AFM1 Secretion and Efficacy of NovasilTM Clay in Kenyan Dairy Cows
Abstract
:1. Introduction
2. Materials and Methods
2.1. Feeding Trial
2.2. Sampling Procedure
2.2.1. Sampling of Concentrate Feed
2.2.2. Sampling of Milk
2.3. ELISA Analysis of Samples
2.4. Data Analysis
3. Results
3.1. AFB1 in Feed
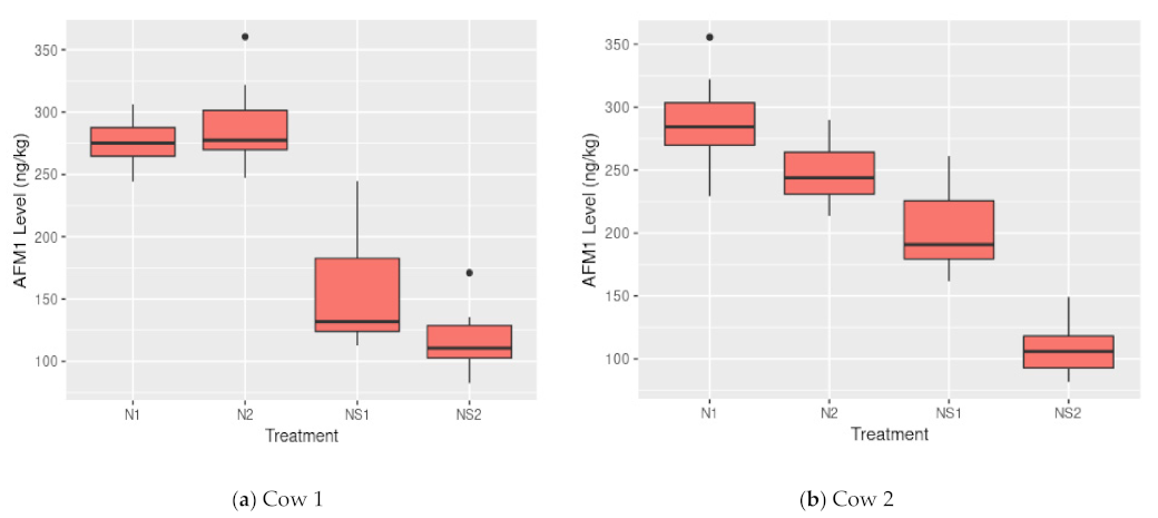
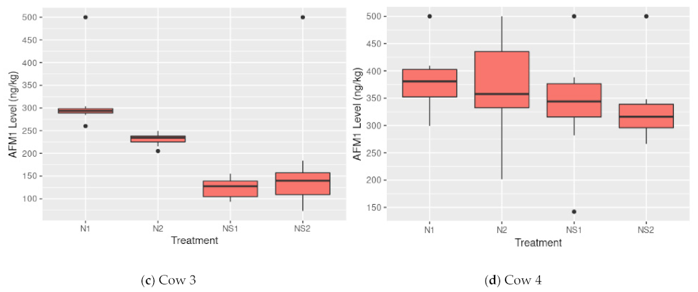
3.2. AFM1 Secretion in Milk
4. Discussion
5. Conclusions
Author Contributions
Funding
Institutional Review Board Statement
Informed Consent Statement
Data Availability Statement
Acknowledgments
Conflicts of Interest
References
- Gerosa, S.; Jakob, S. Milk availability: Current production and demand and medium-term outlook. In Milk and Dairy Products in Human Nutrition; Muehlhoff, E., Bennett, A., McMahon, D., Eds.; Food and Agriculture Organization: Rome, Italy, 2013; pp. 11–40. ISBN 9789251078631. [Google Scholar]
- Delgado, C.L. Rising Consumption of Meat and Milk in Developing Countries Has Created a New Food Revolution. J. Nutr. 2003, 133, 3907–3910. [Google Scholar] [CrossRef] [PubMed] [Green Version]
- Rademaker, C.J.; Bebe, B.O.; Van Der Lee, J. Sustainable Growth of the Kenyan Dairy Sector: A Quick Scan of Robustness, Reliability and Resilience; Wageningen Livestock Research: Wageningen, The Netherlands, 2016. [Google Scholar]
- Muriuki, H.G. Dairy Development in Kenya; Food and Agriculture Organization: Rome, Italy, 2011. [Google Scholar]
- Ouma, E.; Staal, S.J.; Omore, A.; Wanjohi, P.; Njoroge, L.; Njubi, D. Consumption Patterns of Dairy Products in Kenya; International Livestock Research Institute: Nairobi, Kenya, 2000. [Google Scholar]
- Kang’ethe, E.K.; Sirma, A.J.; Murithi, G.; Mburugu-Mosoti, C.K.; Ouko, E.O.; Korhonen, H.J.; Nduhiu, G.J.; Mungatu, J.K.; Joutsjoki, V.; Lindfors, E.; et al. Occurrence of mycotoxins in food, feed, and milk in two counties from different agro-ecological zones and with historical outbreak of aflatoxins and fumonisins poisonings in Kenya. Food Qual. Saf. 2017, 1, 161–169. [Google Scholar] [CrossRef] [Green Version]
- Kuboka, M.M.; Imungi, J.K.; Njue, L.; Mutua, F.; Grace, D.; Lindahl, J.F. Occurrence of aflatoxin M1 in raw milk traded in peri-urban Nairobi, and the effect of boiling and fermentation. Infect. Ecol. Epidemiol. 2019, 9, 1625703. [Google Scholar] [CrossRef] [PubMed] [Green Version]
- Lindahl, J.F.; Kagera, I.N.; Grace, D. Aflatoxin M1 levels in different marketed milk products in Nairobi, Kenya. Mycotoxin Res. 2018, 34, 289–295. [Google Scholar] [CrossRef] [Green Version]
- Senerwa, D.; Sirma, A.; Mtimet, N.; Kang’ethe, E.; Grace, D.; Lindahl, J. Prevalence of aflatoxin in feeds and cow milk from five counties in Kenya. Afr. J. Food, Agric. Nutr. Dev. 2016, 16, 11004–11021. [Google Scholar] [CrossRef]
