Design of a Sensory Device for the Characterization of the Volatile Organic Compounds Fingerprint in the Breath of Dairy Cattle
Abstract
1. Introduction
2. Materials and Methods
2.1. Sensor Description
- Three TGS 822 semiconductor sensors (FIGARO Engineering Inc., Osaka, Japan) are sensitive to carbon monoxide, ammonia, sulphur dioxide, alcohol, petrol, ethanol, methane, and acetone; three TGS 2620 semiconductor sensors (FIGARO Engineering Inc., Osaka, Japan) are sensitive to isobutane, methane, hydrogen, carbon monoxide, methyl mercaptan, hydrogen sulphide, trimethylamine, ammonia, acetic acid, acetone, acetaldehyde, formaldehyde, xylene, methylbenzene, benzene, n-heptane, and ethanol. The sensitivity of these two sensors is very stable over a long period (measured for more than 400 days) in continuous and intermittent operation, as reported in the two technical reports [32,33]. Each of these sensors produces a voltage reading that is converted into a resistance measurement that is compared with reference value R0 specified in Table 1.
- A DS18S20 temperature sensor (Maxim Integrated, San Jose, CA, USA) is employed to monitor the ambient temperature. This digital sensor continuously communicates temperature data to the Arduino board, where the readings are compared with predefined threshold values. Based on this comparison, the heating or cooling resistance of the Peltier cell is adjusted accordingly.
- A Peltier cell (RS Components, Corby, UK) is used as a thermoelectric device for heat transfer and temperature regulation within the gas sensor detection environment. The operation of the Peltier cell is dynamically controlled based on the ambient temperature readings provided by the temperature sensor. Specifically, by modifying the direction of the current flowing through the Peltier cell, its temperature can either be increased or decreased to counteract any external temperature fluctuations.
- One Dual H Bridge (JZK, Shenzhen, China) controls the directionality of the direct electric current flow applied to the Peltier cell based on Arduino board instructions, ensuring that the operating temperature conditions of the sensor stabilize between 40 and 50 °C.
- A volumetric pump (RS Components, Corby, UK) starts automatically when the system is switched on. It is regulated by a MOSFET module (DollaTek, Hong Kong Yingli International Trading Co., Ltd., Hong Kong, China). Through PTFE tubes (RS Components, Corby, UK), it drives the flow of sampled air to the gas sensors.
- An LCD display (Tinsharp Industrial Co., Ltd., Guangzhou, China) shows the resistance data recorded by the sensors. The resistance, voltage, and temperature values detected by the sensors are also stored on an SD card (Kingston Technology, Fountain Valley, CA, USA) in a TXT file (data recording is carried out every 5 s for the gas sensors and every 20 s for the temperature).
- Arduino Mega 2560 Rev3 board (Arduino srl, Ivrea, Italy) is an ATmega2560 microcontroller with 54 digital input/output pins. It is responsible for the management of gas and temperature sensors, converting the generated analogue signals into digital values displayed on the LCD. The Arduino also controls the activation of the pump and the saving of data to the SD card. The Arduino code for data acquisition is available at the following link: https://gitlab.com/ketosis1/Ketosis_Project (accessed on 19 February 2025).
