function, where A, B, and p are fitting parameters. The fidelity given by p + ( 1 p ) / 2 is 99.75 ± 0.06 % . Our further investigations have shown that the leading contribution to the single-qudit gate infidelity is the addressing laser high-frequency phase noise.
Figure 3. Typical randomized benchmarking results on (a) | 0 | 1 and (b) | 0 | 2 transitions on a single ion in a chain of 8 particles. For each circuit length, 10 random samples were generated, each measured 300 times. Error bars show statistical uncertainty. The solid line shows the data fit with a A + B p l function, where l is the circuit length. Values of (a) p = 0.9950 ± 0.0011 and F S Q = 0.9975 ± 0.0006 and (b) p = 0.9952 ± 0.0011 and F S Q = 0.9976 ± 0.0006 are extracted from the fitting.

4.2. Two-Qudit Gate Benchmarking

To estimate the fidelity of our two-qudit gate, we follow the method of Ref. [117] and measure the preparation fidelity of the state ( | 00 ı | 11 ) / 2 from | 00 by applying an X X ( π / 4 ) gate to it. The fidelity can be estimated by measuring the total population A in states | 00 and | 11 after application of the gate and parity oscillations compared to B. To measure the parity oscillations, we apply single-qudit gates R ϕ 01 ( π / 2 ) to both entangled ions and scan the axis direction ϕ . The parity is defined as P = ρ 11 , 11 + ρ 00 , 00 ρ 10 , 10 ρ 01 , 01 , where ρ is a density matrix at the end of the circuit. The overall fidelity can be estimated as F = A / 2 + B / 2 . We show results of an entangling gate between a pair of ions when all eight ions are trapped in Figure 4. We reach two-qudit gate fidelities of 92.7 ± 0.7 % including state preparation and measurement (SPAM) errors.
Figure 4. Two-qudit gate benchmarking results between a pair of ions in the chain of 8 particles. (a) Population of the state | 11 (red) and total population in states | 01 and | 10 (blue) as a function of the entangling pulse length are shown. Vertical dash lines show durations corresponding to one, two, three, or four successive gate applications. The total population of states | 00 and | 11 is A = 0.96 ± 0.01 . (b) Parity oscillations measured after successive application of the entangling gate and an analyzing π / 2 pulse with varied phase ϕ . The parity amplitude extracted from the weighted fitting of the data is B = 0.895 ± 0.005 .
The estimated contributions of various error sources to the observed gate fidelity are presented in Table 1. The most significant error source is the fast phase noise of the addressing laser (residual phase noise spectral density at detunings larger than 100 kHz from carrier) [118]. Its contribution is calculated following [118] and using phase noise spectral density obtained via ion spectroscopy [119]. The slow laser frequency fluctuations (on a timescale of seconds and longer), which contribute the most to the T 2 * , were treated as a source of a qubit frequency shift, varying from one experimental shot to another, and taken into account as in [119]. As the measurement data are not SPAM-corrected, the SPAM also significantly affects the observed fidelity.
Table 1. Estimated two-qudit gate error budget.
The majority of these errors can be rather straightforwardly reduced. For example, the SPAM error can be decreased by improving the imaging system [120], while the fast laser phase noise may be filtered via a high-finesse cavity [121,122]. More advanced laser stabilization techniques also allow at least an order of magnitude improvement in the long-term frequency stability. Generally, effects of the decoherence can be reduced by performing the gate faster, which may be implemented with more efficient pulse shaping [123] and increased optical power.

4.3. Coherence Time

The relaxation time T 1 53 ms in our system is determined by the spontaneous decay from the states | k , k > 0 . If the magnetic field noise is suppressed only with an active feedback loop and experiment line-triggering, we achieve T 2 * = 16 ms on a magnetically insensitive | 0 | 1 transition and only T 2 * = 1 ms on other qudit transitions (more details are given in Ref. [103]). The T 2 * for | 0 | 1 is mainly determined by the laser frequency noise, as it does not depend on the bias magnetic field value and turning the line-triggering on and off. In the case of magnetically sensitive states, a relatively short T 2 * time is caused by magnetic field noise. To overcome this problem, we developed the schemes of continuous dynamical decoupling, which raised the magnetic-sensitive levels coherence time up to 9 ms [103].

5. Realization of Quantum Algorithms

Another approach to quantum processor benchmarking is to run quantum algorithms. For example, the Bernstein–Vazirani [124] and Grover’s [125] algorithms are widely used for this purpose [3,7,8]. Since the expected output state probability distributions after running these algorithms can be rather easily simulated classically, one may compare them with the output of the processor, as suggested in Ref. [8]. This benchmarking technique is more comprehensive than the component-based approach, as it not only catches errors from all the system components but also takes into account their interactions.

5.1. Algorithmic Benchmarking in the Qubit Regime

The first stage of algorithmic benchmarking was performed with the quantum processor operating in the qubit regime, namely, when only two levels | 0 and | 1 were employed for the information encoding. In this regime, the processor uses most of its native quantum gates and thus its performance can be benchmarked in many aspects, while the results can be directly compared to the other ion systems.
We note that in this regime, single- and two-qubit gates in the algorithms are directly transpiled to the corresponding single-qudit operations between levels | 0 and | 1 and native MS two-qudit operations.

5.1.1. Two-Qubit Bernstein–Vazirani Algorithm

The Bernstein–Vazirani algorithm [124] deals with the class of Boolean functions f ( x ) : { 0 , 1 } n { 0 , 1 } , which is known to be the dot product between its argument x = ( x 0 , , x n 1 ) and a secret bit string a = ( a 0 , , a n 1 ) :
f ( x ) = x · a = i x i a i ( mod 2 ) .
The task of the algorithm is to find this bit string a. The quantum oracle for this problem has the form
U f : | x | t | x | f ( x ) t
(here, ⊕ denotes mod 2 summation). The essence of the Bernstein–Vazirani algorithm is in obtaining the value of a using a single query to the quantum oracle:
( H ( n + 1 ) U f H ( n + 1 ) ) | 0 n | 1 = | a | 1 ,
where H denotes a standard Hadamard gate.
To execute the Bernstein–Vazirani algorithm on our trapped-ion processor, we transpile the circuit to the set of native single-qudit and two-qudit gates between levels | 0 and | 1 . Each part of the algorithm (preparation of a uniform superposition of input states, the oracle, and answer decoding) is transpiled separately since all other parts of the algorithm should be independent from the oracle. For this reason, we do not unite rotations from the oracle with nearby standing gates. As the Bernstein–Vazirani algorithm requires one ancilla qubit, the key length of the two-qubit algorithm is one bit. In the case of ideal implementation of the algorithm, the oracle secret key is given by the output state of the first qubit with a 100% success probability. The transpiled circuit and experimental results are presented in Figure 5. Both circuits were executed 1024 times. The measured success probability averaged over secret key values is 95%.
Figure 5. Two-qubit Bernstein–Vazirani circuit with native ion gates. In (a), the oracle is given for a = 1 . In the case a = 0 , the oracle is equivalent to the identity operator. Success probabilities for a = 0 and a = 1 are depicted in (b,c), correspondingly.

