Research on the Dynamic Response Characteristics of a Railway Vehicle Under Curved Braking Conditions
Abstract
1. Introduction
2. Rigid–Flexible Coupling Dynamics Model of High-Speed Train Trailer
2.1. Dynamics Model of Trailer Car
2.2. Geometric Parameters of Curved Tracks
2.3. Brake Disc–Pad Friction Model
2.4. Wheel–Rail Interaction
3. Model Validation
4. Analysis and Discussion
4.1. Comparison of Vehicle System Dynamic Response Under Curved and Straight-Line Braking Conditions
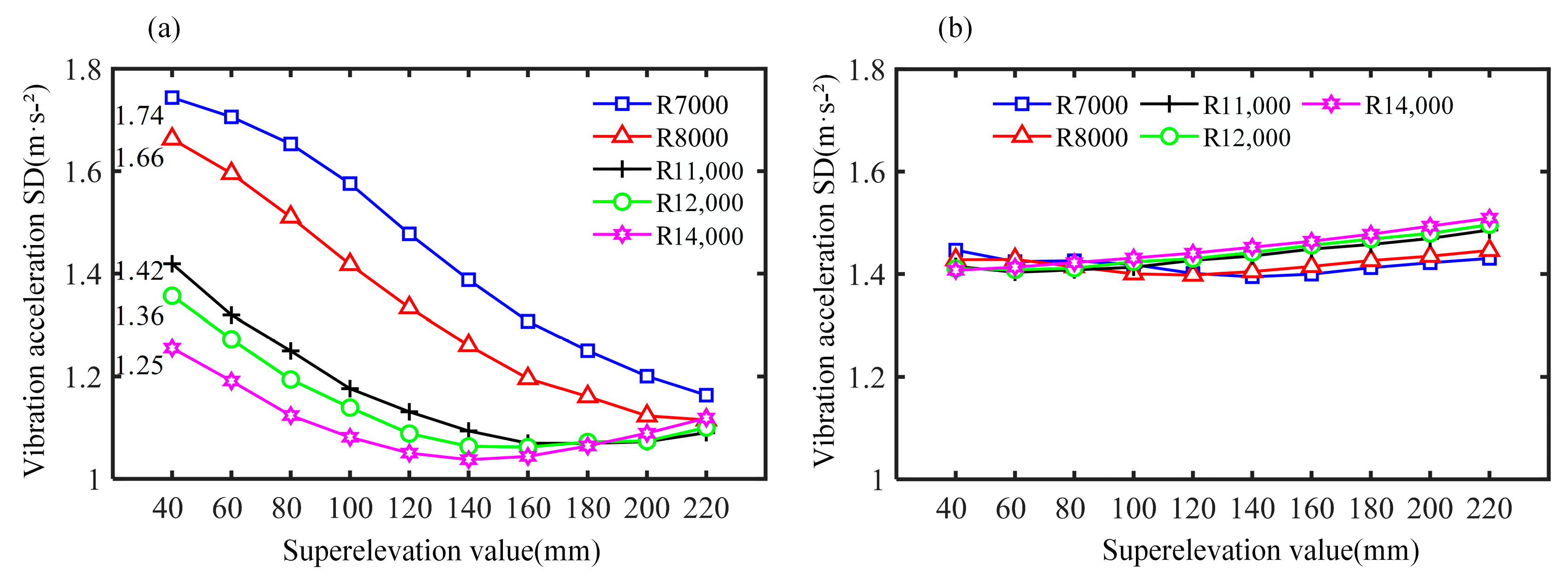
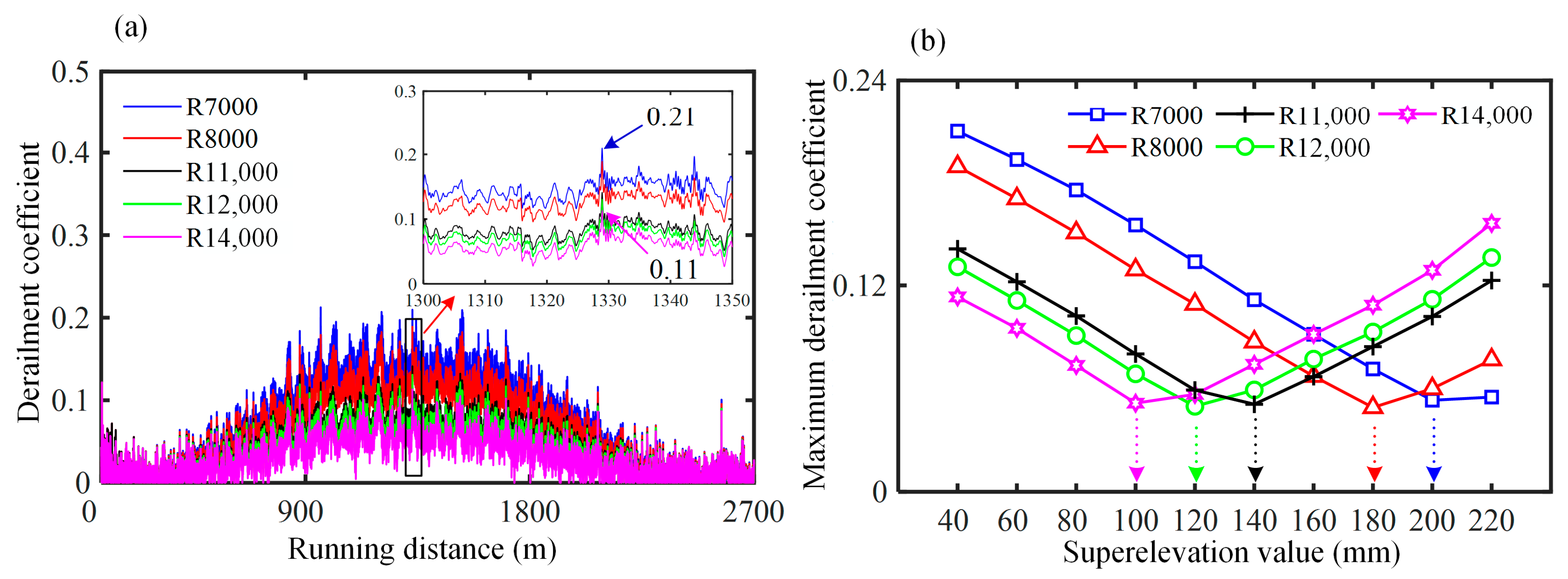
4.2. The Impact of Geometric Parameters of Curved Track on the Dynamic Response of Vehicle Systems
5. Conclusions
Author Contributions
Funding
Data Availability Statement
Conflicts of Interest
References
- Andrés, V.T.; Martínez-Casas, J.; Denia, F.D.; Thompson, D.J.; Bruni, S. Railway rolling noise in curved tracks: Dynamic modelling of the wheelset and influence of the curve. J. Sound Vib. 2024, 595, 118738. [Google Scholar] [CrossRef]
- Yang, Y.B.; Liu, S.J.; Chen, W. Study on affecting factors of axial force of fastening bolts of axle-mounted brake discs for high-speed trains. Soil Dyn. Earthq. Eng. 2021, 145, 106740. [Google Scholar] [CrossRef]
- Li, Z.Q.; Han, C.; Li, C.; Li, Z.L.; Yang, Z.Y. Study on affecting factors of axial force of fastening bolts of axle-mounted brake discs for high-speed trains. J. China Railway Sci. 2024, 46, 40–48. [Google Scholar]
- Zuo, J.Y.; Han, F.; Hu, W. Reproduction simulation of emergency brake fault feature for subway train. J. Traffic Transp. Eng. 2015, 15, 44–49. [Google Scholar]
- Lu, C.; Wang, Q.; Wang, Z.; Mo, J.; Zhu, S.; Jin, W. Stick–slip characteristic analysis of high-speed train brake systems: A disc–block friction system with different friction radii. Vehicles 2023, 5, 41–54. [Google Scholar] [CrossRef]
- Wu, Q.; Wang, B.; Spiryagin, M.; Cole, C. Curving resistance from wheel-rail interface. Veh. Syst. Dyn. 2022, 60, 1018–1036. [Google Scholar] [CrossRef]
- Kaewunruen, S.; Ngamkhanong, C.; Liu, X. Spectro-temporal responses of curved railway tracks with variable radii of arc curves. Int. J. Struct. Stab. Dyn. 2019, 19, 1950044. [Google Scholar] [CrossRef]
- Fischer, S.; Németh, D.; Horváth, H. Investigation of the track gauge in curved sections, considering hungarian railway lines. Infrastructures 2023, 8, 69. [Google Scholar] [CrossRef]