- International Agency for Research on Cancer IARC Monographs on the Evaluation of Carcinogenic Risks to Humans. Some Traditional Herbal Medicines, Some Mycotoxins, Naphthalene and Styrene; IARC PRESS: Lyon, France, 2002; Volume 82, ISBN 9789283215875. [Google Scholar]
- Wu, F.; Groopman, J.D.; Pestka, J.J. Public Health Impacts of Foodborne Mycotoxins. Annu. Rev. Food Sci. Technol. 2014, 5, 351–372. [Google Scholar] [CrossRef] [PubMed] [Green Version]
- Lewis, L.; Onsongo, M.; Njapau, H.; Schurz-rogers, H.; Luber, G.; Kieszak, S.; Nyamongo, J.; Backer, L.; Dahiye, A.M.; Misore, A.; et al. Aflatoxin Contamination of Commercial Maize Products during an Outbreak of Acute Aflatoxicosis in Eastern and Central Kenya. Environ. Health Perspect. 2005, 113, 1763–1767. [Google Scholar] [CrossRef]
- Ahlberg, S.; Grace, D.; Kiarie, G.; Kirino, Y.; Lindahl, J.; Ahlberg, S.; Grace, D.; Kiarie, G.; Kirino, Y.; Lindahl, J. A Risk Assessment of Aflatoxin M1 Exposure in Low and Mid-Income Dairy Consumers in Kenya. Toxins 2018, 10, 348. [Google Scholar] [CrossRef] [PubMed] [Green Version]
- Williams, J.H.; Phillips, T.D.; Pauline, J.; Jonathan, S.; Curtis, J.; Deepak, A.; Jolly, P.E.; Stiles, J.K.; Jolly, C.M.; Aggarwal, D. Human aflatoxicosis in developing countries: A review of toxicology, exposure, potential health consequences, and interventions. Am. J. Clin. Nutr. 2004, 80, 1106–1122. [Google Scholar] [CrossRef] [PubMed]
- Sirma, A.J.; Makita, K.; Randolph, D.G.; Senerwa, D.; Lindahl, J.F. Aflatoxin exposure from milk in rural Kenya and the contribution to the risk of liver cancer. Toxins 2019, 11, 469. [Google Scholar] [CrossRef] [PubMed] [Green Version]
- Kiarie, G.; Dominguez-Salas, P.; Kang’ethe, S.; Grace, D.; Lindahl, J.; Dominguea-Salas, P.; Kang’ethe, E.; Grace, D.; Lindahl, J. Aflatoxin exposure among young children in urban low-income areas of Nairobi and association with child growth. Afr. J. Food Agric. Nutr. Dev. 2016, 16, 10967–10990. [Google Scholar] [CrossRef]
- Kirino, Y.; Makita, K.; Grace, D.; Lindahl, J. Survey of informal milk retailers in Nairobi, Kenya and prevalence of aflatoxin M1 in marketed milk. Afr. J. Food, Agric. Nutr. Dev. 2016, 16, 11022–11038. [Google Scholar] [CrossRef]
- Kiama, T.N.; Lindahl, J.F.; Sirma, A.J.; Denerwa, D.M.; Withanji, E.M.; Ochungo, P.A.; Poole, E.J.; Kangethe, E.K.; Grace, D. Kenya Dairy farmers perceptions of moulds and mycotoxins and implications for exposure to aflatoxins: A gendered analysis. Afr. J. Food Agric. Nutr. Dev. 2016, 16, 11106–11125. [Google Scholar] [CrossRef]
- Atherstone, C.; Grace, D.; Lindahl, J.F.; Kang’ethe, E.K.; Nelson, F. Assessing the impact of aflatoxin consumption on animal health and productivity. Afr. J. Food Agric. Nutr. Dev. 2016, 16, 10949–10966. [Google Scholar] [CrossRef]
