Evaluation of Reuse of Spent Mushroom Substrate for New Pleurotus ostreatus Crop Cycle
Abstract
1. Introduction
2. Materials and Methods
2.1. First Experiment
2.2. Second Experiment
2.3. Third Experiment
2.4. Substrate Preparation
2.5. Spawn Production and Inoculation
2.6. Mushroom Production and Harvest
2.7. Analyzed Variables
2.8. Experimental Design and Data Analysis
3. Results
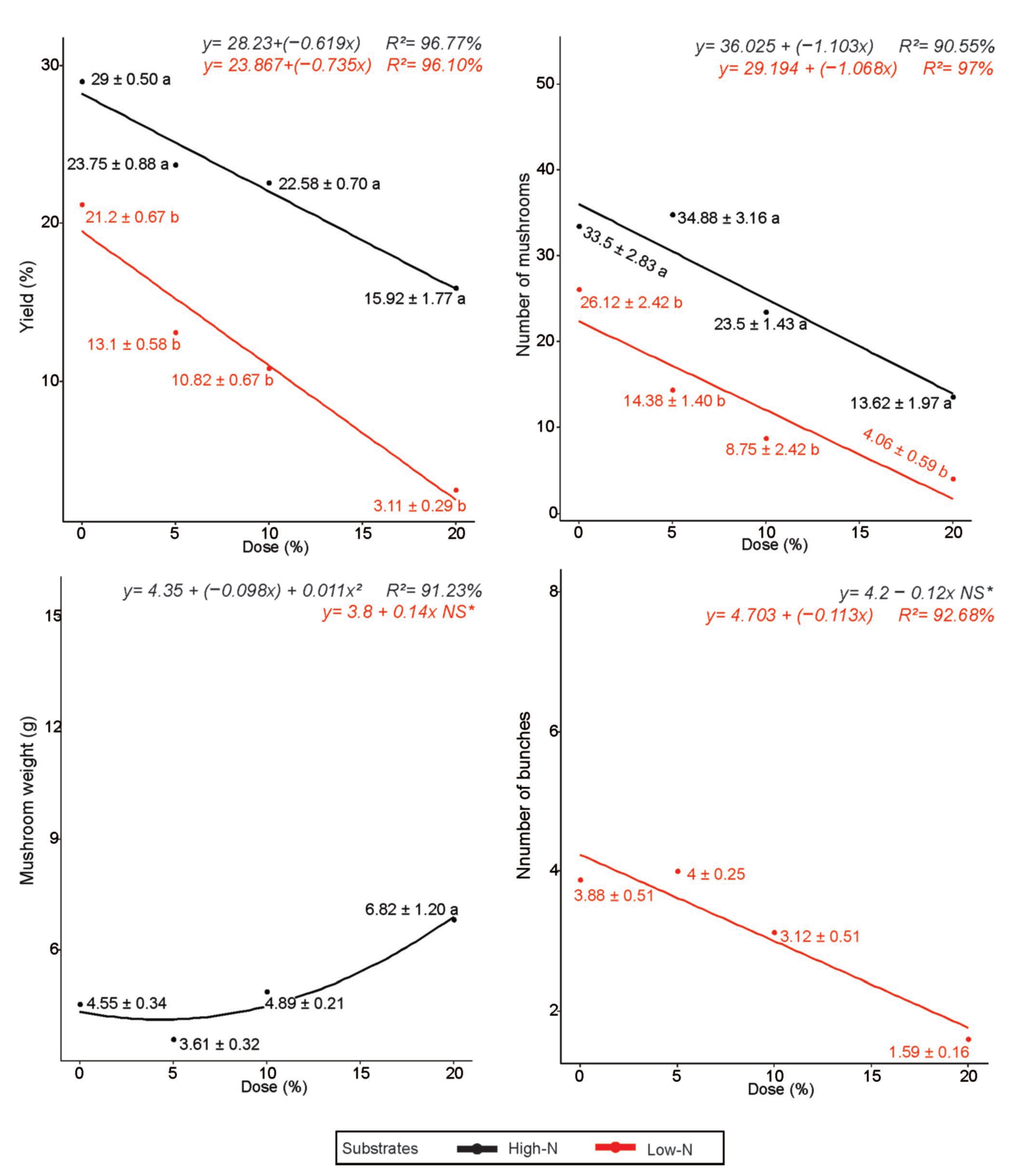
3.1. First Experiment
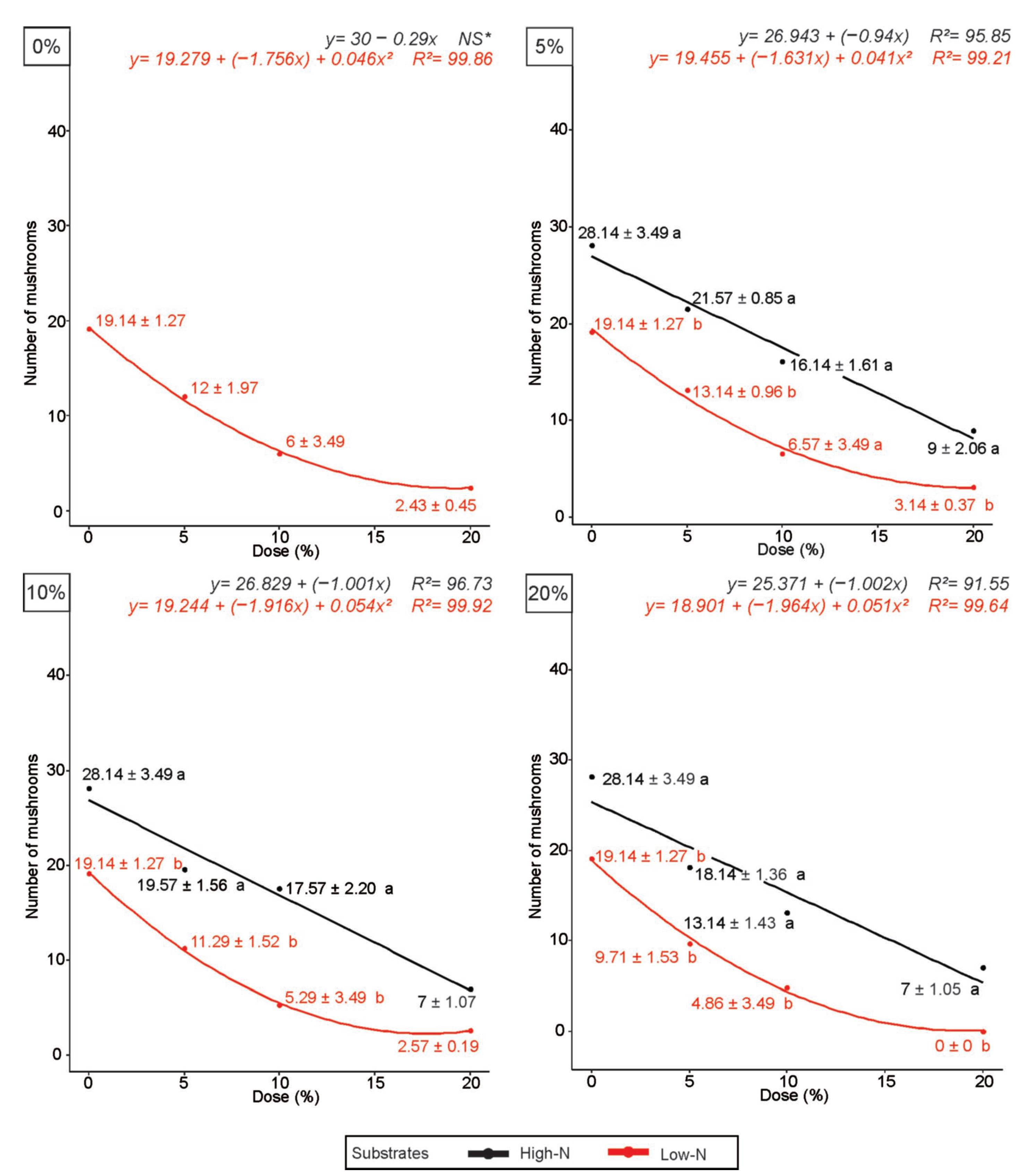
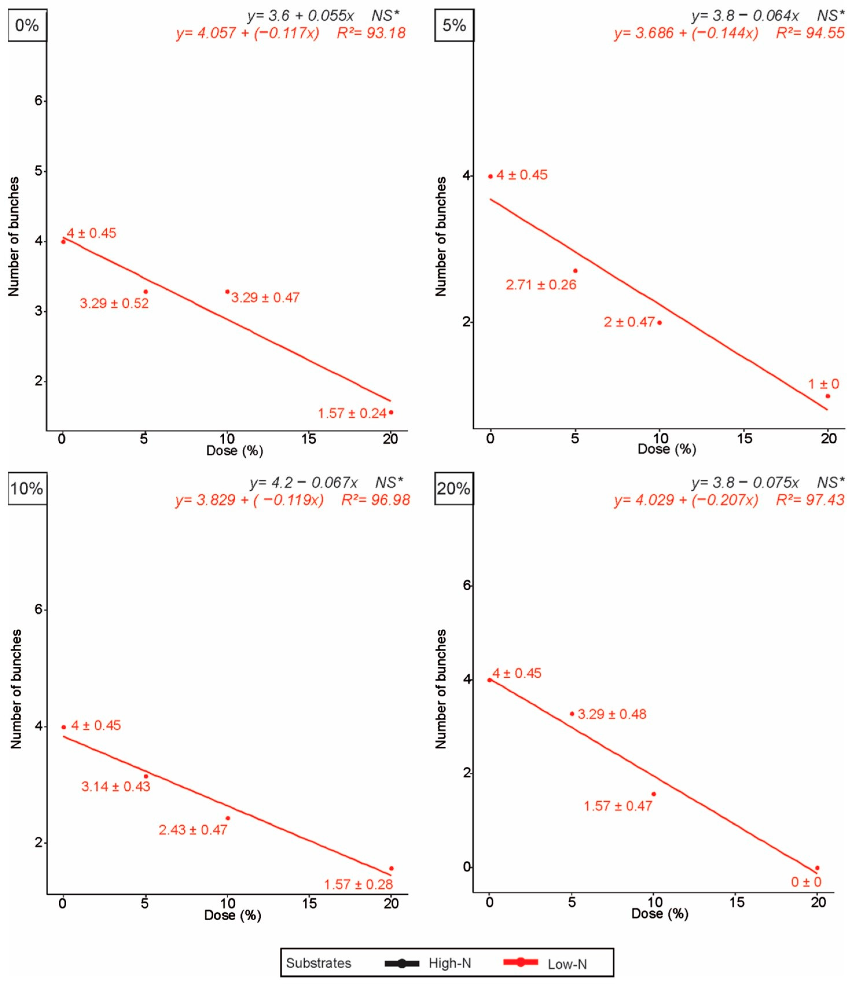
3.2. Second Experiment
3.3. Third Experiment
4. Discussion
5. Conclusions
Author Contributions
Funding
Data Availability Statement
Conflicts of Interest
References
- Bijla, S. Status of mushroom production: Global and national scenario. Mushroom Res. 2023, 32, 91–98. [Google Scholar] [CrossRef]
- Arshadi, N.; Nouri, H.; Moghimi, H. Increasing the Production of the Bioactive Compounds in Medicinal Mushrooms: An Omics Perspective. Microb. Cell Fact. 2023, 22, 11. [Google Scholar] [CrossRef] [PubMed]
- Medihi, N.I.; Haiyee, Z.A.; Patmawati; Sukor, R.; Raseetha, S. Exploring the Functional Properties and Nutritional Values of Colored Oyster Mushrooms Species (Pleurotus, Agaricomycetes): A Review. Int. J. Med. Mushrooms 2024, 26, 25–38. [Google Scholar] [CrossRef] [PubMed]
- Zhou, Y.; Chu, M.; Ahmadi, F.; Agar, O.T.; Barrow, C.J.; Dunshea, F.R.; Suleria, H.A.R. A Comprehensive Review on Phytochemical Profiling in Mushrooms: Occurrence, Biological Activities, Applications and Future Prospective. Food Rev. Int. 2024, 40, 924–951. [Google Scholar] [CrossRef]
- Nandi, S.; Sikder, R.; Rapior, S.; Arnould, S.; Simal-Gandara, J.; Acharya, K. A Review for Cancer Treatment with Mushroom Metabolites through Targeting Mitochondrial Signaling Pathway: In Vitro and in Vivo Evaluations, Clinical Studies and Future Prospects for Mycomedicine. Fitoterapia 2024, 172, 105681. [Google Scholar] [CrossRef]
