Abstract
Increasing awareness of protecting the environment from chemically aided naive ecosystem degradation has encouraged the use of eco-friendly (biomass) materials in industrial production globally. This study investigated the application of a natural wine-colored extract from Brazilian plume (BP) leaf, obtained through a microwave-assisted modern aqueous extraction technique, for toxic-free dyeing of mordant-functionalized cotton fabric. Dyeing of mordanted cotton fabric was optimized by varying dyeing parameters, such as dyeing contact time (10 to 90 min), pH (1 to 11), liquor ratio (1:5 to 1:30), and temperature (30 to 90 °C). UV-visible and Fourier transform infrared spectroscopic analyses confirmed that the chemical constituents of the extract were not altered by microwave radiation. The desired color strength () and dye-uptake (Q) were obtained at a dyeing time of 50 min, a pH of 7, a liquor ratio of 1:20, and a dyeing temperature of 60 °C. Varieties of elegant shades with desired colorfastness were developed through the involvement of less-toxic electrolyte and herbal mordants as functionalizing agents. BP extract is established as a potential sustainable and ecological colorant for textile industrial application.
1. Introduction
Natural colorants have long been used for several purposes, ranging from coloring human body parts (like hair and finger nails) to coloring caves, leathers, pharmaceuticals, animal furs, feathers, and textiles, particularly before the age of civilization [1]. Rapid exploration in synthetic chemistry to support the massive increase in the human population and industrialization led to discovery of synthetic colorants [2]. The relatively low cost, shade uniformity, good affinity, and colorfastness of synthetic dyes for substrates pushed natural colorants out of the limelight [3]. However, irrational exploitation and awareness of harmful impacts, coupled with numerous concerns for health and the global environment and stringent environmental laws against synthetic dyes, have recently rejuvenated interest in the extraction and utilization of natural dyes [4,5]. Some of the many attributes of natural dyes that have promoted their restoration are their eco-friendliness, abundance, renewability, lower toxicity, and biodegradable nature. Other attributes include them being harmonizing and soothing to the human eye, and having an attractive odor. Some of their constituents are anti-allergens, which are safe for skin contact, and are mostly non-hazardous to human health [6]. Therefore, these factors, among others, have prompted recent serious campaigning for the replacement of synthetic dyes with their natural counterparts in all aspects of human endeavors, to keep the environment safe [7]. Natural dyes are colorants derived from different parts of plants, as well as from minerals and certain animal species. Plant-based colorants are the most favored, due to the abundant nature of plants at almost no cost, and the provision of hues with a good range of colors [8].
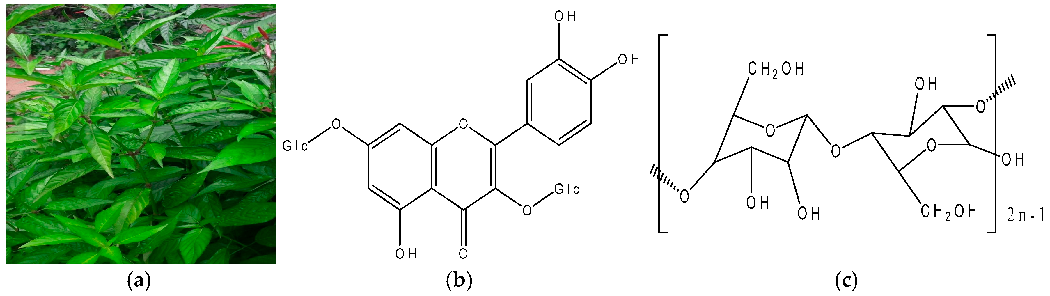
Brazilian plume (BP) (Figure 1a) belongs to acanthaceae family. It is a perennial tropical shrub, whose botanical name was derived from its Scottish founder, “James Justice”. There exist about six hundred Justicia species, used in traditional medicine for the management of inflammation, gastrointestinal disorders, and respiratory disorders [9].
Figure 1.
(a) Brazilian plume plant, (b) flavonoid, and (c) cotton fabric’s chemical structure.
The biomedical properties of these plant species, which are associated with their bioactive constituents, mainly flavonoids (Figure 1b), are antimicrobial, antioxidant, hypocholesterol, and anti-cancer properties [9,10]. In Nigeria, BP is often used as an ornamental and medicinal plant. It is used in traditional medicine as a blood booster, where its Nigerian local names “ewe eje” (Yoruba) and “ogwu obara” (Igbo) were derived from.
Up to the present moment, natural dyes have been obtained from their sources through extraction processes [11]. The conventional extraction technique is obsolete due to its inefficient extraction, requirement of intensive labor, and high cost. On the contrary, modern techniques, like gamma, sonication, supercritical fluid, and the microwave-assisted technique, circumvent these defects. The microwave-assisted technique is preferred to other advanced extraction techniques, because the cost is low, it requires small space, exhibits greater heating efficiency, and gives a high extraction yield within a limited period of time [12,13].
Cotton is a natural fiber obtained from cotton lint; it has been in use for many years in the production of a wide range of textiles (clothing, home textiles, industrial applications, etc.), due to its comfortability (softness, versatility, breathability, and absorbency), durability, and natural appearance [14].
The above-listed properties of cotton fibers have been reported by several researchers to be enhanced for consumers’ acceptability via dyeing or painting [13,14,15]. According to textile researchers, hydroxyl (Figure 1c) is the functional group that promotes natural coloring of cellulosic textiles [16,17].