2.2. Experimental Procedure
2.3. Data Processing
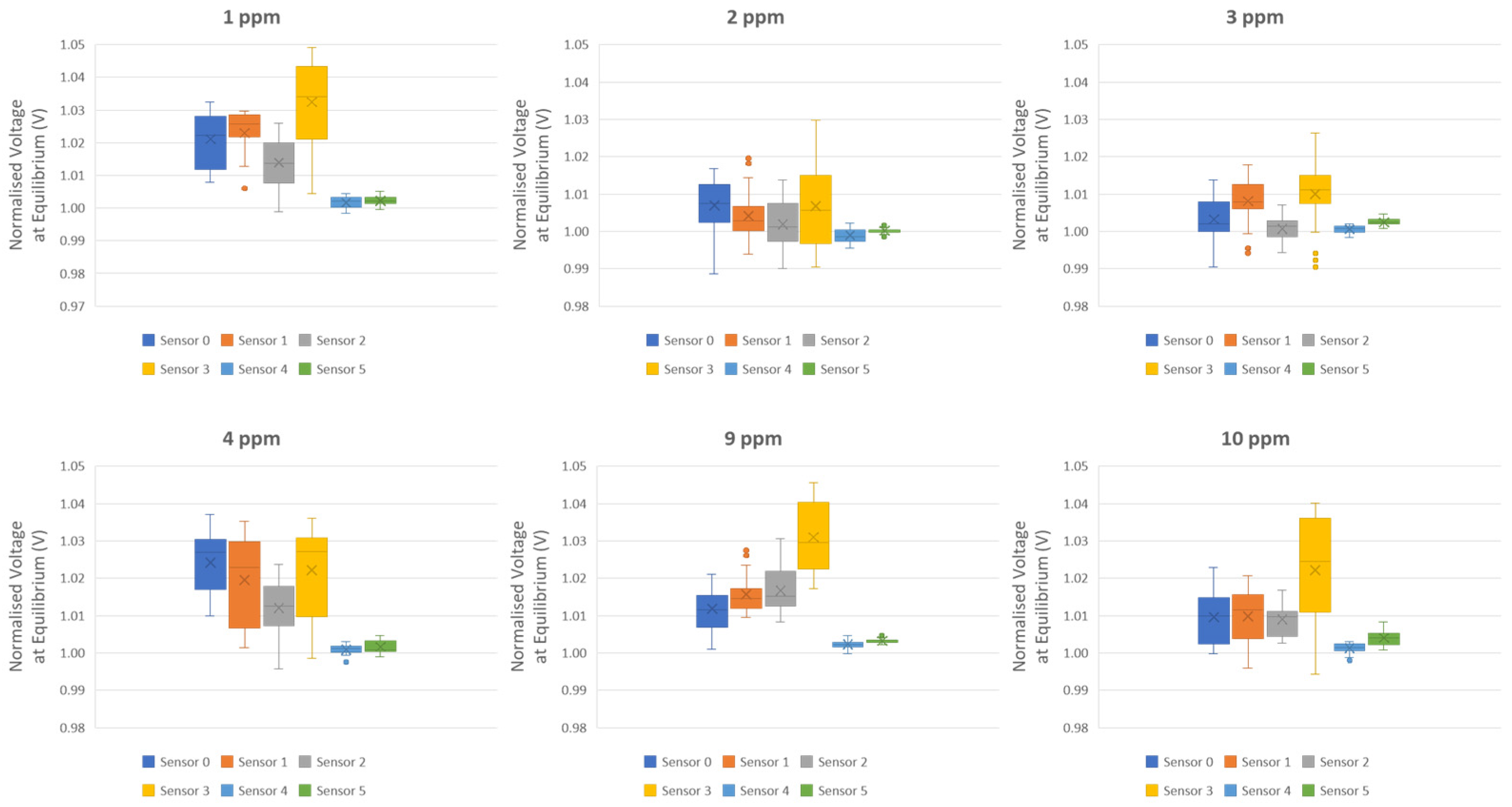
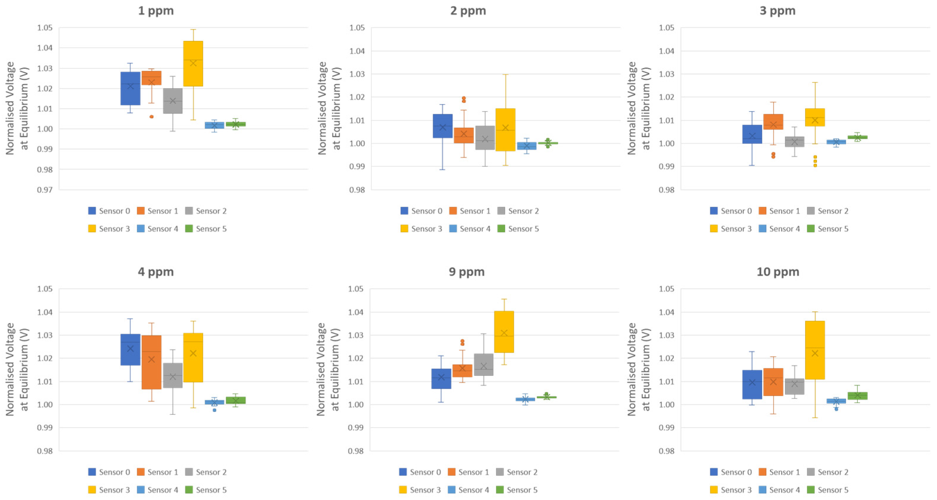
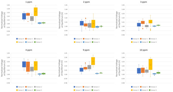
3. Results
3.1. Day 1
3.2. Day 2 and Day 3
4. Discussion
5. Conclusions
Supplementary Materials
Author Contributions
Funding
Data Availability Statement
Acknowledgments
Conflicts of Interest
Abbreviations
| PCA | Principal Component Analysis |
| LDA | Linear Discriminant Analysis |
| QDA | Quadratic Discriminant Analysis |
| SCK | Subclinical Ketosis |
| BHBA | β-hydroxybutyric acid |
| VOCs | Volatile Organic Compounds |
References
- Tufarelli, V.; Puvača, N.; Glamočić, D.; Pugliese, G.; Colonna, M.A. The Most Important Metabolic Diseases in Dairy Cattle during the Transition Period. Animals 2024, 14, 816. [Google Scholar] [CrossRef] [PubMed]
- Esposito, G.; Irons, P.C.; Webb, E.C.; Chapwanya, A. Interactions between Negative Energy Balance, Metabolic Diseases, Uterine Health and Immune Response in Transition Dairy Cows. Anim. Reprod. Sci. 2014, 144, 60–71. [Google Scholar] [CrossRef]
- Melendez, P.; Serrano, M.V. Update on Ketosis in Dairy Cattle with Major Emphasis on Subclinical Ketosis and Abdominal Adiposity. Vet. Med. Sci. 2024, 10, e1525. [Google Scholar] [CrossRef]
- Loiklung, C.; Sukon, P.; Thamrongyoswittayakul, C. Global Prevalence of Subclinical Ketosis in Dairy Cows: A Systematic Review and Meta-Analysis. Res. Vet. Sci. 2022, 144, 66–76. [Google Scholar] [CrossRef]
- Steeneveld, W.; Amuta, P.; van Soest, F.J.S.; Jorritsma, R.; Hogeveen, H. Estimating the Combined Costs of Clinical and Subclinical Ketosis in Dairy Cows. PLoS ONE 2020, 15, e0230448. [Google Scholar] [CrossRef]
- Lei, M.A.C.; Simões, J. Invited Review: Ketosis Diagnosis and Monitoring in High-Producing Dairy Cows. Dairy 2021, 2, 303–325. [Google Scholar] [CrossRef]
- Schelkopf, C.S.; Apley, M.D.; Lubbers, B.V. Comparison of Electronic Nose and Conventional Cow-Side Diagnostic Tools for Detection of Ketosis in Early Lactation Dairy Cows. Bov. Pract. 2023, 57, 5–15. [Google Scholar] [CrossRef]
