Cognitively Diagnostic Analysis Using the G-DINA Model in R
Abstract
:1. Introduction
2. The G-DINA Model
3. Overview of the CDM Analyses
4. An Illustration
4.1. Data and Q-Matrix Preparation
4.2. Empirical Q-Matrix Evaluation
>R res.modelcompK <- cdmTools::modelcompK(dat, exploreK = 1:5)
Estimating and validating Q-matrix with K = 1 2 3 4 5
k = 1 explored | AIC = 86,059 | BIC = 86,400
k = 2 explored | AIC = 85,859 | BIC = 86,212
k = 3 explored | AIC = 85,367 | BIC = 85,995
k = 4 explored | AIC = 85,381 | BIC = 86,212
k = 5 explored | AIC = 85,359 | BIC = 86,645
>R res.modelcompK$sug.K
AIC BIC CAIC SABIC M2
5 3 3 3 5
M2.p SRMSR RMSEA2 RMSEA2.low RMSEA2.high
5 5 5 5 5
sig.item.pairs
5
>R plot(res.modelcompK$fit$AIC, type = “b”)
>R plot(res.modelcompK$fit$BIC, type = “b”)
>R est <- GDINA::GDINA(dat, Q, model = “GDINA”, mono.constraint = TRUE,
>+ control = list(conv.crit = 0.000001))
>R print(qv)
Q-matrix validation based on Stepwise Wald test
Suggested Q-matrix:
A1 A2 A3
Item 1 1 1 0
Item 2 0 1 0
Item 3 1 0 1
Item 4 0 0 1
Item 5 0 0 1
Item 6 0 0 1
Item 7 1 0 1
Item 8 0 1 0
Item 9 1* 0 1
Item 10 1 0 0
Item 11 1 0 1
Item 12 1 0 1
Item 13 1 0 1*
Item 14 1 0 0
Item 15 0 0 1
Item 16 1 0 1
Item 17 0 1 1
Item 18 0 0 1
Item 19 0 0 1
Item 20 1 0 1
Item 21 1 0 1
Item 22 0 0 1
Item 23 0 1 0
Item 24 0 1 0
Item 25 1 0 0
Item 26 0 0 1
Item 27 1 0 0
Item 28 0 0 1
Note: * denotes a modified element.
4.3. CDM Calibration
>R tol <- 0.000001
>R GDINA.est <- GDINA::GDINA(dat, Q, model = "GDINA", mono.constraint = TRUE,
>+ control = list(conv.crit = tol))
>R delta.param <- extract(GDINA.est,"delta.parm")
>R mixing.proportions <- GDINA::extract(GDINA.est, what = "att.prior")
>R K <- ncol(Q)
>R att.pattern <- extract(GDINA.est,"attributepattern")
>R CDM.est <- CDM::gdina(dat, Q, skillclasses = att.pattern,
>+ delta.fixed = delta.param,
>+ attr.prob.fixed = mixing.proportions,
>+ reduced.skillspace = FALSE)
>R cdm.fit <- CDM::gdina(dat, Q, rule = “GDINA”, conv.crit = tol,
>+ dev.crit = tol,
>+ mono.constr = TRUE)
>R p <- list()
>R for(j in 1:ncol(dat)){
>+ p[[j]] <- unlist(subset(cdm.fit$probitem, itemno == j, select = prob))
>+ }
>R gdina.fit <- GDINA::GDINA(dat, Q, model = "GDINA", linkfunc = "logit",
>+ att.str = cdm.fit$attribute.patt.splitted,
>+ catprob.parm = p, att.prior = cdm.fit$attr.prob,
>+ control = list(maxitr = 0))
>R mc <- GDINA::modelcomp(GDINA.est) >R mc Item-level model selection: test statistic: Wald Decision rule: simpler model + largest p-value rule at 0.05 alpha level. Adjusted p-values were based on holm correction. models pvalues adj.pvalues Item 1 RRUM 0.4815 1 Item 2 GDINA Item 3 RRUM 0.7505 1 Item 4 GDINA Item 5 GDINA Item 6 GDINA Item 7 LLM 0.6565 1 Item 8 GDINA Item 9 GDINA Item 10 GDINA Item 11 ACDM 0.9209 1 Item 12 RRUM 0.4902 1 Item 13 GDINA Item 14 GDINA Item 15 GDINA Item 16 LLM 0.5678 1 Item 17 DINO 0.1332 1 Item 18 GDINA Item 19 GDINA Item 20 RRUM 0.3889 1 Item 21 LLM 0.9537 1 Item 22 GDINA Item 23 GDINA Item 24 GDINA Item 25 GDINA Item 26 GDINA Item 27 GDINA Item 28 GDINA
4.4. Model Fit Evaluation
4.4.1. Test-Level Fit Evaluation
>R mf <- CDM::IRT.modelfit(CDM.est)
>R mf$modelfit.test
type value p
1 max(X2) 39.5604293 1.202279e-07
2 abs(fcor) 0.1170423 4.831683e-08
>R mf$modelfit.stat
est
MADcor 0.02516064
SRMSR 0.03174674
100*MADRESIDCOV 0.45668011
MADQ3 0.02267701
MADaQ3 0.02236228
>R GDINA::modelfit(GDINA.est)
Test-level Model Fit Evaluation
Absolute fit statistics:
M2 = 506.2694 df = 325 p = 0
RMSEA2 = 0.0138 with 90% CI: [0.0114, 0.0161]
SRMSR = 0.0317
>R GDINA::itemfit(GDINA.est)
Summary of Item Fit Analysis
Call:
GDINA::itemfit(GDINA.obj = GDINA.est)
mean[stats] max[stats] max[z.stats] p-value adj.p-value Proportion correct 0.0009 0.0025 0.3152 0.7526 1 Transformed correlation 0.0255 0.1173 6.3375 0.0000 0 Log odds ratio 0.1341 0.5335 6.5190 0.0000 0 Note: p-value and adj.p-value are associated with max[z.stats]. adj.p-values are based on the holm method.