5.1.2. Two-Qubit Grover’s Algorithm

Grover’s algorithm [125,126] considers a black-box function f : { 0 , 1 } n { 0 , 1 } , which yields 0 for all bit strings except one (s), for which the output is 1 ( f ( s ) = 1 ). Grover’s algorithm finds this special value s. The function f ( x ) is encoded in the oracle. The algorithm creates a uniform superposition of all possible input states, which is followed by several cycles of Grover iterations, each resulting in the amplification of the | s amplitude. Grover’s algorithm provides a quadratic speedup; however, it has been proven [127] that no higher speedup is possible for this problem.
A single iteration of the Grover algorithm consists of two parts: the oracle U f | x ( 1 ) f ( x ) | x , which applies the phase factor ( 1 ) f ( x ) to the state | x , and a diffusion operator, which inverts the state around the average. Here, we consider a two-qubit version of Grover’s algorithm for four possible variants of the value s and keys of the oracle, respectively. For the two-qubit case, it is sufficient to implement only one iteration of the algorithm, which includes two two-qudit gates: one in the oracle and one in the diffusion operator. The transpiled circuit for this algorithm and the experimental results of its execution for different values of s are presented in Figure 6. Each circuit was executed 1024 times. The average success probability of algorithm execution is 83%.
Figure 6. In (a), the transpiled Grover’s algorithm circuit for s = ( s 0 , s 1 ) is presented. The experimental results of its execution for all possible values of s are depicted in (be).

5.1.3. Quantum Chemistry: H2 and LiH Simulations

We follow the Iterative Quantum Assisted Eigensolver (IQAE) [128,129,130,131] algorithm for computing molecular ground-state energies (see Supplemental Materials). Under the Born–Oppenheimer approximation, the molecular Hamiltonian is usually expressed in its second-quantized form:
H = p , q = 1 N h p q a p a q + 1 2 p , q , r , s = 1 N g p q r s a p a r a s a q ,
where a p ( a p ) is the fermionic creation (annihilation) operator and N is the number of molecular basis functions. The coefficients h p q and g p q r s are called one- and two-electron integrals and can be computed classically.
This Hamiltonian is transformed into a weighted sum of qubit operators, or Pauli strings, which are tensor products of Pauli matrices X, Y, and Z, and the identity operator I. After the transformation, the Hamiltonian is expressed as H = i β i U i , where each U i represents a Pauli string.
For our molecular simulations of both H2 and LiH, we use the minimal basis set STO-3G [132] (Slater-Type Orbital approximated by three Gaussian functions). Specifically, for the H2 molecule, we employ the parity [133] transformation with a two-qubit reduction to derive a two-qubit Hamiltonian. The use of an order of Krylov subspace K = 1 (see Supplemental Materials) is sufficient to achieve results within the chemical accuracy range, resulting in overlap matrices of dimension 5 × 5 . The results for H2 are shown in Figure 7a.
Figure 7. (a) Potential energy surface for the H 2 molecule. The blue-shaded region around the Full Configuration Interaction (FCI) curve in the inset represents the chemical accuracy threshold of 0.0016 Hartree. Starting with state | 01 , we used the Hardware-Efficient circuit C ( θ ) = R y 0 ( θ 0 ) R y 1 ( θ 0 ) C X ( 0 , 1 ) R y 0 ( θ 1 ) R y 1 ( θ 1 ) with fixed parameters θ 0 = 0.5477 and θ 1 = 0.0703 and 4096 shots. The upper index of the rotation gate corresponds to the qubit index. (b) Potential energy surface for the LiH molecule. The blue-shaded region around the FCI curve in the inset represents the chemical accuracy threshold of 0.0016 Hartree. We use | 10010 as the initial state, which is supplemented with a parameterized Hardware-Efficient circuit having 10 fixed parameters, taking 512 shots for each circuit execution.
For the LiH molecule, we used Jordan–Wigner [134] transformation along with the qubit-tapering procedure [135] and froze orbitals to obtain a five-qubit Hamiltonian for our simulation. Again, by using an order of the Krylov subspace K = 4 , we can achieve results within the chemical accuracy range, resulting in overlap matrices of dimension 1024 × 1024 . The results for the LiH molecule are presented in Figure 7b.

5.2. Algorithmic Benchmarking in Ququart Regime

While the qubit regime allows one to benchmark the majority of the processor features and subsystems, such as single- and two-qudit gates, which are common for both regimes, individual addressing, and the influence of the cross-talks, readout errors, decoherence due to ions spontaneous decay, laser instabilities, and ion string heating, some of the noise sources in the qudit processor are specific to the qudit regime. The most significant of such error sources are the relative coherence between different qudit levels and the effects of applying quantum gates on spectator (unaffected) levels. The first of these sources can be relevant as various qudit levels have different sensitivity to the magnetic field fluctuations, while the second one can occur due to Stark shifts on the spectator levels. The simplest algorithm that can capture both of these effects is a two-qubit Bernstein–Vazirani algorithm transpiled to be run within a ququart. In this transpilation, it has a form similar to the Ramsey-type experiment. It is inherently sensitive to the coherence between levels, as well as to the both phase and population changes in spectator states during single-qudit operations.
The transpiled circuit and experimental results are presented in Figure 8. Here, we encode two qubits in a ququart according to the following mapping: | 0 | 01 , | 1 | 11 , | 2 | 10 , and | 3 | 00 . Each circuit was executed 1024 times, ending with a full ququart readout procedure. The measured success probability averaged over secret key values is 97%, which proves coherence between levels and exceeds the result for the qubit regime. This is an expected result as the two-particle entangling operation in the algorithm is replaced with a single-qudit one, which is one of the features of the qudits, resulting in better process fidelity. The main contribution to the error here is SPAM error. This experiment showed no evidence of the cross-talk between single-qudit operations acting on different level pairs or additional phases acquired by the spectator states due to the Stark effect.
Figure 8. Single-qudit Bernstein–Vazirani circuits for chosen qubit-to-ququart encoding for a = 0 and a = 1 (in (a,b), respectively) and experimental results of their execution (in (c,d)).