- Gross, J.J.; Bruckmaier, R.M. Review: Metabolic Challenges in Lactating Dairy Cows and Their Assessment via Established and Novel Indicators in Milk. Animal 2019, 13, s75–s81. [Google Scholar] [CrossRef] [PubMed]
- Zhang, Z.; Liu, G.; Wang, H.; Li, X.; Wang, Z. Detection of Subclinical Ketosis in Dairy Cows. Pak. Vet. J. 2012, 32, 156–160. [Google Scholar]
- Santos-Rivera, M.; Woolums, A.R.; Thoresen, M.; Meyer, F.; Vance, C.K. Bovine Respiratory Syncytial Virus (BRSV) Infection Detected in Exhaled Breath Condensate of Dairy Calves by Near-Infrared Aquaphotomics. Molecules 2022, 27, 549. [Google Scholar] [CrossRef] [PubMed]
- Bergmann, A.; Trefz, P.; Fischer, S.; Klepik, K.; Walter, G.; Steffens, M.; Ziller, M.; Schubert, J.K.; Reinhold, P.; Köhler, H.; et al. In Vivo Volatile Organic Compound Signatures of Mycobacterium Avium Subsp. Paratuberculosis. PLoS ONE 2015, 10, e0123980. [Google Scholar] [CrossRef] [PubMed]
- Ellis, C.K.; Stahl, R.S.; Nol, P.; Waters, W.R.; Palmer, M.V.; Rhyan, J.C.; VerCauteren, K.C.; McCollum, M.; Salman, M.D. A Pilot Study Exploring the Use of Breath Analysis to Differentiate Healthy Cattle from Cattle Experimentally Infected with Mycobacterium Bovis. PLoS ONE 2014, 9, e89280. [Google Scholar] [CrossRef] [PubMed]
- Bayn, A.; Nol, P.; Tisch, U.; Rhyan, J.; Ellis, C.K.; Haick, H. Detection of Volatile Organic Compounds in Brucella Abortus-Seropositive Bison. Anal. Chem. 2013, 85, 11146–11152. [Google Scholar] [CrossRef] [PubMed]
- Peled, N.; Ionescu, R.; Nol, P.; Barash, O.; McCollum, M.; Vercauteren, K.; Koslow, M.; Stahl, R.; Rhyan, J.; Haick, H. Detection of Volatile Organic Compounds in Cattle Naturally Infected with Mycobacterium Bovis. Sens. Actuators B Chem. 2012, 171–172, 588–594. [Google Scholar] [CrossRef]
- Turner, C.; Knobloch, H.; Richards, J.; Richards, P.; Mottram, T.T.F.; Marlin, D.; Chambers, M.A. Development of a Device for Sampling Cattle Breath. Biosyst. Eng. 2012, 112, 75–81. [Google Scholar] [CrossRef]
- Spinhirne, J.P.; Koziel, J.A.; Chirase, N.K. Sampling and Analysis of Volatile Organic Compounds in Bovine Breath by Solid-Phase Microextraction and Gas Chromatography–Mass Spectrometry. J. Chromatogr. A 2004, 1025, 63–69. [Google Scholar] [CrossRef] [PubMed]