4.4.2. Item-Level and Item-Pair Level Fit Evaluation
>R sx2 <- CDM::itemfit.sx2(CDM.est)
>R summary(sx2)
item itemindex S-X2 df p S-X2_df RMSEA Nscgr Npars p.holm
1 Item 1 1 13.222 16 0.656 0.826 0.000 20 4 1.000
2 Item 2 2 22.492 18 0.211 1.250 0.009 20 2 1.000
3 Item 3 3 13.459 16 0.639 0.841 0.000 20 4 1.000
4 Item 4 4 20.444 18 0.308 1.136 0.007 20 2 1.000
5 Item 5 5 23.327 18 0.178 1.296 0.010 20 2 1.000
6 Item 6 6 16.232 18 0.576 0.902 0.000 20 2 1.000
7 Item 7 7 11.512 16 0.777 0.720 0.000 20 4 1.000
8 Item 8 8 10.404 18 0.918 0.578 0.000 20 2 1.000
9 Item 9 9 22.559 18 0.208 1.253 0.009 20 2 1.000
10 Item 10 10 39.520 18 0.002 2.196 0.020 20 2 0.065
11 Item 11 11 18.609 16 0.289 1.163 0.007 20 4 1.000
12 Item 12 12 20.022 16 0.219 1.251 0.009 20 4 1.000
13 Item 13 13 55.254 18 0.000 3.070 0.027 20 2 0.000
14 Item 14 14 18.053 18 0.452 1.003 0.001 20 2 1.000
15 Item 15 15 15.154 18 0.651 0.842 0.000 20 2 1.000
16 Item 16 16 32.079 16 0.010 2.005 0.019 20 4 0.254
17 Item 17 17 13.134 16 0.663 0.821 0.000 20 4 1.000
18 Item 18 18 17.355 18 0.499 0.964 0.000 20 2 1.000
19 Item 19 19 33.059 18 0.016 1.837 0.017 20 2 0.410
20 Item 20 20 14.929 16 0.530 0.933 0.000 20 4 1.000
21 Item 21 21 15.607 16 0.481 0.975 0.000 20 4 1.000
22 Item 22 22 27.171 18 0.076 1.509 0.013 20 2 1.000
23 Item 23 23 16.777 18 0.538 0.932 0.000 20 2 1.000
24 Item 24 24 18.182 18 0.444 1.010 0.002 20 2 1.000
25 Item 25 25 16.269 18 0.574 0.904 0.000 20 2 1.000
26 Item 26 26 25.935 18 0.101 1.441 0.012 20 2 1.000
27 Item 27 27 24.753 18 0.132 1.375 0.011 20 2 1.000
28 Item 28 28 13.008 18 0.791 0.723 0.000 20 2 1.000
--Average Item Fit Statistics--
S-X2 = 21.019 | S-X2_df = 1.206
4.5. Item Diagnosticity Investigation
>R GDINA::extract(GDINA.est, what = “discrim”)
P(1)-P(0) GDI
Item 1 0.2369939 0.011248186
Item 2 0.1693254 0.007113710
Item 3 0.3681559 0.025439442
Item 4 0.3598914 0.028732987
Item 5 0.2099038 0.009774136
Item 6 0.2243154 0.011162359
Item 7 0.4663292 0.037643097
Item 8 0.1529452 0.005803950
Item 9 0.2584621 0.014819434
Item 10 0.3776435 0.033710651
Item 11 0.4350662 0.031866830
Item 12 0.5924216 0.062055464
Item 13 0.2487938 0.014631276
Item 14 0.2802295 0.018562263
Item 15 0.2269881 0.011429941
Item 16 0.4319718 0.032239549
Item 17 0.1475092 0.004242115
Item 18 0.1938551 0.008336667
Item 19 0.3878091 0.033363663
Item 20 0.5640100 0.057509619
Item 21 0.3751756 0.024045446
Item 22 0.5030707 0.056143024
Item 23 0.2788246 0.019289193
Item 24 0.3625726 0.032616838
Item 25 0.2504526 0.014827037
Item 26 0.2420333 0.012995354
Item 27 0.4038545 0.038552543
Item 28 0.2717041 0.016376848
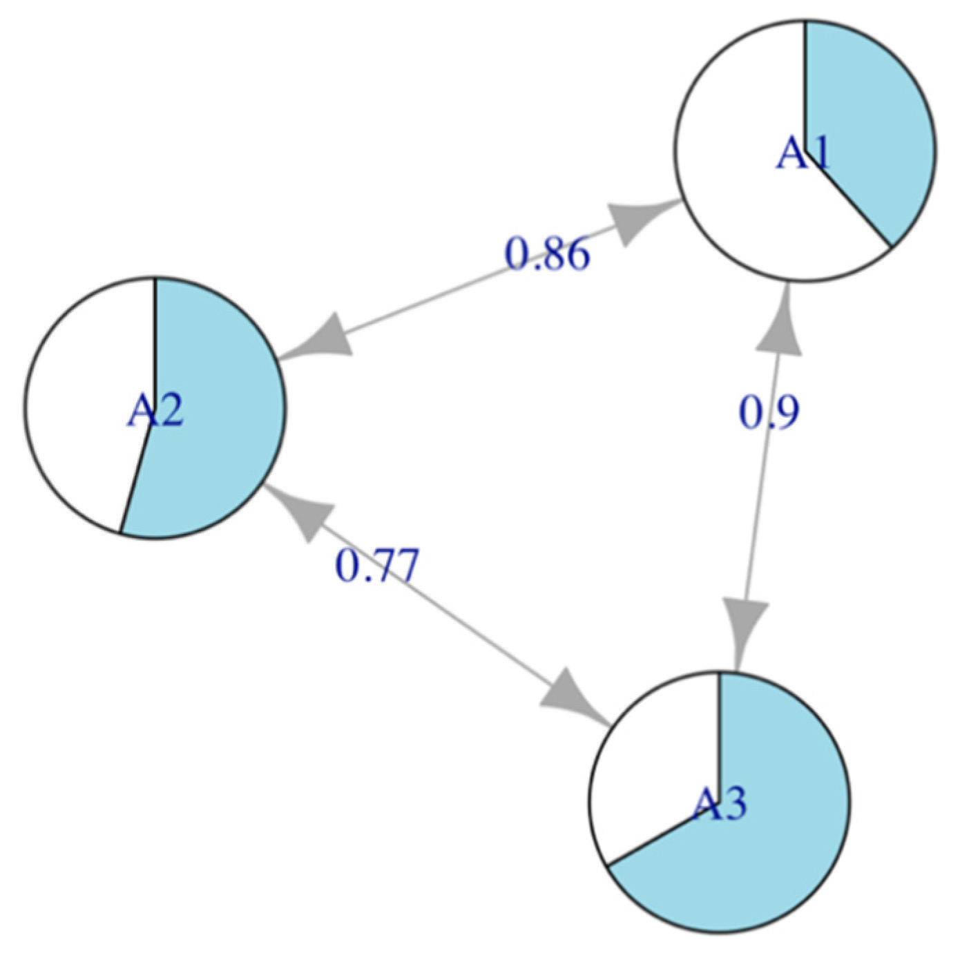
>R summary(CDM::discrim.index(CDM.est))
-----------------------------------------------------------------------------
CDM 7.5-15 (2020-03-10 14:19:21)
-----------------------------------------------------------------------------
Test-level discrimination index
[1] 0.304
-----------------------------------------------------------------------------
Item discrimination index (IDI)
Item1 Item2 Item3 Item4 Item5 Item6 Item7 Item8 Item9 Item10
0.237 0.169 0.368 0.360 0.210 0.224 0.466 0.153 0.258 0.378
Item11 Item12 Item13 Item14 Item15 Item16 Item17 Item18 Item19 Item20
0.435 0.592 0.249 0.280 0.227 0.432 0.148 0.194 0.388 0.564
Item21 Item22 Item 23 Item 24 Item 25 Item 26 Item 27 Item 28
0.375 0.503 0.279 0.363 0.250 0.242 0.404 0.272
-----------------------------------------------------------------------------
Item-attribute discrimination index
item A1 A2 A3
1 Item 1 0.127 0.237 0.000
2 Item 2 0.000 0.169 0.000
3 Item 3 0.282 0.000 0.183
4 Item 4 0.000 0.000 0.360