- Zhai, W.M.; Wang, K.Y. Lateral interactions of trains and tracks on small-radius curves: Simulation and experiment. Veh. Syst. Dyn. 2006, 44, 520–530. [Google Scholar] [CrossRef]
- Sugiyama, H.; Shabana, A.A.; Omar, M.A.; Loh, W.Y. Development of nonlinear elastic leaf spring model for multibody vehicle systems. Comput. Methods Appl. Mech. Eng. 2006, 195, 6925–6941. [Google Scholar] [CrossRef]
- Suárez, B.; Rodriguez, P.; Vázquez, M.; Fernández, I. Safety assessment of underground vehicles passing over highly resilient curved tracks in the presence of a broken rail. Veh. Syst. Dyn. 2012, 50, 59–78. [Google Scholar] [CrossRef][Green Version]
- Weilguny, R.; Leitner, M.; Brunnhofer, P.; Pospischil, F. Investigation of dynamic gauge widening in small radius curves and its impact on lateral wheel-rail contact forces. Veh. Syst. Dyn. 2023, 62, 2112–2213. [Google Scholar] [CrossRef]
- Yuan, B.; Liao, D.; Jiang, W.; Deng, H.; Li, G.; Gu, J. Effect of tool tilt angle on microstructure, mechanical properties and fracture behavior of dissimilar friction stir lap welding joint of SiCp/ZL101 and ZL101. J. Mater. Res. Technol. 2023, 23, 4642–4662. [Google Scholar] [CrossRef]
- Vladescu, S.-C.; Lumby, R.; Gant, A.; Dyer, H.; Reddyhoff, T. Using lubricant composition to control friction-induced-vibration in an elastomer-steel contact representing a hydraulic seal. Tribol. Int. 2024, 202, 110346. [Google Scholar] [CrossRef]
- Abubakar, A.R.; Ouyang, H.J. Wear prediction of friction material and brake squeal using the finite element method. Wear 2008, 264, 1069–1076. [Google Scholar] [CrossRef]
- Meng, F.H.; Liu, Y.; Wu, Y.; Ma, Y.M.; Chen, H. Research on finite element simulation of braking process of high speed train brake disc and influence of surface scratch on stress field. J. Mech. Eng. 2018, 54, 42–48. [Google Scholar] [CrossRef]
- Hu, H.B.; Tang, G.B.; Cheng, Z.T.; Huang, Z.B. Co-Cr3C2 coating incorporating grain refinement and dislocation density gra-dient to enhance wear resistance of 24CrNiMo steel. Wear 2025, 564-565, 205752. [Google Scholar] [CrossRef]
- Stefanelli, A.; Aprea, M.; Carbone, F.; Romagnuolo, F.; Caresia, P.; Suero, R. Integrated thermomechanical analysis of tires and brakes for vehicle dynamics and safety. Vehicles 2024, 6, 1637–1647. [Google Scholar] [CrossRef]