- Haddadi, S.; Koziel, J.A.; Engelken, T.J. Analytical Approaches for Detection of Breath VOC Biomarkers of Cattle Diseases—A Review. Anal. Chim. Acta 2022, 1206, 339565. [Google Scholar] [CrossRef] [PubMed]
- Turner, C. VOC Analysis by SIFT-MS, GC-MS, and Electronic Nose for Diagnosing and Monitoring Disease. In Volatile Biomarkers: Non-Invasive Diagnosis in Physiology and Medicine, 1st ed.; David, C., Beauchamp, J., Eds.; Elsevier: New York, NY, USA, 2013; pp. 343–357. [Google Scholar]
- Elliott-Martin, R.J.; Mottram, T.T.; Gardner, J.W.; Hobbs, P.J.; Bartlett, P.N. Preliminary Investigation of Breath Sampling as a Monitor of Health in Dairy Cattle. J. Agric. Eng. Res. 1997, 67, 267–275. [Google Scholar] [CrossRef]
- Dobbelaar, P.; Mottram, T.; Nyabadza, C.; Hobbs, P.; Elliott-Martin, R.J.; Schukken, Y.H. Detection of Ketosis in Dairy Cows by Analysis of Exhaled Breath. Vet. Q. 1996, 18, 151–152. [Google Scholar] [CrossRef] [PubMed]
- Attia, H.A.; Ali, H.Y. Wireless Alarming System for Ketosis Proactive Detection in Dairy Cattle. J. Eng. Appl. Sci. 2018, 13, 5116–5121. [Google Scholar]
- Kauppinen, R.; Sairanen, A.; Hiltunen, T.; Raatikainen, O. Ion-Mobility Spectrometry Based Electronic Nose—A Promising Tool for the Evaluation of Metabolic Status of Dairy Cows. SMST 2006, 21, 1–5. [Google Scholar] [CrossRef]
- Zhang, E.; Wang, F.; Yin, C.; Wang, H.; Zhu, Y.; Duan, H.; Yang, S.; Zhang, Y.; Hu, J. Application of an Electronic Nose for the Diagnosis of Ketosis in Dairy Cows. Food Biosci. 2024, 60, 104355. [Google Scholar] [CrossRef]
- Kuchmenko, T.A.; Umarkhanov, R.U.; Shuba, A.A.; Dorovskaya, E.S.; Chernitskiy, A.E. Analysis of the Volatile Compounds’ Condensate Exhaled Air “Electronic Nose” Based on Piezoelectric Sensor to Assess the Status of Calves. IOP Conf. Ser. Earth Environ. Sci. 2021, 640, 072028. [Google Scholar] [CrossRef]