5 Item 5 0.000 0.000 0.210
6 Item 6 0.000 0.000 0.224
7 Item 7 0.466 0.000 0.226
8 Item 8 0.000 0.153 0.000
9 Item 9 0.000 0.000 0.258
10 Item 10 0.378 0.000 0.000
11 Item 11 0.210 0.000 0.240
12 Item 12 0.355 0.000 0.592
13 Item 13 0.249 0.000 0.000
14 Item 14 0.280 0.000 0.000
15 Item 15 0.000 0.000 0.227
16 Item 16 0.430 0.000 0.213
17 Item 17 0.000 0.098 0.081
18 Item 18 0.000 0.000 0.194
19 Item 19 0.000 0.000 0.388
20 Item 20 0.382 0.000 0.522
21 Item 21 0.231 0.000 0.244
22 Item 22 0.000 0.000 0.503
23 Item 23 0.000 0.279 0.000
24 Item 24 0.000 0.363 0.000
25 Item 25 0.250 0.000 0.000
26 Item 26 0.000 0.000 0.242
27 Item 27 0.404 0.000 0.000
28 Item 28 0.000 0.000 0.272
4.6. Classification Reliability
>R GDINA::CA(GDINA.est, what = “MAP”)
Classification Accuracy
Test level accuracy = 0.747
Pattern level accuracy:
000 100 010 001 110 101 011 111
0.8942 0.1385 0.0000 0.4486 0.1891 0.0882 0.5780 0.9091
Attribute level accuracy:
A1 A2 A3
0.8968 0.8538 0.9161
>R summary(CDM::cdm.est.class.accuracy(CDM.est))
Pa_est Pa_sim Pc_est Pc_sim
MLE_patt 0.594 0.621 0.409 0.437
MAP_patt 0.747 0.771 0.664 0.686
MLE_A1 0.859 0.886 0.760 0.798
MLE_A2 0.759 0.762 0.645 0.645
MLE_A3 0.893 0.911 0.811 0.838
MAP_A1 0.896 0.913 0.833 0.849
MAP_A2 0.854 0.860 0.807 0.817
MAP_A3 0.916 0.933 0.854 0.882
4.7. CDM Result Presentation
>R head(personparm(GDINA.est))
A1 A2 A3
[1,] 1 1 1
[2,] 1 1 1
[3,] 1 1 1
[4,] 1 1 1
[5,] 1 1 1
[6,] 1 1 1
>R head(personparm(GDINA.est, what = “mp”))
A1 A2 A3
[1,] 0.9967 0.9615 0.9999
[2,] 0.9952 0.9150 0.9999
[3,] 0.9841 0.9898 1.0000
[4,] 0.9976 0.9913 1.0000
[5,] 0.9884 0.9845 0.9512
[6,] 0.9929 0.9908 1.0000
R> GDINA::extract(GDINA.est, what = “prevalence”) $all Level0 Level1 A1 0.6167223 0.3832777 A2 0.4565763 0.5434237 A3 0.3321875 0.6678125
>R GDINA::extract(GDINA.est, what = “posterior.prob”)
000 100 010 001 110
[1,] 0.3007218 0.008738675 0.01194014 0.1289744 0.01078687
101 011 111
[1,] 0.01814145 0.1750859 0.3456107
5. Discussion
Author Contributions
Funding
Informed Consent Statement
Data Availability Statement
Conflicts of Interest
References
- Ma, W.; Minchen, N.; de la Torre, J. Choosing between CDM and unidimensional IRT: The proportional reasoning test case. Measurement 2020, 18, 87–96. [Google Scholar] [CrossRef]
- Bradshaw, L.; Izsák, A.; Templin, J.; Jacobson, E. Diagnosing teachers’ understandings of rational numbers: Building a multidimensional test within the diagnostic classification framework. Educ. Meas. 2014, 33, 2–14. [Google Scholar] [CrossRef]
- Wang, S.; Yang, Y.; Culpepper, S.A.; Douglas, J.A. Tracking skill acquisition with cognitive diagnosis models: A higher-order, hidden Markov model with covariates. J. Educ. Behav. Stat. 2018, 43, 57–87. [Google Scholar] [CrossRef] [Green Version]
- George, A.C.; Robitzsch, A. Validating theoretical assumptions about reading with cognitive diagnosis models. Int. J. Test. 2021, 21, 105–129. [Google Scholar] [CrossRef]
- Sorrel, M.A.; Olea, J.; Abad, F.J.; de la Torre, J.; Aguado, D.; Lievens, F. Validity and reliability of Situational Judgement Test scores: A new approach based on cognitive diagnosis models. Organ. Res. Methods 2016, 19, 506–532. [Google Scholar] [CrossRef] [Green Version]
- Templin, J.L.; Henson, R.A. Measurement of psychological disorders using cognitive diagnosis models. Psychol. Methods 2006, 11, 287–305. [Google Scholar] [CrossRef] [Green Version]
- De la Torre, J.; van der Ark, L.A.; Rossi, G. Analysis of clinical data from a cognitive diagnosis modeling framework. Meas. Eval. Couns. Dev. 2018, 51, 281–296. [Google Scholar] [CrossRef]
- Muthén, L.; Muthén, B. Mplus. Version 8; Muthén & Muthén: Los Angeles, CA, USA, 1998–2017. [Google Scholar]