The inherent poor colorfastness of naturally dyed cotton fibers is often enhanced to become very good/excellent through the exploitation of mordant in the coloring process. Metal mordants, such as salts of Sn, Cu, Mn, Cr, etc., which are often used for this purpose, have been associated with health issues. Recently, the use of less-toxic chemical mordants (like salts of Al, Fe, Mg, and Ca) [12,17] and bio-mordants has been encouraged in lieu of hazardous metal salts, in order to salvage the ecosystem from sudden degradation [18].
The present study is aimed at dyeing mordant-functionalized cotton fabric with a novel colored extract from BP leaf. The following listed objectives (a to d) assist in achieving this aim:
- Evaluate the physicochemical properties of microwave-assisted and conventional BP extract;
- Characterize the MW-treated BP extract, untreated BP extract, undyed (white) cotton fabrics, and BP-dyed cotton fabrics, using reflectance (Datacolor), UV-visible, and Fourier transform infrared spectrometric analyses;
- Determine the effects of dyeing parameters on color strength, and dye-update of BP-dyed cotton fabrics;
- Assess the effect of mordanting on shade, color coordinates, and colorfastness properties of the unmordanted and mordanted BP-dyed cotton fabrics.
2. Materials and Methods
2.1. Materials
Leaves obtained from about six-months-old BP plants at Elesare, Akure, Ondo State, Nigeria, were identified for this study by the Department of Crop, Soil, and Pest Management, Federal University of Technology, Akure. The pre-treated plain woven cotton fabric (warp/weft: 30 × 30 counts [60 g/m2]) was obtained from Oja-Oba in Akure, Ondo State, Nigeria. Iron II sulfate (CuSO4), calcium bicarbonate (Ca(HCO3)2), and the other chemical reagents used were obtained from Pascal Chemicals, Akure, Nigeria. The bio-mordants, like cashew (Anacardium occidentale) bark and coconut (Cocos nucifera) husk, were acquired from Akure environs, Ondo State, Nigeria.
2.2. Methods
2.2.1. Dye Extraction from Brazilian Plume Leaves
The leaves were thoroughly washed with water to clean off dust and other associated dirt, and oven-dried, to a constant weight, at 55 °C for 3 days. The oven-dried leaves were ground to a powder of a mesh size between 100 and 150 µm. The natural dye was obtained from the oven-dried BP leaf powder using conventional and microwave-assisted aqueous extraction techniques, as described in an earlier study [19]. Herbal mordants were extracted using the microwave-assisted technique, just like that used for the BP extract.
2.2.2. Cotton Fabric Dyeing and Mordanting
White cotton fabric (2 g) was introduced into the dyeing cup containing BP extract in a Roeches dyeing machine, for dyeing at specified dyeing parameters. The optimal color strength () and dye-uptake (Q) of the dyed cotton fabric were obtained via variation in the dyeing parameters, such as pH (1–11), liquor ratio (1:5–1:30), temperature (30–90 °C), and time (10–90 min).
BP-colored fabric with the optimal color strength and dye-uptake was pre- and post-mordanted with chemical (FeSO4 and Ca(HCO3)2) and natural (extract of cashew bark and coconut husk) mordants to obtain the desired shade and colorfastness, through variations in mordant concentration from 1 to 5 g/L.
2.2.3. Characterization of BP Extract and BP-Dyed Cotton Fabric
The dye extract was characterized using a UV-visible spectrophotometer (75 N ThermoFisher, Carlsbad, CA, USA), a reflectance spectrophotometer (Datacolor 600SF), and a Fourier transform infrared spectrophotometer (Pekin Elmer FTIR). The physicochemical properties of the extract, such as pH and melting point, were determined using a pH meter and a melting point machine, while other properties, like yield and moisture content, were determined using a gravimetric technique.
The chemical functional groups in the undyed cotton fabric were compared with those of BP-dyed cotton fabric using a Fourier transform infrared spectrophotometer, to ascertain the adsorption of BP dye molecules onto the cotton matrix.
2.2.4. Quality Determination of the BP-Dyed and Mordanted Cotton Fabrics
The quality of the dyed and mordanted cotton fabric was evaluated using standard methods, such as colorfastness to washing (ISO 105-12:2016), rubbing (ISO 105-E04:2013), and light (ISO 105-B02:2013).
3. Results and Discussion
3.1. Characterization of Brazilian Plume Extract (BP) and BP-Dyed Cotton Fabric
3.1.1. Properties of Brazilian Plume Extract
Table 1 compares the yield, color, melting point, pH, and color strength () of MW-assisted and conventional BP extract. The higher dye yield and color strength of MW-treated BP when compared with that of untreated extract specify the MW technique as a ground-breaking modern extraction method for dye containing biomass [19].
Table 1.
Properties of microwave (MW)-treated and untreated Brazilian plume leaf extracts.
According to Adeel et al. [12], the high heating effect of MW radiation, which leads to quick perforation of the plant cell wall, might be responsible for the higher extraction yield within limited period of time. The high yield of colorant from the MW-assisted modern extraction technique testifies to the possibility of scaling up the BP extract for industrial coloring applications.
The same color, pH, and melting point displayed by both the MW-treated and untreated BP extract are suggestive of the radiation from MW not having any modification effect on the chemical constituents of the extract. These observations are in agreement with previous studies on the MW-assisted natural dye extraction technique [13,16,20,21].
Overall, the MW-irradiated BP extract (IBP) with higher yield and color strength was chosen for the cotton fabric dyeing and mordanting process.