- Ali, A.S.; Jacinto, J.G.P.; Mϋnchemyer, W.; Walte, A.; Gentile, A.; Formigoni, A.; Mammi, L.M.E.; Csaba Bajcsy, Á.; Abdu, M.S.; Kamel, M.M.; et al. Estrus Detection in a Dairy Herd Using an Electronic Nose by Direct Sampling on the Perineal Region. Vet. Sci. 2022, 9, 688. [Google Scholar] [CrossRef] [PubMed]
- Ali, A.S.; Jacinto, J.G.P.; Mϋnchemyer, W.; Walte, A.; Kuhla, B.; Gentile, A.; Abdu, M.S.; Kamel, M.M.; Ghallab, A.M. Study on the Discrimination of Possible Error Sources That Might Affect the Quality of Volatile Organic Compounds Signature in Dairy Cattle Using an Electronic Nose. Vet. Sci. 2022, 9, 461. [Google Scholar] [CrossRef]
- Kuchmenko, T.; Shuba, A.; Umarkhanov, R.; Chernitskiy, A. Portable Electronic Nose for Analyzing the Smell of Nasal Secretions in Calves: Toward Noninvasive Diagnosis of Infectious Bronchopneumonia. Vet. Sci. 2021, 8, 74. [Google Scholar] [CrossRef] [PubMed]
- Küntzel, A.; Oertel, P.; Trefz, P.; Miekisch, W.; Schubert, J.K.; Köhler, H.; Reinhold, P. Animal Science Meets Agricultural Practice: Preliminary Results of an Innovative Technical Approach for Exhaled Breath Analysis in Cattle under Field Conditions. Berl. Munch. Tierarztl. Wochenschr. 2018, 131, 444–452. [Google Scholar] [CrossRef]
- Khorramifar, A.; Karami, H.; Lvova, L.; Kolouri, A.; Łazuka, E.; Piłat-Rożek, M.; Łagód, G.; Ramos, J.; Lozano, J.; Kaveh, M.; et al. Environmental Engineering Applications of Electronic Nose Systems Based on MOX Gas Sensors. Sensors 2023, 23, 5716. [Google Scholar] [CrossRef] [PubMed]
- Zhai, Z.; Liu, Y.; Li, C.; Wang, D.; Wu, H. Electronic Noses: From Gas-Sensitive Components and Practical Applications to Data Processing. Sensors 2024, 24, 4806. [Google Scholar] [CrossRef] [PubMed]
- Li, B.; Zhou, Q.; Peng, S.; Liao, Y. Recent Advances of SnO2-Based Sensors for Detecting Volatile Organic Compounds. Front. Chem. 2020, 8, 321. [Google Scholar] [CrossRef]
- Figaro Engineering Inc. Figaro Gas Sensor TGS 2620. Available online: https://www.unitronic.de/wp-content/uploads/productimports/16525_DB_TGS2620.pdf (accessed on 11 February 2025).
- Figaro Engineering Inc. Figaro Gas Sensor TGS 822. Available online: https://cdn.soselectronic.com/productdata/03/a8/53fad086/tgs-822.pdf (accessed on 11 February 2025).