- Templin, J.; Hoffman, L. Obtaining diagnostic classification model estimates using Mplus. Educ. Meas. 2013, 32, 37–50. [Google Scholar] [CrossRef]
- Plummer, M. JAGS: A program for analysis of Bayesian graphical models using Gibbs sampling. In Proceedings of the 3rd International Workshop on Distributed Statistical Computing, Vienna, Austria, 20–22 March 2003; p. 124. [Google Scholar]
- Zhan, P.; Jiao, H.; Man, K.; Wang, L. Using JAGS for Bayesian cognitive diagnosis modeling: A tutorial. J. Educ. Behav. Stat. 2019, 44, 473–503. [Google Scholar] [CrossRef] [Green Version]
- Carpenter, B.; Gelman, A.; Hoffman, M.D.; Lee, D.; Goodrich, B.; Betancourt, M.; Brubaker, M.A.; Guo, J.; Li, P.; Riddell, A. Stan: A probabilistic programming language. J. Stat. Soft. 2017, 76, 1–32. [Google Scholar] [CrossRef] [Green Version]
- Jiang, Z.; Carter, R. Using Hamiltonian Monte Carlo to estimate the log-linear cognitive diagnosis model via Stan. Behav. Res. Methods 2019, 51, 651–662. [Google Scholar] [CrossRef] [PubMed] [Green Version]
- George, A.C.; Robitzsch, A.; Kiefer, T.; Groß, J.; Ünlü, A. The R package CDM for cognitive diagnosis models. J. Stat. Soft. 2016, 74, 1–24. [Google Scholar] [CrossRef] [Green Version]
- Ma, W.; de la Torre, J. GDINA: An R package for cognitive diagnosis modeling. J. Stat. Soft. 2020, 93, 1–26. [Google Scholar] [CrossRef]
- De la Torre, J. The generalized DINA model framework. Psychometrika 2011, 76, 179–199. [Google Scholar] [CrossRef]
- Nichols, P.D.; Chipman, S.F.; Brennan, R.L. (Eds.) Cognitively Diagnostic Assessment; Erlbaum: Hills-dale, NJ, USA, 1995. [Google Scholar]
- Tjoe, H.; de la Torre, J. The identification and validation process of proportional reasoning attributes: An application of a cognitive diagnosis modeling framework. Math. Ed. Res. J. 2014, 26, 237–255. [Google Scholar] [CrossRef]
- Von Davier, M. A general diagnostic model applied to language testing data. Br. J. Math. Stat. Psychol. 2008, 61, 287–307. [Google Scholar] [CrossRef] [PubMed]
- Haertel, E.H. Using restricted latent class models to map the skill structure of achievement items. J. Educ. Meas. 1989, 26, 301–321. [Google Scholar] [CrossRef]
- Junker, B.W.; Sijtsma, K. Cognitive assessment models with few assumptions, and connections with nonparametric Item Response Theory. Appl. Psychol. Meas. 2001, 25, 258–272. [Google Scholar] [CrossRef] [Green Version]
- De la Torre, J.; Douglas, J.A. Higher-order latent trait models for cognitive diagnosis. Psychometrika 2004, 69, 333–353. [Google Scholar] [CrossRef]
- Maris, E. Estimating multiple classification latent class models. Psychometrika 1999, 64, 187–212. [Google Scholar] [CrossRef]
- Hartz, S.M. A Bayesian Framework for the Unified Model for Assessing Cognitive Abilities: Blending Theory with Practicality. Diss. Abstr. Int. B Sci. Eng. 2002, 63, 864. [Google Scholar]
- Leighton, J.P.; Gierl, M.J. Cognitive Diagnostic Assessment for Education: Theory and Applications; Cambridge University Press: Cambridge, UK, 2007. [Google Scholar]
- Henson, R.A.; Templin, J.L.; Willse, J.T. Defining a family of cognitive diagnosis models using log-linear models with latent variables. Psychometrika 2009, 74, 191–210. [Google Scholar] [CrossRef]
- Nájera, P.; Abad, F.J.; Sorrel, M.A. Determining the number of attributes in cognitive diagnosis modeling. Front. Psychol. 2021, 12, 321. [Google Scholar] [CrossRef]
- De la Torre, J.; Chiu, C.-Y. A general method of empirical Q-matrix validation. Psychometrika 2016, 81, 253–273. [Google Scholar] [CrossRef] [PubMed]