- Chen, X.-J.; Deng, Z.; Zhang, L.-L.; Pan, Y.; Fu, J.; Zou, L.; Bai, Z.; Xiao, X.; Sheng, F. Therapeutic Potential of the Medicinal Mushroom Ganoderma Lucidum against Alzheimer’s Disease. Biomed. Pharmacother. 2024, 172, 116222. [Google Scholar] [CrossRef]
- Zhao, Q.; Liu, X.; Cui, L.; Ma, C. Extraction and Bioactivities of the Chemical Composition from Pleurotus Ostreaus: A Review. J. Future Foods 2024, 4, 111–118. [Google Scholar] [CrossRef]
- Jahedi, A.; Ahmadifar, S.; Mohammadigoltapeh, E. Revival of Wild Edible-Medicinal Mushroom (Hericium Erinaceus) Based on Organic Agro-Industrial Waste- Achieving a Commercial Protocol with the Highest Yield; Optimum Reuse of Organic Waste. Sci. Hortic. 2024, 323, 112510. [Google Scholar] [CrossRef]
- De Mastro, F.; Traversa, A.; Matarrese, F.; Cocozza, C.; Brunetti, G. Influence of Growing Substrate Preparation on the Biological Efficiency of Pleurotus Ostreatus. Horticulturae 2023, 9, 439. [Google Scholar] [CrossRef]
- Claude, I.; Aimable, N.; Mediatrice, H.; Zhou, H.; Lin, D.; Liu, P.; Lin, Z. Evaluation of the Influence of Varied Juncao Grass Substrates on Physiological and Enzymatic Reactions of Pleurotus Ostreatus. Curr. Issues Mol. Biol. 2024, 46, 9493–9502. [Google Scholar] [CrossRef]
- Kousar, A.; Khan, H.A.; Farid, S.; Zhao, Q.; Zeb, I. Recent Advances on Environmentally Sustainable Valorization of Spent Mushroom Substrate: A Review. Biofuels Bioprod. Biorefin. 2024, 18, 639–651. [Google Scholar] [CrossRef]
- Atallah, E.; Zeaiter, J.; Ahmad, M.N.; Leahy, J.J.; Kwapinski, W. Hydrothermal Carbonization of Spent Mushroom Compost Waste Compared against Torrefaction and Pyrolysis. Fuel Process. Technol. 2021, 216, 106795. [Google Scholar] [CrossRef]