3.1.2. Spectrometry Characterization of BP Extract and BP-Dyed Cotton Fabric
The wavelength of maximum absorption spectrum (Figure 2) of the untreated BP extract (NBP), which is equal to that of the MW-treated extract (IBP), as presented in Table 1, confirms that MW rays did not alter the chemical constituents of the BP dye extract. This observation agrees with reported findings for the MW-assisted natural dye extraction technique [12,13].
Figure 2.
Absorption spectra of (a) conventionally extracted and (b) MW-assisted BP extract.
The Fourier transform infrared (FTIR) vibration peak of undyed (white) cotton fabric at 3388 cm−1 is an indicator of the presence of the –OH functional group in cotton fabric. This functional group is further confirmed by another vibration peak at 1058 cm−1 (Figure 3a) [22]. The similarity in the stretching vibration of the BP extracts obtained through the conventional (Figure 3b) and modern (Figure 3c) extraction techniques further confirms that MW rays did not alter the chemical constituents of the extract, as earlier reported for the UV-visible spectrophotometry analysis and the determination of physicochemical properties. This observation is in agreement with earlier reports on MW-aided modern extraction of natural dyes by Adeel et al. [13], Pinzon et al. [15], and Gala et al. [21]. The broad peak at 3386–3384 cm−1 suggests the presence of the –OH functional group of polypenolics, flavonoids, and/or isoprenoids; this functional group is confirmed by another valley of C–O at wavenumber 1052–1048 cm−1 [23]. The slight vibration peaks between wavenumber 1224 and 1221 cm−1 suggest the possibility of the extract containing a little moisture [24]. The vibration peak at 1728 cm−1 testifies to the presence of the carbonyl functional group (C=O) of the polyphenolic compounds, while the