Abstract
The occurrence of aflatoxin M1 (AFM1) in milk has been widely reported in Kenya, with levels freqently exceeding national and international thresholds. Exposure to aflatoxin increases the risk of hepatic cancers and can also have other negative health impacts in children such as growth impairment and immunosuppression. Anti-mycotoxin agents (AMAs) included in contaminated feeds can greatly reduce the amount of AFM1 released in milk. A 45-day trial was designed to assess secretion of AFM1 in milk from individual cows fed commercial Kenyan dairy feed, as well as the efficacy of Novasil™ Plus in reducing the levels. A four-by-four Latin square cross-over design was used for the experiment. Four cows were fed on naturally contaminated with AFB1 feed, with levels ranging from 19 to 47 µg/kg, and either no binder or inclusion of binder at the rate of 0.6 or 1.2%. Milk samples were collected each day and analyzed for AFM1. The results showed that AFM1 levels in the milk varied between the cows, even when fed similar levels of contaminated feed. On average, inclusion of 0.6% binder into the diet resulted in 34% decline in milk AFM1 levels, while 1.2% binder dose resulted in a decline of 45%. Significant reduction in AFM1 secretion was observed in all experimental units (p < 0.005), though only minimal reduction was recorded in one of the units (Cow 4) compared to the other three. This trial shows novel data on aflatoxin exposure and excretion in Kenyan dairy cows in a field setting where AFB1 level is uncontrolled. We demonstrate significant reduction in AFM1 secretion in milk using AMA, though AFM1 levels were still above the recommended EC standard of 50 ŋg/kg. This study suggests that AMAs alone cannot be relied on to reduce AFM1 in milk to safe levels. Training and good feeding practices are recommended in addition to use of AMAs.
1. Introduction
Milk is a nutrient-dense food with a notable contribution to the nutritional requirements of household members, specifically children [1]. Per capita milk consumption in most developing countries has increased steadily over the years, owing to population growth and rise in incomes [2], making it possible for more households to afford it. Milk consumption is higher in Kenya than other African countries, with an average annual per capita consumption of 110 kg [3]. Consumption is higher in urban than in rural areas [4,5]. It is important to ensure milk safety given the high levels of milk consumption.
Occurrence of AFM1 in milk has been widely reported in the country [6,7,8,9]. The International Agency for Research on Cancer (IARC) has classified both aflatoxin B1 (AFB1) and aflatoxin M1 (AFM1), the metabolite most commonly found in milk, as group 1 human carcinogens [10], meaning that there is sufficient evidence to link the two agents to cancer in humans. Acute exposure to high levels of aflatoxins clinically manifests as abdominal pain, vomiting, pulmonary edema, and liver damage [11]. In severe cases, acute aflatoxicosis can result in death [12]. Chronic exposure is a risk factor for hepatocellular carcinoma [10,13,14]. Children are more vulnerable to aflatoxin exposure than adults [13,14], given the extensive utilization of milk and its products in weaning and dietary supplementation [6]. Although AFM1 likely contributes very little to the incidence of hepatic cancers [15], other potential effects of aflatoxin exposure in children such as immune suppression, malnutrition, stunting and growth impairment could be significant [16]. There are therefore concerns about the risks with AFM1 in milk, which is often targeted to women and young children [17,18]. Previous research in Kenya has found that AFM1 occurs in many different dairy products at levels ranging between 34 and 370 ŋg/kg [8,9,15], and in low-income areas, 100% of the milk may be contaminated making poor children exceptionally vulnerable [16].
In animals, most of the effects of chronic aflatoxicosis are subtle and may go unnoticed due to lack of observable signs or misdiagnosis. Furthermore, some food animals may not be kept for long enough to manifest these effects. Some of the effects include reduced weight gain, decline in productivity, and decreased immunity, which may make them additionally susceptible to other diseases and lead to increased mortality rates [19]. The negative effects of aflatoxins on animal productivity, and hence on livelihoods and food availability, means that it is important to find means of mitigation that works also in smallholder dairy settings in sub-Saharan Africa.
Aflatoxin contamination can occur at any stage along the food value chain. The primary management strategy for mycotoxins is controlling fungi infestation in the field and during storage [20]. Harvesting grains at optimum maturity, adequate drying, and storing in cool and dry conditions have been proved effective in preventing mold growth [21]. In addition, trials on the potential of atoxigenic biocontrol products to reduce field contamination in maize and groundnuts have been successful in various Sub-Saharan African countries [22,23], although their use in Kenya is still not widespread.
In the case where contamination has already occurred, which is a likely scenario, decontamination of the grains is required before it can safely be used as food or feed. Common post-harvest mycotoxin decontamination strategies include sorting, de-hulling, dilution, microbial degradation, ozone fumigation, thermal inactivation, and irradiation. The ones designed for use by rural smallholder farmers should be simple, practical, safe, effective, and (most importantly) cost-friendly [19,20,24]. Anti-mycotoxin additives (AMAs) are non-nutritive feed additives. They act by binding mycotoxins present in the feed, thereby preventing absorption into the blood system and distribution in the body [25]. Use of AMAs is a simple and effective method of reducing aflatoxin contamination in feed. Since only small doses of AMAs are required for aflatoxin sequestering, sale of AMAs in small packages is encouraged, as this will make the product affordable and economically accessible to smallholder farmers [26].