- Rodriguez Estrada, A.E.; Jimenez-Gasco, M.d.M.; Royse, D.J. Improvement of Yield of Pleurotus Eryngii Var. Eryngii by Substrate Supplementation and Use of a Casing Overlay. Bioresour. Technol. 2009, 100, 5270–5276. [Google Scholar] [CrossRef]
- Najafi, B.; Faizollahzadeh Ardabili, S.; Shamshirband, S.; Chau, K. Spent Mushroom Compost (SMC) as a Source for Biogas Production in Iran. Eng. Appl. Comput. Fluid Mech. 2019, 13, 967–982. [Google Scholar] [CrossRef]
- Da Silva Alves, L.; Tolardo, G.; Caitano, C.E.C.; Vieira Júnior, W.G.; Gomes Freitas, P.N.; Cunha Zied, D. Use of Spent Mushroom Substrate for Cherry Tomato Seedlings; a Potential Alternative to Peat in Horticulture. Biol. Agric. Hortic. 2024, 40, 127–140. [Google Scholar] [CrossRef]
- Grimm, A.; dos Reis, G.S.; Dinh, V.M.; Larsson, S.H.; Mikkola, J.-P.; Lima, E.C.; Xiong, S. Hardwood Spent Mushroom Substrate–Based Activated Biochar as a Sustainable Bioresource for Removal of Emerging Pollutants from Wastewater. Biomass Conv. Bioref. 2024, 14, 2293–2309. [Google Scholar] [CrossRef]
- Yang, G.; Ma, Y.; Ma, X.; Wang, X.; Lu, C.; Xu, W.; Luo, J.; Guo, D. Changes in Soil Organic Carbon Components and Microbial Community Following Spent Mushroom Substrate Application. Front. Microbiol. 2024, 15, 1351921. [Google Scholar] [CrossRef]
- Zied, D.C.; Sánchez, J.E.; Noble, R.; Pardo-Giménez, A. Use of Spent Mushroom Substrate in New Mushroom Crops to Promote the Transition towards a Circular Economy. Agronomy 2020, 10, 1239. [Google Scholar] [CrossRef]
- Guo, J.; Zhang, M.; Fang, Z. Valorization of mushroom by-products: A review. J. Sci. Food Agric. 2022, 102, 5593–5605. [Google Scholar] [CrossRef]
- Aiduang, W.; Jatuwong, K.; Kiatsiriroat, T.; Kamopas, W.; Tiyayon, P.; Jawana, R.; Xayyavong, O.; Lumyong, S. Spent Mushroom Substrate-Derived Biochar and Its Applications in Modern Agricultural Systems: An Extensive Overview. Life 2025, 15, 317. [Google Scholar] [CrossRef]