sharp vibration peak at 1654 cm−1 is indicative of the availability of the C=C conjugates in the chemical structures of the bioactive compounds making up the BP extract [25]. The appearance of the functional groups –OH, C–O, and C=O at wavenumbers 3388, 1708, and 1060 cm−1, respectively, in the FTIR spectrum of BP-dyed cotton fabric (Figure 3d) substantiate that BP dye molecules were adsorbed onto the cotton matrix. These observations are in line with similar works on the natural dyeing of cotton fabric in the literature [23,24].
Figure 3.
FTIR spectra of (a) undyed (white) cotton fabric, (b) conventionally extracted BP, (c) MW-assisted BP extract, and (d) BP-dyed cotton fabric.
3.2. Coloring Cotton Fabric
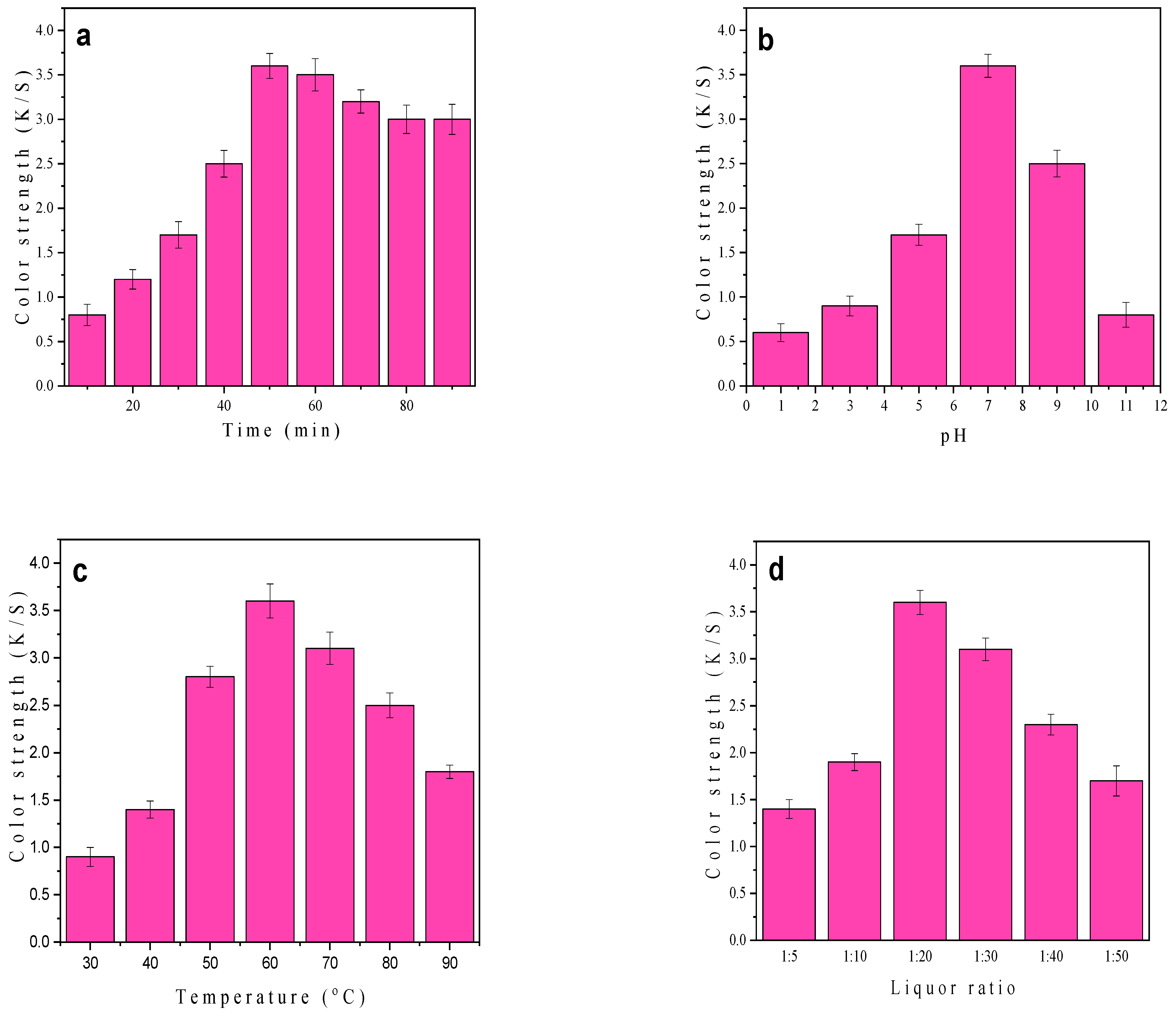
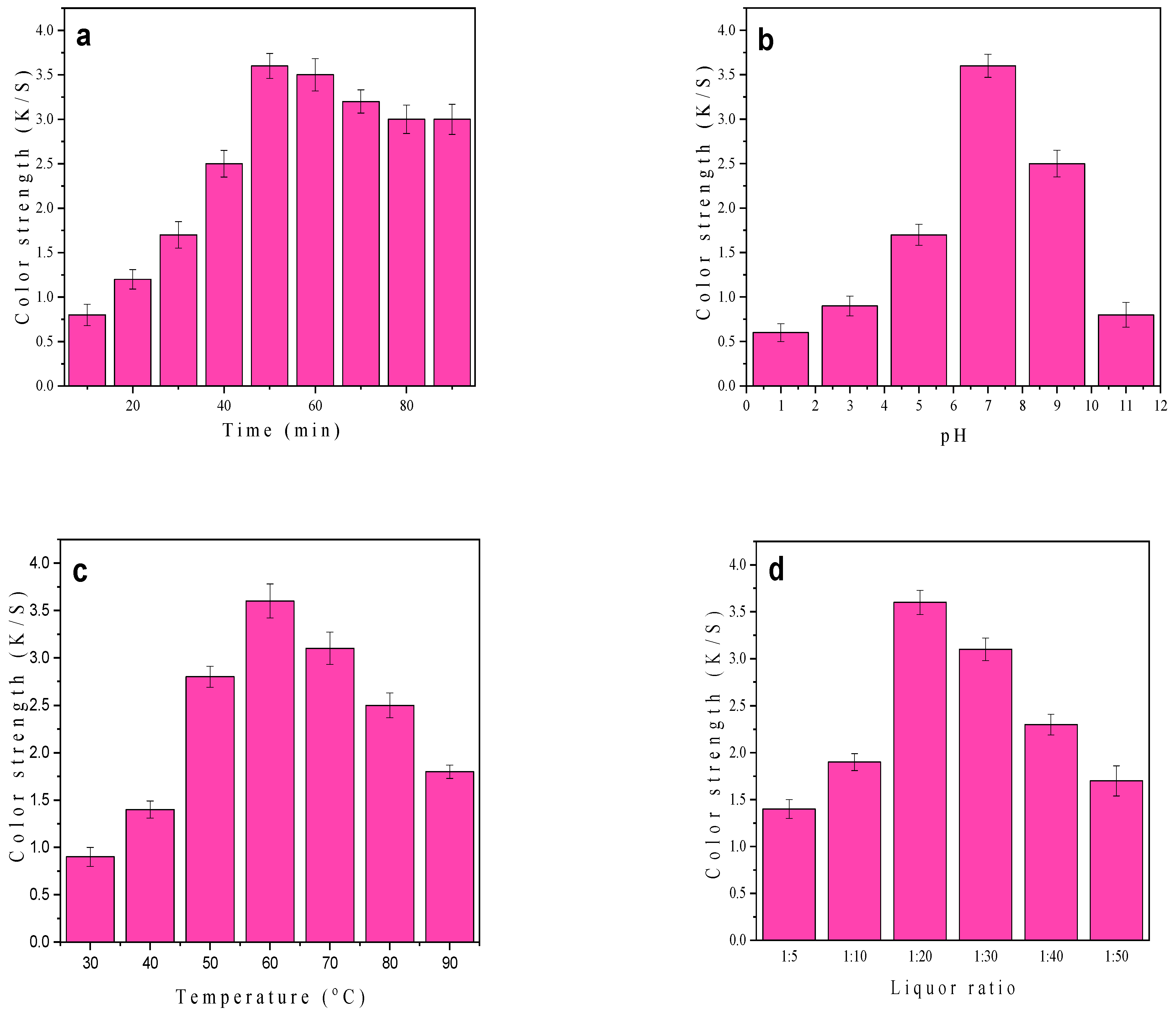
3.2.1. Role of Dyeing Time
Dyeing time is one of the major economic factors that must be considered for sustainable textile production; the faster the dyeing time, the lower the cost of energy and labor [26]. The color strength () (Figure 4a) and dye-uptake (Q) (Figure S1) of BP-dyed cotton fabric (CF-IBP) increased appreciably within the first 30 min, followed by a slight increase up to 50 min, before a marginal reduction set in at up to 90 min dyeing time. The availability of the active sites on the fabric matrix for adsorbing molecules of BP might be the reason for the rapid increase in and Q within the first 30 min; thereafter, the slight increase in and Q up to 50 min suggest the accomplishment of equilibrium dyeing time. The possibility of molecules of BP aggregating on the surface of the cotton fabric might be responsible for the marginal reduction in and Q beyond the dyeing period of 50 min. These observations agree with those of Rasool et al. [27] on environmentally friendly silk and cotton dyeing using natural colorant.