6. Conclusions

In this work, we presented an eight-ion-based qudit quantum processor. The developed qudit processor uses trapped Yb + 171 ions, where quantum information is encoded in Zeeman sublevels of states 2S1/2 ( F = 0 ) and 2D3/2 ( F = 2 ) , coupled by an E2 transition at 435 nm. Using four states in each particle for information encoding (ququarts) makes the presented setup computationally equivalent to a 16-qubit quantum processor. We described details of the setup, including a new Paul trap and addressing and readout systems, which provided significant improvements over the previous generation of the experiment [99] and allowed running quantum algorithms. We presented the results of component-based system benchmarking, including the fidelities of single- and two-qudit operations. At the same time, we started algorithmic benchmarking of our processor, gradually increasing the complexity of the problems. We showed the results of executing the two-qubit Bernstein–Vazirani and Grover’s search algorithms, as well as H2 and LiH molecular simulations. We also compared the performance of the two-qubit Bernstein–Vazirani algorithm in qubit and ququart regimes, showing that embedding several qubits inside one particle can result in an advantage in the algorithm’s performance. This is an important step towards efficiently exploiting properties of multilevel systems for useful applications. Despite a more complicated readout procedure and higher sensitivity to the various decoherence sources, the qudit approach enables one to at least double the computational space dimension with the same number of particles as well as run some algorithms more efficiently due to replacing multiparticle gates with single-qudit ones and reducing the number of entanglements required [79]. Our future plans include further study of our system by running more complicated algorithms, utilizing a larger Hilbert space available in our system, and continuing to improve the system’s performance. The former is also in line with experimentally studying the advantages of the qudit approach in comparison with conventional qubits, in particular for the Grover’s search algorithm [79]. To improve the system’s performance, we are actively working on reducing the addressing laser noise, reducing magnetic field fluctuations, and developing more efficient experiment control protocols.

Supplementary Materials

The following supporting information can be downloaded at https://www.mdpi.com/article/10.3390/quantum7020019/s1; Figure S1: Results of the heating rate measurement along the x-axis (radial) of the trap; Figure S2: Individual addressing scheme; Figure S3: Readout optical scheme; Figure S4: The SPAM confusion matrix averaged along all qudits in the register. The Supplementary Materials provides more detailed information on the experimental setup and IQAE algorithm implementation.

Author Contributions

Methodology, E.O.K.; Software, I.V.Z., A.E.K., P.L.S. and N.V.S.; Validation, M.A.A.; Investigation, I.V.Z., A.S.N., A.S.B., A.E.K., K.P.G., V.N.S. and K.M.M.; Writing—original draft, I.V.Z., A.S.N., N.V.S. and K.M.M.; Writing—review and editing, M.A.A., E.O.K., A.K.F., I.A.S., K.Y.K. and N.N.K.; Supervision, A.K.F., I.A.S., K.Y.K. and N.N.K. All authors have read and agreed to the published version of the manuscript.

Funding

This research was funded by Russian Roadmap on Quantum Computing, Contract No. 868-1.3-15/15-2021 dated 5 October 2021.

Data Availability Statement

The data supporting the findings of this study are available from the corresponding author(s) upon reasonable request.

Conflicts of Interest

The authors declare no conflicts of interest.