Novasil clay binder (Novasil™ Plus) is an example of an AMA. Also labeled as hydrated sodium calcium aluminosillicate (HSCAS) [25], Novasil is a calcium montmorillonite clay in the category of phyllosilicate clays. These clays have a porous structure (made of silicate tetrahedrons and octahedrons) which allows for adsorption of the toxins reducing their bio-availability for absorption into the blood [27]. Novasil has been shown to have a higher specificity and efficacy for binding aflatoxins than other mycotoxins [28]. Novasil has been tried in many in-vitro studies and its effectiveness demonstrated in different animal species including cows, sheep, pigs, goats, and chickens [25,29,30,31]. Inclusion of anti-mycotoxin agents in dairy cattle diet has been shown to reduce the rate of secretion of aflatoxin in milk as well as alleviating some effects of mycotoxins on animal performance [32,33].
From the various animal experimental trials, clear dose response of Novasil to aflatoxin has been seen, though differences in aflatoxin concentration in the diets brings about contrasting results [32]. In lactating dairy cows, use of Novasil clay has demonstrated decrease in aflatoxin concentration in milk, ranging from a rate of 17% to 71%, with no apparent effects on milk production, quality, and composition [34].
Previous studies on AMAs around the world have been conducted in controlled settings where the level of aflatoxins in the feed has been highly controlled, and less is known as to how AMAs will perform in farms with high and varying levels of contamination [29,35,36,37]. There is scanty information on the use of mycotoxin binders in Kenya. Mutua et al. [26] established that a number of feed manufacturers in the country used clay binders. However, this was unregulated and the level of use and efficacy of most sold compounds had not been determined. The same study also found that most feed manufacturers reported to use binders when they considered the raw materials to be high risk, but it was not carried out routinely. A field trial in Kenya indicated that providing Novasil to smallholder dairy farmers could have an overall effect on AFM1 in milk sold [38], but further studies are needed to understand how the AFM1 secretion is affected when individual cows are fed normal feed. This pilot study was designed to address this knowledge gap. The study aimed at providing novel information on the secretion of AFM1 in milk in individual cows mimicking an ordinary farm environment in Kenya and how Novasil aflatoxin clay binder could mitigate this.
2. Materials and Methods
2.1. Feeding Trial
The feeding trial was conducted at the International Livestock Research Institute (ILRI) Animal Farm, Nairobi Campus, Kenya, between March and April 2018. A Latin square, four-by-four cross-over design was used. The intended treatments in the design were feeding normal commercial dairy feed, feeding normal commercial dairy feed with binder at a low level, and feeding normal commercial diary feed with a high level of binder.
The feeding trial was carried out within 45-days. The first five-day period was used as a standardization (STD) period for the animals to adapt to the new paddocking environment. A normal diet (N) was administered during the STD period, which consisted of naturally AFB1-contaminated commercial dairy feed concentrate (without aflatoxin binder). The subsequent four periods, each of ten days, were experimental periods during which the treatments were allocated. The decision to have sessions of 10 days was based on the number of days it takes for AFM1 secretion in milk to reach a plateau after ingestion of AFB1-contaminated feed (normally 7–12 days) [39]. The treatments that were tested were dairy feed concentrate with binder (Novasil™ Plus) added at two different rates on w/w basis; NS1 at 0.6% and NS2 at 1.2% [29]. Normal diet (N) was administered for 10 days after each period of treatment (to allow the binder to clear from the body system). The diets were supplemented with hay, and water was provided ad libitum. Samples of hay used were tested for aflatoxin prior to use and found to have negligible level of aflatoxin.
A demonstration of the four-by-four Latin square design as used in the study is given in Table 1. The blocking factors used (each four in number) were time-periods (period A–D) and the number of experimental units (Cow 1–4). The experimental units were distributed randomly to the different treatments throughout the period, but ensuring that by the end of the trial, each experimental unit had received each binder treatment (NS1 and NS2) once and normal diet (N) two times during withdrawal periods.
Table 1.
Latin square design applied in feeding trial.
Given the differences in the experimental units, each one acted as its own control, designed to reduce the between-animal variation which would bring about statistical errors. Table 2 below describes the experimental units in terms of age, breed, stage of lactation, and weight.
Table 2.
Description of the experimental units.
2.2. Sampling Procedure
2.2.1. Sampling of Concentrate Feed
Concentrate feed was sourced from a single manufacturer, which was one of the largest manufacturers in the country. This was a naturally contaminated dairy concentrate with no added aflatoxins and no evidence of binder inclusion from the source. No aflatoxins were added to any diet, but all levels were as found in the feed when purchased. The aflatoxin level already present in the feed was measured at the start of the trial. In each 70 kg bag of the feed, a 500 g sample was taken from the upper end, the middle region and the lower end, translating to three samples per bag of feed. Samples were packed separately in sterile bags and stored at 4°C before analysis. Eleven bags of feed were used in the entire trial period.
Samples per bag were then thoroughly mixed and ground using a Romer grinder (Romer Series II Mill from Romer Labs Inc., 1301 Stylemaster Drive Union, City of Union, MO, USA). Hay samples were obtained from representative bales and cut finely using a feed chopper fitted with 7 mm sieve (Nakuru Tiger Machinery, Nakuru, Kenya). From the ground/chopped samples, 20 g was weighed separately into sterile 50 mL tubes, extracted using 70% methanol and analyzed for AFB1 by ELISA technique.
