Importance of the CuAAC Reaction in the Synthesis of Platinum Complexes with 1,4-Disubstituted-1H-1,2,3-triazoles: A Review of Their Anticancer Activity
Abstract
1. Introduction
2. 1H-1,2,3-Triazoles and CuACC Reaction
3. Anticancer Activity of Platinum Complexes Obtained by the CuAAC Reaction
3.1. Hybrid Molecules
3.2. Platinum(IV) Prodrugs
3.3. Complexes with DIPP and MMC Ligands
3.4. G4 Guanine Quadruplex Stabilisers
3.5. Conjugated Anticancer and Antibacterial Activity
3.6. Organoplatinum Complexes
3.7. Phenanthroimidazole Complexes
3.8. Prodrugs Linked to Biomolecules
3.9. Steroid-Based Complexes
3.10. Sugar-Based Complexes
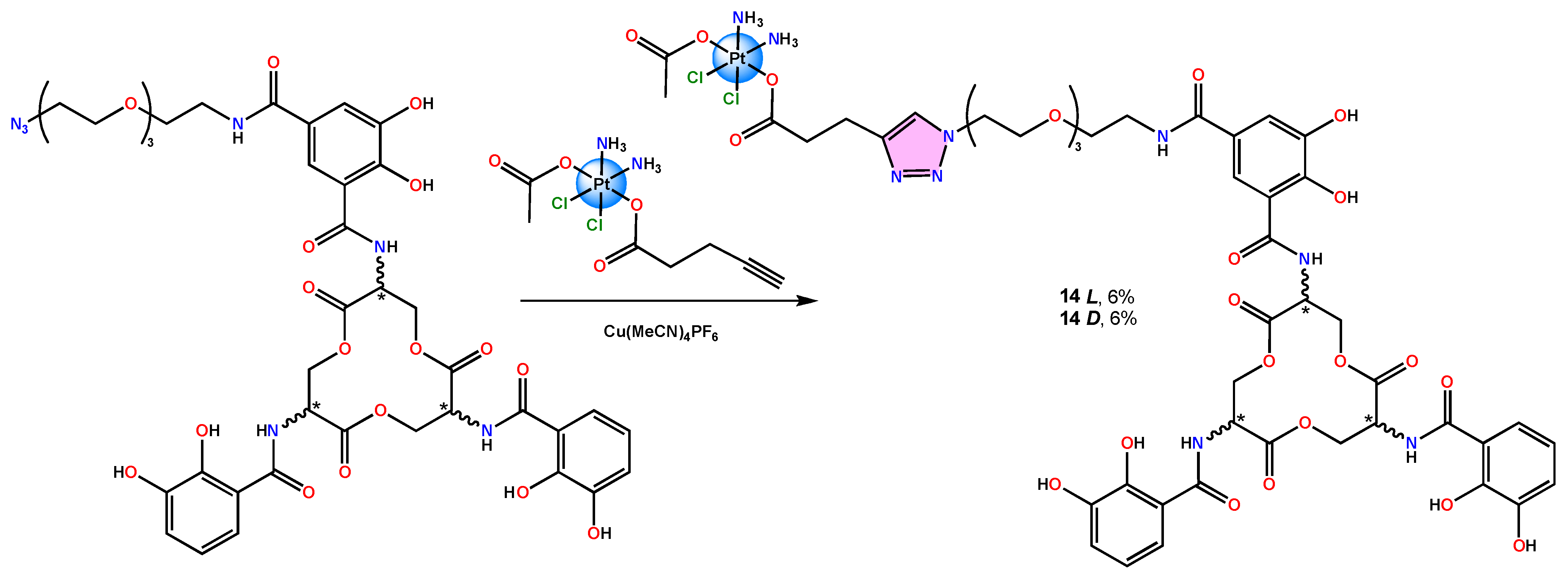
3.11. Ultrashort Peptide Complexes
3.12. Gadolinium(III) and Platinum(II) Complexes
3.13. N-Alkylaminoferrocene Based Complexes
3.14. Covalently Bonded Complexes to MNPs
3.15. All-Trans Retinoic Acid Complexes
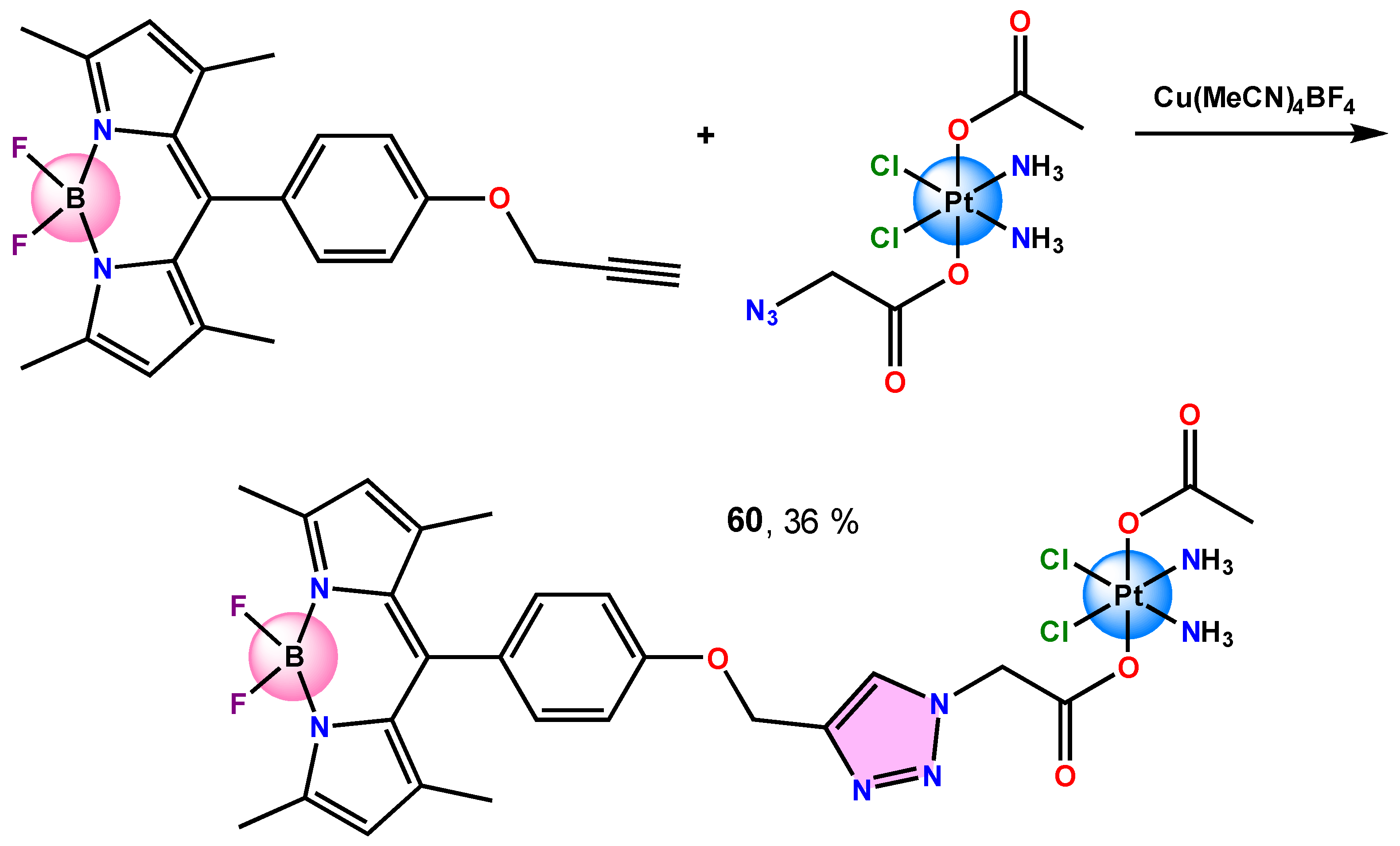
3.16. Bodiplatin-Based Complexes
3.17. Platinum(IV) Polypro-Drugs
3.18. Platinum(IV) Dendritic Pro-Drugs
3.19. Rotaxane-Based Complexes
4. Conclusions
Author Contributions
Funding
Data Availability Statement
Acknowledgments
Conflicts of Interest
Abbreviations
| AmFc | N-alkylaminoferrocene |
| APH | Acid phosphatase |
| ATRA | All-trans retinoic acid |
| Asp | Aspirin |
| A172 | Human glioblastoma cell line |
| A431 | Human epidermoid carcinoma cell line |
| A549 | Human lung adenocarcinoma cell line |
| A2780 | Human ovarian carcinoma cell line |
| A2870cis | Cisplatin-resistant human ovarian carcinoma cell line |
| A2780/CP70 | Cisplatin-resistant human ovarian carcinoma cell line |
| BEAS-2B-CM | Healthy human lung bronchial epithelium cell line |
| BEL7404 | Human hepatocellular carcinoma cell line |
| CARBO | Carboplatin |
| CFT073 | Escherichia coli strain |
| CIS | Cisplatin |
| COPB | N-carbonyloxymethylphenylboronic acid |
| Cp* | Pentamethylcyclopentadienyl |
| CP70 | Human ovarian cancer cell line |
| CRC | Advanced colorectal cancer |
| cRGD | Arginine-glycine-aspartic acid peptide |
| CuAAC | Copper-catalyzed azide-alkyne cycloaddition reactions |
| DACH | (1R,2R)-1,2-cyclohexanediamine |
| DCA | Dichloroacetate |
| DIPP | 2,6-Diisopropylphenyl substituent |
| DEVD | Aspartic acid-glutamic acid-valine-aspartic acid peptide |
| DLC | Delocalized lipophilic cations |
| DOX | Doxorubicin |
| DMC | Desmethylcantharidin |
| dmphen | 2,9-dimethyl-1,10-phenanthroline |
| DMSO | Dimethylsulfoxide |
| DU145 | Human prostate carcinoma cell line |
| EC50 | Drug concentration required for a maximum effect of 50% |
| Ent | Enterobactin |
| ER+ | Presence of estrogen receptor |
| ER− | Absence of estrogen receptor |
| ES2 | Fibroblast-like cell line |
| GaMG | Human glioblastoma brain cancer cell line |
| GMP | Guanosine monophosphate |
| GSH | Glutation |
| HaCaT | Human keratinocyte cell line |
| HCT15 | Human colorectal adenocarcinoma cell line |
| HDF | Human dermal fibroblast cell line |
| HDFa | Primary human dermal fibroblast cell line |
| HEK293 | Human embryonic kidney cell line |
| HEK293T | Human embryonic kidney cell line |
| HeLa | Human cervical adenocarcinoma cell line |
| HepG2 | Human hepatocellular carcinoma cell line |
| HL7702 | Normal human liver cell line |
| HT-FID | High-throughput fluorescent intercalator displacement |
| HT29 | Human colorectal adenocarcinoma cell line |
| HT29/Oxa | Oxaliplatin-resistant human colorectal adenocarcinoma cell line |
| H9C2 | Rat cardiomyoblast cell line |
| IC50 | Drug concentration required for 50% inhibition |
| IGROV-1 | Human ovarian carcinoma cell line |
| KD | Dissociation constant |
| K12 | Escherichia coli strain |
| LO2 | Human fetal hepatocyte cell line |
| MCF7 | Human breast adenocarcinoma cell line |
| MDA-MB-231 | Human triple-negative breast adenocarcinoma cell line |
| Mel-RM | Human melanoma cancer cell line |
| MG63 | Human fibroblast osteosarcoma cell line |
| MNP | Magnetic nanoparticle |
| MMC | 7-Methoxy-4-methylcoumarin |
| MTT | 3-(4,5-Dimethyl-2-thiazolyl)-2,5-diphenyl-2H-tetrazolium bromide |
| MTS | 3-(4,5-Dimethylthiazol-2-yl)-5-(3-carboxymethoxyphenyl)-2-(4-sulfophenyl)-2H-tetrazolium |
| NAAF | N-alkylaminoferrocene |
| NAAF+ | N-alkylaminoferrocenium |
| NHDF | Normal human dermal fibroblasts |
| NP | Nanoparticle |
| OV90 | Human epithelial ovarian cancer cell line |
| p-AKT | Serine-threonine protein kinase-phosphorylated |
| PBS | Phosphate buffered saline |
| PDT | Photodynamic therapy |
| PEG | Polyethylene glycol |
| PLA | Polylactide |
| PLGA | Poly(lactide-co-glycolide) |
| PTT | Photothermal therapy |
| PP2A | Protein phosphatase 2A |
| PVA | Polyvinyl alcohol |
| RAW 264.7 | Murine macrophage cell line |
| RI | Resistance index |
| RuAAC | Ruthenium-catalyzed azide-alkyne cycloaddition reactions |
| MRI | Magnetic resonance imaging |
| OXA | Oxaliplatin |
| RNasa A | Ribonuclease A |
| ROS | Reactive oxygen species |
| SI | Selectivity index |
| SKOV3 | Human ovarian adenocarcinoma cell line |
| SV40 | Simian vacuolating virus 40 |
| SW480 | Human colorectal carcinoma cell line |
| TNBC | Triple-negative breast cancer cell line |
| TOV21G | Novel epithelial ovarian cancer cell line |
| TPE | Tetraphenylene fluorophore |
| TPS | Tetraphenylsilole fluorophore |
| U2OS | Human bone osteosarcoma epithelial cells |
| U14 | Murine cervical carcinoma cells |
| U87-MG | Human brain glioblastoma cell line |
| Va13 | Human lung fibroblast cell line |
| 4T1 | Mammary carcinoma cell line |
| 2008 | Human ovarian cancer cell line |
| 2870/CI16 | Cisplatin-resistant human ovarian carcinoma cell line |
References
