Next Article in Journal
Electro-Optical Modulation of the Nonlinear Optical Response in a GaAs/AlGaAs Symmetric Multiple Quantum Well System
Previous Article in Journal
Vacuum Self-Dressing of an Atom and Its Physical Effects
 
 
Font Type:
Arial Georgia Verdana
Font Size:
Aa Aa Aa
Line Spacing:
Column Width:
Background:
Article

A New Model to Describe the Effective Magnetic Properties of Magnetorheological Elastomers

1
State Key Laboratory of Coal Mine Disaster Dynamics and Control, Chongqing University, Chongqing 400044, China
2
College of Aerospace Engineering, Chongqing University, Chongqing 400044, China
3
School of Materials Science and Engineering, Nanjing University of Science and Technology, Nanjing 210094, China
*
Authors to whom correspondence should be addressed.
Physics 2025, 7(2), 21; https://doi.org/10.3390/physics7020021
Submission received: 17 April 2025 / Revised: 18 May 2025 / Accepted: 23 May 2025 / Published: 10 June 2025
(This article belongs to the Section Applied Physics)

Abstract

The macroscopic magnetic properties of magnetorheological elastomers (MREs) are influenced by their microstructure, yet limited investigations has been conducted on this subject to date. In this paper, a microstructure-based model is proposed to investigate the magnetization response of MREs. The dipole theory is employed to compute the local magnetic field, and a fitting equation derived from finite element analysis is used to correct the magnetic field. The Fröhlich–Kennelly equation is applied to describe the nonlinear magnetic properties of the particle material. Based on experimental observations, a body-centered tetragonal (BCT) model is established to describe the magnetization properties of anisotropic MREs. The proposed model is validated by comparison with experimental data and can be utilized to predict the effective susceptibility of MREs. The effects of particle volume fraction, the direction of the external magnetic field, and the shape of the MRE samples can also be analyzed using this model.

1. Introduction

Magnetorheological (MR) materials are advanced smart materials with a wide range of applications in the automotive, construction, medical, and other sectors [1,2,3]. MR materials are typically composed of two components: magnetizable particles and a non-magnetic matrix [4]. Depending on the properties of the matrix, MR materials can be divided into MR fluids (MRFs) and MR elastomers (MREs) [5]. A key issue for MRFs is particle sedimentation due to the density difference between the particles and the liquid matrix [6]. MREs not only address the issue of particle sedimentation but also offer tunable modulus and damping properties, which have received significant attention from researchers [4].
Theoretical modeling to describe effective magnetic properties plays a crucial role in understanding MR materials [7]. Given that MR materials are similar to electrorheological (ER) materials, the initial modeling approach was derived by calculating the effective permittivity of ER materials [8]. Maxwell Garnett [9] initially proposed a method to calculate the effective permittivity of mixtures with randomly dispersed particles [10]. Subsequently, Dirk Bruggeman [11] developed a phenomenological approach to extend the Maxwell–Garnett model.
Experimental observations indicate that particles in MRFs form chain-like structures when exposed to a magnetic field [12,13,14]. Reference [15] proposed the magnetic dipole theory, which accounts for the interactions between neighboring particles within particle chains. Reference [16] proposed a model for periodic composites for calculating the effective magnetic properties. Reference [17] employed the Lorentzian approach to analyze local field interactions and compute the effective susceptibility of composites with uniaxial and biaxial field structures. However, all these models treat the material as homogeneous and do not incorporate the nonlinear magnetization effects in particle chains.
Reference [18] employed the Fröhlich–Kennelly equation to calculate the magnetization strength of individual particles and, together with the dipole model, computed the effective permeability of composites based on the single-chain structure. Reference [19] proposed a micro-model based on a single particle chain, providing an explicit expression for the effective permeability of composites. However, both models neglected the interactions between different particle chains during computation. As a result, the calculated effective permeability was underestimated, leading to significant model error at high enough particle volume fractions. Subsequently, Reference [20] obtained more accurate results by calculating the representative volume element that incorporated a multi-chain structure.
Particles within an MR material generate an inhomogeneous magnetic field when magnetized. The most commonly used method for calculating this field is dipole theory. However, recent studies have shown that the dipole hypothesis breaks down when evaluating the interaction between two particles placed close enough [21]. Reference [22] employed a multipole expansion to evaluate interactions between particles, but the method has two limitations: first, it assumes that the particle material exhibits linear polarizability; second, it is not applicable to saturated particles. Reference [23] introduced the concept of self-consistent dipoles and calculated the modified dipole interaction between two particles, but they did not account for multipole effects.
To study the effect of particle distribution in MR materials, the particle distribution is often idealized as regular or periodic [5]. When the volume fraction of particles in MRFs exceeds 15%, the equilibrium structure formed under a unidirectional homogeneous magnetic field resembles a body-centered tetragonal (BCT) lattice [24,25]. This structural behavior is also observed in MREs. However, few studies have modeled the microscopic magnetization of MREs based on the BCT structure.
The current study proposes a new model for predicting the magnetization of MREs. Assuming the MRE is exposed to a constant magnetic field, the local magnetic field is first calculated using dipole theory and then corrected using a fitting equation derived from finite element analysis. This correction is combined with the Fröhlich–Kennelly equation to determine the magnetic properties of the particles, allowing the magnetization strength and effective susceptibility of the MRE to be evaluated.
The structure of the paper is outlined as follows. In Section 2, first the local magnetic field around a particle is calculated, and the particle distribution coefficient is defined. Next, the contrast coefficient of the target particle is determined using the Fröhlich–Kennelly equation, and the effective susceptibility of the MREs is derived by selecting a representative volume element. Finally, a BCT model is introduced for anisotropic MREs. In Section 3, the proposed model is first compared with available experimental data; then, several factors that influence the magnetization response of the MREs are discussed. The conclusions are drawn in Section 4.

2. Model

MREs typically consist of two components: particles and a solid matrix, and, in this paper, their relative permeabilities are denoted as μ r and μ r m , respectively. Carbonyl iron powder is a high-purity iron powder produced through the decomposition of iron pentacarbonyl. It exhibits quite high permeability, low enough remanence, and relatively high saturation magnetization strength, making it a common choice as the magnetizable particle in MRE materials [26,27]. In the current study, the model assumes that the particles are composed of carbonyl iron powder, a representative soft magnetic material, and is therefore applicable only to soft magnetic MREs. In addition, the model assumes that all particles are spherical, uniformly sized, and remain stationary during magnetization due to constraints imposed by the solid matrix. Additionally, the MREs considered in this study possess a high enough elastic modulus such that magnetically induced deformation is minimal and its effect on magnetization can be neglected [28]. As a result, deformation is not considered in the model.