- Ma, W.; de la Torre, J. An empirical Q-matrix validation method for the sequential generalized DINA model. Br. J. Math. Stat. Psychol. 2020, 73, 142–163. [Google Scholar] [CrossRef] [PubMed]
- Nájera, P.; Sorrel, M.A.; Abad, F.J. Reconsidering cutoff points in the general method of empirical Q-Matrix validation. Educ. Psychol. Meas. 2019, 79, 727–753. [Google Scholar] [CrossRef]
- Nájera, P.; Sorrel, M.A.; de la Torre, J.; Abad, F.J. Improving robustness in Q-Matrix validation using an iterative and dynamic procedure. Appl. Psychol. Meas. 2020, 44, 431–446. [Google Scholar] [CrossRef]
- De la Torre, J.; Minchen, N.D. The G-DINA model framework. In Handbook of Diagnostic Classification Models; von Davier, M., Lee, Y.-S., Eds.; Springer International Publishing: Cham, Switzerland, 2019; pp. 155–169. [Google Scholar]
- De la Torre, J.; Lee, Y.-S. Evaluating the Wald Test for item-level comparison of saturated and reduced models in cognitive diagnosis. J. Educ. Meas. 2013, 50, 355–373. [Google Scholar] [CrossRef]
- Ma, W.; Iaconangelo, C.; de la Torre, J. Model similarity, model selection, and attribute classification. Appl. Psychol. Meas. 2016, 40, 200–217. [Google Scholar] [CrossRef]
- Sorrel, M.A.; de la Torre, J.; Abad, F.J.; Olea, J. Two-step likelihood ratio test for item-level model comparison in cognitive diagnosis models. Methodology 2017, 13, 39–47. [Google Scholar] [CrossRef] [Green Version]
- Robitzsch, A.; George, A.C. The R package CDM for diagnostic modeling. In Handbook of Diagnostic Classification Models; von Davier, M., Lee, Y.-S., Eds.; Springer International Publishing: Cham, Switzerland, 2019; pp. 549–572. [Google Scholar]
- Robitzsch, A. Regularized latent class analysis for polytomous item responses: An application to SPM-LS data. J. Intell. 2020, 8, 30. [Google Scholar] [CrossRef]
- Ma, W.; Jiang, Z. Estimating cognitive diagnosis models in small samples: Bayes modal estimation and monotonic constraints. Appl. Psychol. Meas. 2021, 45, 95–111. [Google Scholar] [CrossRef]
- Maydeu-Olivares, A.; Joe, H. Assessing approximate fit in categorical data analysis. Multivariate Behav. Res. 2014, 49, 305–328. [Google Scholar] [CrossRef] [PubMed]
- Liu, Y.; Tian, W.; Xin, T. An application of M2 statistic to evaluate the fit of cognitive diagnostic models. J. Educ. Behav. Stat. 2016, 41, 3–26. [Google Scholar] [CrossRef]
- Sorrel, M.A.; Abad, F.J.; Olea, J.; de la Torre, J.; Barrada, J.R. Inferential item-fit evaluation in cognitive diagnosis modeling. Appl. Psychol. Meas. 2017, 41, 614–631. [Google Scholar] [CrossRef] [Green Version]
- Ma, W. Cognitive diagnosis modeling using the GDINA R package. In Handbook of Diagnostic Classification Models; von Davier, M., Lee, Y.-S., Eds.; Springer International Publishing: Cham, Switzerland, 2019; pp. 593–601. [Google Scholar]
- Balamuta, J.J.; Culpepper, S.A.; Douglas, J.A. edmdata: Data Sets for Psychometric Modeling; R Package Version 1.2.0; 2021. Available online: https://CRAN.R-project.org/package=edmdata (accessed on 9 September 2021).
- Nájera, P.; Sorrel, M.A.; Abad, F.J. cdmTools: Useful Tools for Cognitive Diagnosis Modeling; R Package Version 1.0.0. 2021. Available online: https://CRAN.R-project.org/package=cdmTools (accessed on 14 September 2021).
- Garrido, L.E.; Abad, F.J.; Ponsoda, V. A new look at Horn’s parallel analysis with ordinal variables. Psychol. Methods 2013, 18, 454–474. [Google Scholar] [CrossRef] [PubMed] [Green Version]
- Wang, W.; Song, L.; Ding, S. An exploratory discrete factor loading method for Q-Matrix specification in cognitive diagnostic models. In Springer Proceedings in Mathematics & Statistics, Quantitative Psychology, IMPS, 2017; Wiberg, M., Culpepper, S., Janssen, R., González, J., Molenaar, D., Eds.; Springer: Cham, Switzerland, 2018; Volume 233. [Google Scholar] [CrossRef]