- Zhang, Q.; Zhang, X.; Xie, P.; Zhang, W. Liquid biopsy: An arsenal for tumour screening and early diagnosis. Cancer Treat. Rev. 2024, 129, 102774. [Google Scholar] [CrossRef]
- Brown, J.S.; Amend, S.R.; Austin, R.H.; Gatenby, R.A.; Hammarlund, E.U.; Pienta, K.J. Updating the Definition of Cancer. Mol. Cancer Res. 2023, 21, 1142–1147. [Google Scholar] [CrossRef]
- Upadhyay, A. Cancer: An unknown territory; rethinking before going ahead. Genes Dis. 2020, 8, 655–661. [Google Scholar] [CrossRef]
- Siegel, R.L.; Miller, K.D.; Fuchs, H.E.; Jemal, A. Cancer statistics, 2022. CA Cancer J. Clin. 2022, 72, 7–33. [Google Scholar] [CrossRef]
- Matulonis, U.A.; Sood, A.K.; Fallowfield, L.; Howitt, B.E.; Sehouli, J.; Karlan, B.Y. Ovarian cancer. Nat. Rev. Dis. Primers 2016, 2, 16061. [Google Scholar] [CrossRef]
- Salas-Benito, D.; Pérez-Gracia, J.L.; Ponz-Sarvisé, M.; Rodriguez-Ruiz, M.E.; Martínez-Forero, I.; Castañon, E.; López-Picazo, J.M.; Sanmamed, M.F.; Melero, I. Paradigms on Immunotherapy Combinations with Chemotherapy. Cancer Discov. 2021, 11, 1353–1367. [Google Scholar] [CrossRef]
- Bukowski, K.; Kciuk, M.; Kontek, R. Mechanisms of Multidrug Resistance in Cancer Chemotherapy. Int. J. Mol. Sci. 2020, 21, 3233. [Google Scholar] [CrossRef]
- Wei, G.; Wang, Y.; Yang, G.; Wang, Y.; Ju, R. Recent progress in nanomedicine for enhanced cancer chemotherapy. Theranostics 2021, 11, 6370–6392. [Google Scholar] [CrossRef]
- Pan, S.-T.; Li, Z.-L.; He, Z.-X.; Qiu, J.-X.; Zhou, S.-F. Molecular mechanisms for tumour resistance to chemotherapy. Clin. Exp. Pharmacol. Physiol. 2016, 43, 723–737. [Google Scholar] [CrossRef]
- Zajączkowska, R.; Kocot-Kępska, M.; Leppert, W.; Wrzosek, A.; Mika, J.; Wordliczek, J. Mechanisms of Chemotherapy-Induced Peripheral Neuropathy. Int. J. Mol. Sci. 2019, 20, 1451. [Google Scholar] [CrossRef]
- Adhikari, S.; Nath, P.; Das, A.; Datta, A.; Baildya, N.; Duttaroy, A.K.; Pathak, S. A review on metal complexes and its anti-cancer activities: Recent updates from in vivo studies. Biomed. Pharmacother. 2024, 171, 116211. [Google Scholar] [CrossRef]
- Jin, Z.; Liu, Z.-X.; Peng, F.-K.; Zhang, W.-J.; Wei, M.-L.; Zeng, H.-Y. Progress in the study of reproductive toxicity platinum-based antitumor drugs and their means of prevention. Front. Pharmacol. 2024, 15, 1327502. [Google Scholar] [CrossRef]
- Kopacz-Bednarska, A.; Król, T. Selected platinum complexes in standard and modern anti-cancer therapies. Nowotwory 2022, 72, 96–105. [Google Scholar] [CrossRef]
- Giorgi, E.; Binacchi, F.; Marotta, C.; Cirri, D.; Gabbiani, C.; Pratesi, A. Highlights of New Strategies to Increase the Efficacy of Transition Metal Complexes for Cancer Treatments. Molecules 2023, 28, 273. [Google Scholar] [CrossRef]
- Zhang, C.; Xu, C.; Gao, X.; Yao, Q. Platinum-based drugs for cancer therapy and anti-tumor strategies. Theranostics 2022, 12, 2115–2132. [Google Scholar] [CrossRef]
- Reily Rocha, C.R.; Molina Silva, M.; Quinet, A.; Cabral-Neto, J.B.; Martins Menck, C.F. DNA repair pathways and cisplatin resistance: An intimate relationship. Clinics 2018, 73, e478s. [Google Scholar] [CrossRef]
- Wang, D.; Lippard, S.J. Cellular processing of platinum anticancer drugs. Nat. Rev. Drug Discov. 2005, 4, 307–320. [Google Scholar] [CrossRef]
- Alfonso-Herrera, L.A.; Rosete-Luna, S.; Hernández-Romero, D.; Rivera-Villanueva, J.M.; Olivares-Romero, J.L.; Cruz-Navarro, J.A.; Soto-Contreras, A.; Arenaza-Corona, A.; Morales-Morales, D.; Colorado-Peralta, R. Transition Metal Complexes with Tridentate Schiff Bases (O N O and O N N) Derived from Salicylaldehyde: An Analysis of Their Potential Anticancer Activity. ChemMedChem 2022, 17, e202200367. [Google Scholar] [CrossRef]
- Lal, K.; Yadav, P.; Kumar, A.; Kumar, A.; Paul, A.K. Design, synthesis, characterization, antimicrobial evaluation and molecular modeling studies of some dehydroacetic acid-chalcone-1,2,3-triazole hybrids. Bioorg. Chem. 2018, 77, 236–244. [Google Scholar] [CrossRef]
- Tripolszky, A.; Tóth, E.; Szabó, P.T.; Hackler, L., Jr.; Kari, B.; Puskás, L.G.; Bálint, E. Synthesis and In Vitro Cytotoxicity and Antibacterial Activity of Novel 1,2,3-Triazol-5-yl-Phosphonates. Molecules 2020, 25, 2643. [Google Scholar] [CrossRef] [PubMed]
- Brik, A.; Alexandratos, J.; Lin, Y.-C.; Elder, J.H.; Olson, A.J.; Wlodawer, A.; Goodsell, D.S.; Wong, C.-H. 1,2,3-Triazole as a Peptide Surrogate in the Rapid Synthesis of HIV-1 Protease Inhibitors. ChemBiochem 2005, 6, 1167–1169. [Google Scholar] [CrossRef] [PubMed]
- Almasirad, A.; Tabatabai, S.A.; Faizi, M.; Kebriaeezadeh, A.; Mehrabi, N.; Dalvandi, A.; Shafiee, A. Synthesis and anticonvulsant activity of new 2-substituted-5-[2-(2-fluorophenoxy)phenyl]-1,3,4-oxadiazoles and 1,2,4-triazoles. Bioorg. Med. Chem. Lett. 2004, 14, 6057–6059. [Google Scholar] [CrossRef] [PubMed]
- Jaffery, S.M.F.; Khan, M.A.; Ullah, S.; Atia-tul-Wahab; Choudhary, M.I.; Basha, F.Z. Synthesis of New Valinol-Derived Sultam Triazoles as α-Glucosidase Inhibitors. ChemistrySelect 2021, 6, 9780–9786. [Google Scholar] [CrossRef]
- Monceaux, C.J.; Hirata-Fukae, C.; Lam, P.C.-H.; Totrov, M.M.; Matsuoka, Y.; Carlier, P.R. Triazole-linked reduced amide isosteres: An approach for the fragment-based drug discovery of anti-Alzheimer’s BACE1 inhibitors. Bioorg. Med. Chem. Lett. 2011, 21, 3992–3996. [Google Scholar] [CrossRef]
- Mady, M.F.; Awad, G.E.A.; Jørgensen, K.B. Ultrasound-assisted synthesis of novel 1,2,3-triazoles coupled diaryl sulfone moieties by the CuAAC reaction, and biological evaluation of them as antioxidant and antimicrobial agents. Eur. J. Med. Chem. 2014, 84, 433–443. [Google Scholar] [CrossRef]