2.1. Local Magnetic Field

The magnetic properties of MREs arise from magnetizable particles. When studying the magnetization response of an MRE sample, the sample is typically placed in an external uniform magnetic field. The field acting on one particle inside MRE sample is affected by the applied magnetic field (denoted by H app ) as well as the magnetic field induced by other dipoles (denoted by H dip ). Thus, the local magnetic field is defined as
H loc = H app + H dip .
The particle is magnetized in the local magnetic field, generating a demagnetizing field inside. The internal magnetic field of the particle is given by H in = H loc N d M , where M is the magnetization strength of particle and N d = 1 3 is the demagnetization factor due to assumed particle’s spherical shape [17]. To facilitate the study of the magnetic properties of composites, the contrast coefficient β = μ r μ r m μ r + 2 μ r m is introduced, with the assumption that the matrix material is non-magnetic, i.e., μ r m = 1 . Additionally, as soon as μ r = χ + 1 , the relationships between the contrast coefficient, relative permeability, and susceptibility of the particle can be derived:
β = μ r 1 μ r + 2 = χ 3 + χ .
Thus the internal magnetic field strength of the particle is given by H in = 1 β H loc . Also, M = χ H in = 3 β H loc , and the magnetic moment m = V M = 4 π R 3 β H loc can be obtained, where V and R denote the volume and radius of the particle, respectively. To calculate the magnetization strength of one particle, its local magnetic field H loc and contrast coefficient β should be required. According to dipole theory, a particle with magnetic moment m can generate a magnetic field H at position r :
H = 3 m · r ^ r ^ m 4 π r 3 ,
where r ^ is the unit vector in the direction of r . Denoting one particle by i, and any other one by j, the magnetic field generated by all other particles at particle i reads
H dip = j i 3 m j · r ^ i j r ^ i j m j 4 π r i j 3 ,
where r i j = r i r j is the relative position of particles i and j, r i j = r i j denotes the magnitude of r i j , and r ^ i j = r i j / r i j is the unit vector in the direction of r i j . Then, the local magnetic field at particle i is given by Equation (1):
H loc = H app + j i 3 m j · r ^ i j r ^ i j m j 4 π r i j 3 .
The Fröhlich–Kennelly equation is employed to describe the magnetization strength of the particle material [29,30]:
M = χ ini H in 1 + χ ini H in M s ,
where χ ini represents the initial susceptibility and M s denotes the saturation magnetization strength of particle material. Since the internal magnetic field of the particle increases with the external magnetic field, it follows from Equation (6) that the magnetization strength of the particle material varies accordingly. This relationship also holds for the intrinsic susceptibility ( χ = M / H in ) of the material as both M and H in vary with the external magnetic field.
Combining the magnetization strength M = 3 β H loc and and magnetic field strength H in = ( 1 β ) H loc , inside the particle, the following equation is obtained:
3 β = χ ini 1 β M s M s + χ ini 1 β H loc .
In Equation (7), χ ini and M s can be determined from the magnetization curve of carbonyl iron powders. The contrast coefficient β is obtained as soon as the local magnetic field H loc at the particle is known.

2.2. Particle Distribution Coefficient

To determine the local magnetic field, it is necessary to obtain the magnetic moments and positions of all other particles. It is hypothesized that the magnetic moments of all particles are of the same magnitude and aligned along the direction of the external magnetic field H app . Based on the analysis in Section 2.1 above, the local magnetic field strength is uniform for all particles. MREs can be classified as isotropic or anisotropic, depending on the application of an external magnetic field during the manufacturing process. In isotropic MREs, the particles are randomly distributed within the matrix, and Equation (4) is rewritten as
H dip = j i 3 cos 2 θ i j 1 m j 4 π r i j 3 ,
where θ i j is the angle between m j and r i j , as shown in Figure 1. As soon as all particles are considered having same size and magnetic moment, the following expression can be derived from Equation (8):
H dip = m 4 π R 3 j i R r i j 3 3 cos 2 θ i j 1 .
To simplify the analysis to follow, a dimensionless particle distribution coefficient is proposed being denoted as
ψ = j i R r i j 3 3 cos 2 θ i j 1 .

2.3. Magnetic Field Correction

Anisotropic MREs are produced by applying a uniform magnetic field at quite high temperatures, and the particles form chains. After the matrix is cured, particle positions remain fixed . For anisotropic MREs, the angle between the external magnetic field H app and the particle chains is denoted by α . We decompose the local magnetic field H loc at one particle into components along the direction parallel to the particle chain ( H loc , ) and perpendicular to the particle chain ( H loc , ), so H loc = H loc , + H loc , . From Equation (1), one obtains H loc = H app , + H app , + H dip , + H dip , , where the magnitudes of H app , and H app , are H app cos α and H app sin α , respectively. The components of the magnetic field produced by the other particles, H dip , and H dip , , read
H dip , = j i 3 cos 2 θ i j , 1 m j , 4 π r i j 3 , H dip , = j i 3 cos 2 θ i j , 1 m j , 4 π r i j 3 ,
where m j , ( m j , ) represents the component of the magnetic moment m j in the parallel (perpendicular) direction, θ i j , is the angle between r i j and m j , , and θ i j , is the angle between r i j and m j , . As soon as all particles are assumed having the same magnetic moment, the magnetic moment components being generalized as m and m . From Equation (11), the magnitudes of H dip , and H dip , read
H dip , 0 = m 4 π R 3 j i R r i j 3 3 cos 2 θ i j , 1 , H dip , 0 = m 4 π R 3 j i R r i j 3 3 cos 2 θ i j , 1 ,
respectively, where the superscript 0 denotes physical quantity before correction.
Similarly, the parallel particle distribution coefficient ψ and the perpendicular particle distribution coefficient ψ read (see Equation (10))
ψ 0 = j i R r i j 3 3 cos 2 θ i j , 1 , ψ 0 = j i R r i j 3 3 cos 2 θ i j , 1 .
For anisotropic MREs, the simplest case is the chain model, which considers only the interactions of particles within a single chain, neglecting the interactions between particles in different chains. In the chain model, θ i j , = 0 ° , θ i j , = 90 ° , which results in ψ 0 = 0.60 , ψ 0 = 0.30 .
The equations obtained above are derived from dipole theory. It should be noted that dipole theory can provide accurate results when the distance between particles is large enough, but such consideration introduces significant errors when particles are relatively close one to another. We have conducted a finite element analysis on a particle within a chain of contacting particles. The simulation results closely approximate the actual values, and Figure 2 highlights a significant discrepancy in predictions based on dipole theory. Therefore, it is necessary to correct Equation (13). When H app is parallel to the particle chain, the two adjacent particles (denoted as i 1 and i + 1 ) in the chain produce the strongest magnetic field at the position of particle i, and the error is maximal. Therefore, H dip , should be corrected by recalculating the magnetic fields produced by particles i 1 and i + 1 . When H app is perpendicular to the particle chain, the neighboring particles do not significantly contribute to the errors. Instead, the errors primarily arise from particles which are relatively close to the particle i in other chains. The spatial structure of particles in the MRE mainly depends on the particle volume fraction, denoted by ϕ , and the shape of the sample. The particle distribution coefficient ψ , defined in this paper, also reflects the influence of sample shape and is therefore used to account for shape effects in the calculation. Assuming a linear relationship, the correction term is expressed as a function of both ϕ and ψ ; based on that assumption, the corrected magnitudes of H dip , and H dip , read
H dip , = m 4 π R 3 j i , i ± 1 R r i j 3 3 cos 2 θ i j , 1 + 1.568 + 0.6176 ϕ 1.435 ψ 0 K 3 m 0 4 π R 3 M s , H dip , = m 4 π R 3 j i R r i j 3 3 cos 2 θ i j , 1 + 0.8148 + 3.837 ϕ 5.157 ψ 0 K 3 m 0 4 π R 3 M s ,
respecttively, where m 0 represents the magnetic moment before correction and
K ( x ) = 94.60 x 7 308.3 x 6 + 403.8 x 5 272.2 x 4 + 101.2 x 3 20.82 x 2 + 2.983 x + 1.292 , x < 0.9767 ; 0.2445 x + 0.2422 x 2 2.057 x + 1.057 , 0.9767 x < 0.9859 ; 2 , 0.9859 x 1 ,
represents the fitted formula derived from finite element analysis results, and x = 3 m 0 / ( 4 π R 3 M s ) .
So, the corrected particle distribution coefficients (13) read
ψ = j i , i ± 1 R r i j 3 3 cos 2 θ i j , 1 + 1.568 + 0.6176 ϕ 1.435 ψ 0 K 3 m 0 4 π R 3 M s , ψ = j i R r i j 3 3 cos 2 θ i j , 1 + 0.8148 + 3.837 ϕ 5.157 ψ 0 K 3 m 0 4 π R 3 M s .
Using the particle distribution coefficient, the components of magnetic field produced by other particles can be expressed as H dip , = ψ β H loc , and H dip , = ψ β H loc , . So, the local magnetic field satisfies the following relation:
H loc , = H app cos α + ψ β H loc , , H loc , = H app cos α + ψ β H loc , .