- Mahuku, G.; Sila, H.; Mutegi, C.; Kanampiu, F.; Narrod, C.; Makumbi, D. Pre-harvest management is a critical practice for minimizing aflatoxin contamination of maize. Food Control 2019, 96, 219–226. [Google Scholar] [CrossRef]
- Wagacha, J.M.; Muthomi, J.W. Mycotoxin problem in Africa: Current status, implications to food safety and health and possible management strategies. Int. J. Food Microbiol. 2008, 124, 1–12. [Google Scholar] [CrossRef]
- Senghor, L.A.; Ortega-Beltran, A.; Atehnkeng, J.; Callicott, K.A.; Cotty, P.J.; Bandyopadhyay, R. The atoxigenic biocontrol product Aflasafe SN01 is a valuable tool to mitigate aflatoxin contamination of both maize and groundnut cultivated in Senegal. Plant Dis. 2020, 104, 510–520. [Google Scholar] [CrossRef] [PubMed]
- Bandyopadhyay, R.; Ortega-Beltran, A.; Akande, A.; Mutegi, C.; Atehnkeng, J.; Kaptoge, L.; Senghor, A.L.; Adhikari, B.N.; Cotty, P.J. Biological control of aflatoxins in Africa: Current status and potential challenges in the face of climate change. World Mycotoxin J. 2016, 9, 771–789. [Google Scholar] [CrossRef] [Green Version]
- Udomkun, P.; Wiredu, A.N.; Nagle, M.; Müller, J.; Vanlauwe, B.; Bandyopadhyay, R. Innovative technologies to manage aflatoxins in foods and feeds and the profitability of application—A review. Food Control 2017, 76, 127–138. [Google Scholar] [CrossRef] [PubMed]
- Pettersson, H. Controlling mycotoxins in animal feed. In Mycotoxins in Food: Detection and Control; Magan, N., Olsen, M., Eds.; Woodhead Publishing Ltd.: Cambridge, UK, 2004; pp. 262–304. ISBN 9781855739086. [Google Scholar]
- Mutua, F.; Lindahl, J.; Grace, D. Availability and use of mycotoxin binders in selected urban and Peri-urban areas of Kenya. Food Secur. 2019, 11, 359–369. [Google Scholar] [CrossRef] [Green Version]
- Phillips, T.D.; Wang, M.; Elmore, S.E.; Hearon, S.; Wang, J.-S. Novasil Clay for the Protection of Humans and Animals from Aflatoxins and Other Contaminants. Clays Clay Miner. 2019, 67, 99–110. [Google Scholar] [CrossRef] [PubMed]
- Phillips, T.D.; Lemke, S.L.; Grant, P.G. Characterization of clay-based enterosorbents for the prevention of aflatoxicosis. Adv. Exp. Med. Biol. 2002, 504, 157–171. [Google Scholar] [CrossRef] [PubMed]
- Maki, C.R.; Monteiro, A.P.A.; Elmore, S.E.; Tao, S.; Bernard, J.K.; Harvey, R.B.; Romoser, A.A.; Phillips, T.D. Calcium montmorillonite clay in dairy feed reduces aflatoxin concentrations in milk without interfering with milk quality, composition or yield. Anim. Feed Sci. Technol. 2016, 214, 130–135. [Google Scholar] [CrossRef]