- Gao, P.; Sun, L.; Zhou, J.; Li, X.; Zhan, P.; Liu, X. Discovery of novel anti-HIV agents via Cu(I)-catalyzed azide-alkyne cycloaddition (CuAAC) click chemistry-based approach. Expert Opin. Drug Discov. 2016, 11, 857–871. [Google Scholar] [CrossRef]
- Ram, V.J.; Sethi, A.; Nath, M.; Pratap, R. Chapter 5—Five-Membered Heterocycles. In The Chemistry of Heterocycles. Nomenclature and Chemistry of Three-to-Five-Membered Heterocycles; Dennis, S., McCloskey, E.M., Thomson, E., Bernard, M., Eds.; Elsevier Ltd.: Amsterdam, The Netherlands, 2019; pp. 149–478. [Google Scholar] [CrossRef]
- Matin, M.M.; Matin, P.; Rahman, M.R.; Hadda, T.B.; Almalki, F.A.; Mahmud, S.; Ghoneim, M.M.; Alruwaily, M.; Alshehri, S. Triazoles and Their Derivatives: Chemistry, Synthesis, and Therapeutic Applications. Front. Mol. Biosci. 2022, 9, 864286. [Google Scholar] [CrossRef]
- Serafini, M.; Pirali, T.; Tron, G.C. Chapter Three—Click 1,2,3-triazoles in drug discovery and development: From the flask to the clinic? In Advances in Heterocyclic Chemistry. Applications of Heterocycles in the Design of Drugs and Agricultural Products; Meanwell, N.A., Lolli, M.L., Eds.; Elsevier Inc.: Oxford, UK, 2021; Volume 134, pp. 101–148. [Google Scholar] [CrossRef]
- Santos, C.S.; de Oliveira, R.J.; de Oliveira, R.N.; Freitas, J.C.R. 1,2,3-Triazoles: General and key synthetic strategies. Arkivoc 2020, 2020, 219–271. [Google Scholar] [CrossRef]
- Anebouselvy, K.; Ramachary, D.B. Chapter 4—Synthesis of Substituted 1,2,3-Triazoles through Organocatalysis. In Click Reactions in Organic Synthesis; Chandrasekaran, S., Ed.; Wiley-VCH Verlag GmbH & Co. KGaA.: Weinheim, Germany, 2016; pp. 99–139. [Google Scholar] [CrossRef]
- de Carvalho da Silva, F.; do Carmo Cardoso, M.F.; Garcia Ferreira, P.; Ferreira, V.F. Biological Properties of 1H-1,2,3-and 2H-1,2,3-Triazoles. In Chemistry of 1,2,3-Triazoles. Topics in Heterocyclic Chemistry; Dehaen, W., Bakulev, V., Eds.; Springer: Cham, Switzerland, 2015; Volume 40, pp. 117–165. [Google Scholar] [CrossRef]
- Akolkar, S.V.; Shaikh, M.H.; Bhalmode, M.K.; Pawar, P.U.; Sangshetti, J.N.; Damale, M.G.; Shingate, B.B. Click chemistry inspired syntheses of new amide linked 1,2,3-triazoles from naphthols: Biological evaluation and in silico computational study. Res. Chem. Intermediat. 2023, 49, 2725–2753. [Google Scholar] [CrossRef]
- Slavova, K.I.; Todorov, L.T.; Belskaya, N.P.; Palafox, M.A.; Kostova, I.P. Developments in the Application of 1,2,3-Triazoles in Cancer Treatment. Recent Pat. Anti-Cancer Drug Discov. 2020, 15, 1–21. [Google Scholar] [CrossRef]
- Alam, M.M. 1,2,3-Triazole hybrids as anticancer agents: A review. Arch. Pharm. 2021, 355, 2100158. [Google Scholar] [CrossRef] [PubMed]
- Rahman, S.M.A.; Bhatti, J.S.; Thareja, S.; Monga, V. Current development of 1,2,3-triazole derived potential antimalarial scaffolds: Structure-activity relationship (SAR) and bioactive compounds. Eur. J. Med. Chem. 2023, 259, 115699. [Google Scholar] [CrossRef]
- Marzi, M.; Farjam, M.; Kazeminejad, Z.; Shiroudi, A.; Kouhpayeh, A.; Zarenezhad, E. A Recent Overview of 1,2,3-Triazole-Containing Hybrids as Novel Antifungal Agents: Focusing on Synthesis, Mechanism of Action, and Structure-Activity Relationship (SAR). J. Chem. 2022, 2022, 7884316. [Google Scholar] [CrossRef]
- Wang, S.; Zhao, J.; Li, M.; Qiao, R.; Li, C. Pharmaceutical tazobactam sodium single crystal structure determination, polymorphism and crystallization process. Chem. Eng. Sci. 2023, 270, 118526. [Google Scholar] [CrossRef]
- Wetzel, C.; Lonneman, M.; Wu, C. Polypharmacological drug actions of recently FDA approved antibiotics. Eur. J. Med. Chem. 2021, 209, 112931. [Google Scholar] [CrossRef] [PubMed]
- Sharawat, I.K.; Panda, P.K.; Panda, P.; Dawman, L. Efficacy and safety of rufinamide as adjunctive therapy in patients with Lennox Gastaut syndrome: A systematic review and Meta-analysis. Seizure 2021, 91, 296–307. [Google Scholar] [CrossRef]
- Wu, Y.; Ding, X.; Xu, S.; Yang, Y.; Zhang, X.; Wang, C.; Lei, H.; Zhao, Y. Design and synthesis of biaryloxazolidinone derivatives containing a rhodanine or thiohydantoin moiety as novel antibacterial agents against Gram-positive bacteria. Bioorg. Med. Chem. Lett. 2019, 29, 496–502. [Google Scholar] [CrossRef]
- Zheng, J.; Chen, Z.; Lin, Z.; Sun, X.; Bai, B.; Xu, G.; Chen, J.; Yu, Z.; Qu, D. Radezolid Is More Effective Than Linezolid Against Planktonic Cells And Inhibits Enterococcus faecalis Biofilm Formation. Front. Microbiol. 2020, 11, 196. [Google Scholar] [CrossRef]
- Zhou, Y.; Wang, J.; Gu, Z.; Wang, S.; Zhu, W.; Aceña, J.L.; Soloshonok, V.A.; Izawa, K.; Liu, H. Next Generation of Fluorine-Containing Pharmaceuticals, Compounds Currently in Phase II–III Clinical Trials of Major Pharmaceutical Companies: New Structural Trends and Therapeutic Areas. Chem. Rev. 2022, 116, 422–518. [Google Scholar] [CrossRef]
- Lang, J.E.; Hornik, C.P.; Elliott, C.; Silverstein, A.; Hornik, C.; Al-Uzri, A.; Bosheva, M.; Bradley, J.S.; Borja-Tabora, C.F.C.; Di John, D.; et al. Solithromycin in Children and Adolescents with Community-acquired Bacterial Pneumonia. Pediatr. Infect. Dis. J. 2022, 41, 556–562. [Google Scholar] [CrossRef]
- Yamamoto, H.; Taguchi, M.; Matsuda, Y.; Matsuda, Y.; Iekushi, K.; Yamada, T.; Akizawa, T. Molidustat for the treatment of renal anaemia in patients with non-dialysis-dependent chronic kidney disease: Design and rationale of two phase III studies. BMJ Open 2019, 9, e026704. [Google Scholar] [CrossRef]
- Xu, Z.; Zhao, S.; Lv, Z.; Feng, L.; Wang, Y.; Zhang, F.; Bai, L.; Deng, J. Benzofuran derivatives and their anti-tubercular, anti-bacterial activities. Eur. J. Med. Chem. 2019, 162, 266–276. [Google Scholar] [CrossRef]