2.4. BCT Structure

In MREs, the BCT lattice can be formed since this structure has the lowest potential energy. As shown in Figure 3, the particles arranged in a square, with a side length of 2 d . Assuming the spacing between the upper and lower neighboring particles is zero, based on the characteristics of BCT structure, the particle volume fraction is given by ϕ = π R 2 / ( 3 d 2 ) , i.e.,
d = R π 3 ϕ .
When the particle volume fraction of the MREs is low enough, the distance between different particle chains is sufficiently large, and the interaction among chains is then quite weak. Then, the chain model introduces negligible errors. Conversely, when the particle volume fraction is relatively high, the distance among chains becomes quite small, so that the interchain interaction cannot be neglected. In BCT structure, we take one target particle as the origin of the coordinate system, with the direction of the particle chain along the z-axis. The x- and y-axes are perpendicular to the z-axis and parallel to the two edges of the BCT structure. For computational convenience, it is assumed that the orientation of the x-axis aligns with the orientation of the external magnetic field when α = 90 ° . The coordinates of the target particle i are set to ( 0 , 0 , 0 ) , and the coordinates of another particle j are set to ( l , n , k ) . Based on the characteristics of the BCT structure, it can be deduced that the values of l, n, and k must either all be odd or all be even. The distance between particle i and particle j is then given by r i j = l d 2 + n d 2 + k R 2 , and due to Equation (18), this yields
r i j = R l 2 + n 2 π 3 ϕ + k 2 .
After establishing the coordinate system, θ i j , is defined as the angle between r i j and the z-axis. From the geometric relationship, cos θ i j , = k R / r i j , and substituting this into Equation (19) yields
cos 2 θ i j , = k 2 l 2 + n 2 π 3 ϕ + k 2 .
Similarly,
cos 2 θ i j , = l 2 π / 3 ϕ l 2 + n 2 π 3 ϕ + k 2 .
Substituting Equations (20) and (21) into Equation (13) yields particle distribution coefficients before magnetic field correction:
ψ 0 = j i l 2 + n 2 π 3 ϕ + 2 k 2 l 2 + n 2 π 3 ϕ + k 2 5 2 , ψ 0 = j i 2 l 2 n 2 π 3 ϕ k 2 l 2 + n 2 π 3 ϕ + k 2 5 2 .
Substituting Equations (20) and (21) into Equation (16) yields particle distribution coefficients after magnetic field correction
ψ = j i , i ± 1 l 2 + n 2 π 3 ϕ + 2 k 2 l 2 + n 2 π 3 ϕ + k 2 5 2 + 1.568 + 0.6176 ϕ 1.435 ψ 0 K 3 m 0 4 π R 3 M s , ψ = j i 2 l 2 n 2 π 3 ϕ k 2 l 2 + n 2 π 3 ϕ + k 2 5 2 + 0.8148 + 3.837 ϕ 5.157 ψ 0 K 3 m 0 4 π R 3 M s .
Equations (22) and (23) represent the formulas for calculating the particle distribution coefficients based on the BCT structure. As already noted just above, due to the features of the BCT structure, the values of l, n, and k must either all be odd or all be even, and the coordinates of all the particles are known. However, the number of particles in an MRE sample is so large that directly calculating the particle distribution coefficient may exceed the computational capacity of a standard computer. After validation, we found that it is sufficient to extract a representative volume element centered on the target particle, which has the same shape as the sample but is considerably smaller. By calculating the particles only within the representative volume element, one can obtain the particle distribution coefficient of the sample, significantly reducing computational requirements. Once the particle distribution coefficient is determined, it can be substituted into Equation (7) to compute the contrast coefficient and proceed with the next step.