- Nájera, P.; Sorrel, M.A.; de la Torre, J.; Abad, F.J. Balancing fit and parsimony to improve Q-matrix validation. Br. J. Math. Stat. Psychol. 2021, 74, 110–130. [Google Scholar] [CrossRef]
- De la Torre, J. An empirically based method of Q-matrix validation for the DINA model: Development and applications. J. Educ. Meas. 2008, 45, 343–362. [Google Scholar] [CrossRef]
- Zheng, Y.; Chiu, C.-Y. NPCD: Nonparametric Methods for Cognitive Diagnosis; R Package Version 1.0-11. 2019. Available online: https://CRAN.R-project.org/package=NPCD (accessed on 9 September 2021).
- Chiu, C.-Y. Statistical refinement of the Q-matrix in cognitive diagnosis. Appl. Psychol. Meas. 2013, 37, 598–618. [Google Scholar] [CrossRef] [Green Version]
- De la Torre, J.; Ma, W. Cognitive diagnosis modeling: A general framework approach and its implementation in R. In Proceedings of the Fourth Conference on Statistical Methods in Psychometrics, Columbia University, New York, NY, USA, 30 August 2016. [Google Scholar]
- Liu, J.; Xu, G.; Ying, Z. Data-driven learning of Q-matrix. Appl. Psychol. Meas. 2012, 36, 548–564. [Google Scholar] [CrossRef] [Green Version]
- Chen, Y.; Liu, J.; Xu, G.; Ying, Z. Statistical analysis of Q-matrix based diagnostic classification models. J. Am. Stat. Assoc. 2015, 110, 850–866. [Google Scholar] [CrossRef] [PubMed] [Green Version]
- Chen, Y.; Culpepper, S.A.; Chen, Y.; Douglas, J. Bayesian estimation of the DINA Q. Psychometrika 2018, 83, 89–108. [Google Scholar] [CrossRef]
- Xu, G.; Shang, Z. Identifying latent structures in restricted latent class models. J. Am. Stat. Assoc. 2018, 113, 1284–1295. [Google Scholar] [CrossRef]
- Xu, X.; von Davier, M. Fitting the Structured General Diagnostic Model to NAEP Data (RR-08–27); ETS Research Report Series; ETS: Princeton, NJ, USA, 2008. [Google Scholar]
- Zhang, C.-H. Nearly unbiased variable selection under minimax concave penalty. Ann. Stat. 2010, 38, 894–942. [Google Scholar] [CrossRef] [Green Version]
- Maydeu-Olivares, A.; Joe, H. Limited information goodness-of-fit testing in multidimensional contingency tables. Psychometrika 2006, 71, 713–732. [Google Scholar] [CrossRef]
- Hansen, M.; Cai, L.; Monroe, S.; Li, Z. Limited-information goodness-of-fit testing of diagnostic classification item response models. Br. J. Math. Stat. Psychol. 2016, 69, 225–252. [Google Scholar] [CrossRef] [PubMed]
- Hu, J.; Miller, M.D.; Huggins-Manley, A.C.; Chen, Y.-H. Evaluation of model fit in cognitive diagnosis models. Int. J. Test. 2016, 16, 119–141. [Google Scholar] [CrossRef]
- Maydeu-Olivares, A. Goodness-of-fit assessment of item response theory models. Measurement 2013, 11, 71–137. [Google Scholar] [CrossRef]
- Ma, W. Evaluating the fit of sequential G-DINA model using limited-information measures. Appl. Psychol. Meas. 2020, 44, 167–181. [Google Scholar] [CrossRef]
- Liu, R.; Huggins-Manley, A.C.; Bulut, O. Retrofitting diagnostic classification models to responses from IRT-based assessment forms. Educ. Psychol. Meas. 2018, 78, 357–383. [Google Scholar] [CrossRef]
- Chen, J.; de la Torre, J.; Zhang, Z. Relative and absolute fit evaluation in cognitive diagnosis modeling. J. Educ. Meas. 2013, 50, 123–140. [Google Scholar] [CrossRef]
- DiBello, L.V.; Roussos, L.A.; Stout, W.F. Review of cognitively diagnostic assessment and a summary of psychometric models. In Handbook of Statistics; Rao, C.R., Sinharay, S., Eds.; Elsevier: Amsterdam, The Netherlands, 2007; pp. 979–1030. [Google Scholar]