- Zhou, B.; He, Y.; Zhang, X.; Xu, J.; Luo, Y.; Wang, Y.; Franzblau, S.G.; Yang, Z.; Chan, R.J.; Liu, Y.; et al. Targeting mycobacterium protein tyrosine phosphatase b for antituberculosis agents. Proc. Natl. Acad. Sci. USA 2010, 107, 4573–4578. [Google Scholar] [CrossRef]
- Baccelli, I.; Gareau, Y.; Lehnertz, B.; Gingras, S.; Spinella, J.-F.; Corneau, S.; Mayotte, N.; Girard, S.; Frechette, M.; Blouin-Chagnon, V.; et al. Mubritinib Targets the Electron Transport Chain Complex I and Reveals the Landscape of OXPHOS Dependency in Acute Myeloid Leukemia. Cancer Cell 2019, 36, 84–99. [Google Scholar] [CrossRef]
- Dong, J.; Zhu, D.; Chen, M.; Wang, T.; Gao, Y.; Liu, W. Mubritinib enhanced the inhibiting function of cisplatin in lung cancer by interfering with mitochondrial function. Thorac. Cancer 2022, 13, 1513–1524. [Google Scholar] [CrossRef]
- Gan, X.; Liu, Y.; Wang, X. Targeting androgen receptor in glioblastoma. Crit. Rev. Oncol. Hematol. 2023, 191, 104142. [Google Scholar] [CrossRef]
- Madan, R.A.; Schmidt, K.T.; Karzai, F.; Peer, C.J.; Cordes, L.M.; Chau, C.H.; Steinberg, S.M.; Owens, H.; Eisner, J.; Moore, W.R.; et al. Phase 2 Study of Seviteronel (INO-464) in Patients With Metastatic Castration-Resistant Prostate Cancer After Enzalutamide Treatment. Clin. Genitourin. Cancer 2020, 18, 258–267. [Google Scholar] [CrossRef]
- Rienhoff, H.Y., Jr.; Gill, H. Bomedemstat as an investigative treatment for myeloproliferative neoplasms. Expert Opin. Investig. Drugs 2023, 32, 879–886. [Google Scholar] [CrossRef]
- Yao, Z.; Li, J.; Liu, Z.; Zheng, L.; Fan, N.; Zhang, Y.; Jia, N.; Lv, J.; Liu, N.; Zhu, X.; et al. Integrative bioinformatics and proteomics-based discovery of an eEF2K inhibitor (cefatrizine) with ER stress modulation in breast cancer cells. Mol. BioSyst. 2016, 12, 729–736. [Google Scholar] [CrossRef]
- Carlin, J.L.; Lieberman, V.R.; Dahal, A.; Keefe, M.S.; Xiao, C.; Birznieks, G.; Abell, T.L.; Lembo, A.; Parkman, H.P.; Polymeropoulos, M.H. Efficacy and Safety of Tradipitant in Patients With Diabetic and Idiopathic Gastroparesis in a Randomized, Placebo-Controlled Trial. Gastroenterology 2021, 160, 76–87. [Google Scholar] [CrossRef]
- Wechsler, E.V.; Shah, E.D. Looking Into the Future of Drug Development for Chronic Upper Gastrointestinal Symptoms and Related Diseases. Clin. Gastroenterol. Hepatol. 2024, 22, 2392–2393. [Google Scholar] [CrossRef] [PubMed]
- Tian, G.; Song, Q.; Liu, Z.; Guo, J.; Cao, S.; Long, S. Recent advances in 1,2,3-and 1,2,4-triazole hybrids as antimicrobials and their SAR: A critical review. Eur. J. Med. Chem. 2023, 259, 115603. [Google Scholar] [CrossRef] [PubMed]
- Deng, C.; Yan, H.; Wang, J.; Liu, K.; Liu, B.-S.; Shi, Y.-M. 1,2,3-Triazole-containing hybrids with potential antibacterial activity against ESKAPE pathogens. Eur. J. Med. Chem. 2022, 244, 114888. [Google Scholar] [CrossRef]
- Li, J.; Zhang, J. The Antibacterial Activity of 1,2,3-Triazole-and 1,2,4-Triazole-containing Hybrids against Staphylococcus aureus: An Updated Review (2020-Present). Curr. Top. Med. Chem. 2022, 22, 41–63. [Google Scholar] [CrossRef] [PubMed]
- Guan, Q.; Gao, Z.; Chen, Y.; Guo, C.; Chen, Y.; Sun, H. Structural modification strategies of triazoles in anticancer drug development. Eur. J. Med. Chem. 2024, 275, 116578. [Google Scholar] [CrossRef]
- Zhao, S.; Liu, J.; Lv, Z.; Zhang, G.; Xu, Z. Recent updates on 1,2,3-triazole-containing hybrids with in vivo therapeutic potential against cancers: A mini-review. Eur. J. Med. Chem. 2023, 251, 115254. [Google Scholar] [CrossRef] [PubMed]
- Xu, Z.; Zhao, S.-J.; Liu, Y. 1,2,3-Triazole-containing hybrids as potential anticancer agents: Current developments, action mechanisms and structure-activity relationships. Eur. J. Med. Chem. 2019, 183, 111700. [Google Scholar] [CrossRef]
- Sharma, A.; Agrahari, A.K.; Rajkhowa, S.; Tiwari, V.K. Emerging impact of triazoles as anti-tubercular agent. Eur. J. Med. Chem. 2022, 238, 114454. [Google Scholar] [CrossRef]
- Tan, Z.; Deng, J.; Ye, Q.; Zhang, Z. Triazole-Containing Hybrids With Anti-Mycobacterium Tuberculosis Potential—Part I: 1,2,3-Triazole. Future Med. Chem. 2021, 13, 643–662. [Google Scholar] [CrossRef]
- Poonia, N.; Kumar, A.; Kumar, V.; Yadav, M.; Lal, K. Recent Progress in 1H-1,2,3-Triazoles as Potential Antifungal Agents. Curr. Top. Med. Chem. 2021, 21, 2109–2133. [Google Scholar] [CrossRef]
- Ravindar, L.; Hasbullah, S.A.; Rakesh, K.P.; Hassan, N.I. Triazole hybrid compounds: A new frontier in malaria treatment. Eur. J. Med. Chem. 2023, 259, 115694. [Google Scholar] [CrossRef] [PubMed]
- Khan, S.A.; Akhtar, M.J.; Gogoi, U.; Meenakshi, D.U.; Das, A. An Overview of 1,2,3-Triazole-Containing Hybrids and Their Potential Anticholinesterase Activities. Pharmaceuticals 2023, 16, 179. [Google Scholar] [CrossRef]
- Farghaly, T.A.; Masaret, G.S.; Riyadh, S.M.; Harras, M.F. A Literature Review Focusing on the Antiviral Activity of [1,2,4] and [1,2,3]-Triazoles. Mini-Rev. Med. Chem. 2024, 24, 1602–1629. [Google Scholar] [CrossRef]
- Agouram, N. 1,2,3-triazole derivatives as antiviral agents. Med. Chem. Res. 2023, 32, 2458–2472. [Google Scholar] [CrossRef]
- Feng, L.S.; Zheng, M.J.; Zhao, F.; Liu, D. 1,2,3-Triazole Hybrids with anti-HIV-1 Activity. Arch. Pharm. 2021, 354, 2000163. [Google Scholar] [CrossRef] [PubMed]
- Singh, A.; Singh, K.; Sharma, A.; Kaur, U.; Kaur, K.; Bedi, P.M.S. Recent Developments in 1,2,3-Triazole Based α-Glucosidase Inhibitors: Design Strategies, Structure-Activity Relationship and Mechanistic Insights. Chem. Biodivers. 2024, 21, e202401109. [Google Scholar] [CrossRef]