2.5. Magnetization Response of MRE Samples

The particle distribution coefficient based on both the chain model and the BCT model has been calculated, with the BCT model divided into cases of uncorrected and corrected magnetic fields. Since the fitting equation for the modified magnetic field relies on the calculations under the uncorrected magnetic field, we first calculate the uncorrected magnetic field case. Substituting the calculated particle distribution coefficient into Equation (17) yields the magnitudes of the components of the local magnetic field at the target particle:
H loc , = H app cos α 1 ψ 0 β , H loc , = H app sin α 1 ψ 0 β .
The local magnetic field at the target particle is given by H loc = H loc , 2 + H loc , 2 1 2 , and substituting this into Equation (7) yields
H app cos α 1 ψ 0 β 2 + sin α 1 ψ 0 β 2 = M s 3 β M s χ ini 1 β .
Equation (25) is solved by substituting the calculated particle distribution coefficients (22), ψ 0 and ψ 0 , for the unknown, β . From the definition of the contrast coefficient ( β ), it follows that 0 < β < 1 . The true value of β can be determined by solving Equation (25) subject to this condition. Equation (25) is a fourth-order equation with β as the unknown; however, for α = 0 ° or α = 90 ° , the order of the unknown is reduced, simplifying the solution process. Taking α = 0 ° as an example, the external magnetic field is oriented along the particle chains, and solving the equation yields
β = b b 2 4 a 2 a ,
where a = 3 H app / M s + 3 ψ 0 / χ ini + ψ 0 and b = 3 H app / M s 1 3 / χ ini ψ 0 .
After determining the particle distribution coefficients ( ψ 0 and ψ 0 ) and the contrast coefficient ( β ), we substitute them into Equation (24) to calculate the local magnetic field at the target particle ( H loc , and H loc , ). Finally, the magnetic moments of the target particle ( m and m ) are determined. The total magnetic moment of the target particle is m 0 = m + m . This procedure is used to calculate the results under both the chain model and the BCT model with uncorrected magnetic fields.
Now, the modified magnetic field can be calculated. Using the ψ 0 , ψ 0 , and m 0 , determined above, the corrected particle distribution coefficients (23) ψ and ψ are obtained, similar to the steps just above. It should be noted that Equation (25) established at this stage becomes
H app cos α 1 ψ β 2 + sin α 1 ψ β 2 = M s 3 β M s 1 sin α p χ ini 1 β .
A fitting term, 1 sin α p , is added to the right-hand side of Equation (27) When the external magnetic field is parallel to the particle chain ( α = 0 ° ), the fitting term has no effect. As α increases, the influence of the fitting term becomes more pronounced. We have checked that as the angle of the external uniform magnetic field α increases, the error predicted by the BCT model after correcting the magnetic field also increases. The purpose of adding the fitting term is to mitigate the increased error associated with larger α . By comparing the BCT model with various experimental data, the coefficient p was found to lie in the range 1.5 p 2.5 , with its value depending on the specific characteristics of the MRE sample. For predictions of the magnetization response of MRE samples using the BCT model, the parameter p can be taken as an intermediate value, i.e., p = 2 .
It is to be stressed that the fitting term was introduced as a mathematical correction to account for interactions between different particle chains rather than as a representation of a specific physical mechanism. Future studies may aim to develop a more fundamental understanding of these interaction mechanisms through advanced methods, potentially replacing the fitting term with physically derived parameters.
Here, we developed equations to solve for the contrast coefficient ( β ) of the target particle in various cases. The next step is to calculate the magnetization response of the MRE samples. Before defining the particle distribution coefficient, we assumed that the magnitude and orientation of the magnetic moments of all particles are identical. Under this assumption, the local magnetic fields, particle distribution coefficients, and contrast coefficients are the same for all particles. That is, these values are treated as constants in the subsequent calculations, and we assume they remain unchanged regardless of the specific target particle selected. In summary, by calculating the magnetic moment of the target particle, we essentially obtain the average value of all particles. On a macroscopic scale, the magnetic moment of an MRE sample is the sum of the magnetic moments of all the particles within it.
In the direction of the external magnetic field H app , the overall magnetization strength M w of the MRE sample is given by M w = m α / V w = ϕ m α / V , where m α represents the sum of the magnetic moments of all particles in the sample, V w denotes the overall volume of the sample, and V = 4 3 π R 3 refers to the volume of a particle. The term V represents the sum of the volumes of all particles in the sample. Based on Section 2.1, the magnetic moments of the particles are treated as constants and expressed in component form. This leads to the expression M w = 3 ϕ m α / ( 4 π R 3 ) = 3 ϕ m cos α + m sin α / ( 4 π R 3 ) . Combining this with the analysis above in this Section, the overall magnetization strength of the MRE sample reads
M w = 3 ϕ β cos 2 α 1 ψ β + 3 ϕ β sin 2 α 1 ψ β H app .
The effective susceptibility of MRE samples is defined as χ eff = M w / H app and reads
χ eff = 3 ϕ β cos 2 α 1 ψ β + 3 ϕ β sin 2 α 1 ψ β .

3. Results and Discussion

In this Section, the model proposed here is used to analyze the magnetic properties of both isotropic and anisotropic MREs by calculating the particle distribution coefficients.

3.1. Isotropic MREs Model

Isotropic MREs, with particles uniformly dispersed in the matrix, can be approximated as homogeneous materials. For such homogeneous materials, the demagnetization factor is typically used to calculate their magnetization response. When an isotropic MRE sample is located in an external homogeneous magnetic field, the internal magnetic field strength can be calculated from the sample demagnetization factor. The particles in the MRE are then magnetized under the internal magnetic field of the sample, and their magnetization are similarly calculated by the Fröhlich–Kennelly equation.
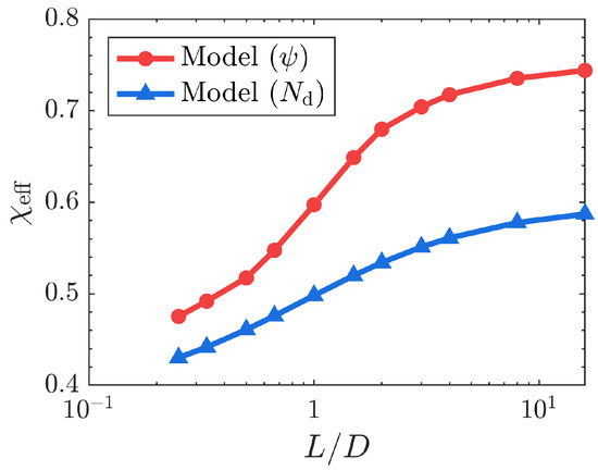
To validate the model proposed in this paper, the magnetization curves measurements from Ref. [31] are compared with the models, as shown in Figure 4a. It should be noted that the experimental results were originally reported in CGS (centimeter–gram-second) system of units and then been converted to standard SI (International System) units for consistency in comparison (similarly applied in Figures 6 and 7). Common conversion equations for translating values from the CGS system to the standard SI system include the following: 1 Oe = 1000 4 π A / m 79.58 A / m , 1 emu / cm 3 = 1000 A / m , and 1 Gauss = 10 4 T . In this study, the first two conversions are primarily used. Additionally, experimental measurements often report the magnetic moment per gram of sample (emu/g). To convert this to volumetric magnetization (emu/cm3), the measured specific magnetization should be multiplied by the density of the sample. The resulting value can then be converted to SI units using the formulae just above. The demagnetization factor N d = 0.6347 [32] and the particle distribution coefficient ψ = 0.3985 were calculated for the experimental sample, which has a particle volume fraction of approximately 35%, with a diameter of 4.65 mm and a height of 1.1 mm as a cylinder. In the simulations, we used χ ini = 200 and M s = 1671 kA / m . The value of M s is derived from the saturation magnetic induction of pure iron ( B s = 2.1 T ), while χ ini was selected within the typical range for pure iron to minimize model error.
The magnetization curves of two isotropic MREs were measured using a vibrating sample magnetometer (VSM) and compared with the predictions of two models. The magnetization curve of a compacted carbonyl iron powder sample was first measured using a VSM, as shown in Figure 4b. Based on the experimental data the model parameters were estimated: the initial susceptibility χ ini = 50 and the saturation magnetization strength M s = 1725 kA / m of the particle material. The corresponding comparative results are presented in Figure 4c. The demagnetization factor, N d = 0.4835 , is calculated based on the sample’s geometry. Using Equation (10), 1000 representative volume elements are extracted to compute the particle distribution coefficients, with the average value determined as ψ = 0.1818 . Given that the initial susceptibility and saturation magnetization strength of the particulate material were obtained in this Section just above, the prediction curves of the two models can be generated using the calculated values of N d and ψ . The corresponding comparative results are presented in Figure 4d. The demagnetization factor, N d = 0.4115 , and the particle distribution coefficient, ψ = 0.1246 , were calculated using the aforementioned method. Based on these values, the predicted results of the two models can also be obtained. The results demonstrate that the method proposed in this paper for calculating the particle distribution coefficient yields a smaller error compared to the approach based on the demagnetization factor.
The demagnetization factor is influenced by the shape of the sample, meaning that samples with different geometries exhibits different magnetization responses [33]. We calculated the particle distribution factor for orthorhombic isotropic MREs with varying height-to-width ratios and found that the particle distribution factor is also shape-dependent. The effective susceptibility of the sample, calculated using both models, is compared in Figure 5, where the applied magnetic field strength is H app = 100 kA / m . The results show that the effective susceptibility calculated using the demagnetization factor increases with the sample’s height-to-width ratio. This is because the demagnetization factor decreases for samples with larger height-to-width ratios, leading to a weaker internal demagnetization field. The results obtained by calculating the particle distribution factor exhibit a similar trend; however, the particle distribution factor is larger for samples with larger height-to-width ratios, indicating a stronger average local magnetic field within the particles. In summary, both models demonstrate that as the sample height-to-width ratio increases, the internal magnetic field of the sample becomes stronger.
From the analysis in this Section, one finds that treating isotropic MREs as homogeneous materials and calculating their magnetization response using the demagnetization factor introduces significant errors. In contrast, the magnetization curve computed using the model proposed in this paper exhibit considerably smaller discrepancies with experimental data and precisely predict the effective susceptibility trend in relation to sample shape. Therefore, we conclude that the model proposed in this paper is effective for isotropic MREs.