- McDonald, R.P.; Mok, M.M.-C. Goodness of fit in item response models. Multivariate Behav. Res. 1995, 30, 23–40. [Google Scholar] [CrossRef] [PubMed]
- Chen, W.; Thissen, D. Local dependence indexes for item pairs using item response theory. J. Educ. Behav. Stat. 1997, 22, 265–289. [Google Scholar] [CrossRef]
- Xue, Z.; Juntao, W. On the sequential hierarchical cognitive diagnostic model. Front. Psychol. 2020, 11, 2562. [Google Scholar]
- Akaike, H. A new look at the statistical identification model. IEEE Trans. Automat. Contr. 1974, 19, 716–723. [Google Scholar] [CrossRef]
- Schwarz, G. Estimating the dimension of a model. Ann. Stat. 1978, 6, 461–464. [Google Scholar] [CrossRef]
- Orlando, M.; Thissen, D. Likelihood-based item-fit indices for dichotomous item response theory models. Appl. Psychol. Meas. 2000, 24, 50–64. [Google Scholar] [CrossRef]
- Kunina-Habenicht, O.; Rupp, A.A.; Wilhelm, O. A practical illustration of multidimensional diagnostic skills profiling: Comparing results from confirmatory factor analysis and diagnostic classification models. Stud. Educ. Eval. 2009, 35, 64–70. [Google Scholar] [CrossRef]
- Oliveri, M.E.; von Davier, M. Investigation of model fit and score scale comparability in international assessments. Psychol. Test Assess. Model. 2011, 53, 315–333. [Google Scholar]
- Yamamoto, K.; Khorramdel, L.; von Davier, M. Scaling PIAAC cognitive data. In Technical Report of the Survey of Adults Skills (PIAAC); Organisation for Economic Co-operation and Development(OECD), Ed.; OECD: Paris, France, 2013. [Google Scholar]
- Kaplan, M.; de la Torre, J.; Barrada, J.R. New item selection methods for cognitive diagnosis computerized adaptive testing. Appl. Psychol. Meas. 2015, 39, 167–188. [Google Scholar] [CrossRef]
- Henson, R.; DiBello, L.; Stout, B. A generalized approach to defining item discrimination for DCMs. Measurement 2018, 16, 18–29. [Google Scholar] [CrossRef]
- Cui, Y.; Gierl, M.J.; Chang, H.-H. Estimating classification consistency and accuracy for cognitive diagnostic assessment. J. Educ. Meas. 2012, 49, 19–38. [Google Scholar] [CrossRef]
- Johnson, M.S.; Sinharay, S. Measures of agreement to assess attribute-level classification accuracy and consistency for cognitive diagnostic assessments. J. Educ. Meas. 2018, 45, 635–664. [Google Scholar] [CrossRef]
- Chen, Y.; Liu, Y.; Xu, S. Mutual information reliability for latent class analysis. Appl. Psychol. Meas. 2018, 42, 460–477. [Google Scholar] [CrossRef] [PubMed]
- Iaconangelo, C. Uses of Classification Error Probabilities in the Three-Step Approach to Estimating Cognitive Diagnosis Models. Doctoral Dissertation, Rutgers University, New Brunswick, NJ, USA, 2017, unpublished. [Google Scholar] [CrossRef]
- Wang, W.; Song, L.; Chen, P.; Meng, Y.; Ding, S. Attribute-level and pattern-level classification consistency and accuracy indices for cognitive diagnostic assessment. J. Educ. Meas. 2015, 52, 457–476. [Google Scholar] [CrossRef]
- Sinharay, S.; Johnson, M.S. Measures of agreement: Reliability, classification accuracy, and classification consistency. In Handbook of Diagnostic Classification Models; von Davier, M., Lee, Y.-S., Eds.; Springer International Publishing: Cham, Switzerland, 2019; pp. 359–377. [Google Scholar] [CrossRef]
- Huebner, A.; Wang, C. A note on comparing examinee classification methods for cognitive diagnosis models. Educ. Psychol. Meas. 2011, 71, 407–419. [Google Scholar] [CrossRef]
- Nakazawa, M. fmsb: Functions for Medical Statistics Book with Some Demographic Data; R Package Version 0.7.1. 2021. Available online: https://CRAN.R-project.org/package=fmsb (accessed on 14 September 2021).