- Pimpukdee, K.; Kubena, L.F.; Bailey, C.A.; Huebner, H.J.; Afriyie-Gyawu, E.; Phillips, T.D. Aflatoxin-induced toxicity and depletion of hepatic vitamin A in young broiler chicks: Protection of chicks in the presence of low levels of NovaSil PLUS in the diet. Poult. Sci. 2004, 83, 737–744. [Google Scholar] [CrossRef] [PubMed]
- Phillips, T.D. Dietary clay in the chemoprevention of aflatoxin-induced disease. Toxicol. Sci. 1999, 52, 118–126. [Google Scholar] [CrossRef]
- Stroud, J.S. The Effect of Feed Additives on Aflatoxin in Milk of Dairy Cows Fed Aflatoxin-Contaminated Diets; North Carolina State University: Raleigh, NC, USA, 2006. [Google Scholar]
- Kutz, R.E.; Sampson, J.D.; Pompeu, L.B.; Ledoux, D.R.; Spain, J.N.; Vázquez-Añón, M.; Rottinghaus, G.E. Efficacy of Solis, NovasilPlus, and MTB-100 to reduce aflatoxin M1 levels in milk of early to mid lactation dairy cows fed aflatoxin Bl. J. Dairy Sci. 2009, 92, 3959–3963. [Google Scholar] [CrossRef] [Green Version]
- Phillips, T.D.; Afriyie-Gyawu, E.; Williams, J.; Huebner, H.; Ankrah, N.A.; Ofori-Adjei, D.; Jolly, P.; Johnson, N.; Taylor, J.; Marroquin-Cardona, A.; et al. Reducing human exposure to aflatoxin through the use of clay: A review. Food Addit. Contam.—Part A Chem. Anal. Control. Expo. Risk Assess. 2008, 25, 134–145. [Google Scholar] [CrossRef]
- Maki, C.; Haney, S.; Wang, M.; Ward, S.; Rude, B.; Bailey, R.; Harvey, R.; Phillips, T. Calcium Montmorillonite Clay for the Reduction of Aflatoxin Residues in Milk and Dairy Products. J. Dairy Vet. Sci. 2017, 2, 1–8. [Google Scholar] [CrossRef]
- Diaz, D.E.; Hagler, W.M.; Blackwelder, J.T.; Eve, J.A.; Hopkins, B.A.; Anderson, K.L.; Jones, F.T.; Whitlow, L.W. Aflatoxin Binders II: Reduction of aflatoxin M1 in milk by sequestering agents of cows consuming aflatoxin in feed. Mycopathologia 2004, 157, 233–241. [Google Scholar] [CrossRef]
- Harvey, R.B.; Phillips, T.D.; Ellis, J.A.; Kubena, L.F.; Huff, W.E.; Petersen, H.D. Effects on aflatoxin M1 residues in milk by addition of hydrated sodium calcium aluminosilicate to aflatoxin-contaminated diets of dairy cows. Am. J. Vet. Res. 1991, 52, 1556–1559. [Google Scholar]
- Anyango, G.; Kagera, I.; Mutua, F.; Kahenya, P.; Kyallo, F.; Andang’o, P.; Grace, D.; Lindahl, J.F. Effectiveness of Training and Use of Novasil Binder in Mitigating Aflatoxins in Cow Milk Produced in Smallholder Farms in Urban and Periurban Areas of Kenya. Toxins 2021, 13, 281. [Google Scholar] [CrossRef] [PubMed]
- Masoero, F.; Gallo, A.; Moschini, M.; Piva, G.; Diaz, D. Carryover of aflatoxin from feed to milk in dairy cows with low or high somatic cell counts. Animal 2007, 1, 1344–1350. [Google Scholar] [CrossRef] [PubMed] [Green Version]
- R Development Core Team. R: A Language and Environment for Statistical Computing; R Foundation for Statistical Computing: Vienna, Austria, 2010. [Google Scholar]