3.2. Anisotropic MREs Model

Reference [34] measured the magnetization curves of a cylindrical MRE sample, which has a particle volume fraction of 25%, with 9 mm in diameter and 10 mm in height. A unidirectional homogeneous magnetic field was applied during the curing process, leading to the formation of a chain-like particle structure. In the simulations, we used χ ini = 300 and M s = 1671 kA / m . The value of M s is derived from the saturation magnetic induction of pure iron, while χ ini was selected within the typical range for pure iron to minimize model error. Figure 6 presents the experimental data from Ref. [34] along with the magnetization curves calculated using the chain model and the BCT model; the latter includes both before- and after-the-magnetic-field corrections. In the calculations, the magnetic field orientation is parallel to the particle chain. It can be observed that the BCT model, after correcting the magnetic field, accurately predicts the magnetization strength of anisotropic MREs. In contrast, both the chain model and the BCT model without magnetic field correction exhibit significant discrepancies when compared to the experimental data.
Further analysis reveals that the magnetic field produced by particles within the same chain enhances the local magnetic field; in contrast, the magnetic field produced by particles in other chains reduces the local magnetic field. The chain model neglects the interactions between different particle chains in MREs, leading to an overestimation of the local magnetic field. As a result, the magnetization strength predicted by the chain model is significantly higher than the experimental value when the applied magnetic field ( H app ) ranges from 100 kA / m to 500 kA / m . The BCT model, with an uncorrected magnetic field, considers both the shape of the sample and the particle interactions within the same chain, as well as between different chains. That is, the magnetization strength calculated by the BCT model is always lower than that predicted by the chain model. However, since the BCT model has not accounted for errors arising from the dipole theory, its predicted magnetization strength is significantly lower than the experimental value when H app is below 400 kA / m .
Overall, the BCT model, when applied with the modified magnetic field, provides the most accurate predictions. Therefore, we proceed using the modified BCT model to further analyze the magnetization response of anisotropic MREs.

3.3. Direction of External Magnetic Field

In Ref. [35], the magnetization curves of anisotropic MREs were measured at various angles of the external magnetic field. The samples were cylindrical in shape, with a particle volume fraction of 22%. In the simulations, we used χ ini = 400 and M s = 1715 kA / m . The value of M s was calculated based on the saturation magnetization and the particle volume fraction of the MRE, while χ ini was selected within the typical range of initial susceptibility for pure iron to minimize model error. Figure 7 presents compares the magnetization curves predicted by the BCT model with the experimental data from Ref. [35]. It can be observed that the BCT model accurately predicts the magnetization behavior of anisotropic MREs under different orientations of the external magnetic field.
Figure 8 illustrates the effect of the external magnetic field direction on the magnetization strength of the anisotropic MRE, as shown in Figure 7. The magnetization strength of the MRE decreases as the angle of the external magnetic field increases. When comparing the magnetization strengths of MREs at different external magnetic field magnitudes, the difference in magnetization at varying external magnetic field directions diminishes as the external magnetic field strength increases. At H app = 200 kA / m , the magnetization strength of the MRE decreases by 27% when the applied magnetic field is perpendicular to the particle chain compared to when it is parallel, while the magnetization strength decreases by 12% and 5% at H app = 400 kA / m and 600 kA / m , respectively. This is due to the finding that the magnetization strength of the MRE does not significantly change with the angle of the external magnetic field at higher strengths as the internal particles of the MRE are close to magnetization saturation regardless of the external magnetic field direction.