- Fallah, Z.; Tajbakhsh, M.; Alikhani, M.; Larijani, B.; Faramarzi, M.A.; Hamedifar, H.; Mohammadi-Khanaposhtani, M.; Mahdavi, M. A review on synthesis, mechanism of action, and structure-activity relationships of 1,2,3-triazole-based α-glucosidase inhibitors as promising anti-diabetic agents. J. Mol. Struct. 2022, 1255, 132469. [Google Scholar] [CrossRef]
- Pal, R.; Teli, G.; Akhtar, M.J.; Matada, G.S.P. Synthetic product-based approach toward potential antileishmanial drug development. Eur. J. Med. Chem. 2023, 263, 115927. [Google Scholar] [CrossRef]
- Singh, A.; Singh, K.; Kaur, J.; Kaur, R.; Sharma, A.; Kaur, J.; Kaur, U.; Chadha, R.; Bedi, P.M.S. Pathogenesis of Alzheimer’s Disease and Diversity of 1,2,3-Triazole Scaffold in Drug Development: Design Strategies, Structural Insights, and Therapeutic Potential. ACS Chem. Neurosci. 2023, 14, 3291–3317. [Google Scholar] [CrossRef]
- Moura, L.A.; de Almeida, C.M.A.; da Silva, A.V.; de Souza, V.R.; Ferreira, F.V.; Menezes, V.M.; Kaiser, C.R.; Ferreira, S.B.; Fuly, A.L. Synthesis, Anticlotting and Antiplatelet Effects of 1,2,3-Triazoles Derivatives. Med. Chem. 2016, 12, 733–741. [Google Scholar] [CrossRef]
- Lengerli, D.; Ibis, K.; Nural, Y.; Banoglu, E. The 1,2,3-triazole ‘all-in-one’ ring system in drug discovery: A good bioisostere, a good pharmacophore, a good linker, and a versatile synthetic tool. Expert Opin. Drug Discov. 2022, 17, 1209–1236. [Google Scholar] [CrossRef] [PubMed]
- Bonandi, E.; Christodoulou, M.S.; Fumagalli, G.; Perdicchia, D.; Rastelli, G.; Passarella, D. The 1,2,3-triazole ring as a bioisostere in medicinal chemistry. Drug Discov. Today 2017, 22, 1572–1581. [Google Scholar] [CrossRef]
- Agouram, N.; El Hadrami, E.M.; Bentama, A. 1,2,3-Triazoles as Biomimetics in Peptide Science. Molecules 2021, 26, 2937. [Google Scholar] [CrossRef]
- Rajasekar, M.; Narendran, C.; Mary, J.; Sivakumar, M.; Selvam, M. Recent advances in photoresponsive-based triazole sensors and their applications in biomaterials. Results Chem. 2024, 7, 101543. [Google Scholar] [CrossRef]
- Mummidivarapu, V.V.S.; Joseph, R.; Rao, C.P.; Pathak, R.K. Suprareceptors emerging from click chemistry: Comparing the triazole based scaffolds of calixarenes, cyclodextrins, cucurbiturils and pillararenes. Coord. Chem. Rev. 2023, 493, 215256. [Google Scholar] [CrossRef]
- Vaishnani, M.J.; Bijani, S.; Rahamathulla, M.; Baldaniya, L.; Jain, V.; Thajudeen, K.Y.; Ahmed, M.M.; Farhana, S.A.; Pasha, I. Biological importance and synthesis of 1,2,3-triazole derivatives: A review. Green Chem. Lett. Rev. 2024, 17, 2307989. [Google Scholar] [CrossRef]
- Kaur, J.; Saxena, M.; Rishi, N. An Overview of Recent Advances in Biomedical Applications of Click Chemistry. Bioconjug. Chem. 2021, 32, 1455–1471. [Google Scholar] [CrossRef]
- Bozorov, K.; Zhao, J.; Aisa, H.A. 1,2,3-Triazole-containing hybrids as leads in medicinal chemistry: A recent overview. Bioorg. Med. Chem. 2019, 27, 3511–3531. [Google Scholar] [CrossRef]
- Lauko, J.; Kouwer, P.H.J.; Rowan, A.E. 1H-1,2,3-Triazole: From Structure to Function and Catalysis. J. Heterocycl. Chem. 2017, 54, 1677–1699. [Google Scholar] [CrossRef]
- McConathy, J.; Yu, W.; Jarkas, N.; Seo, W.; Schuster, D.M.; Goodman, M.M. Radiohalogenated nonnatural amino acids as PET and SPECT tumor imaging agents. Med. Res. Rev. 2012, 32, 868–905. [Google Scholar] [CrossRef]
- Ahmed, F.; Xiong, H. Recent developments in 1,2,3-triazole-based chemosensors. Dyes Pigments 2021, 185 (Part A), 108905. [Google Scholar] [CrossRef]
- Kantheti, S.; Narayan, R.; Raju, K.V.S.N. The impact of 1,2,3-triazoles in the design of functional coatings. RSC Adv. 2015, 5, 3687–3708. [Google Scholar] [CrossRef]
- Sykam, K.; Sivanandan, S.; Basak, P. 1,2,3-Triazole mediated, non-halogenated phosphorus containing protective coatings from castor oil: Flame retardant and anti-corrosion applications. Prog. Org. Coat. 2023, 178, 107475. [Google Scholar] [CrossRef]
- Sykam, K.; Donempudi, S.; Basak, P. 1,2,3-Triazole rich polymers for flame retardant application: A review. J. Appl. Polym. Sci. 2022, 139, e52771. [Google Scholar] [CrossRef]
- Hrimla, M.; Bahsis, L.; Laamari, M.R.; Julve, M.; Stiriba, S.-E. An Overview on the Performance of 1,2,3-Triazole Derivatives as Corrosion Inhibitors for Metal Surfaces. Int. J. Mol. Sci. 2022, 23, 16. [Google Scholar] [CrossRef]
- Todorov, L.; Kostova, I. 1,2,3-Triazoles and their metal chelates with antimicrobial activity. Front. Chem. 2023, 11, 1247805. [Google Scholar] [CrossRef]
- Joseph, M.C.; Swarts, A.J.; Mapolie, S.F. Transition metal complexes of click-derived 1,2,3-triazoles as catalysts in various transformations: An overview and recent developments. Coord. Chem. Rev. 2023, 493, 215317. [Google Scholar] [CrossRef]
- Scattergood, P.A.; Sinopoli, A.; Elliott, P.I.P. Photophysics and Photochemistry of 1,2,3-triazole-based complexes. Coord. Chem. Rev. 2017, 350, 136–154. [Google Scholar] [CrossRef]
- Huisgen, R. 1,3-Dipolar Cycloadditions. Past and Future. Angew. Chem. Int. Ed. 1963, 2, 565–598. [Google Scholar] [CrossRef]
- Rostovtsev, V.V.; Green, L.G.; Fokin, V.V.; Sharpless, K.B. A Stepwise Huisgen Cycloaddition Process: Copper(I)-Catalyzed Regioselective “Ligation” of Azides and Terminal Alkynes. Angew. Chem. Int. Ed. 2002, 41, 2596–2599. [Google Scholar] [CrossRef]
- Tornøe, C.W.; Christensen, C.; Meldal, M. Peptidotriazoles on Solid Phase: [1,2,3]-Triazoles by Regiospecific Copper(I)-Catalyzed 1,3-Dipolar Cycloadditions of Terminal Alkynes to Azides. J. Org. Chem. 2002, 67, 3057–3064. [Google Scholar] [CrossRef] [PubMed]