- Moreaux, K. Spawn Production. In Edible and Medicinal Mushrooms; John Wiley & Sons, Ltd.: Hoboken, NJ, USA, 2017; pp. 89–128. ISBN 978-1-119-14944-6. [Google Scholar]
- Mapa, Ministério da Agricultura, Pecuária e Abastecimento, Brasil. Brasil Métodos Analíticos Oficiais Para Análise de Substratos Para Plantas e Condicionadores de Solo; Secretaria de Defesa Agropecuária: Brasília, Brazil, 2007; 8p. [Google Scholar]
- Mapa, Ministério da Agricultura, Pecuária e Abastecimento, Brasil. Manual de Métodos Analíticos Oficiais Para Fertilizantes e Corretivos; Secretaria de Defesa Agropecuária: Brasília, Brazil, 2007; 240p. [Google Scholar]
- R Core Team. A Language and Environment for Statistical Computing; R Core Team: Vienna, Austria, 2016. [Google Scholar]
- Dedousi, M.; Melanouri, E.-M.; Karayannis, D.; Kaminarides, E.-I.; Diamantopoulou, P. Utilização de Substratos Usados e Resíduos Do Cultivo de Cogumelos Para Produzir Novas Culturas de Pleurotus Ostreatus, Pleurotus Eryngii e Agaricus Bisporus. Carbon Resour Convers 2024, 7, 100196. [Google Scholar] [CrossRef]
- Papanikolaou, S.; Aggelis, G. Sources of Microbial Oils with Emphasis to Mortierella (Umbelopsis) Isabellina Fungus. World J. Microbiol. Biotechnol. 2019, 35, 63. [Google Scholar] [CrossRef]
- Papanikolaou, S.; Aggelis, G. Lipids of Oleaginous Yeasts. Part I: Biochemistry of Single Cell Oil Production. Eur. J. Lipid Sci. Technol. 2011, 113, 1031–1051. [Google Scholar] [CrossRef]
- Bellettini, M.B.; Fiorda, F.A.; Maieves, H.A.; Teixeira, G.L.; Ávila, S.; Hornung, P.S.; Júnior, A.M.; Ribani, R.H. Factors Affecting Mushroom Pleurotus spp. Saudi J. Biol. Sci. 2019, 26, 633–646. [Google Scholar] [CrossRef]