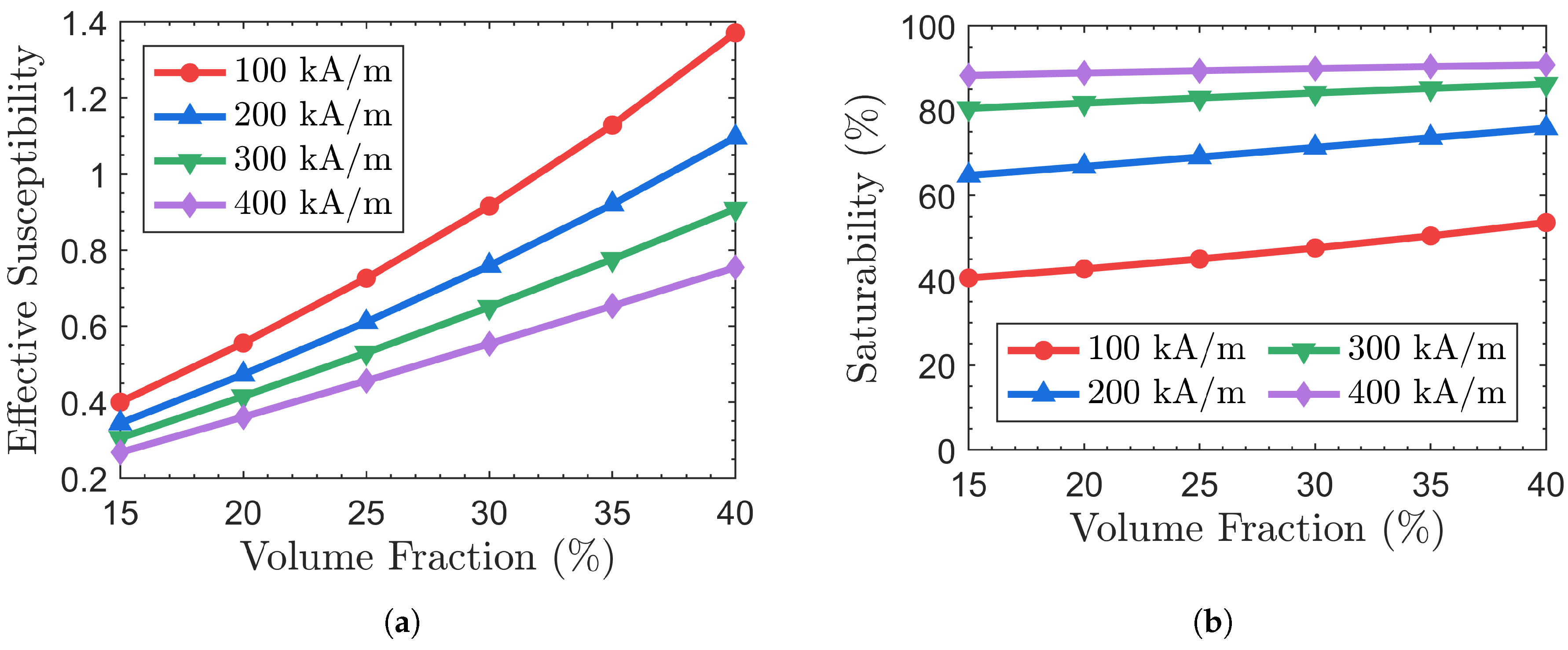
3.4. Particle Volume Fraction

From the analysis done so far, one finds that the particle volume fraction alters the distances among different particle chains in the BCT structure, which significantly influences the magnetization properties of anisotropic MREs. 15% As noted in Section 1, when the particle volume fraction exceeds 15%, the particles form a BCT structure, making the results calculated using the BCT model accurate. The effective susceptibility and the degree of particle magnetization saturation of MREs with varying particle volume fractions, i.e., M particle / M s , are calculated using the BCT model, as shown in Figure 9, assuming the applied magnetic field direction aligns with the particle chain and all the sample shapes are cubes. In Figure 9a, the effective susceptibility of the MREs increases as the particle volume fraction rises. The growth rate of the effective susceptibility remains almost constant when H app = 400 kA / m , while it increases with the particle volume fraction when H app < 400 kA / m . From Figure 9b, it can be seen that when H app = 400 kA / m , the MRE is near saturation. The degree of particle magnetization saturation varies less with changes in volume fraction of particles. The growth of the effective susceptibility with particle volume fraction is attributed to the increase in the number of particles in the sample, making the effective susceptibility approximately proportional to the particle volume fraction. However, when H app < 400 kA / m , the degree of particle magnetization saturation increases significantly with increasing particle volume fraction. The growth rate of the effective susceptibility with the particle volume fraction results partly from the growth in the quantity of particles in the sample, and partly from the growth in the degree of magnetization saturation of the particles. That is, the growth rate of the effective susceptibility becomes larger with increasing particle volume fraction.

3.5. Shape of Samples

In Section 2.5 above, when studying anisotropic MREs, it was observed that the particle distribution coefficients and magnetization response vary with sample shape. In the BCT model, the sample shape determines the representative volume element used for calculations. Therefore, let us now investigate the effect of sample shape on the magnetization response of anisotropic MREs. As discussed in Section 3.3 above, the direction of the external magnetic field influences the magnetization strength of MREs. Here, we examine the cases where the external magnetic field is parallel and vertical to the particle chain orientation.
Figure 10a shows the effective susceptibility of quadrilateral and cylindrical samples with different height-to-width ratios here, the width is considered the cross-section area, a particle volume fraction of 20%, and an external magnetic field of H app = 350 kA / m . The external magnetic field is aligned with the sample height, and within the sample, it is parallel to the particle chain. For comparison, the magnetization response of a quadrilateral sample is calculated, followed by the corresponding cylindrical sample, ensuring equal cross-sectional areas and heights. The effective susceptibility increases slightly with the height-to-width ratio, with a 2% decrease in Figure 10a, suggesting that sample shape has little effect on the magnetization response when the applied magnetic field aligns with the particle chain. Particle interactions within the same chain dominate, and interactions between chains are weaker, causing minimal variation in effective susceptibility with height-to-width ratio.
Figure 10b shows the effective susceptibility of quadrilateral and cylindrical samples with varying height-to-width ratios. Similar to that shown Figure 10a, the external magnetic field direction is aligned with the sample height, but, unlike that in Figure 10a, inside the sample, the external magnetic field is considered perpendicular to the particle chain. The effective susceptibility of anisotropic MREs increases significantly with the height-to-width ratio, with the minimum value decreasing by 29% compared to the maximum value in Figure 10b. This pattern implies that of isotropic MREs, where samples with larger height-to-width ratios have higher particle distribution coefficients and internal magnetic fields. For anisotropic MREs, this can also be understood through the demagnetization field. Samples with larger height-to-width ratios have smaller demagnetization factors, producing weaker demagnetization fields, stronger internal magnetic fields, and higher effective susceptibility. When the orientation of the magnetic field is perpendicular, particle interactions within the chain weaken, and the influence of different chains becomes more significant. This shows that sample shape is a key factor influencing the magnetization response when the magnetic field is perpendicular to the particle chain. Notably, the difference in effective susceptibility between the corresponding quadrilateral and cylindrical samples is minimal, with both Figure 10a,b demonstarting similar trends in magnetization relative to height-to-width ratio.
As seen from Figure 10b, the difference in effective susceptibility between the two shapes is largest when the height-to-width ratio of the quadrilateral sample is 0.67. For height-to-width ratios greater than 0.67, the difference decreases and eventually becomes negligible. The BCT model accounts for the effects of particles within the same chain and those in other chains. The difference between the quadrangular and cylindrical samples lies in the particle distribution near the sample sides. For height-to-width ratios greater than 0.67, the smaller sample cross-section reduces the number of particles along the sides, diminishing these particles’ impact of the sample shape on the local magnetic field. This leads to a smaller difference in particle distribution coefficients, causing the effective susceptibilities of the two shapes to converge.
When the height-to-width ratio is less than 0.67, the difference in effective susceptibility between the two sample shapes also decreases. Although decreasing the height-to-width ratio increases the cross-sectional area and the number of differently distributed particles, these particles are farther from the target particle and exert a smaller influence on the local magnetic field, also reducing the difference in effective susceptibility between the two shapes.

4. Conclusions

In this paper, the magnetization response of MREs is investigated based on their microstructure. The local magnetic field is calculated using dipole theory, and the particle distribution coefficient is defined. A magnetic field correction is applied to the dipolar interaction for closely spaced particles. The contrast coefficients are then determined in conjunction with the Fröhlich–Kennelly equation, leading to the determination of the magnetization and effective susceptibility of the MRE material as a whole. For the BCT structure formed by particles in anisotropic MREs, a BCT model is developed using the particle distribution coefficient. This model is validated against existing experimental data, demonstrating its reliability in predicting the magnetization response of MREs under varying magnetic field directions. Finally, the effects of magnetic field direction, particle volume fraction, and sample shape on the magnetization response of MREs are systematically investigated through the BCT model.
The magnetic field correction formula used in this paper is derived by fitting finite element analysis results to the magnetic field distribution of a particle chain. Additionally, the magnetic field interactions between neighboring particles can be accurately calculated through the development of a new theory of magnetism. For modeling simplicity, the model proposed in this paper is limited to monodisperse MREs, for which all particles are of an uniform size. Extending the model from monodisperse to polydisperse MREs represents an essential direction for future investigation. In polydisperse MREs, particles vary in size and shape, and the spatial arrangement of multiple particles remains largely unknown. Therefore, extending the proposed model to polydisperse MREs is not yet feasible and requires further theoretical and experimental investigation.

Author Contributions

Conceptualization, H.L. and X.P.; methodology, K.J., H.X., and H.L.; software, K.J.; validation, K.J.; formal analysis, K.J. and H.L.; investigation, K.J. and H.L.; resources, H.L.; data curation, K.J.; writing—original draft preparation, K.J.; writing—review and editing, H.L. and X.P.; supervision, H.L. and X.P.; project administration, H.L.; funding acquisition, H.L. All authors have read and agreed to the published version of the manuscript.