- Romagnuolo, F.; Avolio, S.; Fichera, G.; Ruffini, M.; Stefanelli, R.; Timpone, F. A co-simulation platform with tire and brake thermal model for the analysis and reproduction of blanking. Vehicles 2023, 5, 1605–1621. [Google Scholar] [CrossRef]
- Zhou, S.X.; Tong, X.; Sun, Y.D.; Shao, J. Research on new structure of high-speed train brake disc based on phase change heat storage principle. J. Mech. Eng. 2022, 58, 202–210. [Google Scholar]
- Pradhan, S. A recursive wheel wear and vehicle dynamic performance evolution computational model for rail vehicles with tread brakes. Vehicles 2019, 1, 88–115. [Google Scholar] [CrossRef]
- Xiang, Z.; Mo, J.; Ouyang, H.; Massi, F.; Tang, B.; Zhou, Z. Contact behaviour and vibrational response of a high-speed train brake friction block. Tribol. Int. 2020, 152, 106540. [Google Scholar] [CrossRef]
- Hertel, B.; Pagenkopf, J.; König, J. Challenges in the (re-)connection of peripheral areas to the rail network from a rolling stock perspective: The case of germany. Vehicles 2023, 5, 1138–1148. [Google Scholar] [CrossRef]
- Sinou, J.-J.; Loyer, A.; Chiello, O.; Mogenier, G.; Lorang, X.; Cocheteux, F.; Bellaj, S. A global strategy based on experiments and simulations for squeal prediction on industrial railway brakes. J. Sound Vib. 2013, 332, 5068–5085. [Google Scholar] [CrossRef]
- Xiang, Z.Y.; Chen, W.; Mo, J.L.; Liu, Q.A.; Fan, Z.Y.; Zhou, Z.R. The effects of the friction block shape on the tribological and dynamical behaviours of high-speed train brakes. Int. J. Mech. Sci. 2021, 194, 106184. [Google Scholar] [CrossRef]
- Wang, Q.; Wang, Z.; Mo, J.; Zhu, S.; Gou, Q. Evaluation of the dynamic behaviors of a train braking system considering disc-block interface characteristics. Mech. Syst. Signal Process. 2023, 192, 110234. [Google Scholar] [CrossRef]
- Zhang, L.; Wang, Z.; Wang, Q.; Mo, J.; Feng, J.; Wang, K. The effect of wheel polygonal wear on temperature and vibration characteristics of a high-speed train braking system. Mech. Syst. Signal Process. 2023, 186, 109864. [Google Scholar] [CrossRef]
- Wang, D.W.; Wu, X.; Xiang, Z.Y.; Mo, J. Investigation on thermo-mechanical coupling characteristics of disc brake system of high-speed train. J. Southwest Jiaotong Univ. 2021, 56, 428–436. [Google Scholar]