- Muswati, C.; Simango, K.; Tapfumaneyi, L.; Mutetwa, M.; Ngezimana, W. The Effects of Different Substrate Combinations on Growth and Yield of Oyster Mushroom (Pleurotus ostreatus). Int. J. Agron. 2021, 2021, 9962285. [Google Scholar] [CrossRef]
- Jonathan, S.G.; Fasidi, I.O. Effect of Carbon, Nitrogen and Mineral Sources on Growth of Psathyerella Atroumbonata (Pegler), a Nigerian Edible Mushroom. Food Chem. 2001, 72, 479–483. [Google Scholar] [CrossRef]
- Royse, D.J.; Sanchez-Vazquez, J.E. Influence of Precipitated Calcium Carbonate (CaCO3) on Shiitake (Lentinula Edodes) Yield and Mushroom Size. Bioresour. Technol. 2003, 90, 225–228. [Google Scholar] [CrossRef]
- Yang, W.; Guo, F.; Wan, Z. Yield and Size of Oyster Mushroom Grown on Rice/Wheat Straw Basal Substrate Supplemented with Cotton Seed Hull. Saudi J. Biol. Sci. 2013, 20, 333–338. [Google Scholar] [CrossRef]
- Hoa, H.T.; Wang, C.L.; Wang, C.H. The effects of different substrates on the growth, yield, and nutritional composition of two oyster mushrooms (Pleurotus ostreatus and Pleurotus cystidiosus). Microbiology 2015, 43, 423–434. [Google Scholar] [CrossRef]
- Sultana, R.; Hossain, I.; Chakraborty, R. Influence of Substrate pH and Watering Frequency on the Growth of Oyster Mushroom. Int. J. Plant. Biol. Res. 2018, 6, 1097. [Google Scholar]
- Vilas, P.M.; Jadhav, A.C.; Dhavale, M.C.; Hasabnis, S.N.; Gaikwad, A.P.; Jadhav, P.R.; Ajit, P.S. Effect of Cultural Variability on Mycellial Growth of Eleven Mushroom Isolates of Pleurotus spp. J. Pharmacogn. Phytochem. 2020, 9, 881–888. [Google Scholar]
- Boadu, K.B.; Nsiah-Asante, R.; Antwi, R.T.; Obirikorang, K.A.; Anokye, R.; Ansong, M. Influence of the Chemical Content of Sawdust on the Levels of Important Macronutrients and Ash Composition in Pearl Oyster Mushroom (Pleurotus Ostreatus). PLoS ONE 2023, 18, e0287532. [Google Scholar] [CrossRef] [PubMed]