2.2.2. Sampling of Milk
The cows were milked only once in a day (mid-morning). The rest were left for calf feeding. Total milked from each cow during this session was recorded daily. Milk samples were collected from each cow in sterile 50 mL sample tubes during each milking session, throughout the feeding trial. The samples were stored in a cool-box and transported to Biosciences for east and central Africa-International Livestock Research Institute (BecA-ILRI) labs where they were stored at −20 °C before analysis. All of the samples (n = 135) were analyzed for AFM1.
2.3. ELISA Analysis of Samples
Quantitative detection of AFB1 in feed and AFM1 in milk samples was carried out using competitive enzyme-linked immunosorbent assay (ELISA) kit (Helica Biosystems Inc., Santa Ana, CA, USA) following the manufacturer’s instructions and described in details elsewhere [8,9]. Aflatoxin levels were quantified using logarithmic standard curve made from the optical densities of the standards with R2 of above 97%.
The ELISA had a limit of detection of 5 ŋg/kg and the highest standard was 100 ŋg/kg for AFM1 in milk and 2 µg/kg to 400 µg/kg for AFB1 in feed. Milk samples that exceeded the upper limit were diluted with skim milk provided with the kit and re-tested.
2.4. Data Analysis
Data were entered into Microsoft Excel® 2010 and analyzed using R Statistical Package version 3.6.3 [40]. Descriptive statistics including arithmetic means, standard deviations (SD), median, minimum and maximum values were determined. AFB1 values were described using mean ± SD, and maximum and minimum values. Box plots were used to illustrate trends of AFM1 concentration during the four periods (A, B, C, and D). The Kruskal-Wallis test was used to compare the means of AFM1 in the milk under the different treatment conditions (NS1 and NS2) and during withdrawal period when N was administered. An alpha value of p < 0.05 was used in assessing the significance of the differences. Percentage change in milk AFM1 concentration was calculated as the difference the between concentration during binder treatment (NS1 or NS2) and normal feed (N) application, divided by N and multiplied by 100, for each cow individually.
A provisional secretion rate was calculated by dividing the amount of AFB1 consumed with the AFM1 in the measured milk produced, as given in the formula below:
Since milking was only carried out partly, this provisional secretion rate is an underestimation of the actual levels based on the milk measured and not the total produced by the cow. The secretion rate was plotted against the binder dose for each cow.
3. Results
3.1. AFB1 in Feed
On average, Cows 1, 2 and 3 consumed 2.1 kg of concentrate feed each day while Cow 4 consumed almost double (4.3 kg) due to its weight. The mean level of AFB1 concentration in feed consumed by the animals during the treatment periods was 35.33 ± 7.51 µg/kg with a minimum value of 19.00 µg/kg and a maximum of 47.11 µg/kg. No significant difference in AFB1 concentration was observed between the periods. Table 3 shows the average level of AFB1 from each bag used and each period of the trial. Samples of hay were found to have negligible level of aflatoxin.
Table 3.
Average concentration of AFB1 (µg/kg).
3.2. AFM1 Secretion in Milk
The mean milk yield (kg) per cow was as follows: Cow 1 mean = 3.74 ± 0.44; Cow 2 mean = 3.55 ± 0.35; Cow 3 mean = 4.08 ± 0.33; Cow 4 mean = 5.48 ± 0.73. The mean AFM1 level (ŋg/kg) secreted by the experimental units were as follows; Cow 1 mean = 184 ± 45.56; Cow 2 mean = 163 ± 44.67; Cow 3 mean = 128 ± 62.36; Cow 4 mean = 358 ± 75.03. On average, inclusion of 0.6% (NS1) of binder into the animal diet resulted in 34% decline in milk AFM1 level, while 1.2% (NS2) resulted in 45% decline. The Kruskal-Wallis test showed significant difference (p < 0.005) in the mean levels of AFM1 in milk for the treatments (NS1, NS2) and during the withdrawal periods. Table 4 shows percentage change recorded in milk AFM1 concentration from each cow fed with Novasil at 0.6 and 1.2% (NS1 and NS2, respectively), compared to the period when they did not feed on the binder (N).
Table 4.
Percentage change in AFM1 concentration in milk from cows fed with. Novasil at 0.6 and 1.2% (NS1 and NS2, respectively).
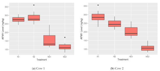
Figure 1 shows the pattern in AFM1 concentration in milk from the four experimental units during each period by the treatment applied.

Figure 1.
(a–d) Pattern of AFM1 concentration in milk from individual cows (1–4), where treatment is: NS1- Binder included in feed at 0.6%, NS2-Binder-included in feed at 1.2%, and N1 and N2—Feed without binder.
Since three (1, 2, 4) of the four cows were with calves, the calves were allowed to suckle, as is common practice in smallholder dairy in Kenya. Therefore, all milk produced was not measured, making it impossible to calculate the exact secretion rate of AFM1. However, a provisional secretion rate was calculated based on the amount milked, and plotted day by day for each cow as shown in Figure 2. The highest secretion measured varied substantially over the feeding trial, with two of the cows having a rate of up to 4%.

Figure 2.