Funding

This research was funded by the National Natural Science Foundation of China (Grant No. 11872014); the Chongqing Science and Technology Commission, China (Grant No. cstc2020jcyj-msxmX0883); the Natural Science Foundation of Jiangsu Province (Grant No. BK20220918); Scientific and Technological Project of Yunnan Precious Metals Laboratory (No: YPML-2023050253) and the Fundamental Research Funds for the Central Universities (Grant No. 30924010205).

Data Availability Statement

The original contributions presented in this study are included in the article. Further inquiries can be directed to the corresponding authors.

Conflicts of Interest

The authors declare no conflicts of interest.

References

  1. de Vicente, J.; Klingenberg, D.J.; Hidalgo-Alvarez, R. Magnetorheological fluids: A review. Soft Matter 2011, 7, 3701–3710. [Google Scholar] [CrossRef]
  2. Ubaidillah.; Sutrisno, J.; Purwanto, A.; Mazlan, S.A. Recent progress on magnetorheological solids: Materials, fabrication, testing, and applications. Adv. Eng. Mater. 2015, 17, 563–597. [Google Scholar] [CrossRef]
  3. Kang, S.S.; Choi, K.; Nam, J.; Choi, H.J. Magnetorheological elastomers: Fabrication, characteristics, and applications. Materials 2020, 13, 4597. [Google Scholar] [CrossRef] [PubMed]
  4. Morillas, J.R.; de Vicente, J. Magnetorheology: A review. Soft Matter 2020, 16, 9614–9642. [Google Scholar] [CrossRef]
  5. Saber, A.; Sedaghati, R. The modeling of magnetorheological elastomers: A state-of-the-art review. Adv. Eng. Mater. 2023, 25. [Google Scholar] [CrossRef]
  6. Skalski, P.; Kalita, K. Role of magnetorheological fluids and elastomers in today’s world. Acta Mech. Autom. 2017, 11, 267–274. [Google Scholar] [CrossRef]
  7. Kiarie, W.M.; Barron, E.J.; Baghel, A.P.S.; Nlebedim, I.C.; Bartlett, M.D.; Jiles, D.C. Modeling of magnetic properties of magnetorheological elastomers using JA hysteresis model. IEEE Trans. Magn. 2021, 57, 2500605. [Google Scholar] [CrossRef]
  8. Lamb, W.; Wood, D.M.; Ashcroft, N.W. Long-wavelength electromagnetic propagation in heterogenous media. Phys. Rev. B 1980, 21, 2248–2266. [Google Scholar] [CrossRef]
  9. Garnett, J.C.M. Colours in metal glasses and in metallic films. Phil. Trans. R. Soc. Lond. A Math. Phys. Engin. Sci. 1904, 203, 385–420. [Google Scholar] [CrossRef]
  10. Landauer, R. Electrical conductivity in inhomogeneous media. AIP Conf. Proc. 1978, 40, 2–45. [Google Scholar] [CrossRef]
  11. Bruggeman, D.A.G. Dielectricity constants and conductivity of mixed bodies from isotropic substances. Ann. Phys. Berl. 1935, 24, 636–664. [Google Scholar] [CrossRef]
  12. Skjeltorp, A.T. Ordering phenomena of particles dispersed in magnetic fluids. J. Appl. Phys. 1985, 57, 3285–3290. [Google Scholar] [CrossRef]
  13. Popplewell, J.; Rosensweig, R.E. Magnetorheological fluid composites. J. Phys. D 1996, 29, 2297–2303. [Google Scholar] [CrossRef]
  14. Furst, E.M.; Gast, A.P. Micromechanics of magnetorheological suspensions. Phys. Rev. E 2000, 61, 6732–6739. [Google Scholar] [CrossRef]
  15. Jolly, M.R.; Carlson, J.D.; Munoz, B.C. A model of the behaviour of magnetorheological materials. Smart Mater. Struct. 1996, 5, 607–614. [Google Scholar] [CrossRef]
  16. Simon, T.M.; Ito, K.; Banksa, H.T.; Reitich, F.; Jolly, M.R. Estimation of the effective permeability in magnetorheological fluids. J. Intell. Mater. Syst. Struct. 1999, 10, 872–879. [Google Scholar] [CrossRef]
  17. Martin, J.E.; Venturini, E.; Odinek, J.; Anderson, R.A. Anisotropic magnetism in field-structured composites. Phys. Rev. E 2000, 61, 2818–2830. [Google Scholar] [CrossRef]
  18. Shkel, Y.M.; Klingenberg, D.J. Magnetorheology and magnetostriction of isolated chains of nonlinear magnetizable spheres. J. Rheol. 2001, 45, 351–368. [Google Scholar] [CrossRef]
  19. Yin, H.M.; Sun, L.Z. Effective magnetic permeability of composites containing chain-structured particles. Acta Mater. 2006, 54, 2317–2323. [Google Scholar] [CrossRef]
  20. Zhang, H.Y.; Wang, X.Z. Estimation of effective permeability for magnetoactive composites containing multi-chain-structured particles based on the generalized Mori-Tanaka approach. Smart Mater. Struct. 2014, 23, 045009. [Google Scholar] [CrossRef]
  21. Nadzharyan, T.A.; Shamonin, M.; Kramarenko, E.Y. Theoretical modeling of magnetoactive elastomers on different scales: A state-of-the-art review. Polymers 2022, 14, 4096. [Google Scholar] [CrossRef] [PubMed]
  22. Biller, A.M.; Stolbov, O.V.; Raikher, Y.L. Modeling of particle interactions in magnetorheological elastomers. J. Appl. Phys. 2014, 116, 114904. [Google Scholar] [CrossRef]
  23. Yaremchuk, D.; Toshchevikov, V.; Ilnytskyi, J.; Saphiannikova, M. Magnetic energy and a shape factor of magneto-sensitive elastomer beyond the point dipole approximation. J. Magn. Magn. Mater. 2020, 513, 167069. [Google Scholar] [CrossRef]
  24. Zhou, L.; Wen, W.J.; Sheng, P. Ground states of magnetorheological fluids. Phys. Rev. Lett. 1998, 81, 1509–1512. [Google Scholar] [CrossRef]
  25. Tao, R.; Jiang, Q. Structural transitions of an electrorheological and magnetorheological fluid. Phys. Rev. E 1998, 57, 5761–5765. [Google Scholar] [CrossRef]
  26. Genç, S.; Phulé, P. Rheological properties of magnetorheological fluids. Smart Mater. Struct. 2002, 11, 140–146. [Google Scholar] [CrossRef]
  27. Lokander, M.; Stenberg, B. Performance of isotropic magnetorheological rubber materials. Polym. Test 2003, 22, 245–251. [Google Scholar] [CrossRef]
  28. Martin, J.E.; Anderson, R.A.; Read, D.; Gulley, G. Magnetostriction of field-structured magnetoelastomers. Phys. Rev. E 2006, 74, 051507. [Google Scholar] [CrossRef]
  29. Bossis, G.; Abbo, C.; Cutillas, S.; Lācis, S. Electroactive and electrostructured elastomers. Int. J. Mod. Phys. B 2001, 15, 564–573. [Google Scholar] [CrossRef]
  30. Lee, C.H.; Reitich, F.; Jolly, M.R.; Banks, H.T. Piecewise linear model for field-responsive fluids. IEEE Trans. Magn. 2001, 37, 558–560. [Google Scholar] [CrossRef]
  31. Borin, D.; Vaganov, M.; Odenbach, S. Magnetic training of the soft magnetorheological elastomers. J. Magn. Magn. Mater. 2024, 589, 171499. [Google Scholar] [CrossRef]
  32. Chen, D.X.; Pardo, E.; Sanchez, A. Fluxmetric and magnetometric demagnetizing factors for cylinders. J. Magn. Magn. Mater. 2006, 306, 135–146. [Google Scholar] [CrossRef]
  33. Aharoni, A. Demagnetizing factors for rectangular ferromagnetic prisms. J. Appl. Phys. 1998, 83, 3432–3434. [Google Scholar] [CrossRef]
  34. Danas, K.; Kankanala, S.V.; Triantafyllidis, N. Experiments and modeling of iron-particle-filled magnetorheological elastomers. J. Mech. Phys. Solids 2012, 60, 120–138. [Google Scholar] [CrossRef]