- Himo, F.; Lovell, T.; Hilgraf, R.; Rostovtsev, V.V.; Noodleman, L.; Sharpless, K.B.; Fokin, V.V. Copper(I)-Catalyzed Synthesis of Azoles. DFT Study Predicts Unprecedented Reactivity and Intermediates. J. Am. Chem. Soc. 2005, 127, 210–216. [Google Scholar] [CrossRef] [PubMed]
- Zhang, L.; Chen, X.; Xue, P.; Sun, H.H.Y.; Williams, I.D.; Sharpless, K.B.; Fokin, V.V.; Jia, G. Ruthenium-Catalyzed Cycloaddition of Alkynes and Organic Azides. J. Am. Chem. Soc. 2005, 127, 15998–15999. [Google Scholar] [CrossRef] [PubMed]
- Tiwari, V.K.; Jaiswal, M.K.; Rajkhowa, S.; Singh, S.K. RuAAC ‘Click Chemistry’-Mediated Synthesis of 1,5-Disubstituted 1,2,3-Triazoles. In Click Chemistry. Materials Horizons: From Nature to Nanomaterials; Springer: Singapore, 2024; pp. 83–112. [Google Scholar] [CrossRef]
- Ferrara, F.; Beke-Somfai, T.; Kann, N. Recent Developments in the Ruthenium-Catalyzed Azide Alkyne Cycloaddition (RuAAC) Reaction. Eur. J. Org. Chem. 2024, 27, e202400113. [Google Scholar] [CrossRef]
- Johansson, J.R.; Beke-Somfai, T.; Said Staalsmeden, A.; Kann, N. Ruthenium-Catalyzed Azide Alkyne Cycloaddition Reaction: Scope, Mechanism, and Applications. Chem. Rev. 2016, 116, 14726–14768. [Google Scholar] [CrossRef]
- Tiwari, V.K.; Jaiswal, M.K.; Rajkhowa, S.; Singh, S.K. CuAAC ‘Click Chemistry’-Mediated Synthesis of 1,4-Disubstituted 1,2,3-Triazoles. In Click Chemistry. Materials Horizons: From Nature to Nanomaterials; Springer: Singapore, 2024; pp. 43–81. [Google Scholar] [CrossRef]
- Li, L.; Zhang, Z. Development and Applications of the Copper-Catalyzed Azide-Alkyne Cycloaddition (CuAAC) as a Bioorthogonal Reaction. Molecules 2016, 21, 1393. [Google Scholar] [CrossRef]
- Wei, F.; Wang, W.; Ma, Y.; Tung, C.-H.; Xu, Z. Regioselective synthesis of multisubstituted 1,2,3-triazoles: Moving beyond the copper-catalyzed azide-alkyne cycloaddition. Chem. Commun. 2016, 52, 14188–14199. [Google Scholar] [CrossRef]
- Pineda-Castañeda, H.M.; Rivera-Monroy, Z.J.; Maldonado, M. Copper(I)-Catalyzed Alkyne–Azide Cycloaddition (CuAAC) “Click” Reaction: A Powerful Tool for Functionalizing Polyhydroxylated Platforms. ACS Omega 2023, 8, 3650–3666. [Google Scholar] [CrossRef]
- Worrell, B.T.; Malik, J.A.; Fokin, V.V. Direct Evidence of a Dinuclear Copper Intermediate in Cu(I)-Catalyzed Azide-Alkyne Cycloadditions. Science 2013, 340, 457–460. [Google Scholar] [CrossRef]
- Kolb, H.C.; Finn, M.G.; Sharpless, K.B. Click Chemistry: Diverse Chemical Function From a Few Good Reactions. Angew. Chem. Int. Ed. 2001, 40, 2004–2021. [Google Scholar] [CrossRef]
- Warner, J.C.; Cannon, A.S.; Dye, K.M. Green Chemistry. Environ. Impact Assess. Rev. 2004, 24, 775–799. [Google Scholar] [CrossRef]
- Wu, P.; Feldman, A.K.; Nugent, A.K.; Hawker, C.J.; Scheel, A.; Voit, B.; Pyun, J.; Fréchet, J.M.J.; Sharpless, K.B.; Fokin, V.V. Efficiency and Fidelity in a Click-Chemistry Route to Triazole Dendrimers by the Copper(I)-Catalyzed Ligation of Azides and Alkynes. Angew. Chem. Int. Ed. 2004, 43, 3928–3932. [Google Scholar] [CrossRef] [PubMed]
- Hourani, R.; Sharma, A.; Kakkar, A. Designing dendritic frameworks using versatile building blocks suitable for CuI-catalyzed alkyne azide ‘click’ chemistry. Tetrahedron Lett. 2010, 51, 3792–3795. [Google Scholar] [CrossRef]
- Golas, P.L.; Matyjaszewski, K. Marrying click chemistry with polymerization: Expanding the scope of polymeric materials. Chem. Soc. Rev. 2010, 39, 1338–1354. [Google Scholar] [CrossRef]
- Huang, Z.-H.; Zhou, Y.-Y.; Wang, Z.-M.; Li, Y.; Zhang, W.; Zhou, N.-C.; Zhang, Z.-B.; Zhu, X.-L. Recent advances of CuAAC click reaction in building cyclic polymer. Chin. J. Polym. Sci. 2017, 35, 317–341. [Google Scholar] [CrossRef]
- Tron, G.C.; Pirali, T.; Billington, R.A.; Canonico, P.L.; Sorba, G.; Genazzani, A.A. Click chemistry reactions in medicinal chemistry: Applications of the 1,3-dipolar cycloaddition between azides and alkynes. Med. Res. Rev. 2008, 28, 278–308. [Google Scholar] [CrossRef]
- Turner, R.A.; Oliver, A.G.; Lokey, R.S. Click Chemistry as a Macrocyclization Tool in the Solid-Phase Synthesis of Small Cyclic Peptides. Org. lett. 2007, 9, 5011–5014. [Google Scholar] [CrossRef]
- Ahmad Fuaad, A.A.H.; Azmi, F.; Skwarczynski, M.; Toth, I. Peptide Conjugation via CuAAC ‘Click’ Chemistry. Molecules 2013, 18, 13148–13174. [Google Scholar] [CrossRef]
- Amblard, F.; Cho, J.H.; Schinazi, R.F. Cu(I)-Catalyzed Huisgen Azide-Alkyne 1,3-Dipolar Cycloaddition Reaction in Nucleo- side, Nucleotide, and Oligonucleotide. Chem. Rev. 2009, 109, 4207–4220. [Google Scholar] [CrossRef]
- Wilson, H.; Byrne, S.; Bampos, N.; Mullen, K.M. Click functionalised polymer resins: A new approach to the synthesis of surface attached bipyridinium and naphthalene diimide[2]rotaxanes. Org. Biomol. Chem. 2013, 11, 2105–2115. [Google Scholar] [CrossRef]
- He, X.-P.; Zeng, Y.-L.; Zang, Y.; Li, J.; Field, R.A.; Chen, G.R. Carbohydrate CuAAC click chemistry for therapy and diagnosis. Carbohydr. Res. 2016, 429, 1–22. [Google Scholar] [CrossRef] [PubMed]
- Hänni, K.D.; Leigh, D.A. The application of CuAAC “click” chemistry to catenane and rotaxane synthesis. Chem. Soc. Rev. 2010, 39, 1240–1251. [Google Scholar] [CrossRef]
- Lal, K.; Yadav, P. Recent Advancements in 1,4-Disubstituted 1H-1,2,3-Triazoles as Potential Anticancer Agents. Anticancer Agents Med. Chem. 2018, 18, 21–37. [Google Scholar] [CrossRef] [PubMed]
- Stojanović, N.; Urankar, D.; Brozović, A.; Ambriović-Ristov, A.; Osmak, M.; Košmrlj, J. Design and evaluation of biological activity of diazenecarboxamide-extended cisplatin and carboplatin analogues. Acta Chim. Slov. 2013, 60, 368–374. [Google Scholar]