References

  1. Cirac, J.I.; Zoller, P. Quantum Computations with Cold Trapped Ions. Phys. Rev. Lett. 1995, 74, 4091–4094. [Google Scholar] [CrossRef] [PubMed]
  2. Monroe, C.; Meekhof, D.M.; King, B.E.; Itano, W.M.; Wineland, D.J. Demonstration of a Fundamental Quantum Logic Gate. Phys. Rev. Lett. 1995, 75, 4714–4717. [Google Scholar] [CrossRef] [PubMed]
  3. Gulde, S.; Riebe, M.; Lancaster, G.P.T.; Becher, C.; Eschner, J.; Häffner, H.; Schmidt-Kaler, F.; Chuang, I.L.; Blatt, R. Implementation of the Deutsch–Jozsa algorithm on an ion-trap quantum computer. Nature 2003, 421, 48–50. [Google Scholar] [CrossRef]
  4. Schmidt-Kaler, F.; Häffner, H.; Riebe, M.; Gulde, S.; Lancaster, G.P.T.; Deuschle, T.; Becher, C.; Roos, C.F.; Eschner, J.; Blatt, R. Realization of the Cirac–Zoller controlled-NOT quantum gate. Nature 2003, 422, 408–411. [Google Scholar] [CrossRef]
  5. Fedorov, A.K.; Gisin, N.; Beloussov, S.M.; Lvovsky, A.I. Quantum computing at the quantum advantage threshold: A down-to-business review. arXiv 2022, arXiv:2203.17181. [Google Scholar]
  6. Blatt, R.; Roos, C.F. Quantum simulations with trapped ions. Nat. Phys. 2012, 8, 277–284. [Google Scholar] [CrossRef]
  7. Monz, T.; Nigg, D.; Martinez, E.A.; Brandl, M.F.; Schindler, P.; Rines, R.; Wang, S.X.; Chuang, I.L.; Blatt, R. Realization of a scalable Shor algorithm. Science 2016, 351, 1068–1070. [Google Scholar] [CrossRef]
  8. Wright, K.; Beck, K.M.; Debnath, S.; Amini, J.M.; Nam, Y.; Grzesiak, N.; Chen, J.S.; Pisenti, N.C.; Chmielewski, M.; Collins, C.; et al. Benchmarking an 11-qubit quantum computer. Nat. Commun. 2019, 10, 5464. [Google Scholar] [CrossRef]
  9. Chiaverini, J.; Leibfried, D.; Schaetz, T.; Barrett, M.D.; Blakestad, R.B.; Britton, J.; Itano, W.M.; Jost, J.D.; Knill, E.; Langer, C.; et al. Realization of quantum error correction. Nature 2004, 432, 602–605. [Google Scholar] [CrossRef]
  10. Schindler, P.; Barreiro, J.T.; Monz, T.; Nebendahl, V.; Nigg, D.; Chwalla, M.; Hennrich, M.; Blatt, R. Experimental Repetitive Quantum Error Correction. Science 2011, 332, 1059–1061. [Google Scholar] [CrossRef]
  11. Stricker, R.; Vodola, D.; Erhard, A.; Postler, L.; Meth, M.; Ringbauer, M.; Schindler, P.; Monz, T.; Müller, M.; Blatt, R. Experimental deterministic correction of qubit loss. Nature 2020, 585, 207–210. [Google Scholar] [CrossRef] [PubMed]
  12. Egan, L.; Debroy, D.M.; Noel, C.; Risinger, A.; Zhu, D.; Biswas, D.; Newman, M.; Li, M.; Brown, K.R.; Cetina, M.; et al. Fault-tolerant control of an error-corrected qubit. Nature 2021, 598, 281–286. [Google Scholar] [CrossRef]
  13. Erhard, A.; Poulsen Nautrup, H.; Meth, M.; Postler, L.; Stricker, R.; Stadler, M.; Negnevitsky, V.; Ringbauer, M.; Schindler, P.; Briegel, H.J.; et al. Entangling logical qubits with lattice surgery. Nature 2021, 589, 220–224. [Google Scholar] [CrossRef]
  14. Postler, L.; Heuβen, S.; Pogorelov, I.; Rispler, M.; Feldker, T.; Meth, M.; Marciniak, C.D.; Stricker, R.; Ringbauer, M.; Blatt, R.; et al. Demonstration of fault-tolerant universal quantum gate operations. Nature 2022, 605, 675–680. [Google Scholar] [CrossRef]
  15. Ryan-Anderson, C.; Brown, N.C.; Allman, M.S.; Arkin, B.; Asa-Attuah, G.; Baldwin, C.; Berg, J.; Bohnet, J.G.; Braxton, S.; Burdick, N.; et al. Implementing Fault-tolerant Entangling Gates on the Five-qubit Code and the Color Code. arXiv 2022, arXiv:2208.01863. [Google Scholar]
  16. Paetznick, A.; da Silva, M.P.; Ryan-Anderson, C.; Bello-Rivas, J.M.; III, J.P.C.; Chernoguzov, A.; Dreiling, J.M.; Foltz, C.; Frachon, F.; Gaebler, J.P.; et al. Demonstration of logical qubits and repeated error correction with better-than-physical error rates. arXiv 2024, arXiv:2404.02280. [Google Scholar]
  17. Yamamoto, K.; Duffield, S.; Kikuchi, Y.; Ramo, D.M. Demonstrating Bayesian Quantum Phase Estimation with Quantum Error Detection. arXiv 2023, arXiv:2306.16608. [Google Scholar] [CrossRef]
  18. System Model h2. Available online: https://www.quantinuum.com/products-solutions/quantinuum-systems/system-model-h2 (accessed on 6 April 2025).
  19. Arute, F.; Arya, K.; Babbush, R.; Bacon, D.; Bardin, J.C.; Barends, R.; Biswas, R.; Boixo, S.; Brandao, F.G.S.L.; Buell, D.A.; et al. Quantum supremacy using a programmable superconducting processor. Nature 2019, 574, 505–510. [Google Scholar] [CrossRef]
  20. Wu, Y.; Bao, W.S.; Cao, S.; Chen, F.; Chen, M.C.; Chen, X.; Chung, T.H.; Deng, H.; Du, Y.; Fan, D.; et al. Strong Quantum Computational Advantage Using a Superconducting Quantum Processor. Phys. Rev. Lett. 2021, 127, 180501. [Google Scholar] [CrossRef]
  21. Xue, X.; Russ, M.; Samkharadze, N.; Undseth, B.; Sammak, A.; Scappucci, G.; Vandersypen, L.M.K. Quantum logic with spin qubits crossing the surface code threshold. Nature 2022, 601, 343–347. [Google Scholar] [CrossRef]
  22. Madzik, M.T.; Asaad, S.; Youssry, A.; Joecker, B.; Rudinger, K.M.; Nielsen, E.; Young, K.C.; Proctor, T.J.; Baczewski, A.D.; Laucht, A.; et al. Precision tomography of a three-qubit donor quantum processor in silicon. Nature 2022, 601, 348–353. [Google Scholar] [CrossRef] [PubMed]
  23. Noiri, A.; Takeda, K.; Nakajima, T.; Kobayashi, T.; Sammak, A.; Scappucci, G.; Tarucha, S. Fast universal quantum gate above the fault-tolerance threshold in silicon. Nature 2022, 601, 338–342. [Google Scholar] [CrossRef]
  24. Zhong, H.S.; Wang, H.; Deng, Y.H.; Chen, M.C.; Peng, L.C.; Luo, Y.H.; Qin, J.; Wu, D.; Ding, X.; Hu, Y.; et al. Quantum computational advantage using photons. Science 2020, 370, 1460–1463. [Google Scholar] [CrossRef]
  25. Madsen, L.S.; Laudenbach, F.; Askarani, M.F.; Rortais, F.; Vincent, T.; Bulmer, J.F.F.; Miatto, F.M.; Neuhaus, L.; Helt, L.G.; Collins, M.J.; et al. Quantum computational advantage with a programmable photonic processor. Nature 2022, 606, 75–81. [Google Scholar] [CrossRef] [PubMed]