Shows secretion rate of AFM1 in milk against the binder dose from the four experimental units (Cow 1–4).
4. Discussion
This study assessed the levels of AFM1 in the milk from four individual cows, kept under normal farming circumstances in Kenya, and fed with normal commercial Kenyan dairy feed, with or without AMA, which is data that is presented for the first time. Various studies on use of enterosorbents as aflatoxin binders have been carried out either as in-vitro studies, or in controlled feed trials where samples are spiked to maintain constant levels of aflatoxins [41]. However, in-vivo studies that simulates ordinary keeping and management environment of dairy cows in Africa are necessary to establish the usage, safety and efficacy of the binders when included in the animal diet.
Smallholder dairy farmers often use commercial dairy concentrate feed, supplemented with forage, grass, and crop residues [42]. Dairy concentrate is mostly a mixture of cornmeal, peanut meal, cotton seed cake, and soybean meal, which are highly prone to aflatoxin contamination [43]. In this study, there was not much variation in the mean AFB1 levels from one bag of feed to the other, as well as from one period to another. The range of AFB1 contamination in feed in this study was generally low compared to that found in other studies (19–47 µg/kg in this study, versus 0–147 µg/kg from that established from peri-urban dairy farming systems [44]), and 0 to about 1000 µg/kg established from different agro-ecological zones in Kenya [9]). In addition, the average level of AFB1 in feed used in this study, which was obtained directly from a local manufacturer, was lower (36.48 µg/kg) compared to 108.9 µg/kg obtained from manufacturers within the country [9]. Variation in AFB1 contamination in feed is attributed to the different seasons of the year [8,9]. The rainy season presents wet and humid conditions which are favorable for mold growth [21]. This trial was designed to mimic an ordinary smallholder Kenyan dairy farm, where it is very difficult for a farmer to obtain aflatoxin-free feed, and where levels of aflatoxins in the feed may vary considerably, therefore the original levels of aflatoxins in the feed was not controlled.
The results from this study showed significant reduction in aflatoxin level in milk in all experimental units (Cows 1–4) at both rates of binder inclusion (p = 0.002). Averagely, a decline of 34% and 45% in milk AFM1 concentration was recorded using 0.6% and 1.2% binder inclusion rates, respectively. This is consistent with results from other studies. Maki et al. [35] recorded 17% and 21% reduction in AFM1 using 0.125 and 0.25% Novasil binder inclusion in the diet, respectively. Another study by Maki et al. [29] used 0.6% and 1.2% binder rates and noted 55% and 68% reduction in milk AFM1 levels, respectively, which is a higher rate of reduction than what we recorded, using equal AMA inclusion rate. Other studies also show the same range of effects. Stroud [32] recorded 40% reduction in aflatoxin milk concentration with addition of 0.5% Novasil in the diet, and Kutz et al. [33], found that Novasil and Solis (two different HSCAS) in the animal diet at the rate of 0.56% resulted in 48% and 45% reduction in milk AFM1, respectively. All of the four bentonites used by Diaz et al. (2004) demonstrated reduction in AFM1 concentration using different bentonite clays, however compared to sodium bentonite AMAs, calcium bentonite AMA was not as effective because of poor water holding capacity [36]. Applying 0.5% of HSCAS in 200 µg/kg of AFB1 in feed, Harvey et al. (1991) observed a reduction rate of 24% and 44% reduction applying 1.0% of HSCAS with 100 µg/kg of AFB1 in feed [37]. Novasil has long been added during feed production as an anti-caking agent or AMA. Trapping of the active molecule and surface area for adsorption has been shown to be important in improving binding affinity thus reducing aflatoxin concentration [45]. There is likely to be less comprehensive mixing of the AMA when added to prepared feed as opposed to inclusion during feed production, thus poor binding affinity resulting to reduced efficacy of the AMA. This may explain the difference in the rates of reduction of AFM1 using similar HSCAS inclusion rates.
There was a large variation in AFM1 secretion between cows. Across all trial periods, one experimental unit (Cow 4, the heaviest Friesian/Boran cross) was seen to secrete higher levels AFM1 (ŋg/kg) (mean= 358 ± 75.03) compared to the other three experimental units (Cow 1 mean= 184 ± 45.56; Cow 2 mean = 167 ± 44.67; Cow 3 mean = 128 ± 62.36). Additionally, this experimental unit yielded more milk (mean = 5.48 ± 0.73) than the other units. The effect of Novasil in reduction of AFM1 at the rate of 0.6% and 1.2% was shown to be 7% and 14%, respectively, which is notably lower than reduction rates in the other three experimental units. Applebaum and Marth found that in addition to milk yield, other within-cow variations are likely to affect secretion of AFM1 [46]. Despite similar rate of AFB1 ingestion among cows in the same stage of lactation, there is likely to be a difference in the rate of secretion and carryover of AFM1 [47]. This is likely to have been the case with experimental unit 4 which showed different results from the other units. Coupled with other factors, the age and weight of unit four are likely to have influenced the higher rate of AFM1 secretion, however there is no definite conclusion on this.
The estimated secretion rates varied over the period, which could be due to differences in the actual levels of AFB1 fed each day, as the toxin levels may be very unevenly distributed in the feeding bags. Since it was not possible to measure the total amount of milk produced by the cow, the daily secretion rates were approximations, and an underestimation of the actual secretion. The amount milked each day could therefore vary depending on how much the calf had suckled.