- Li, Y.; Sun, Z.; Cui, Y.; Zhang, H.; Zhang, S.; Wang, X.; Liu, S.; Gao, Q. Oxaliplatin derived monofunctional triazole-containing platinum(II) complex counteracts oxaliplatin induced drug resistance in colorectal cancer. Bioorg. Chem. 2021, 107, 104636. [Google Scholar] [CrossRef]
- Zhang, J.Z.; Bonnitcha, P.; Wexselblatt, E.; Klein, A.V.; Najajreh, Y.; Gibson, D.; Hambley, T.W. Facile Preparation of Mono-, Di- and Mixed-Carboxylato Platinum(IV) Complexes for Versatile Anticancer Prodrug Design. Chem. Eur. J. 2013, 19, 1672–1676. [Google Scholar] [CrossRef]
- Peng, K.; Mawamba, V.; Schulz, E.; Löhr, M.; Hagemann, C.; Schatzschneider, U. iClick Reactions of Square-Planar Palladium(II) and Platinum(II) Azido Complexes with Electron-Poor Alkynes: Metal-Dependent Preference for N1 vs. N2 Triazolate Coordination and Kinetic Studies with 1H and 19F NMR Spectroscopy. Inorg. Chem. 2019, 58, 11508–11521. [Google Scholar] [CrossRef] [PubMed]
- Schlagintweit, J.F.; Jakob, C.H.G.; Meighen-Berger, K.; Gronauer, T.F.; Weigert Muñoz, A.; Weiß, V.; Feige, M.J.; Sieber, S.A.; Correia, J.D.G.; Kühn, F.E. Fluorescent palladium(II) and platinum(II) NHC/1,2,3-triazole complexes: Antiproliferative activity and selectivity against cancer cells. Dalton Trans. 2021, 50, 2158–2166. [Google Scholar] [CrossRef]
- Miron, C.E.; Chen, M.; Mergny, J.-L.; Petitjean, A. Portrait of a Family of Highly Stabilizing and Selective Guanine Quadruplex Platinum(II)-Based Binders. Chem. Eur. J. 2022, 28, e202103839. [Google Scholar] [CrossRef]
- Guo, C.; Nolan, E.M. Heavy-Metal Trojan Horse: Enterobactin-Directed Delivery of Platinum(IV) Prodrugs to Escherichia coli. J. Am. Chem. Soc. 2022, 144, 12756–12768. [Google Scholar] [CrossRef]
- Singh, K.; Gangrade, A.; Jana, A.; Mandal, B.B.; Das, N. Design, Synthesis, Characterization, and Antiproliferative Activity of Organoplatinum Compounds Bearing a 1,2,3-Triazole Ring. ACS Omega 2019, 4, 835–841. [Google Scholar] [CrossRef]
- Chakraborty, A.; Jaiswal, C.; Hassan, A.; Kumar, S.; Singh, K.; Mandal, B.B.; Das, N. Tunable and improved antiproliferative activity of Pt (II)-based organometallics bearing alkynyls and 1,2,3-triazole moieties. Appl. Organomet. Chem. 2022, 36, e6711. [Google Scholar] [CrossRef]
- Castor, K.J.; Liu, Z.; Fakhoury, J.; Hancock, M.A.; Mittermaier, A.; Moitessier, N.; Sleiman, H.F. A Platinum(II) Phenylphenanthroimidazole with an Extended Side-Chain Exhibits Slow Dissociation from a c-Kit G-Quadruplex Motif. Chem. Eur. J. 2013, 19, 17836–17845. [Google Scholar] [CrossRef] [PubMed]
- Gabano, E.; Ravera, M.; Tinello, S.; Osella, D. Synthesis of PtIV-biomolecule conjugates through Click chemistry. Eur. J. Inorg. Chem. 2015, 2015, 5335–5341. [Google Scholar] [CrossRef]
- Kitteringham, E.; Andriollo, E.; Gandin, V.; Montagner, D.; Griffith, D.M. Synthesis, characterisation and in vitro antitumour potential of novel Pt(II) estrogen linked complexes. Inorg. Chim. Acta 2019, 495, 118944. [Google Scholar] [CrossRef]
- Huang, X.; Li, G.; Li, H.; Zhong, W.; Jiang, G.; Cai, J.; Xiong, Q.; Wu, C.; Su, K.; Huang, R.; et al. Glycyrrhetinic Acid as a Hepatocyte Targeting Ligand-Functionalized Platinum(IV) Complexes for Hepatocellular Carcinoma Therapy and Overcoming Multidrug Resistance. J. Med. Chem. 2024, 67, 8020–8042. [Google Scholar] [CrossRef]
- Cucciolito, M.E.; D’Amora, A.; De Feo, G.; Ferraro, G.; Giorgio, A.; Petruk, G.; Monti, D.M.; Merlino, A.; Ruffo, F. Five-Coordinate Platinum(II) Compounds Containing Sugar Ligands: Synthesis, Characterization, Cytotoxic Activity, and Interaction with Biological Macromolecules. Inorg. Chem. 2018, 57, 3133–3143. [Google Scholar] [CrossRef]
- Reithofer, M.R.; Chan, K.-H.; Lakshmanan, A.; Lam, D.H.; Mishra, A.; Gopalan, B.; Joshi, M.; Wang, S.; Hauser, C.A.E. Ligation of anti-cancer drugs to self-assembling ultrashort peptides by click chemistry for localized Therapy. Chem. Sci. 2014, 5, 625–630. [Google Scholar] [CrossRef]
- Wlodarczyk, M.T.; Dragulska, S.A.; Camacho-Vanegas, O.; Dottino, P.R.; Jarzęcki, A.A.; Martignetti, J.A.; Mieszawska, A.J. Platinum(II) Complex-Nuclear Localization Sequence Peptide Hybrid for Overcoming Platinum Resistance in Cancer Therapy. ACS Biomater. Sci. Eng. 2018, 4, 463–467. [Google Scholar] [CrossRef]
- Yuan, Y.; Kwok, R.T.K.; Tang, B.Z.; Liu, B. Targeted Theranostic Platinum(IV) Prodrug with a Built-In Aggregation-Induced Emission Light-Up Apoptosis Sensor for Noninvasive Early Evaluation of Its Therapeutic Responses in Situ. J. Am. Chem. Soc. 2014, 136, 2546–2554. [Google Scholar] [CrossRef]
- Yuan, Y.; Kwok, R.T.K.; Zhang, R.; Tang, B.Z.; Liu, B. Targeted theranostic prodrugs based on an aggregation-induced emission (AIE) luminogen for realtime dual-drug tracking. Chem. Commun. 2014, 50, 11465–11468. [Google Scholar] [CrossRef] [PubMed]
- Adams, C.J.; Meade, T.J. Towards Imaging Pt Chemoresistance Using Gd(III)-Pt(II) Theranostic MR Contrast Agents. ChemMedChem 2021, 16, 3663–3671. [Google Scholar] [CrossRef] [PubMed]
- Reshetnikov, V.; Daum, S.; Janko, C.; Karawacka, W.; Tietze, R.; Alexiou, C.; Paryzhak, S.; Dumych, T.; Bilyy, R.; Tripal, P.; et al. ROS-responsive N-alkylaminoferrocenes for cancer-cell-specific targeting of mitochondria. Angew. Chem. Int. Ed. 2018, 57, 11943–11946. [Google Scholar] [CrossRef] [PubMed]
- Reshetnikov, V.; Daum, S.; Mokhir, A. Cancer-Specific, Intracellular, Reductive Activation of Anticancer Pt(IV)-Prodrugs. Chem. Eur. J. 2017, 23, 5678–5681. [Google Scholar] [CrossRef] [PubMed]
- Reshetnikov, V.; Arkhypov, A.; Julakanti, P.R.; Mokhir, A. A cancer specific oxaliplatin-releasing Pt(IV)-prodrug. Dalton Trans. 2018, 47, 6679–6682. [Google Scholar] [CrossRef]