- van Erp-van der Kooij, E.; Derix, J.; van Gorp, S.; Timmermans, A.; Krijnen, C.; Fodor, I.; Dingboom, L. Breath Analysis for Early Detection of Rising Ketone Bodies in Postpartum Dairy Cows Classified as at Risk of Ketosis. Ruminants 2023, 3, 39–54. [Google Scholar] [CrossRef]
- Hernandez, H. Molecular Modeling of Macroscopic Phase Changes 1: Liquid Evaporation. ForsChem. Res. Rep. 2022, 7, 1–20. [Google Scholar]
- Tugyi, L.; Siménfalvi, Z.; Szepesi, L.G. Experimental and Theoretical Investigation of Acetone Evaporation. Multidiszcip. tud. 2021, 11, 132–144. [Google Scholar] [CrossRef]
- Lauth, J.S. Vapor Pressure. In Physical Chemistry in a Nutshell, 1st ed.; Springer: Berlin/Heidelberg, Germany, 2023; pp. 83–98. [Google Scholar]
- Antoine, C. Tensions Des Vapeurs; Nouvelle Relation Entre Les Tensions et Les Températures. C. R. Acad. Sci. Hebd. Seances Acad. Sci. D 1888, 107, 681–684. [Google Scholar]
- Ambrose, D.; Sprake, C.H.S.; Townsend, R. Thermodynamic Properties of Organic Oxygen Compounds XXXIII. The Vapour Pressure of Acetone. J. Chem. Thermodyn. 1974, 6, 693–700. [Google Scholar] [CrossRef]
- Raoult, F.M. Loi Générale Des Tensions de Vapeur Des Dissolvants. C. R. Hebd. Seances Acad. Sci. 1887, 104, 1430–1433. [Google Scholar]
- Clapeyron, É. Memoire Sur La Puissance Motrice de La Chaleur. J. Éc Polytech. 1834, 14, 153–190. [Google Scholar]
- Thati, A.; Biswas, A.; Chowdhury, S.R.; Sau, T.K. Breath Acetone-Based Non-Invasive Detection of Blood Glucose Levels. Int. J. Smart Sens. Intell. Syst. 2015, 8, 1244–1260. [Google Scholar] [CrossRef]
- An, W.; Yang, C. Review on Temperature Modulation Technology of Gas Sensors. Appl. Mech. Mat. 2012, 143–144, 567–571. [Google Scholar] [CrossRef]
- Mahdavi, H.; Rahbarpour, S.; Hosseini-Golgoo, S.M.; Jamaati, H. Reducing the Destructive Effect of Ambient Humidity Variations on Gas Detection Capability of a Temperature Modulated Gas Sensor by Calcium Chloride. Sens. Actuators B Chem. 2021, 331, 129091. [Google Scholar] [CrossRef]
- Pan, L.; Yang, S.X. An Electronic Nose Network System for Online Monitoring of Livestock Farm Odors. IEEE/ASME Trans. Mechatron. 2009, 14, 371–376. [Google Scholar] [CrossRef]
- Liang, Z.; Tian, F.; Yang, S.X.; Zhang, C.; Sun, H.; Liu, T. Study on Interference Suppression Algorithms for Electronic Noses: A Review. Sensors 2018, 18, 1179. [Google Scholar] [CrossRef] [PubMed]














| Sensor | Load Resistance (RL) | Sensor resistance (RS) Sensor Resistance at 300 ppm of Ethanol at 20 °C and 65% R.H | Sensor Resistance (R0) Sensor Resistance at 50 ppm of Ethanol at 20 °C and 65% R.H |
|---|---|---|---|
| TGS 822 | 10 kΩ | 1 kΩ~10 kΩ | 13.75 kΩ |
| TGS 2620 | 4.7 kΩ | 1 kΩ~5 kΩ | 7.5 kΩ |
| Day | Ambient Temperature | Acetone Solutions Analyzed | Sample Volume | Vial Volume |
|---|---|---|---|---|