- Wang, Z.; Yang, L.; Mo, J.; Zhu, S.; Jin, W. A trailer car dynamics model considering brake rigging of a high-speed train and its application. Railw. Eng. Sci. 2023, 31, 269–280. [Google Scholar] [CrossRef]
- Sadeghi, J.; Rabiee, S.; Felekari, P.; Khajehdezfuly, A. Investigation on optimum lengths of railway clothoid transition curves based on passenger ride comfort. Proc. Inst. Mech. Eng. Part F J. Rail Rapid Transit 2023, 237, 882–892. [Google Scholar] [CrossRef]
- Hao, R. Discussion on the Curve Radius of Beijing-Shanghai High-speed Railway. J. Railw. Sci. Eng. 1995, 4, 1–9. [Google Scholar]
- Wang, Q.; Wang, Z.; Mo, J.; Zhang, L. Non-linear behaviors of the disc brake system under the effect of wheel-rail adhesion. Tribol. Int. 2022, 165, 107263. [Google Scholar] [CrossRef]
- Zhai, W.M.; Sun, X. A detailed model for investigating vertical interaction between railway vehicle and track. Veh. Syst. Dyn. 1994, 23, 603–615. [Google Scholar] [CrossRef]
- Wang, Z.; Allen, P.; Mei, G.; Wang, R.; Yin, Z.; Zhang, W.; Yin, H. Influence of wheel-polygonal wear on the dynamic forces within the axle-box bearing of a high-speed train. Veh. Syst. Dyn. 2020, 58, 1385–1406. [Google Scholar] [CrossRef]

















| Parameters | Value |
|---|---|
| Track gauge (mm) | 1435 |
| Fixed wheelbase of the bogie (mm) | 2500 |
| Distance between backs of wheel flanges (mm) | 1353 |
| Lateral displacement of the wheel rolling circle (mm) | 1493 |
| Length between bogie centers (mm) | 17,375 |
| Frame moment of inertia x/y/z (kg·m2) | 1236/1233/2336 |
| Primary suspension supporting stiffness x/y/z (kN/m) | 920/920/886 |
| Secondary suspension supporting stiffness x/y/z (kN/m) | 133/133/203 |
| Brake disc spacing (mm) | 420 |
| Brake disc mass (kg) | 119.1 |
| Brake disc moment of inertia x/y/z (kg·m2) | 3.3/3.3/6.4 |
| Brake caliper mass (kg) | 14.7 |
| Brake caliper moment of inertia x/y/z (kg·m2) | 0.14/0.26/0.12 |
| Hanger mass (kg) | 10.5 |
| Hanger moment of inertia x/y/z (kg·m2) | 0.24/0.18/0.08 |
| Carbody mass (t) | 38.9 |
| Carbody moment of inertia x/y/z (t·m2) | 126/1905/1798 |
| Brake friction coefficient Wheel–rail friction coefficient | 0.35 |
| 0.4 |
| Component | Element Type | Number Elements | Degrees of Freedom of Master Node | Minimum Element Size (mm) |
|---|---|---|---|---|
| Brake caliper | Hexahedron | 266,280 | 356 | 0.9 |
