- Article
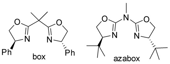
Bis- and Azabis(oxazoline)–Copper–Tungstophosphate Immobilized on Mesoporous Silica: Preparation and Use as Catalyst in Enantioselective Cyclopropanation
- Daniela S. Mansilla,
- Luis R. Pizzio,
- José A. Mayoral,
- José M. Fraile and
- M. Rosario Torviso
Tungstophosphoric acid (TPA) has been supported on mesoporous silicas prepared using urea as the pore forming agent. The amount of urea (20, 30, or 40% w/w) influences the silica specific surface area (SBET), total pore volume (Vp), and average pore...