| 1: 22 October 2024 | 21 °C | 1 ppm–2 ppm–3 ppm–4 ppm–5 ppm–10 ppm | 20 mL | 25 mL |
| 2: 23 October 2024 | 17 °C | 1 ppm–1.5 ppm–2.5 ppm–6 ppm–7 ppm–8 ppm | ||
| 3: 24 October 2024 | 17.5 °C | 1 ppm–2 ppm–3 ppm–4 ppm–9 ppm–10 ppm |
| LDA | Air | 2 ppm | 3 ppm | 4 ppm | 5 ppm | 10 ppm | QDA | Air | 2 ppm | 3 ppm | 4 ppm | 5 ppm | 10 ppm |
|---|---|---|---|---|---|---|---|---|---|---|---|---|---|
| Air | 178 | 0 | 0 | 0 | 0 | 0 | Air | 176 | 0 | 0 | 0 | 0 | 0 |
| 2 ppm | 1 | 31 | 7 | 3 | 0 | 0 | 2 ppm | 0 | 35 | 2 | 0 | 0 | 0 |
| 3 ppm | 0 | 5 | 28 | 0 | 0 | 0 | 3 ppm | 3 | 1 | 33 | 0 | 0 | 0 |
| 4 ppm | 0 | 0 | 0 | 33 | 0 | 0 | 4 ppm | 0 | 0 | 0 | 36 | 0 | 0 |
| 5 ppm | 0 | 0 | 1 | 0 | 36 | 2 | 5 ppm | 0 | 0 | 1 | 0 | 36 | 0 |
| 10 ppm | 0 | 0 | 0 | 0 | 0 | 34 | 10 ppm | 0 | 0 | 0 | 0 | 0 | 36 |
| Total N | 179 | 36 | 36 | 36 | 36 | 36 | Total N | 179 | 36 | 36 | 36 | 36 | 36 |
| N correct | 178 | 31 | 28 | 33 | 36 | 34 | N correct | 176 | 35 | 33 | 36 | 36 | 36 |
| Proportion | 0.994 | 0.861 | 0.778 | 0.917 | 1.000 | 0.944 | Proportion | 0.983 | 0.972 | 0.917 | 1.000 | 1.000 | 1.000 |
| N = 359 | N Correct = 340 | Proportion Correct = 0.947 | N = 359 | N Correct = 352 | Proportion Correct = 0.981 | ||||||||
| LDA | Air | 1.5 ppm | 2.5 ppm | 6 ppm | 7 ppm | 8 ppm | QDA | Air | 1.5 ppm | 2.5 ppm | 6 ppm | 7 ppm | 8 ppm |
|---|---|---|---|---|---|---|---|---|---|---|---|---|---|
| Air | 186 | 0 | 0 | 0 | 0 | 0 | Air | 191 | 0 | 0 | 0 | 0 | 0 |
| 1.5 ppm | 6 | 31 | 4 | 0 | 0 | 0 | 1.5 ppm | 1 | 34 | 1 | 0 | 0 | 0 |
| 2.5 ppm | 0 | 0 | 29 | 0 | 0 | 0 | 2.5 ppm | 0 | 0 | 35 | 0 | 0 | 0 |
| 6 ppm | 0 | 0 | 0 | 35 | 1 | 1 | 6 ppm | 0 | 0 | 0 | 36 | 1 | 0 |
| 7 ppm | 0 | 5 | 3 | 0 | 35 | 0 | 7 ppm | 0 | 2 | 0 | 0 | 35 | 0 |
| 8 ppm | 0 | 0 | 0 | 1 | 0 | 35 | 8 ppm | 0 | 0 | 0 | 0 | 0 | 36 |
| Total N | 192 | 36 | 36 | 36 | 36 | 36 | Total N | 192 | 36 | 36 | 36 | 36 | 36 |
| N correct | 186 | 31 | 29 | 35 | 35 | 35 | N correct | 191 | 34 | 35 | 36 | 35 | 36 |
| Proportion | 0.969 | 0.861 | 0.806 | 0.972 | 0.972 | 0.972 | Proportion | 0.995 | 0.944 | 0.972 | 1.000 | 0.972 | 1.000 |
| N = 372 | N Correct = 351 | Proportion Correct = 0.944 | N = 372 | N Correct = 367 | Proportion Correct = 0.987 | ||||||||
| LDA | Air | 2 ppm | 3 ppm | 4 ppm | 9 ppm | 10 ppm | QDA | Air | 2 ppm | 3 ppm | 4 ppm | 9 ppm | 10 ppm |
|---|---|---|---|---|---|---|---|---|---|---|---|---|---|
| Air | 112 | 11 | 4 | 1 | 0 | 6 | Air | 123 | 3 | 0 | 0 | 0 | 1 |
| 2 ppm | 28 | 21 | 0 | 4 | 0 | 1 | 2 ppm | 20 | 31 | 0 | 3 | 0 | 0 |
| 3 ppm | 13 | 0 | 29 | 1 | 1 | 4 | 3 ppm | 5 | 0 | 35 | 1 | 0 | 1 |
| 4 ppm | 0 | 2 | 0 | 28 | 0 | 0 | 4 ppm | 0 | 2 | 0 | 31 | 0 | 0 |
| 9 ppm | 1 | 2 | 1 | 0 | 30 | 0 | 9 ppm | 1 | 0 | 0 | 0 | 35 | 1 |
| 10 ppm | 2 | 0 | 2 | 2 | 5 | 25 | 10 ppm | 7 | 0 | 1 | 1 | 1 | 33 |