The maximum residue limit (MRL) for AFM1 in milk used in Kenya is 500 ŋg/kg, which is adapted for use by the East African Community (EAC) from the CODEX Alimentarius Commission (CAC) [48,49]. On the other hand, the EC has set a maximum level of 50 ŋg/kg [50]. There is a push for uniform application of mycotoxins regulations globally, for reduced human exposure, and to facilitate international trade [51]. However, as seen in this study, these limits are far too stringent for smallholder dairy farmers in Kenya to attain even with use of AMAs. This study showed that, by feeding only moderately contaminated feed, and using relatively high AMA concentrations, the milk samples were within the EAC standard but commonly exceeded the EC standard, with high variation. According to this study, anti-mycotoxin agents on their own cannot be relied on to reduce AFM1 in milk to safe levels. Training and good feeding practices are among the recommended practices, alongside use of AMAs [38].
There are some limitations of this study. While calculation of exposure to AFB1 by the animals used in the study was possible, it was not possible to determine accurately the rate of secretion aflatoxin in milk. This is due to the fact that three out of four of the animals used in the trial had calves under lactation, and thus milking was only carried out partly. On the other hand, given that this was a pilot study, only limited animals (four) were used in this design, thus limiting the extent of observation and comparison within and between different treatments used.
5. Conclusions
This study demonstrates potential use of Novasil aflatoxin binder for reducing aflatoxin contamination in milk from dairy animals in Kenya. Inclusion of Novasil aflatoxin binder at the rate of 0.6% and 1.2% (w/w) resulted in 34% and 45% decline in milk AFM1 concentration, respectively. However AFM1 levels were still above the recommended EC standard of 50 ŋg/kg. The study demonstrates that some within-cow factors such as age and weight may affect AFM1 secretion in dairy cows, thus masking part of the effect of the binder. From the study, we deduce that it may be challenging for an ordinary smallholder dairy farmer to achieve low levels of AFM1 in milk as established by international standards. For effective reduction of mycotoxin contamination among smallholder dairy farmers, both preventive and control measures are recommended.
Author Contributions
Conceptualization, J.L. and D.G.; methodology, all; data analysis, M.K.; investigation, M.K. and J.L.; resources, J.L. and D.G.; data curation M.K., F.M. and J.L.; writing—original draft preparation, M.K.; writing—review and editing, all; supervision, J.L. and L.N.; project administration, J.L.; funding acquisition, J.L and D.G. All authors have read and agreed to the published version of the manuscript.
Funding
This study was funded by the Ministry of Foreign Affairs of Finland, as part of the second phase of Food Africa Program (contract number 29891501) and the CGIAR Research Program on Agriculture for Nutrition and Health.
Institutional Review Board Statement
Animal use approval for the feeding trial was obtained prior to the study from ILRI under the International Animal Care and Use Committee (IACUC) reference number IACUC 2018-05.
Informed Consent Statement
Not applicable.
Data Availability Statement
Data will be made available on request.
Acknowledgments
Special thanks to Simeon Otieno and Lameck Otieno (ILRI Animal Farm, Nairobi Campus) and Frederick Ng’ang’a (BecA-ILRI Hub) for their support and technical assistance.
Conflicts of Interest
The authors declare no conflict of interest.
References
- Gerosa, S.; Jakob, S. Milk availability: Current production and demand and medium-term outlook. In Milk and Dairy Products in Human Nutrition; Muehlhoff, E., Bennett, A., McMahon, D., Eds.; Food and Agriculture Organization: Rome, Italy, 2013; pp. 11–40. ISBN 9789251078631. [Google Scholar]
- Delgado, C.L. Rising Consumption of Meat and Milk in Developing Countries Has Created a New Food Revolution. J. Nutr. 2003, 133, 3907–3910. [Google Scholar] [CrossRef] [PubMed] [Green Version]
- Rademaker, C.J.; Bebe, B.O.; Van Der Lee, J. Sustainable Growth of the Kenyan Dairy Sector: A Quick Scan of Robustness, Reliability and Resilience; Wageningen Livestock Research: Wageningen, The Netherlands, 2016. [Google Scholar]