- Ramos, A.J.; Fink-Gremmels, J.; Hernández, E. Prevention of toxic effects of mycotoxins by means of nonnutritive adsorbent compounds. J. Food Prot. 1996, 59, 631–641. [Google Scholar] [CrossRef] [PubMed]
- Thorpe, W.; Muriuki, H.; Omore, A.O.; Owango, M.O.; Staal, S.J. Development of smallholder dairying in Eastern Africa with particular reference to Kenya. In Proceedings of the Paper prepared for the UZ/RVAU/DIAS/DANIDA-ENRECA PROJECT REVIEW WORKSHOP, Harare, Zimbabwe, 10–13 January 2000; International Livestock Research Institute: Nairobi, Kenya, 2000. [Google Scholar]
- Fink-Gremmels, J. Mycotoxins in cattle feeds and carry-over to dairy milk: A review. Food Addit. Contam.—Part A Chem. Anal. Control. Expo. Risk Assess. 2008, 25, 172–180. [Google Scholar] [CrossRef] [Green Version]
- Makau, C.M.; Matofari, J.W.; Muliro, P.S.; Bebe, B.O. Aflatoxin B1 and Deoxynivalenol contamination of dairy feeds and presence of Aflatoxin M1 contamination in milk from smallholder dairy systems in Nakuru, Kenya. Int. J. Food Contam. 2016, 3, 6. [Google Scholar] [CrossRef] [Green Version]
- Galvano, F.; Pietri, A.; Bertuzzi, T.; Piva, A.; Chies, L.; Galvano, M. Activated carbons: In vitro affinity for ochratoxin A and deoxynivalenol and relation of adsorption ability to physicochemical parameters. J. Food Prot. 1998, 61, 469–475. [Google Scholar] [CrossRef]
- Applebaum, R.S.; Marth, E.H. Responses of dairy cows to dietary aflatoxin: Concentration of blood serum constituents and hormones associated with liver-kidney dysfunction and maintenance of lactation. Eur. J. Appl. Microbiol. Biotechnol. 1983, 18, 381–386. [Google Scholar] [CrossRef]
- Veldman, A.; Meijs, J.; Borggreve, G.; Heeres-van der Tol, J. Carry-Over of Aflatoxin from Cows’ Food to Milk. Anim. Sci. 1992, 55, 163–168. [Google Scholar] [CrossRef]
- Gong, Y.Y.; Routledge, M.; Kimanya, M.E.; Musoke, G.; Nelson, F.; Sonoiya, S.; Manyong, V. Building an Aflatoxin Safe East African Community Technical Policy Paper 8 Aflatoxin Standards for Food Knowledge Platform 2015 Situational Analysis East Africa Region; International Institute for Tropical Agriculture: Dar es Salaam, Tanzania, 2015. [Google Scholar]
- Grace, D.; Lindahl, J.; Atherstone, C.; Kang’ethe, E.; Nelson, F.; Wesonga, T.; Manyong, V. Building an Aflatoxin Safe East African Community Technical Policy Paper 7 Aflatoxin Standards for Feed Knowledge Platform 2015 Situational Analysis for East Africa Region; International Institute for Tropical Agriculture: Dar es Salaam, Tanzania, 2015. [Google Scholar]
- European Commission COMMISSION REGULATION (EC) No 1881/2006 of 19 December 2006 Setting Maximum Levels for Certain Contaminants in Foodstuffs. 2006, pp. 1–35. Available online: https://eur-lex.europa.eu/legal-content/EN/ALL/?uri=celex%3A32006R1881 (accessed on 15 September 2021).