  26. Ebadi, S.; Wang, T.T.; Levine, H.; Keesling, A.; Semeghini, G.; Omran, A.; Bluvstein, D.; Samajdar, R.; Pichler, H.; Ho, W.W.; et al. Quantum phases of matter on a 256-atom programmable quantum simulator. Nature 2021, 595, 227–232. [Google Scholar] [CrossRef]
  27. Scholl, P.; Schuler, M.; Williams, H.J.; Eberharter, A.A.; Barredo, D.; Schymik, K.N.; Lienhard, V.; Henry, L.P.; Lang, T.C.; Lahaye, T.; et al. Quantum simulation of 2D antiferromagnets with hundreds of Rydberg atoms. Nature 2021, 595, 233–238. [Google Scholar] [CrossRef] [PubMed]
  28. Henriet, L.; Beguin, L.; Signoles, A.; Lahaye, T.; Browaeys, A.; Reymond, G.O.; Jurczak, C. Quantum computing with neutral atoms. Quantum 2020, 4, 327. [Google Scholar] [CrossRef]
  29. Graham, T.M.; Song, Y.; Scott, J.; Poole, C.; Phuttitarn, L.; Jooya, K.; Eichler, P.; Jiang, X.; Marra, A.; Grinkemeyer, B.; et al. Multi-qubit entanglement and algorithms on a neutral-atom quantum computer. Nature 2022, 604, 457–462. [Google Scholar] [CrossRef]
  30. Monroe, C.; Kim, J. Scaling the Ion Trap Quantum Processor. Science 2013, 339, 1164–1169. [Google Scholar] [CrossRef]
  31. Bruzewicz, C.D.; Chiaverini, J.; McConnell, R.; Sage, J.M. Trapped-ion quantum computing: Progress and challenges. Appl. Phys. Rev. 2019, 6, 021314. [Google Scholar] [CrossRef]
  32. Wang, P.; Luan, C.Y.; Qiao, M.; Um, M.; Zhang, J.; Wang, Y.; Yuan, X.; Gu, M.; Zhang, J.; Kim, K. Single ion qubit with estimated coherence time exceeding one hour. Nat. Commun. 2021, 12, 233. [Google Scholar] [CrossRef] [PubMed]
  33. Gaebler, J.P.; Tan, T.R.; Lin, Y.; Wan, Y.; Bowler, R.; Keith, A.C.; Glancy, S.; Coakley, K.; Knill, E.; Leibfried, D.; et al. High-Fidelity Universal Gate Set for 9Be+ Ion Qubits. Phys. Rev. Lett. 2016, 117, 060505. [Google Scholar] [CrossRef]
  34. Brown, K.R.; Chiaverini, J.; Sage, J.M.; Häffner, H. Materials challenges for trapped-ion quantum computers. Nat. Rev. Mater. 2021, 6, 892–905. [Google Scholar] [CrossRef]
  35. Krutyanskiy, V.; Canteri, M.; Meraner, M.; Krcmarsky, V.; Lanyon, B.P. Multimode ion-photon entanglement over 101 kilometers of optical fiber. PRX Quantum 2024, 5, 020308. [Google Scholar] [CrossRef]
  36. Stephenson, L.J.; Nadlinger, D.P.; Nichol, B.C.; An, S.; Drmota, P.; Ballance, T.G.; Thirumalai, K.; Goodwin, J.F.; Lucas, D.; Ballance, C.J. High-Rate, High-Fidelity Entanglement of Qubits Across an Elementary Quantum Network. Phys. Rev. Lett. 2020, 124. [Google Scholar] [CrossRef]
  37. Kielpinski, D.; Monroe, C.; Wineland, D.J. Architecture for a large-scale ion-trap quantum computer. Nature 2002, 417, 709–711. [Google Scholar] [CrossRef]
  38. Pino, J.M.; Dreiling, J.M.; Figgatt, C.; Gaebler, J.P.; Moses, S.A.; Allman, M.S.; Baldwin, C.H.; Foss-Feig, M.; Hayes, D.; Mayer, K.; et al. Demonstration of the trapped-ion quantum CCD computer architecture. Nature 2021, 592, 209–213. [Google Scholar] [CrossRef] [PubMed]
  39. Farhi, E.; Gutmann, S. Analog analogue of a digital quantum computation. Phys. Rev. A 1998, 57, 2403–2406. [Google Scholar] [CrossRef]
  40. Kessel’, A.R.; Ermakov, V.L. Multiqubit spin. J. Exp. Theor. Phys. Lett. 1999, 70, 61–65. [Google Scholar] [CrossRef]
  41. Kessel’, A.R.; Ermakov, V.L. Physical implementation of three-qubit gates on a separate quantum particle. J. Exp. Theor. Phys. Lett. 2000, 71, 307–309. [Google Scholar] [CrossRef]
  42. Kessel, A.R.; Yakovleva, N.M. Implementation schemes in NMR of quantum processors and the Deutsch-Jozsa algorithm by using virtual spin representation. Phys. Rev. A 2002, 66, 062322. [Google Scholar] [CrossRef]
  43. Muthukrishnan, A.; Stroud, C.R. Multivalued logic gates for quantum computation. Phys. Rev. A 2000, 62, 052309. [Google Scholar] [CrossRef]
  44. Nielsen, M.A.; Bremner, M.J.; Dodd, J.L.; Childs, A.M.; Dawson, C.M. Universal simulation of Hamiltonian dynamics for quantum systems with finite-dimensional state spaces. Phys. Rev. A 2002, 66, 022317. [Google Scholar] [CrossRef]
  45. Wang, X.; Sanders, B.C.; Berry, D.W. Entangling power and operator entanglement in qudit systems. Phys. Rev. A 2003, 67, 042323. [Google Scholar] [CrossRef]
  46. Klimov, A.B.; Guzmán, R.; Retamal, J.C.; Saavedra, C. Qutrit quantum computer with trapped ions. Phys. Rev. A 2003, 67, 062313. [Google Scholar] [CrossRef]
  47. Bagan, E.; Baig, M.; Muñoz Tapia, R. Minimal measurements of the gate fidelity of a qudit map. Phys. Rev. A 2003, 67, 014303. [Google Scholar] [CrossRef]
  48. Vlasov, A.Y. Algebra of quantum computations with higher dimensional systems. In Proceedings of the First International Symposium on Quantum Informatics; Ozhigov, Y.I., Ed.; International Society for Optics and Photonics, SPIE: Bellingham, WA USA, 2003; Volume 5128, pp. 29–36. [Google Scholar] [CrossRef]
  49. Greentree, A.D.; Schirmer, S.G.; Green, F.; Hollenberg, L.C.L.; Hamilton, A.R.; Clark, R.G. Maximizing the Hilbert Space for a Finite Number of Distinguishable Quantum States. Phys. Rev. Lett. 2004, 92, 097901. [Google Scholar] [CrossRef]
  50. O’Leary, D.P.; Brennen, G.K.; Bullock, S.S. Parallelism for quantum computation with qudits. Phys. Rev. A 2006, 74, 032334. [Google Scholar] [CrossRef]
  51. Ralph, T.C.; Resch, K.J.; Gilchrist, A. Efficient Toffoli gates using qudits. Phys. Rev. A 2007, 75, 022313. [Google Scholar] [CrossRef]
  52. Lanyon, B.P.; Weinhold, T.J.; Langford, N.K.; O’Brien, J.L.; Resch, K.J.; Gilchrist, A.; White, A.G. Manipulating Biphotonic Qutrits. Phys. Rev. Lett. 2008, 100, 060504. [Google Scholar] [CrossRef]
  53. Ionicioiu, R.; Spiller, T.P.; Munro, W.J. Generalized Toffoli gates using qudit catalysis. Phys. Rev. A 2009, 80, 012312. [Google Scholar] [CrossRef]