| Total N | 156 | 36 | 36 | 36 | 36 | 36 | Total N | 156 | 36 | 36 | 36 | 36 | 36 |
| N correct | 112 | 21 | 29 | 28 | 30 | 25 | N correct | 123 | 31 | 35 | 31 | 35 | 33 |
| Proportion | 0.718 | 0.583 | 0.806 | 0.778 | 0.833 | 0.694 | Proportion | 0.788 | 0.861 | 0.972 | 0.861 | 0.972 | 0.917 |
| N = 336 | N Correct = 245 | Proportion Correct = 0.729 | N = 336 | N Correct = 288 | Proportion Correct = 0.857 | ||||||||
| Day | Acetone Solutions Analyzed | Acetone Concentration in the Headspace |
|---|---|---|
| 1 (21 °C) | 1 ppm–2 ppm–3 ppm–4 ppm–5 ppm–10 ppm | 0.19 ppm–0.38 ppm–0.57 ppm–0.73 ppm–0.91 ppm–1.89 ppm |
| 2 (17 °C) | 1 ppm–1.5 ppm–2.5 ppm–6 ppm–7 ppm–8 ppm | 0–16 ppm–0.24 ppm–0.40 ppm–0.96 ppm–1.12 ppm–1.28 ppm |
| 3 (17.5 °C) | 1 ppm–2 ppm–3 ppm–4 ppm–9 ppm–10 ppm | 0.16 ppm–0.33 ppm–0.49 ppm–0.63 ppm–1.47 ppm–1.64 ppm |
Disclaimer/Publisher’s Note: The statements, opinions and data contained in all publications are solely those of the individual author(s) and contributor(s) and not of MDPI and/or the editor(s). MDPI and/or the editor(s) disclaim responsibility for any injury to people or property resulting from any ideas, methods, instructions or products referred to in the content. |
© 2025 by the authors. Licensee MDPI, Basel, Switzerland. This article is an open access article distributed under the terms and conditions of the Creative Commons Attribution (CC BY) license (https://creativecommons.org/licenses/by/4.0/).
Share and Cite
Giovinazzo, S.; Romano, E.; Bisaglia, C.; Calcante, A.; Naldi, E.; Oberti, R.; Filisetti, A.; Rozzoni, G.; Brambilla, M. Design of a Sensory Device for the Characterization of the Volatile Organic Compounds Fingerprint in the Breath of Dairy Cattle. AgriEngineering 2025, 7, 55. https://doi.org/10.3390/agriengineering7030055
Giovinazzo S, Romano E, Bisaglia C, Calcante A, Naldi E, Oberti R, Filisetti A, Rozzoni G, Brambilla M. Design of a Sensory Device for the Characterization of the Volatile Organic Compounds Fingerprint in the Breath of Dairy Cattle. AgriEngineering. 2025; 7(3):55. https://doi.org/10.3390/agriengineering7030055
Chicago/Turabian StyleGiovinazzo, Simone, Elio Romano, Carlo Bisaglia, Aldo Calcante, Ezio Naldi, Roberto Oberti, Alex Filisetti, Gianluigi Rozzoni, and Massimo Brambilla. 2025. "Design of a Sensory Device for the Characterization of the Volatile Organic Compounds Fingerprint in the Breath of Dairy Cattle" AgriEngineering 7, no. 3: 55. https://doi.org/10.3390/agriengineering7030055
APA StyleGiovinazzo, S., Romano, E., Bisaglia, C., Calcante, A., Naldi, E., Oberti, R., Filisetti, A., Rozzoni, G., & Brambilla, M. (2025). Design of a Sensory Device for the Characterization of the Volatile Organic Compounds Fingerprint in the Breath of Dairy Cattle. AgriEngineering, 7(3), 55. https://doi.org/10.3390/agriengineering7030055