- Wu, F. Mycotoxin risk assessment for the purpose of setting international regulatory standards. Environ. Sci. Technol. 2004, 38, 4049–4055. [Google Scholar] [CrossRef] [Green Version]




| Cow 1 | Cow 2 | Cow 3 | Cow 4 | |
|---|---|---|---|---|
| Period A | NS2 | N | N | NS1 |
| Period B | N | NS2 | NS1 | N |
| Period C | NS1 | N | N | NS2 |
| Period D | N | NS1 | NS2 | N |
| COW 1 | COW 2 | COW 3 | COW 4 | |
|---|---|---|---|---|
| Age (years) | Four | Five | Five | Nine |
| Breed | Friesian/Boran | Friesian/Jersey | Friesian/Jersey | Friesian/Boran |
| Stage of lactation | Mid-lactation | Mid-lactation | Mid-lactation | Mid-lactation |
| Weight (kg) | 330 | 400 | 390 | 520 |
| Time Period | Bag No. | Mean ± SD (per Bag) | Mean ± SD (per Period) |
|---|---|---|---|
| A | 1 | 39.7 ± 14.1 a | 35.75 ± 4.68 a |
| 2 | 33.2 ± 10.2 a | ||
| 3 | 26.1 ± 9.7 a | ||
| B | 3 | 26.1 ± 9.7 a | 38.22 ± 8.41 a |
| 4 | 47.1 ± 4.3 b | ||
| 5 | 42.4± 2.6 a | ||
| 6 | 34.3 ± 11.0 a | ||
| C | 6 | 34.3± 11.0 a | 39.44 ± 3.54 a |
| 7 | 41.4 ± 5.5 a | ||
| 8 | 39.3 ± 2.8 a | ||
| D | 8 | 39.3 ± 2.8 a | 29.64 ± 9.15 a |
| 9 | 36.5 ± 5.4 a | ||
| 10 | 19.0 ± 1.6 c | ||
| 11 | 29.8 ± 2.6 a |
| Cow ID | NS1 (0.6%) | NS2 (1.2%) |
|---|---|---|
| 1 | 52% | 60% |
| 2 | 28% | 60% |
| 3 | 52% | 47% |
| 4 | 7% | 14% |
Publisher’s Note: MDPI stays neutral with regard to jurisdictional claims in published maps and institutional affiliations. |
© 2022 by the authors. Licensee MDPI, Basel, Switzerland. This article is an open access article distributed under the terms and conditions of the Creative Commons Attribution (CC BY) license (https://creativecommons.org/licenses/by/4.0/).
Share and Cite
Kuboka, M.; Njue, L.; Mutua, F.; Grace, D.; Lindahl, J. AFM1 Secretion and Efficacy of NovasilTM Clay in Kenyan Dairy Cows. Dairy 2022, 3, 220-232. https://doi.org/10.3390/dairy3020018
Kuboka M, Njue L, Mutua F, Grace D, Lindahl J. AFM1 Secretion and Efficacy of NovasilTM Clay in Kenyan Dairy Cows. Dairy. 2022; 3(2):220-232. https://doi.org/10.3390/dairy3020018
Chicago/Turabian StyleKuboka, Maureen, Lucy Njue, Florence Mutua, Delia Grace, and Johanna Lindahl. 2022. "AFM1 Secretion and Efficacy of NovasilTM Clay in Kenyan Dairy Cows" Dairy 3, no. 2: 220-232. https://doi.org/10.3390/dairy3020018
APA StyleKuboka, M., Njue, L., Mutua, F., Grace, D., & Lindahl, J. (2022). AFM1 Secretion and Efficacy of NovasilTM Clay in Kenyan Dairy Cows. Dairy, 3(2), 220-232. https://doi.org/10.3390/dairy3020018