  54. Ivanov, S.S.; Tonchev, H.S.; Vitanov, N.V. Time-efficient implementation of quantum search with qudits. Phys. Rev. A 2012, 85, 062321. [Google Scholar] [CrossRef]
  55. Li, B.; Yu, Z.H.; Fei, S.M. Geometry of Quantum Computation with Qutrits. Sci. Rep. 2013, 3, 2594. [Google Scholar] [CrossRef]
  56. Kiktenko, E.O.; Fedorov, A.K.; Man’ko, O.V.; Man’ko, V.I. Multilevel superconducting circuits as two-qubit systems: Operations, state preparation, and entropic inequalities. Phys. Rev. A 2015, 91, 042312. [Google Scholar] [CrossRef]
  57. Kiktenko, E.; Fedorov, A.; Strakhov, A.; Man’ko, V. Single qudit realization of the Deutsch algorithm using superconducting many-level quantum circuits. Phys. Lett. A 2015, 379, 1409–1413. [Google Scholar] [CrossRef]
  58. Song, C.; Su, S.L.; Wu, J.L.; Wang, D.Y.; Ji, X.; Zhang, S. Generation of tree-type three-dimensional entangled states via adiabatic passage. Phys. Rev. A 2016, 93, 062321. [Google Scholar] [CrossRef]
  59. Frydryszak, A.; Jakóbczyk, L.; Lugiewicz, P. Determining quantum correlations in bipartite systems—From qubit to qutrit and beyond. J. Phys. Conf. Ser. 2017, 804, 012016. [Google Scholar] [CrossRef]
  60. Bocharov, A.; Roetteler, M.; Svore, K.M. Factoring with qutrits: Shor’s algorithm on ternary and metaplectic quantum architectures. Phys. Rev. A 2017, 96, 012306. [Google Scholar] [CrossRef]
  61. Gokhale, P.; Baker, J.M.; Duckering, C.; Brown, N.C.; Brown, K.R.; Chong, F.T. Asymptotic Improvements to Quantum Circuits via Qutrits. In Proceedings of the 46th International Symposium on Computer Architecture (ISCA ’19), Phoenix, AZ, USA, 22–26 June 2019; pp. 554–566. [Google Scholar] [CrossRef]
  62. Luo, Y.H.; Zhong, H.S.; Erhard, M.; Wang, X.L.; Peng, L.C.; Krenn, M.; Jiang, X.; Li, L.; Liu, N.L.; Lu, C.Y.; et al. Quantum Teleportation in High Dimensions. Phys. Rev. Lett. 2019, 123, 070505. [Google Scholar] [CrossRef]
  63. Low, P.J.; White, B.M.; Cox, A.A.; Day, M.L.; Senko, C. Practical trapped-ion protocols for universal qudit-based quantum computing. Phys. Rev. Res. 2020, 2, 033128. [Google Scholar] [CrossRef]
  64. Jin, Z.; Gong, W.J.; Zhu, A.D.; Zhang, S.; Qi, Y.; Su, S.L. Dissipative preparation of qutrit entanglement via periodically modulated Rydberg double antiblockade. Opt. Express 2021, 29, 10117–10133. [Google Scholar] [CrossRef] [PubMed]
  65. Neeley, M.; Ansmann, M.; Bialczak, R.C.; Hofheinz, M.; Lucero, E.; O’Connell, A.D.; Sank, D.; Wang, H.; Wenner, J.; Cleland, A.N.; et al. Emulation of a Quantum Spin with a Superconducting Phase Qudit. Science 2009, 325, 722–725. [Google Scholar] [CrossRef] [PubMed]
  66. Lanyon, B.P.; Barbieri, M.; Almeida, M.P.; Jennewein, T.; Ralph, T.C.; Resch, K.J.; Pryde, G.J.; O’Brien, J.L.; Gilchrist, A.; White, A.G. Simplifying quantum logic using higher-dimensional Hilbert spaces. Nat. Phys. 2009, 5, 134–140. [Google Scholar] [CrossRef]
  67. Fedorov, A.; Steffen, L.; Baur, M.; da Silva, M.P.; Wallraff, A. Implementation of a Toffoli gate with superconducting circuits. Nature 2012, 481, 170–172. [Google Scholar] [CrossRef]
  68. Mischuck, B.E.; Merkel, S.T.; Deutsch, I.H. Control of inhomogeneous atomic ensembles of hyperfine qudits. Phys. Rev. A 2012, 85, 022302. [Google Scholar] [CrossRef]
  69. Peterer, M.J.; Bader, S.J.; Jin, X.; Yan, F.; Kamal, A.; Gudmundsen, T.J.; Leek, P.J.; Orlando, T.P.; Oliver, W.D.; Gustavsson, S. Coherence and Decay of Higher Energy Levels of a Superconducting Transmon Qubit. Phys. Rev. Lett. 2015, 114, 010501. [Google Scholar] [CrossRef]
  70. Svetitsky, E.; Suchowski, H.; Resh, R.; Shalibo, Y.; Martinis, J.M.; Katz, N. Hidden two-qubit dynamics of a four-level Josephson circuit. Nat. Commun. 2014, 5, 5617. [Google Scholar] [CrossRef]
  71. Braumüller, J.; Cramer, J.; Schlör, S.; Rotzinger, H.; Radtke, L.; Lukashenko, A.; Yang, P.; Skacel, S.T.; Probst, S.; Marthaler, M.; et al. Multiphoton dressing of an anharmonic superconducting many-level quantum circuit. Phys. Rev. B 2015, 91, 054523. [Google Scholar] [CrossRef]
  72. Kues, M.; Reimer, C.; Roztocki, P.; Cortés, L.R.; Sciara, S.; Wetzel, B.; Zhang, Y.; Cino, A.; Chu, S.T.; Little, B.E.; et al. On-chip generation of high-dimensional entangled quantum states and their coherent control. Nature 2017, 546, 622–626. [Google Scholar] [CrossRef]
  73. Godfrin, C.; Ferhat, A.; Ballou, R.; Klyatskaya, S.; Ruben, M.; Wernsdorfer, W.; Balestro, F. Operating Quantum States in Single Magnetic Molecules: Implementation of Grover’s Quantum Algorithm. Phys. Rev. Lett. 2017, 119, 187702. [Google Scholar] [CrossRef]
  74. Sawant, R.; Blackmore, J.A.; Gregory, P.D.; Mur-Petit, J.; Jaksch, D.; Aldegunde, J.; Hutson, J.M.; Tarbutt, M.R.; Cornish, S.L. Ultracold polar molecules as qudits. New J. Phys. 2020, 22, 013027. [Google Scholar] [CrossRef]
  75. Pavlidis, A.; Floratos, E. Quantum-Fourier-transform-based quantum arithmetic with qudits. Phys. Rev. A 2021, 103, 032417. [Google Scholar] [CrossRef]
  76. Rambow, P.; Tian, M. Reduction of circuit depth by mapping qubit-based quantum gates to a qudit basis. arXiv 2021, arXiv:2109.09902. [Google Scholar]
  77. Chi, Y.; Huang, J.; Zhang, Z.; Mao, J.; Zhou, Z.; Chen, X.; Zhai, C.; Bao, J.; Dai, T.; Yuan, H.; et al. A programmable qudit-based quantum processor. Nat. Commun. 2022, 13, 1166. [Google Scholar] [CrossRef]
  78. Nikolaeva, A.S.; Kiktenko, E.O.; Fedorov, A.K. Decomposing the generalized Toffoli gate with qutrits. Phys. Rev. A 2022, 105, 032621. [Google Scholar] [CrossRef]
  79. Nikolaeva, A.S.; Kiktenko, E.O.; Fedorov, A.K. Generalized Toffoli Gate Decomposition Using Ququints: Towards Realizing Grover’s Algorithm with Qudits. Entropy 2023, 25, 387. [Google Scholar] [CrossRef] [PubMed]
  80. Barenco, A.; Bennett, C.H.; Cleve, R.; DiVincenzo, D.P.; Margolus, N.; Shor, P.; Sleator, T.; Smolin, J.A.; Weinfurter, H. Elementary gates for quantum computation. Phys. Rev. A 1995, 52, 3457–3467. [Google Scholar] [CrossRef] [PubMed]