- Quarta, A.; Amorin, M.; Aldegunde, M.J.; Blasi, L.; Ragusa, A.; Nitti, S.; Pugliese, G.; Gigli, G.; Granja, J.R.; Pellegrino, T. Novel synthesis of platinum complexes and their intracellular delivery to tumor cells by means of magnetic nanoparticles. Nanoscale 2019, 11, 23482–23497. [Google Scholar] [CrossRef]
- Dai, Y.; Huang, H.; Zhu, Y.; Cheng, J.; Shen, A.-Z.; Liu, Y. Combating metastasis of breast cancer cells with a carboplatin analogue containing an all-trans retinoic acid ligand. Dalton Trans. 2020, 49, 5039–5043. [Google Scholar] [CrossRef]
- Guo, Z.; Zou, Y.; He, H.; Rao, J.; Ji, S.; Cui, X.; Ke, H.; Deng, Y.; Yang, H.; Chen, C.; et al. Bifunctional Platinated Nanoparticles for Photoinduced Tumor Ablation. Adv. Mater. 2016, 28, 10155–10164. [Google Scholar] [CrossRef]
- Spector, D.; Bubley, A.; Zharova, A.; Bykusov, V.; Skvortsov, D.; Ipatova, D.; Erofeev, A.; Gorelkin, P.; Vaneev, A.; Mazur, D.; et al. Light-Responsive Pt(IV) Prodrugs with Controlled Photoactivation and Low Dark Toxicity. ACS Appl. Bio Mater. 2024, 7, 3431–3440. [Google Scholar] [CrossRef]
- Zhang, Z.; Wu, Y.; Kuang, G.; Liu, S.; Zhou, D.; Chen, X.; Jing, X.; Huang, Y. Pt(IV) prodrug-backboned micelle and DCA loaded nanofibers for enhanced local cancer treatment. J. Mater. Chem. B 2017, 5, 2115–2125. [Google Scholar] [CrossRef]
- Wang, Y.; Cong, Y.; Cai, M.; Liang, X.; Wang, L.; Zhou, D. Charge-conversional click polyprodrug nanomedicine for targeted and synergistic cancer therapy. J. Control. Release 2023, 356, 567–579. [Google Scholar] [CrossRef] [PubMed]
- Pathak, R.K.; Dhar, S. A Nanoparticle Cocktail: Temporal Release of Predefined Drug Combinations. J. Am. Chem. Soc. 2015, 137, 8324–8327. [Google Scholar] [CrossRef] [PubMed]
- Sun, T.; Zhang, G.; Wang, Q.; Guo, Z.; Chen, Q.; Chen, X.; Lu, Y.; Zhang, Y.; Zhang, Y.; Guo, Q.; et al. Pre-blocked molecular shuttle as an in-situ real-time theranostics. Biomaterials 2019, 204, 46–58. [Google Scholar] [CrossRef] [PubMed]
- Kench, T.; Summers, P.A.; Kuimova, M.K.; Lewis, J.E.M.; Vilar, R. Rotaxanes as Cages to Control DNA Binding, Cytotoxicity, and Cellular Uptake of a Small Molecule**. Angew. Chem. Int. Ed. 2021, 60, 10928–10934. [Google Scholar] [CrossRef]































| Compound | Non Carcinogenic | Carcinogenic | ||
|---|---|---|---|---|
| HaCaT | H9C2 | MCF7 | A431 | |
| CIS | 2.00 ± 0.10 | 2.45 ± 0.64 | 5.50 ± 0.50 | 11.75 ± 3.77 |
| 32 | 0.80 ± 0.14 | 0.35 ± 0.07 | 0.88 ± 0.11 | 1.10 ± 0.14 |
| 34 | 0.60 ± 0.10 | 0.35 ± 0.07 | 0.43 ± 0.04 | 0.95 ± 0.31 |
| 35 | 0.46 ± 0.06 | 0.33 ± 0.04 | 0.53 ± 0.12 | 0.87 ± 0.02 |
| 36 | 1.03 ± 0.25 | 0.38 ± 0.04 | 0.63 ± 0.11 | 1.10 ± 0.01 |
| 37 | 0.58 ± 0.04 | 0.35 ± 0.07 | 0.60 ± 0.09 | 1.00 ± 0.14 |
| 38 | 0.53 ± 0.04 | 0.36 ± 0.08 | 0.53 ± 0.04 | 1.08 ± 0.04 |
| 39 | 0.70 ± 0.14 | 0.35 ± 0.05 | 0.85 ± 0.06 | 1.05 ± 0.07 |
| 34+ BF4− | 1.63 ± 0.04 | 0.30 ± 0.01 | 1.00 ± 0.42 | 1.15 ± 0.35 |
| Compound | IGROV-1 | MDA-MB-231 |
|---|---|---|
| 53 | 7.5 ± 0.1 | 7.4 ± 0.1 |
| 54 | 7.9 ± 0.1 | 8.3 ± 0.1 |
| 55 | 6.8 ± 0.1 | 6.2 ± 0.1 |
| 56 | 5.8 ± 0.3 | 7.1 ± 0.2 |
| MNP-53 | 4.0 ± 0.4 | 5.8 ± 0.1 |
| MNP-54 | 1.2 ± 0.4 | 5.2 ± 0.4 |
| MNP-55 | 4.2 ± 0.1 | 6.2 ± 0.1 |
| MNP-56 | 1.6 ± 0.4 | 5.3 ± 0.2 |
| CIS | 79 ± 0.3 | 97.6 ± 5.1 |
Disclaimer/Publisher’s Note: The statements, opinions and data contained in all publications are solely those of the individual author(s) and contributor(s) and not of MDPI and/or the editor(s). MDPI and/or the editor(s) disclaim responsibility for any injury to people or property resulting from any ideas, methods, instructions or products referred to in the content. |
© 2024 by the authors. Licensee MDPI, Basel, Switzerland. This article is an open access article distributed under the terms and conditions of the Creative Commons Attribution (CC BY) license (https://creativecommons.org/licenses/by/4.0/).
Share and Cite
Hernández-Romero, D.; Rosete-Luna, S.; Méndez-Bolaina, E.; Herrera-Cogco, E.d.l.C.; Amador-Gómez, L.P.; Soto-Contreras, A.; Rivera-Villanueva, J.M.; Colorado-Peralta, R. Importance of the CuAAC Reaction in the Synthesis of Platinum Complexes with 1,4-Disubstituted-1H-1,2,3-triazoles: A Review of Their Anticancer Activity. Reactions 2024, 5, 947-983. https://doi.org/10.3390/reactions5040050
Hernández-Romero D, Rosete-Luna S, Méndez-Bolaina E, Herrera-Cogco EdlC, Amador-Gómez LP, Soto-Contreras A, Rivera-Villanueva JM, Colorado-Peralta R. Importance of the CuAAC Reaction in the Synthesis of Platinum Complexes with 1,4-Disubstituted-1H-1,2,3-triazoles: A Review of Their Anticancer Activity. Reactions. 2024; 5(4):947-983. https://doi.org/10.3390/reactions5040050
Chicago/Turabian StyleHernández-Romero, Delia, Sharon Rosete-Luna, Enrique Méndez-Bolaina, Elena de la C. Herrera-Cogco, Luis P. Amador-Gómez, Anell Soto-Contreras, José M. Rivera-Villanueva, and Raúl Colorado-Peralta. 2024. "Importance of the CuAAC Reaction in the Synthesis of Platinum Complexes with 1,4-Disubstituted-1H-1,2,3-triazoles: A Review of Their Anticancer Activity" Reactions 5, no. 4: 947-983. https://doi.org/10.3390/reactions5040050
APA StyleHernández-Romero, D., Rosete-Luna, S., Méndez-Bolaina, E., Herrera-Cogco, E. d. l. C., Amador-Gómez, L. P., Soto-Contreras, A., Rivera-Villanueva, J. M., & Colorado-Peralta, R. (2024). Importance of the CuAAC Reaction in the Synthesis of Platinum Complexes with 1,4-Disubstituted-1H-1,2,3-triazoles: A Review of Their Anticancer Activity. Reactions, 5(4), 947-983. https://doi.org/10.3390/reactions5040050