3.2.2. Role of pH
The role played by the pH of the dye solution cannot be underrated, if a good level of dyeing is desired. The color strength (Figure 4b) and dye-uptake (Figure S2) of IBP-dyed cotton fabric increased as the pH of the dye bath increased from 1 to 7, and thereafter, they declined. According to Haque et al. [28], the increase in and Q as the pH of the dye bath increased from 1 to 7 might be linked to relaxation in the acidic medium’s competition with the protonated cotton fabric for the phenolic-based dye extract. The possibility of electrostatic repulsion between the deprotonated cotton fabric and the phenolic-based dye molecules might be the cause of the low and Q at high pH.
Figure 4.
Effects of dyeing (a) time, (b) pH, (c) temperature, and (d) liquor ratio on color strength of BP-dyed cotton fabric.
Figure 4.
Effects of dyeing (a) time, (b) pH, (c) temperature, and (d) liquor ratio on color strength of BP-dyed cotton fabric.

3.2.3. Role of Dyeing Temperature
The kinetic energy of the dye bath, which influences the rate of diffusion of the dye molecules from the liquid medium into the solid medium of the fabric, depends largely on the temperature of the reactor [29].
As the temperature of the dyeing medium increased from 40 to 60 °C, the color strength (Figure 4c) and dye-uptake (Figure S3) also increased; however, above 60 °C, a decline in the trend set in. This implies that a temperature below 60 °C was not effective enough to move an adequate quantity of IBP dye molecules onto the fabric for the desired color strength and optimum dye-uptake; above this optimum temperature, the IBP acquired extra energy that liberated some of its molecules from the fiber’s surface. Zia et al. [30] reported a similar observation for naturally dyed cotton fabric.
3.2.4. Role of Liquor Ratio
Another important parameter that must be considered for the production of uniformly colored textiles is the liquor ratio, which is the relationship between the weight of the textiles to be dyed and the quantity of dye liquor. The color strength (Figure 4d) and dye-uptake (Figure S4) of the IBP-dyed cotton fabric increased as the liquor ratio increased from 1:5 to 1:20, before a marginal reduction was observed as the liquor ratio was further increased. A liquor ratio below 1:20 was unable to give level dyeing, and above the optimum liquor ratio of 1:20, the possibility of aggregation of the molecules of dye might be the reason for this observation [28].
Generally, cotton fabric dyed at a pH of 7, a liquor ratio of 1:20, and a temperature of 60 °C for 50 min, with optimal color strength and dye-uptake, was selected for developing a range of color and strengthening colorfastness through the mordanting process.
3.3. Color Development and Colorimetric Properties
Various attractive colors with different colorimetric properties were generated on BP-dyed cotton fabric through post- and pre-mordanting processes. In electrolyte pre-mordanting, 1% Ca2+ and 2% Fe2+ salts gave optimal , while the use of 4% Ca2+ and 3% Fe2+ as post-mordanting agents gave the desired results, as shown in Figure 5a.
Figure 5.
Effects of (a) electrolytes and (b) herbal mordanting on shade of BP-dyed cotton fabric.
Figure 5b presents the effects of herbal mordanting on the of BP-dyed cotton fabric. Using 3% coconut husk extract and 4% cashew bark extract as pre-mordanting agents gave the mordanted BP-dyed cotton fabrics a good ; post-mordanting BP-dyed fabric with 4% coconut husk extract and 3% cashew bark extract gave BP-dyed fabric with an optimal (Figure 5b).
Overall, electrolyte pre-mordanting and herbal post-mordanting produced a BP-dyed cotton fabric with an outstanding . Similar findings were made by Rasool et al. [27] for environmentally friendly silk and cotton dyeing using natural colorants of bougainvillea (Bougainvillea glabra) flowers: this demonstrates a sustainable approach for the textile industry.
The color coordinates (CEL*a*b*) of the unmordanted and mordanted BP-dyed cotton fabrics are presented in Table 2. The standard scale of L* for determining the shade of dyed fibers ranges from 100 to 0. The closer the value to 100, the lighter the shade, and the closer it is to 0, the darker the shade becomes. The shade of the dyed fabric is usually represented in a space quadrant containing green, yellow, blue, and red color, depending on the magnitude of a* and b* (Figure 6). Red and yellow color indicate positive magnitudes for a* and b*, respectively, while negative magnitudes of a* and b* signify blue and green color, respectively [14].
Table 2.
CEL*a*b* colorimetric properties and shade developed on mordanted BP-dyed cotton fabric.
Figure 6.
Color space quadrant for BP-dyed and mordanted cotton fabrics.
Functionalizing BP-dyed cotton fabric with Ca2+ salt as a mordanting agent generally lightened the shade of the dyed fabric, with a higher L* value and a lower , when compared with unmordanted BP-dyed cotton fabric (Table 2).
The brightest shade was obtained after BP-dyed cotton fabric was post-mordanted with Ca2+ salt. The shades obtained on Ca2+ salt-functionalized BP-dyed cotton fabrics were closer to yellow than red, as a* < b*, and both a* and b* had positive magnitude.
A closer shades to yellow than red of the Ca2+ salt-mordanted BP-dyed cotton fabrics was confirmed by a value of ho greater than 45o on the color space quadrant (Figure 6). This observation was elaborated upon in a previous study [14].