  81. Liu, W.Q.; Wei, H.R.; Kwek, L.C. Low-Cost Fredkin Gate with Auxiliary Space. Phys. Rev. Appl. 2020, 14, 054057. [Google Scholar] [CrossRef]
  82. Baker, J.M.; Duckering, C.; Chong, F.T. Efficient Quantum Circuit Decompositions via Intermediate Qudits. In Proceedings of the 2020 IEEE 50th International Symposium on Multiple-Valued Logic (ISMVL), Miyazaki, Japan, 9–11 November 2020; pp. 303–308. [Google Scholar] [CrossRef]
  83. Kiktenko, E.O.; Nikolaeva, A.S.; Xu, P.; Shlyapnikov, G.V.; Fedorov, A.K. Scalable quantum computing with qudits on a graph. Phys. Rev. A 2020, 101, 022304. [Google Scholar] [CrossRef]
  84. Liu, W.Q.; Wei, H.R.; Kwek, L.C. Universal Quantum Multi-Qubit Entangling Gates with Auxiliary Spaces. Adv. Quantum Technol. 2022, 5, 2100136. [Google Scholar] [CrossRef]
  85. Galda, A.; Cubeddu, M.; Kanazawa, N.; Narang, P.; Earnest-Noble, N. Implementing a Ternary Decomposition of the Toffoli Gate on Fixed-Frequency Transmon Qutrits. arXiv 2021, arXiv:2109.00558. [Google Scholar]
  86. Gu, X.; Allcock, J.; An, S.; Liu, Y.x. Efficient multi-qubit subspace rotations via topological quantum walks. arXiv 2021, arXiv:2111.06534. [Google Scholar]
  87. Nikolaeva, A.S.; Zalivako, I.V.; Borisenko, A.S.; Semenin, N.V.; Galstyan, K.P.; Korolkov, A.E.; Kiktenko, E.O.; Khabarova, K.Y.; Semerikov, I.A.; Fedorov, A.K.; et al. Scalable improvement of the generalized Toffoli gate realization using trapped-ion-based qutrits. arXiv 2024, arXiv:2407.07758. [Google Scholar]
  88. Monz, T.; Kim, K.; Hänsel, W.; Riebe, M.; Villar, A.S.; Schindler, P.; Chwalla, M.; Hennrich, M.; Blatt, R. Realization of the Quantum Toffoli Gate with Trapped Ions. Phys. Rev. Lett. 2009, 102, 040501. [Google Scholar] [CrossRef] [PubMed]
  89. Chu, J.; He, X.; Zhou, Y.; Yuan, J.; Zhang, L.; Guo, Q.; Hai, Y.; Han, Z.; Hu, C.K.; Huang, W.; et al. Scalable algorithm simplification using quantum AND logic. Nat. Phys. 2023, 19, 126–131. [Google Scholar] [CrossRef]
  90. Nikolaeva, A.S.; Kiktenko, E.O.; Fedorov, A.K. Efficient realization of quantum algorithms with qudits. arXiv 2021, arXiv:2111.04384. [Google Scholar] [CrossRef]
  91. Kiktenko, E.O.; Nikolaeva, A.S.; Fedorov, A.K. Realization of quantum algorithms with qudits. arXiv 2023, arXiv:2311.12003. [Google Scholar]
  92. Chicco, S.; Allodi, G.; Chiesa, A.; Garlatti, E.; Buch, C.D.; Santini, P.; De Renzi, R.; Piligkos, S.; Carretta, S. Proof-of-Concept Quantum Simulator Based on Molecular Spin Qudits. J. Am. Chem. Soc. 2023, 146, 1053–1061. [Google Scholar] [CrossRef]
  93. Tacchino, F.; Chiesa, A.; Sessoli, R.; Tavernelli, I.; Carretta, S. A proposal for using molecular spin qudits as quantum simulators of light–matter interactions. J. Mater. Chem. C 2021, 9, 10266–10275. [Google Scholar] [CrossRef]
  94. Vezvaee, A.; Earnest-Noble, N.; Najafi, K. Quantum simulation of Fermi-Hubbard model based on transmon qudit interaction. arXiv 2024, arXiv:2402.01243. [Google Scholar]
  95. Popov, P.P.; Meth, M.; Lewestein, M.; Hauke, P.; Ringbauer, M.; Zohar, E.; Kasper, V. Variational quantum simulation of U(1) lattice gauge theories with qudit systems. Phys. Rev. Res. 2024, 6, 013202. [Google Scholar] [CrossRef]
  96. Calajó, G.; Magnifico, G.; Edmunds, C.; Ringbauer, M.; Montangero, S.; Silvi, P. Digital Quantum Simulation of a (1+1)D SU(2) Lattice Gauge Theory with Ion Qudits. PRX Quantum 2024, 5, 040309. [Google Scholar] [CrossRef]
  97. Meth, M.; Haase, J.F.; Zhang, J.; Edmunds, C.; Postler, L.; Steiner, A.; Jena, A.J.; Dellantonio, L.; Blatt, R.; Zoller, P.; et al. Simulating 2D lattice gauge theories on a qudit quantum computer. arXiv 2024, arXiv:2310.12110. [Google Scholar]
  98. Ringbauer, M.; Meth, M.; Postler, L.; Stricker, R.; Blatt, R.; Schindler, P.; Monz, T. A universal qudit quantum processor with trapped ions. Nat. Phys. 2022, 18, 1053–1057. [Google Scholar] [CrossRef]
  99. Aksenov, M.A.; Zalivako, I.V.; Semerikov, I.A.; Borisenko, A.S.; Semenin, N.V.; Sidorov, P.L.; Fedorov, A.K.; Khabarova, K.Y.; Kolachevsky, N.N. Realizing quantum gates with optically addressable Yb+ 171 ion qudits. Phys. Rev. A 2023, 107, 052612. [Google Scholar] [CrossRef]
  100. Hill, A.D.; Hodson, M.J.; Didier, N.; Reagor, M.J. Realization of arbitrary doubly-controlled quantum phase gates. arXiv 2021, arXiv:2108.01652. [Google Scholar]
  101. Roy, T.; Li, Z.; Kapit, E.; Schuster, D.I. Realization of two-qutrit quantum algorithms on a programmable superconducting processor. arXiv 2022, arXiv:2211.06523. [Google Scholar]
  102. Low, P.J.; White, B.; Senko, C. Control and Readout of a 13-level Trapped Ion Qudit. arXiv 2023, arXiv:2306.03340. [Google Scholar]
  103. Zalivako, I.V.; Borisenko, A.S.; Semerikov, I.A.; Korolkov, A.E.; Sidorov, P.L.; Galstyan, K.P.; Semenin, N.V.; Smirnov, V.N.; Aksenov, M.D.; Fedorov, A.K.; et al. Continuous dynamical decoupling of optical 171Yb+ qudits with radiofrequency fields. Front. Quantum Sci. Technol. 2023, 2, 1228208. [Google Scholar] [CrossRef]
  104. Zalivako, I.; Semerikov, I.; Borisenko, A.; Smirnov, V.; Vishnyakov, P.; Aksenov, M.; Sidorov, P.; Kolachevsky, N.; Khabarova, K. Improved Wavelength Measurement of 2S1/2→2P1/2 and 2D3/2→3[3/2]1/2 Transitions in Yb+. J. Russ. Laser Res. 2019, 40, 375–381. [Google Scholar] [CrossRef]
  105. Quantinuum H-Series Quantum Computer Accelerates Through 3 More Performance Records for Quantum Volume. Available online: https://www.quantinuum.com/news/quantinuum-h-series-quantum-computer-accelerates-through-3-more-performance-records-for-quantum-volume-217-218-and-219 (accessed on 6 April 2025).