- Muriuki, H.G. Dairy Development in Kenya; Food and Agriculture Organization: Rome, Italy, 2011. [Google Scholar]
- Ouma, E.; Staal, S.J.; Omore, A.; Wanjohi, P.; Njoroge, L.; Njubi, D. Consumption Patterns of Dairy Products in Kenya; International Livestock Research Institute: Nairobi, Kenya, 2000. [Google Scholar]
- Kang’ethe, E.K.; Sirma, A.J.; Murithi, G.; Mburugu-Mosoti, C.K.; Ouko, E.O.; Korhonen, H.J.; Nduhiu, G.J.; Mungatu, J.K.; Joutsjoki, V.; Lindfors, E.; et al. Occurrence of mycotoxins in food, feed, and milk in two counties from different agro-ecological zones and with historical outbreak of aflatoxins and fumonisins poisonings in Kenya. Food Qual. Saf. 2017, 1, 161–169. [Google Scholar] [CrossRef] [Green Version]
- Kuboka, M.M.; Imungi, J.K.; Njue, L.; Mutua, F.; Grace, D.; Lindahl, J.F. Occurrence of aflatoxin M1 in raw milk traded in peri-urban Nairobi, and the effect of boiling and fermentation. Infect. Ecol. Epidemiol. 2019, 9, 1625703. [Google Scholar] [CrossRef] [PubMed] [Green Version]
- Lindahl, J.F.; Kagera, I.N.; Grace, D. Aflatoxin M1 levels in different marketed milk products in Nairobi, Kenya. Mycotoxin Res. 2018, 34, 289–295. [Google Scholar] [CrossRef] [Green Version]
- Senerwa, D.; Sirma, A.; Mtimet, N.; Kang’ethe, E.; Grace, D.; Lindahl, J. Prevalence of aflatoxin in feeds and cow milk from five counties in Kenya. Afr. J. Food, Agric. Nutr. Dev. 2016, 16, 11004–11021. [Google Scholar] [CrossRef]
- International Agency for Research on Cancer IARC Monographs on the Evaluation of Carcinogenic Risks to Humans. Some Traditional Herbal Medicines, Some Mycotoxins, Naphthalene and Styrene; IARC PRESS: Lyon, France, 2002; Volume 82, ISBN 9789283215875. [Google Scholar]
- Wu, F.; Groopman, J.D.; Pestka, J.J. Public Health Impacts of Foodborne Mycotoxins. Annu. Rev. Food Sci. Technol. 2014, 5, 351–372. [Google Scholar] [CrossRef] [PubMed] [Green Version]
- Lewis, L.; Onsongo, M.; Njapau, H.; Schurz-rogers, H.; Luber, G.; Kieszak, S.; Nyamongo, J.; Backer, L.; Dahiye, A.M.; Misore, A.; et al. Aflatoxin Contamination of Commercial Maize Products during an Outbreak of Acute Aflatoxicosis in Eastern and Central Kenya. Environ. Health Perspect. 2005, 113, 1763–1767. [Google Scholar] [CrossRef]
- Ahlberg, S.; Grace, D.; Kiarie, G.; Kirino, Y.; Lindahl, J.; Ahlberg, S.; Grace, D.; Kiarie, G.; Kirino, Y.; Lindahl, J. A Risk Assessment of Aflatoxin M1 Exposure in Low and Mid-Income Dairy Consumers in Kenya. Toxins 2018, 10, 348. [Google Scholar] [CrossRef] [PubMed] [Green Version]
- Williams, J.H.; Phillips, T.D.; Pauline, J.; Jonathan, S.; Curtis, J.; Deepak, A.; Jolly, P.E.; Stiles, J.K.; Jolly, C.M.; Aggarwal, D. Human aflatoxicosis in developing countries: A review of toxicology, exposure, potential health consequences, and interventions. Am. J. Clin. Nutr. 2004, 80, 1106–1122. [Google Scholar] [CrossRef] [PubMed]
- Sirma, A.J.; Makita, K.; Randolph, D.G.; Senerwa, D.; Lindahl, J.F. Aflatoxin exposure from milk in rural Kenya and the contribution to the risk of liver cancer. Toxins 2019, 11, 469. [Google Scholar] [CrossRef] [PubMed] [Green Version]
- Kiarie, G.; Dominguez-Salas, P.; Kang’ethe, S.; Grace, D.; Lindahl, J.; Dominguea-Salas, P.; Kang’ethe, E.; Grace, D.; Lindahl, J. Aflatoxin exposure among young children in urban low-income areas of Nairobi and association with child growth. Afr. J. Food Agric. Nutr. Dev. 2016, 16, 10967–10990. [Google Scholar] [CrossRef]
- Kirino, Y.; Makita, K.; Grace, D.; Lindahl, J. Survey of informal milk retailers in Nairobi, Kenya and prevalence of aflatoxin M1 in marketed milk. Afr. J. Food, Agric. Nutr. Dev. 2016, 16, 11022–11038. [Google Scholar] [CrossRef]
- Kiama, T.N.; Lindahl, J.F.; Sirma, A.J.; Denerwa, D.M.; Withanji, E.M.; Ochungo, P.A.; Poole, E.J.; Kangethe, E.K.; Grace, D. Kenya Dairy farmers perceptions of moulds and mycotoxins and implications for exposure to aflatoxins: A gendered analysis. Afr. J. Food Agric. Nutr. Dev. 2016, 16, 11106–11125. [Google Scholar] [CrossRef]
- Atherstone, C.; Grace, D.; Lindahl, J.F.; Kang’ethe, E.K.; Nelson, F. Assessing the impact of aflatoxin consumption on animal health and productivity. Afr. J. Food Agric. Nutr. Dev. 2016, 16, 10949–10966. [Google Scholar] [CrossRef]