Treating BP-dyed cotton fabric with bio-mordants and Fe2+ salt as mordanting agents darkened the color of the dyed fabric, with the characteristic lower L*, and a higher value compared to unmordanted BP-dyed cotton fabric. Unlike those of Ca2+ salt-functionalized BP-dyed fabrics, the values of a* for Fe2+ salt- and bio-mordanted BP-dyed fabrics were generally greater than the values of b*, indicating that the shades obtained were closer to red than yellow. The value of h° < 45° established the shades obtained for Fe2+ salt-, coconut husk-, and cashew extract-mordanted BP-dyed cotton fabrics to be closer to red than yellow (Figure 6). These observations are in good agreement with the literature reports [19,31].
Generally, coconut husk extract-post-mordanted BP-dyed cotton fabric had the lowest L* value, highest , and darkest shade.
3.4. BP-Dyed Fabric’s Colorfastness
The extent of attachment of the molecules of dye to the fiber matrix during the dyeing process, irrespective of the external forces encountered during production and the serviceability of the dyed fabric, was measured in the form of colorfastness [32]. In general, cellulosic natural fibers do not have a good affinity for natural dyes; this attribute of natural cellulosic fibers constitutes one their demerits [17].
The color quality of the BP-dyed cotton fabric explored in this study includes colorfastness to washing, rubbing, and light. It can be seen from Table 3 that colorfastness to washing, rubbing, and light of the BP-dyed fabric were improved after the mordanting process. This is akin to the literature reports for the similar studies on the mordanting of naturally dyed textile fibers [13,23,27].
Table 3.
Colorfastness properties of BP-dyed and mordanted cotton fabrics.
Ca2+ salt electrolyte mordant raised the colorfastness to washing and rubbing from good to very good, and the light colorfastness from fair to good. Pre-Fe2+ treatment moved BP-dyed cotton fabric’s colorfastness to washing and light from good and fair, respectively, to very good, while the rubbing colorfastness was enhanced to excellent (Table 3).
The enrichment in the colorfastness properties of the colored cellulosic fabric by the chemical mordants might be a result of the possibility of a complex formation between BP dye molecules and the cellulosic matrix, where metal mordants act as chelating agents, as shown by the proposed mordanting mechanism in Figure 7a.
Figure 7.
Proposed mechanism for (a) electrolyte- and (b) herbal-mordanted BP-dyed cotton fabric.
Astonishingly, BP-dyed cotton fabric with desired colorfastness to washing, rubbing, and light was obtained after herbal mordanting, in which case the dyed fabric was adjudged to have excellent light, rubbing, and washing colorfastness. This observation could be traced to the extra H-bond formation between the dye molecules and the cotton fabric through the herbal mordants, as presented in the proposed mordanting mechanism in Figure 7b. According to earlier studies reported in the literature, other bonding forces that might form a synergy with extra H-bonds in performing this wonderful role are van der Waals forces [32].
Although natural mordants outperformed chemical mordants as mordanting agents, by and large, pre-mordanting and post-mordanting techniques, respectively, gave better results for chemical and natural mordanting of BP-dyed cotton fabric.
4. Conclusions
Natural colorant was successfully extracted from Brazilian plume for environmentally friendly dyeing of cellulosic fabric with microwave-assisted modern extraction technique, giving a relatively high yield. The optimal dyeing parameters for achieving dyed fabric with the desired color strength and dye-uptake, good colorfastness to washing and rubbing, and fair colorfastness to light, are a dyeing contact time of 50 min, a pH of 7, a liquor ratio of 1:20, and a temperature of 60 °C. Varieties of gorgeous shades, ranging from orange to brown, were developed on BP-dyed cotton fabric with the involvement of non-harmful chemical and bio-mordants. Chelation of BP dye molecules on the cotton matrix by the chemical mordants raised the good colorfastness to washing and rubbing, and the fair light colorfastness, to very good. The formation of extra H-bonds between the BP dye molecules and the cotton matrix by the herbal mordants enhanced the BP-dyed cotton fabric’s light, rubbing, and washing colorfastness properties to excellent. The role performed by the chosen mordants indicates that they are potential agents for conserving the shades of naturally dyed textiles.
Supplementary Materials
The following supporting information can be downloaded at: https://www.mdpi.com/article/10.3390/chemistry7010023/s1, Figure S1: Effect of dyeing time on cotton fabric’s BP dye-uptake; Figure S2: Effect of pH on cotton fabric’s BP dye-uptake; Figure S3: Effect of Temperature on cotton fabric’s BP dye-uptake; Figure S4: Effect of liquor ratio on cotton fabric’s BP dye-uptake.
Author Contributions
Conceptualization: J.M.J.; methodology: J.M.J. and O.O.O.; validation: O.M.A., A.C.A. and O.A.A.; software: J.M.J., O.O.O. and A.C.A.; formal analysis: O.O.O., O.A.A. and E.T.O.; investigation: E.T.O. and H.O.O.; resources: J.M.J., O.M.A. and O.A.A.; data curation: O.O.O., O.M.A. and E.T.O.; Writing—Original Draft Preparation: H.O.O., O.A.A. and E.T.O.; writing—review and editing: J.M.J., O.O.O., A.C.A. and O.M.A.; visualization: O.O.O., O.M.A. and A.C.A.; supervision: J.M.J. and O.O.O.; project administration: J.M.J. and O.O.O.; funding acquisition: J.M.J., O.O.O., O.M.A., A.C.A., O.A.A. and E.T.O. All authors have read and agreed to the published version of the manuscript.
Funding
The authors hereby appreciate the funding received from the Tertiary Education Trust Funds (TetFunds), with the following Grant Number: TETF/ES/DR&D-CE/NRF2023/SETI/NRT/0073/VOLJ, for supporting the execution of this study.