  35. Bodnaruk, A.V.; Brunhuber, A.; Kalita, V.M.; Kulyk, M.M.; Kurzweil, P.; Snarskii, A.A.; Lozenko, A.F.; Ryabchenko, S.M.; Shamonin, M. Magnetic anisotropy in magnetoactive elastomers, enabled by matrix elasticity. Polymer 2019, 162, 63–72. [Google Scholar] [CrossRef]
Figure 1. Schematic diagram of the relative position among particles.
Figure 1. Schematic diagram of the relative position among particles.
Physics 07 00021 g001
Figure 2. Comparison of the results of dipole of theory calculation and finite element simulation. See text for details.
Figure 2. Comparison of the results of dipole of theory calculation and finite element simulation. See text for details.
Physics 07 00021 g002
Figure 3. Body-centered tetragonal (BCT) lattice structure.
Figure 3. Body-centered tetragonal (BCT) lattice structure.
Physics 07 00021 g003
Figure 4. Magnetization curves for (a) an isotropic magnetorheological elastomer (MRE), (b) carbonyl iron powders (CIPs), (c) sample A (a rectangular MRE of a particle volume fraction of approximately 31% and dimensions of 3.85 mm , 3.82 mm , and 2.02 mm ) and (d) sample B (a rectangular MRE of a particle volume fraction of approximately 41% and dimensions of 3.94 mm , 3.78 mm , and 2.75 mm ). The “ Model ( N d ) ” denotes the model by calculating demagnetization factors N d , and the “ Model ψ ” denotes the model by calculating particle distribution coefficients ψ (see text for details). The experimental data (“Experiment”) are taken from Ref. [31].
Figure 4. Magnetization curves for (a) an isotropic magnetorheological elastomer (MRE), (b) carbonyl iron powders (CIPs), (c) sample A (a rectangular MRE of a particle volume fraction of approximately 31% and dimensions of 3.85 mm , 3.82 mm , and 2.02 mm ) and (d) sample B (a rectangular MRE of a particle volume fraction of approximately 41% and dimensions of 3.94 mm , 3.78 mm , and 2.75 mm ). The “ Model ( N d ) ” denotes the model by calculating demagnetization factors N d , and the “ Model ψ ” denotes the model by calculating particle distribution coefficients ψ (see text for details). The experimental data (“Experiment”) are taken from Ref. [31].
Physics 07 00021 g004
Figure 5. Model predictions of the effective susceptibility of isotropic MREs as a function of sample shape (height-to-width ratio).
Figure 5. Model predictions of the effective susceptibility of isotropic MREs as a function of sample shape (height-to-width ratio).
Physics 07 00021 g005
Figure 6. Comparison of the model predictions with the measurements (“Experiment”) [34] of the magnetization curves of an anisotropic MRE, where the direction of the external magnetic field is oriented along the particle chain. See text for details.
Figure 6. Comparison of the model predictions with the measurements (“Experiment”) [34] of the magnetization curves of an anisotropic MRE, where the direction of the external magnetic field is oriented along the particle chain. See text for details.
Physics 07 00021 g006
Figure 7. Comparison of the BCT model predictions with the measurements (“Expt”) [35] of the magnetization of an anisotropic MRE with different external magnetic field directions, as indicated.
Figure 7. Comparison of the BCT model predictions with the measurements (“Expt”) [35] of the magnetization of an anisotropic MRE with different external magnetic field directions, as indicated.
Physics 07 00021 g007
Figure 8. BCT model predictions of an anisotropic MRE versus external magnetic field direction for different external magnetic field strength, as indicated.
Figure 8. BCT model predictions of an anisotropic MRE versus external magnetic field direction for different external magnetic field strength, as indicated.
Physics 07 00021 g008
Figure 9. BCT model predictions of anisotropic MREs’ (a) effective susceptibility and (b) particle magnetization saturability versus particle volume fraction for different valuse of the external magnetic field strengthes when the direction of the external magnetic field is parallel to the particle chain.
Figure 9. BCT model predictions of anisotropic MREs’ (a) effective susceptibility and (b) particle magnetization saturability versus particle volume fraction for different valuse of the external magnetic field strengthes when the direction of the external magnetic field is parallel to the particle chain.
Physics 07 00021 g009
Figure 10. BCT model predictions for the effective susceptibility of anisotropic MREs as a function of sample shape (height-to-width ratio, with the cross-section S condidered for the width), when the direction of the external magnetic field of 350 kA/m is (a) parallel and (b) perpendicular to the particle chain. The "Difference" shows the difference between the effective susceptibilities for the two shapes.
Figure 10. BCT model predictions for the effective susceptibility of anisotropic MREs as a function of sample shape (height-to-width ratio, with the cross-section S condidered for the width), when the direction of the external magnetic field of 350 kA/m is (a) parallel and (b) perpendicular to the particle chain. The "Difference" shows the difference between the effective susceptibilities for the two shapes.
Physics 07 00021 g010
Disclaimer/Publisher’s Note: The statements, opinions and data contained in all publications are solely those of the individual author(s) and contributor(s) and not of MDPI and/or the editor(s). MDPI and/or the editor(s) disclaim responsibility for any injury to people or property resulting from any ideas, methods, instructions or products referred to in the content.

Share and Cite

MDPI and ACS Style

Jing, K.; Li, H.; Xiang, H.; Peng, X. A New Model to Describe the Effective Magnetic Properties of Magnetorheological Elastomers. Physics 2025, 7, 21. https://doi.org/10.3390/physics7020021

AMA Style

Jing K, Li H, Xiang H, Peng X. A New Model to Describe the Effective Magnetic Properties of Magnetorheological Elastomers. Physics. 2025; 7(2):21. https://doi.org/10.3390/physics7020021

Chicago/Turabian Style

Jing, Kewen, Haitao Li, Henggao Xiang, and Xianghe Peng. 2025. "A New Model to Describe the Effective Magnetic Properties of Magnetorheological Elastomers" Physics 7, no. 2: 21. https://doi.org/10.3390/physics7020021

APA Style

Jing, K., Li, H., Xiang, H., & Peng, X. (2025). A New Model to Describe the Effective Magnetic Properties of Magnetorheological Elastomers. Physics, 7(2), 21. https://doi.org/10.3390/physics7020021

Article Metrics

Back to TopTop