| Brake disc | Hexahedron | 385,566 | 326 | 1.1 |
| Hanger | Tetrahedron | 164,654 | 325 | 1.1 |
| Component | Material | Elastic Modulus (MPa) | Young’s Modulus | Density (kg/m3) |
|---|---|---|---|---|
| Brake caliper | cast iron | 169 000 | 0.28 | 7 800 |
| Brake disc | 65Mn | 206 000 | 0.3 | 7 850 |
| Hanger | cast iron | 169 000 | 0.28 | 7 800 |
| Radius of the Circular Curve (m) | Straight-Line Length (m) | Transition Curve Length (m) | Circular Curve Length (m) | Actual Superelevation (mm) | Equilibrium Superelevation (mm) |
|---|---|---|---|---|---|
| 7000 | 200 | 900 | 500 | 40~220 | 206 |
| 8000 | 40~220 | 180 | |||
| 11,000 | 40~220 | 131 | |||
| 12,000 | 40~220 | 120 | |||
| 14,000 | 40~220 | 103 |
Disclaimer/Publisher’s Note: The statements, opinions and data contained in all publications are solely those of the individual author(s) and contributor(s) and not of MDPI and/or the editor(s). MDPI and/or the editor(s) disclaim responsibility for any injury to people or property resulting from any ideas, methods, instructions or products referred to in the content. |
© 2025 by the authors. Licensee MDPI, Basel, Switzerland. This article is an open access article distributed under the terms and conditions of the Creative Commons Attribution (CC BY) license (https://creativecommons.org/licenses/by/4.0/).
Share and Cite
Zhao, C.; Fan, Z.; Li, P.; Gebreyohanes, M.Y.; Wang, Z.; Mo, J. Research on the Dynamic Response Characteristics of a Railway Vehicle Under Curved Braking Conditions. Vehicles 2025, 7, 18. https://doi.org/10.3390/vehicles7010018
Zhao C, Fan Z, Li P, Gebreyohanes MY, Wang Z, Mo J. Research on the Dynamic Response Characteristics of a Railway Vehicle Under Curved Braking Conditions. Vehicles. 2025; 7(1):18. https://doi.org/10.3390/vehicles7010018
Chicago/Turabian StyleZhao, Chunguang, Zhiyong Fan, Peixuan Li, Micheale Yihdego Gebreyohanes, Zhiwei Wang, and Jiliang Mo. 2025. "Research on the Dynamic Response Characteristics of a Railway Vehicle Under Curved Braking Conditions" Vehicles 7, no. 1: 18. https://doi.org/10.3390/vehicles7010018
APA StyleZhao, C., Fan, Z., Li, P., Gebreyohanes, M. Y., Wang, Z., & Mo, J. (2025). Research on the Dynamic Response Characteristics of a Railway Vehicle Under Curved Braking Conditions. Vehicles, 7(1), 18. https://doi.org/10.3390/vehicles7010018