Data Availability Statement
The original contributions presented in this study are included in the article/Supplementary Material. Further inquiries can be directed to the corresponding author(s).
Acknowledgments
The authors express their gratitude to the Federal Government of Nigeria for the establishment of Tertiary Education Trust Funds (TetFunds), through which funds were granted to enable this study to be carried out.
Conflicts of Interest
The authors declare no conflicts of interest.
References
- Hossain, S.; Jali, M.A.; Islam, T.; Mahmud, R.U.; Kader, A.; Islam, M.K. Enhancement of antibacterial and UV protection properties of blended wool/acrylic and silk fabrics by dyeing with the extract of Mimusops elengi leaves and metal salts. Heliyon 2024, 10, e25273. [Google Scholar] [CrossRef]
- Jabar, J.M.; Adebayo, M.A.; Taleat, T.A.A.; Yilmaz, M.; Rangabhashiyam, S. Ipoma batatas (sweet potato) leaf and leaf-based biochar as potential adsorbents for procion orange MX2R removal from aqueous solution. J. Anal. Appl. Pyrolysis 2025, 185, 106876. [Google Scholar] [CrossRef]
- Jabar, J.M.; Yilmaz, M. Anthocyanin-based natural dyes and nanoscale coatings, In Nanoscale Textile Coatings for Enhanced Performance; Ahmed, S., Adeel, S., Eds.; Springer Nature: Cham, Switzerland, 2024; pp. 209–240. [Google Scholar] [CrossRef]
- Nambela, L.; Haule, L.V.; Mgani, Q. A review on source, chemistry, green synthesis and application of textile colorants. J. Clean. Prod. 2020, 246, 119036. [Google Scholar] [CrossRef]
- Khattab, T.A.; Abdelrahman, M.S.; Rehan, M. Textile dyeing industry: Environmental impacts and remediation. Environ. Sci. Pollut. Res. 2020, 27, 3803–3818. [Google Scholar] [CrossRef]
- Hossain, S.; Jalil, M.A.; Kamal, S.A.B.; Kader, A. A natural dye extracted from the leaves of Mimusops elengi L. and its dyeing properties on cotton and silk fabrics. J. Text. Inst. 2021, 112, 455–461. [Google Scholar] [CrossRef]
- Wang, X.; Jiang, J.; Gao, W. Reviewing textile wastewater produced by industries: Characteristics, environmental impacts, and treatment strategies. Water Sci. Technol. 2022, 85, 2076–2096. [Google Scholar] [CrossRef]
- Jabar, J.M.; Ogunsade, A.F.; Odusote, Y.A.; Yılmaz, M. Utilization of Nigerian mango (Mangifera indica L.) leaves dye extract for silk fabric coloration: Influence of extraction technique, mordant and mordanting type on the fabric color attributes. Ind. Crops Prod. 2023, 193, 116235. [Google Scholar] [CrossRef]
- Anarado, C.; Ajiwe, V.; Anarado, C.; Obumselu, O.F.; Umedum, N.L.; Okafor, S.E. The phytochemistry, ethnomedicinal and pharmacology uses of Justicia carnea L used in traditional medicine in Nigeria—A review. South Asian Res. J. Nat. Prod. 2021, 4, 85–93. [Google Scholar]
- Peters, D.E.; Ahaoti, O.; Wegwu, M.O. HPLC, GC quantitative characterization of phytochemicals in Justicia carnea L. (Brazilian plume) leaf. Int. J. Nov. Res. Life Sci. 2022, 9, 1–9. [Google Scholar]
- Jabar, J.M. Classification of natural dyes for sustainable exploitation. In Natural Dyes and Sustainability; Muthu, S.S., Ed.; Springer Nature: Cham, Switzerland, 2024; pp. 153–192. [Google Scholar] [CrossRef]
- Fersi, W.; Baaka, N.; Dhaouadi, H.; Dridi-Dhaouadi, S. Microwave-assisted extraction of natural dyes from Quercus Coccifera L. for wool dyeing. Fibers Polym. 2023, 24, 2009–2016. [Google Scholar] [CrossRef]
- Adeel, S.; Mumtaz, A.; Mia, R.; Aftab, M.; Hussaan, M.; Amin, N.; Khan, S.R.; Khattak, S.P. Microwave-assisted sustainable coloration of wool fabric using Rheum emodi-based natural dye. Surf. Innov. 2023, 12, 147–158. [Google Scholar] [CrossRef]
- Manyim, S.; Kiprop, A.K.; Mwasiagi, J.I.; Mecha, A.C. Eco-friendly dyeing of pretreated cotton fabric using natural dye extract from Eruthrina abyssinica. J. Nat. Fibre 2022, 19, 8319–8331. [Google Scholar] [CrossRef]
- Pinzon, I.A.P.; Razal, R.A.; Mendoza, R.C. Parametric study on microwave-assisted extraction of runo (Miscanthus sinesis A) dye and its application to paper and cotton fabric. Biotechnol. Rep 2020, 28, e00556. [Google Scholar]
- Jabar, J.M.; Owokotomo, I.A.; Ogunsade, A.F. Sustainable dyeing of cotton fabric with mangiferin: Roles of microwave-rays and bio-mordants on fabric colorimetric and fastness properties. Sustain. Chem. Pharm. 2022, 29, 100822. [Google Scholar] [CrossRef]
- Zhang, Y.; Rather, L.J.; Li, Q. Recent advances in surface modification strategies to improve functional finishing of cotton with natural colourants—A review. J. Clean. Prod. 2022, 335, 130313. [Google Scholar] [CrossRef]