- Chiu, C.-Y.; Ma, W. ACTCD: Asymptotic Classification Theory for Cognitive Diagnosis; R Package Version 1.2-0. 2018. Available online: https://CRAN.R-project.org/package=ACTCD (accessed on 9 September 2021).










| Item | A1 | A2 | A3 |
|---|---|---|---|
| 1 | 1 | 1 | 0 |
| 2 | 0 | 1 | 0 |
| 3 | 1 | 0 | 1 |
| 4 | 0 | 0 | 1 |
| 5 | 0 | 0 | 1 |
| 6 | 0 | 0 | 1 |
| 7 | 1 | 0 | 1 |
| 8 | 0 | 1 | 0 |
| 9 | 0 | 0 | 1 |
| 10 | 1 | 0 | 0 |
| 11 | 1 | 0 | 1 |
| 12 | 1 | 0 | 1 |
| 13 | 1 | 0 | 0 |
| 14 | 1 | 0 | 0 |
| 15 | 0 | 0 | 1 |
| 16 | 1 | 0 | 1 |
| 17 | 0 | 1 | 1 |
| 18 | 0 | 0 | 1 |
| 19 | 0 | 0 | 1 |
| 20 | 1 | 0 | 1 |
| 21 | 1 | 0 | 1 |
| 22 | 0 | 0 | 1 |
| 23 | 0 | 1 | 0 |
| 24 | 0 | 1 | 0 |
| 25 | 1 | 0 | 0 |
| 26 | 0 | 0 | 1 |
| 27 | 1 | 0 | 0 |
| 28 | 0 | 0 | 1 |
| CDM | GDINA | ||||
|---|---|---|---|---|---|
| Function | Statistics | Function | Statistics | ||
| Absolute fit | Test-level | IRT.modelfit() | max(X2) MADcor SRMSR MADRESIDCOV abs(fcor) | modelfit() itemfit() | M2 RMSEA2 SRMSR MaxAD.r MaxAD.LOR |
| Item-level | IRT.RMSD() itemfit.sx2() | RMSD RMSD_bc MAD MD RMSEA | itemfit() | MaxAD.r MaxAD.LOR | |
| Item-pair level | IRT.modelfit() | fcor | itemfit() | MaxAD.r MaxAD.LOR | |
| Relative fit | Test-level | IRT.modelfit() anova() | AIC BIC CAIC AIC3 AICc LR test | modelfit() anova() | AIC BIC CAIC SABIC LR test |
| Item-level | gdina.wald() | Wald test | modelcomp() | Wald test LR test | |
Publisher’s Note: MDPI stays neutral with regard to jurisdictional claims in published maps and institutional affiliations. |
© 2021 by the authors. Licensee MDPI, Basel, Switzerland. This article is an open access article distributed under the terms and conditions of the Creative Commons Attribution (CC BY) license (https://creativecommons.org/licenses/by/4.0/).
Share and Cite
Shi, Q.; Ma, W.; Robitzsch, A.; Sorrel, M.A.; Man, K. Cognitively Diagnostic Analysis Using the G-DINA Model in R. Psych 2021, 3, 812-835. https://doi.org/10.3390/psych3040052
Shi Q, Ma W, Robitzsch A, Sorrel MA, Man K. Cognitively Diagnostic Analysis Using the G-DINA Model in R. Psych. 2021; 3(4):812-835. https://doi.org/10.3390/psych3040052
Chicago/Turabian StyleShi, Qingzhou, Wenchao Ma, Alexander Robitzsch, Miguel A. Sorrel, and Kaiwen Man. 2021. "Cognitively Diagnostic Analysis Using the G-DINA Model in R" Psych 3, no. 4: 812-835. https://doi.org/10.3390/psych3040052
APA StyleShi, Q., Ma, W., Robitzsch, A., Sorrel, M. A., & Man, K. (2021). Cognitively Diagnostic Analysis Using the G-DINA Model in R. Psych, 3(4), 812-835. https://doi.org/10.3390/psych3040052