- Mahuku, G.; Sila, H.; Mutegi, C.; Kanampiu, F.; Narrod, C.; Makumbi, D. Pre-harvest management is a critical practice for minimizing aflatoxin contamination of maize. Food Control 2019, 96, 219–226. [Google Scholar] [CrossRef]
- Wagacha, J.M.; Muthomi, J.W. Mycotoxin problem in Africa: Current status, implications to food safety and health and possible management strategies. Int. J. Food Microbiol. 2008, 124, 1–12. [Google Scholar] [CrossRef]
- Senghor, L.A.; Ortega-Beltran, A.; Atehnkeng, J.; Callicott, K.A.; Cotty, P.J.; Bandyopadhyay, R. The atoxigenic biocontrol product Aflasafe SN01 is a valuable tool to mitigate aflatoxin contamination of both maize and groundnut cultivated in Senegal. Plant Dis. 2020, 104, 510–520. [Google Scholar] [CrossRef] [PubMed]
- Bandyopadhyay, R.; Ortega-Beltran, A.; Akande, A.; Mutegi, C.; Atehnkeng, J.; Kaptoge, L.; Senghor, A.L.; Adhikari, B.N.; Cotty, P.J. Biological control of aflatoxins in Africa: Current status and potential challenges in the face of climate change. World Mycotoxin J. 2016, 9, 771–789. [Google Scholar] [CrossRef] [Green Version]
- Udomkun, P.; Wiredu, A.N.; Nagle, M.; Müller, J.; Vanlauwe, B.; Bandyopadhyay, R. Innovative technologies to manage aflatoxins in foods and feeds and the profitability of application—A review. Food Control 2017, 76, 127–138. [Google Scholar] [CrossRef] [PubMed]
- Pettersson, H. Controlling mycotoxins in animal feed. In Mycotoxins in Food: Detection and Control; Magan, N., Olsen, M., Eds.; Woodhead Publishing Ltd.: Cambridge, UK, 2004; pp. 262–304. ISBN 9781855739086. [Google Scholar]
- Mutua, F.; Lindahl, J.; Grace, D. Availability and use of mycotoxin binders in selected urban and Peri-urban areas of Kenya. Food Secur. 2019, 11, 359–369. [Google Scholar] [CrossRef] [Green Version]
- Phillips, T.D.; Wang, M.; Elmore, S.E.; Hearon, S.; Wang, J.-S. Novasil Clay for the Protection of Humans and Animals from Aflatoxins and Other Contaminants. Clays Clay Miner. 2019, 67, 99–110. [Google Scholar] [CrossRef] [PubMed]
- Phillips, T.D.; Lemke, S.L.; Grant, P.G. Characterization of clay-based enterosorbents for the prevention of aflatoxicosis. Adv. Exp. Med. Biol. 2002, 504, 157–171. [Google Scholar] [CrossRef] [PubMed]
- Maki, C.R.; Monteiro, A.P.A.; Elmore, S.E.; Tao, S.; Bernard, J.K.; Harvey, R.B.; Romoser, A.A.; Phillips, T.D. Calcium montmorillonite clay in dairy feed reduces aflatoxin concentrations in milk without interfering with milk quality, composition or yield. Anim. Feed Sci. Technol. 2016, 214, 130–135. [Google Scholar] [CrossRef]
- Pimpukdee, K.; Kubena, L.F.; Bailey, C.A.; Huebner, H.J.; Afriyie-Gyawu, E.; Phillips, T.D. Aflatoxin-induced toxicity and depletion of hepatic vitamin A in young broiler chicks: Protection of chicks in the presence of low levels of NovaSil PLUS in the diet. Poult. Sci. 2004, 83, 737–744. [Google Scholar] [CrossRef] [PubMed]
- Phillips, T.D. Dietary clay in the chemoprevention of aflatoxin-induced disease. Toxicol. Sci. 1999, 52, 118–126. [Google Scholar] [CrossRef]
- Stroud, J.S. The Effect of Feed Additives on Aflatoxin in Milk of Dairy Cows Fed Aflatoxin-Contaminated Diets; North Carolina State University: Raleigh, NC, USA, 2006. [Google Scholar]
- Kutz, R.E.; Sampson, J.D.; Pompeu, L.B.; Ledoux, D.R.; Spain, J.N.; Vázquez-Añón, M.; Rottinghaus, G.E. Efficacy of Solis, NovasilPlus, and MTB-100 to reduce aflatoxin M1 levels in milk of early to mid lactation dairy cows fed aflatoxin Bl. J. Dairy Sci. 2009, 92, 3959–3963. [Google Scholar] [CrossRef] [Green Version]
- Phillips, T.D.; Afriyie-Gyawu, E.; Williams, J.; Huebner, H.; Ankrah, N.A.; Ofori-Adjei, D.; Jolly, P.; Johnson, N.; Taylor, J.; Marroquin-Cardona, A.; et al. Reducing human exposure to aflatoxin through the use of clay: A review. Food Addit. Contam.—Part A Chem. Anal. Control. Expo. Risk Assess. 2008, 25, 134–145. [Google Scholar] [CrossRef]
- Maki, C.; Haney, S.; Wang, M.; Ward, S.; Rude, B.; Bailey, R.; Harvey, R.; Phillips, T. Calcium Montmorillonite Clay for the Reduction of Aflatoxin Residues in Milk and Dairy Products. J. Dairy Vet. Sci. 2017, 2, 1–8. [Google Scholar] [CrossRef]
- Diaz, D.E.; Hagler, W.M.; Blackwelder, J.T.; Eve, J.A.; Hopkins, B.A.; Anderson, K.L.; Jones, F.T.; Whitlow, L.W. Aflatoxin Binders II: Reduction of aflatoxin M1 in milk by sequestering agents of cows consuming aflatoxin in feed. Mycopathologia 2004, 157, 233–241. [Google Scholar] [CrossRef]