- Freitas, A.S.; Olivera, R.; Ribeiro, A.; Almeida-Aguiar, C. Biofunctional textiles: Antioxidant and antibacterial finishings of cotton with propolis and honey. Int. J. Mol. Sci. 2024, 25, 8034. [Google Scholar] [CrossRef] [PubMed]
- Jabar, J.M.; Al-Ahmary, K.M.; Alshdoukh, I.F.; Alghamdi, A.A.; El-Rayyes, A.; Alrahili, M.R. Cashew (Anacardium occidentale L.) bark extract for eco-safe dyeing of mordanted cotton fabric: Colorimetric and biomedical functional properties. Sustain. Chem. Pharm. 2024, 39, 101587. [Google Scholar] [CrossRef]
- Jahan, K.; Fatima, S.; Osama, K.; Younis, K.; Yousuf, O. Boosting protein yield from mustard (Brassica juncea) meal via microwave-assisted extraction and advanced optimization methods. Biomass Convers. Biorefinery 2023, 13, 16241–16251. [Google Scholar] [CrossRef]
- Gala, S.; Sumarno, S.; Mahfud, M. Optimization of microwave-assisted extraction of natural dyes from jackfruit wood (Artocarpus heterophyllus L.) by response surface methodology. Eng. Appl. Sci. Res. 2022, 49, 29–35. [Google Scholar] [CrossRef]
- Guzel, E.T.; Karadag, R. Sustainability of organic cotton fabric dyeing with a natural dye (gallnut) and analysis by multi-technique approach. J. Nat. Fibres 2021, 18, 221–230. [Google Scholar] [CrossRef]
- Batool, F.; Naeem, I.; Adeel, S.; Azeem, M.; Hussaan, M.; Mia, R. Sugar beet (Beta vulgaris L.) leaves as natural colorant for cotton dyeing using an ecofriendly approach toward industrial progress. Sci. Prog. 2024, 107, 1–22. [Google Scholar] [CrossRef] [PubMed]
- Jabar, J.M.; Ogunmokun, A.I.; Taleat, T.A.A. Color and fastness properties of mordanted Bridelia ferruginea B dyed cellulosic fabric. Fash. Text. 2020, 7, 1. [Google Scholar] [CrossRef]
- Ricci, A.; Olejar, K.J.; Parpinello, G.P.; Kilmartin, P.A.; Versari, A. Application of Fourier transform infrared (FTIR) spectroscopy in the characterization of tannins. Appl. Spectrosc. Rev. 2015, 50, 407–442. [Google Scholar] [CrossRef]
- Fang, J.; Meng, C.; Wang, Y.; Yang, Y.; Han, L.; Wang, S.; Zhang, G.; Xu, Z.; Min, J. Eco-dyeing and functional finishing of cotton fabric by natural dye derived from lotus seedpod waste with chitosan assistance. Fibers Polym. 2023, 24, 1367–1377. [Google Scholar] [CrossRef]
- Rasool, W.; Adeel, S.; Batool, F.; Ahmad, S.A.; Mumtaz, S.; Hussaan, M. Environmental friendly silk and cotton dyeing using natural colorant of bougainvillea (Bougainvillea glabra) flowers: Sustainable approach towards textile industry. Environ. Sci. Pollut. Res. 2023, 30, 21863–21871. [Google Scholar] [CrossRef] [PubMed]
- Haque, M.A.; Mia, R.; Mahmud, S.T.; Bakar, M.A.; Ahmed, T.; Farsee, M.S.; Hossaian, M.I. Sustainable dyeing and functionalization of wool fabric with black rice extract. Resour. Environ. Sustain. 2022, 7, 100045. [Google Scholar] [CrossRef]
- Punyachareonnon, P.; Daerattrakul, V.; Luepong, K. The influence of pH, temperature and time on dyeing of silk fabric by black bean anthocyanin-rich extract as colorant. Prog. Color Color. Coat. 2021, 14, 179–186. [Google Scholar]
- Zia, K.M.; Adeel, S.; Aslam, H.; Khosa, M.K.; Zuber, M. Influence of utrasonic radiation on extraction and green dyeing of mordanted cotton using neem bark extract. J. Ind. Eng. Chem. 2019, 77, 317–322. [Google Scholar] [CrossRef]
- Jabar, J.M.; Adedayo, T.E.; Odusote, Y.A. Green, eco-friendly and sustainable alternative in dyeing cotton fabric using aqueous extract Mucuna slonaei F dye: Effects of metal salts pre-mordanting on color strength and fastness properties. Curr. Res. Green Sustain. Chem. Chem. 2021, 4, 100151. [Google Scholar] [CrossRef]
- Naqvi, S.A.; Wara, K.; Adeel, S.; Mia, R.; Hosseinnezhad, M.; Rather, L.J.; Imran, M. Modern ecofriendly approach for extraction of luteolin natural dye from weld for silk fabric and wool yarn dyeing. Sustain. Chem. Pharm. 2024, 39, 101554. [Google Scholar] [CrossRef]
Disclaimer/Publisher’s Note: The statements, opinions and data contained in all publications are solely those of the individual author(s) and contributor(s) and not of MDPI and/or the editor(s). MDPI and/or the editor(s) disclaim responsibility for any injury to people or property resulting from any ideas, methods, instructions or products referred to in the content. |
© 2025 by the authors. Licensee MDPI, Basel, Switzerland. This article is an open access article distributed under the terms and conditions of the Creative Commons Attribution (CC BY) license (https://creativecommons.org/licenses/by/4.0/).