  106. Moses, S.A.; Baldwin, C.H.; Allman, M.S.; Ancona, R.; Ascarrunz, L.; Barnes, C.; Bartolotta, J.; Bjork, B.; Blanchard, P.; Bohn, M.; et al. A Race-Track Trapped-Ion Quantum Processor. Phys. Rev. X 2023, 13, 041052. [Google Scholar] [CrossRef]
  107. Letokhov, V.S.; Ol’shanii, M.A.; Ovchinnikov, Y.B. Laser cooling of atoms: A review. Quantum Semiclassical Opt. J. Eur. Opt. Soc. Part B 1995, 7, 5–40. [Google Scholar] [CrossRef]
  108. Schreck, F.; Druten, K.v. Laser cooling for quantum gases. Nat. Phys. 2021, 17, 1296–1304. [Google Scholar] [CrossRef]
  109. Monroe, C.; Meekhof, D.M.; King, B.E.; Jefferts, S.R.; Itano, W.M.; Wineland, D.J.; Gould, P. Resolved-sideband Raman cooling of a bound atom to the 3D zero-point energy. Phys. Rev. Lett. 1995, 75, 4011–4014. [Google Scholar] [CrossRef] [PubMed]
  110. Pogorelov, I.; Feldker, T.; Marciniak, C.D.; Postler, L.; Jacob, G.; Krieglsteiner, O.; Podlesnic, V.; Meth, M.; Negnevitsky, V.; Stadler, M.; et al. Compact Ion-Trap Quantum Computing Demonstrator. PRX Quantum 2021, 2, 020343. [Google Scholar] [CrossRef]
  111. McKay, D.C.; Wood, C.J.; Sheldon, S.; Chow, J.M.; Gambetta, J.M. Efficient Z gates for quantum computing. Phys. Rev. A 2017, 96, 022330. [Google Scholar] [CrossRef]
  112. Nikolaeva, A.S.; Kiktenko, E.O.; Fedorov, A.K. Universal quantum computing with qubits embedded in trapped-ion qudits. arXiv 2023, arXiv:2302.02966. [Google Scholar] [CrossRef]
  113. Mølmer, K.; Sørensen, A. Multiparticle Entanglement of Hot Trapped Ions. Phys. Rev. Lett. 1999, 82, 1835–1838. [Google Scholar] [CrossRef]
  114. Sørensen, A.; Mølmer, K. Quantum Computation with Ions in Thermal Motion. Phys. Rev. Lett. 1999, 82, 1971–1974. [Google Scholar] [CrossRef]
  115. Sørensen, A.; Mølmer, K. Entanglement and quantum computation with ions in thermal motion. Phys. Rev. A 2000, 62, 022311. [Google Scholar] [CrossRef]
  116. Knill, E.; Leibfried, D.; Reichle, R.; Britton, J.; Blakestad, R.B.; Jost, J.D.; Langer, C.; Ozeri, R.; Seidelin, S.; Wineland, D.J. Randomized benchmarking of quantum gates. Phys. Rev. A 2008, 77, 012307. [Google Scholar] [CrossRef]
  117. Benhelm, J.; Kirchmair, G.; Roos, C.F.; Blatt, R. Towards fault-tolerant quantum computing with trapped ions. Nat. Phys. 2008, 4, 463–466. [Google Scholar] [CrossRef]
  118. Nakav, H.; Finkelstein, R.; Peleg, L.; Akerman, N.; Ozeri, R. Effect of fast noise on the fidelity of trapped-ion quantum gates. Phys. Rev. A 2023, 107, 042622. [Google Scholar] [CrossRef]
  119. Kolodzie, N.; Mirgorodskiy, I.; Nölleke, C.; Schmidt, P.O. Ultra-low frequency noise external cavity diode laser systems for quantum applications. Opt. Express 2024, 32, 29781. [Google Scholar] [CrossRef] [PubMed]
  120. Mai, X.; Zhang, L.; Lu, Y. High-Fidelity Detection on 171Yb+ Qubit via 2D3/2 Shelving. arXiv 2024, arXiv:2402.18868. [Google Scholar]
  121. Nazarova, T.; Lisdat, C.; Riehle, F.; Sterr, U. Low-frequency-noise diode laser for atom interferometry. J. Opt. Soc. Am. B 2008, 25, 1632–1638. [Google Scholar] [CrossRef]
  122. Akerman, N.; Navon, N.; Kotler, S.; Glickman, Y.; Ozeri, R. Universal gate-set for trapped-ion qubits using a narrow linewidth diode laser. New J. Phys. 2015, 17, 113060. [Google Scholar] [CrossRef]
  123. Blumel, R.; Grzesiak, N.; Pisenti, N.; Wright, K.; Nam, Y. Power-optimal, stabilized entangling gate between trapped-ion qubits. arXiv 2021, arXiv:1905.09292. [Google Scholar] [CrossRef]
  124. Bernstein, E.; Vazirani, U. Quantum Complexity Theory. SIAM J. Comput. 1997, 26, 1411–1473. [Google Scholar] [CrossRef]
  125. Grover, L.K. A Fast Quantum Mechanical Algorithm for Database Search. In Proceedings of the Twenty-Eighth Annual ACM Symposium on Theory of Computing (STOC ’96), Philadelphia, PA, USA, 22–24 May 1996; pp. 212–219. [Google Scholar] [CrossRef]
  126. Grover, L.K. Quantum Mechanics Helps in Searching for a Needle in a Haystack. Phys. Rev. Lett. 1997, 79, 325–328. [Google Scholar] [CrossRef]
  127. Bennett, C.H.; Bernstein, E.; Brassard, G.; Vazirani, U. Strengths and Weaknesses of Quantum Computing. SIAM J. Comput. 1997, 26, 1510–1523. [Google Scholar] [CrossRef]
  128. Bharti, K.; Haug, T. Iterative quantum-assisted eigensolver. Phys. Rev. A 2021, 104, L050401. [Google Scholar] [CrossRef]
  129. Bharti, K.; Haug, T. Quantum-assisted simulator. Phys. Rev. A 2021, 104, 042418. [Google Scholar] [CrossRef]
  130. Haug, T.; Bharti, K. Generalized Quantum Assisted Simulator. Quantum Sci. Technol. 2022, 7, 045019. [Google Scholar] [CrossRef]
  131. Bharti, K.; Haug, T.; Vedral, V.; Kwek, L.C. Noisy intermediate-scale quantum algorithm for semidefinite programming. Phys. Rev. A 2022, 105, 052445. [Google Scholar] [CrossRef]
  132. Hehre, W.J.; Stewart, R.F.; Pople, J.A. Self-Consistent Molecular-Orbital Methods. I. Use of Gaussian Expansions of Slater-Type Atomic Orbitals. J. Chem. Phys. 1969, 51, 2657–2664. [Google Scholar] [CrossRef]
  133. Seeley, J.; Richard, M.; Love, P. The Bravyi-Kitaev transformation for quantum computation of electronic structure. J. Chem. Phys. 2012, 137, 224109. [Google Scholar] [CrossRef]
  134. Jordan, P.; Wigner, E.P. About the Pauli exclusion principle. Eur. Phys. J. A 1928, 47, 631–651. [Google Scholar]
  135. Bravyi, S.; Gambetta, J.M.; Mezzacapo, A.; Temme, K. Tapering off qubits to simulate fermionic Hamiltonians. arXiv 2017, arXiv:1701.08213. [Google Scholar]
Disclaimer/Publisher’s Note: The statements, opinions and data contained in all publications are solely those of the individual author(s) and contributor(s) and not of MDPI and/or the editor(s). MDPI and/or the editor(s) disclaim responsibility for any injury to people or property resulting from any ideas, methods, instructions or products referred to in the content.

Article Metrics

Citations

Article Access Statistics

Multiple requests from the same IP address are counted as one view.