- Harvey, R.B.; Phillips, T.D.; Ellis, J.A.; Kubena, L.F.; Huff, W.E.; Petersen, H.D. Effects on aflatoxin M1 residues in milk by addition of hydrated sodium calcium aluminosilicate to aflatoxin-contaminated diets of dairy cows. Am. J. Vet. Res. 1991, 52, 1556–1559. [Google Scholar]
- Anyango, G.; Kagera, I.; Mutua, F.; Kahenya, P.; Kyallo, F.; Andang’o, P.; Grace, D.; Lindahl, J.F. Effectiveness of Training and Use of Novasil Binder in Mitigating Aflatoxins in Cow Milk Produced in Smallholder Farms in Urban and Periurban Areas of Kenya. Toxins 2021, 13, 281. [Google Scholar] [CrossRef] [PubMed]
- Masoero, F.; Gallo, A.; Moschini, M.; Piva, G.; Diaz, D. Carryover of aflatoxin from feed to milk in dairy cows with low or high somatic cell counts. Animal 2007, 1, 1344–1350. [Google Scholar] [CrossRef] [PubMed] [Green Version]
- R Development Core Team. R: A Language and Environment for Statistical Computing; R Foundation for Statistical Computing: Vienna, Austria, 2010. [Google Scholar]
- Ramos, A.J.; Fink-Gremmels, J.; Hernández, E. Prevention of toxic effects of mycotoxins by means of nonnutritive adsorbent compounds. J. Food Prot. 1996, 59, 631–641. [Google Scholar] [CrossRef] [PubMed]
- Thorpe, W.; Muriuki, H.; Omore, A.O.; Owango, M.O.; Staal, S.J. Development of smallholder dairying in Eastern Africa with particular reference to Kenya. In Proceedings of the Paper prepared for the UZ/RVAU/DIAS/DANIDA-ENRECA PROJECT REVIEW WORKSHOP, Harare, Zimbabwe, 10–13 January 2000; International Livestock Research Institute: Nairobi, Kenya, 2000. [Google Scholar]
- Fink-Gremmels, J. Mycotoxins in cattle feeds and carry-over to dairy milk: A review. Food Addit. Contam.—Part A Chem. Anal. Control. Expo. Risk Assess. 2008, 25, 172–180. [Google Scholar] [CrossRef] [Green Version]
- Makau, C.M.; Matofari, J.W.; Muliro, P.S.; Bebe, B.O. Aflatoxin B1 and Deoxynivalenol contamination of dairy feeds and presence of Aflatoxin M1 contamination in milk from smallholder dairy systems in Nakuru, Kenya. Int. J. Food Contam. 2016, 3, 6. [Google Scholar] [CrossRef] [Green Version]
- Galvano, F.; Pietri, A.; Bertuzzi, T.; Piva, A.; Chies, L.; Galvano, M. Activated carbons: In vitro affinity for ochratoxin A and deoxynivalenol and relation of adsorption ability to physicochemical parameters. J. Food Prot. 1998, 61, 469–475. [Google Scholar] [CrossRef]
- Applebaum, R.S.; Marth, E.H. Responses of dairy cows to dietary aflatoxin: Concentration of blood serum constituents and hormones associated with liver-kidney dysfunction and maintenance of lactation. Eur. J. Appl. Microbiol. Biotechnol. 1983, 18, 381–386. [Google Scholar] [CrossRef]
- Veldman, A.; Meijs, J.; Borggreve, G.; Heeres-van der Tol, J. Carry-Over of Aflatoxin from Cows’ Food to Milk. Anim. Sci. 1992, 55, 163–168. [Google Scholar] [CrossRef]
- Gong, Y.Y.; Routledge, M.; Kimanya, M.E.; Musoke, G.; Nelson, F.; Sonoiya, S.; Manyong, V. Building an Aflatoxin Safe East African Community Technical Policy Paper 8 Aflatoxin Standards for Food Knowledge Platform 2015 Situational Analysis East Africa Region; International Institute for Tropical Agriculture: Dar es Salaam, Tanzania, 2015. [Google Scholar]
- Grace, D.; Lindahl, J.; Atherstone, C.; Kang’ethe, E.; Nelson, F.; Wesonga, T.; Manyong, V. Building an Aflatoxin Safe East African Community Technical Policy Paper 7 Aflatoxin Standards for Feed Knowledge Platform 2015 Situational Analysis for East Africa Region; International Institute for Tropical Agriculture: Dar es Salaam, Tanzania, 2015. [Google Scholar]
- European Commission COMMISSION REGULATION (EC) No 1881/2006 of 19 December 2006 Setting Maximum Levels for Certain Contaminants in Foodstuffs. 2006, pp. 1–35. Available online: https://eur-lex.europa.eu/legal-content/EN/ALL/?uri=celex%3A32006R1881 (accessed on 15 September 2021).
- Wu, F. Mycotoxin risk assessment for the purpose of setting international regulatory standards. Environ. Sci. Technol. 2004, 38, 4049–4055. [Google Scholar] [CrossRef] [Green Version]
Publisher’s Note: MDPI stays neutral with regard to jurisdictional claims in published maps and institutional affiliations. |
© 2022 by the authors. Licensee MDPI, Basel, Switzerland. This article is an open access article distributed under the terms and conditions of the Creative Commons Attribution (CC BY) license (https://creativecommons.org/licenses/by/4.0/).