- Ribas, L.C.C.; de Mendonça, M.M.; Camelini, C.M.; Soares, C.H.L. Use of Spent Mushroom Substrates from Agaricus Subrufescens (Syn, A. Blazei, A. Brasiliensis) and Lentinula Edodes Productions in the Enrichment of a Soil-Based Potting Media for Lettuce (Lactuca Sativa) Cultivation: Growth Promotion and Soil. Bioremediation. Bioresour. Technol. 2009, 100, 4750–4757. [Google Scholar] [CrossRef] [PubMed]
- Cebula, J.; Pelczar, J.; Loska, K.; Widziewicz, K. The Effect of Spent Mushroom Substrate Field Storage Conditions on Its Leachate Composition. Inż. Ochr. Śr. 2013, 16, 93–102. [Google Scholar]
- Narváez, L.; Bolaños, A.C.; Chaurra, A.; Zuñiga Escobar, O.; Narváez, L.; Bolaños, A.C.; Chaurra, A.; Zuñiga Escobar, O. Changes in macronutrients and physical properties during the growth of Lentinula edodes and Pleurotus ostreatus in a compost based on sugarcane bagasse agricultural waste. Chil. J. Agric. Anim. Sci. 2021, 37, 301–312. [Google Scholar] [CrossRef]
- Prasad, R.; Lisiecka, J.; Antala, M.; Rastogi, A. Influence of Different Spent Mushroom Substrates on Yield, Morphological and Photosynthetic Parameters of Strawberry (Fragaria × Ananassa Duch.). Agronomy 2021, 11, 2086. [Google Scholar] [CrossRef]
- Philippoussis, A.; Zervakis, G.; Diamantopoulou, P. Bioconversion of Agricultural Lignocellulosic Wastes through the Cultivation of the Edible Mushrooms Agrocybe aegerita, Volvariella volvacea and Pleurotus spp. World J. Microbiol. Biotechnol. 2001, 17, 191–200. [Google Scholar] [CrossRef]
- Lou, Z.; Sun, Y.; Zhou, X.; Baig, S.A.; Hu, B.; Xu, X. Composition Variability of Spent Mushroom Substrates during Continuous Cultivation, Composting Process and Their Effects on Mineral Nitrogen Transformation in Soil. Geoderma 2017, 307, 30–37. [Google Scholar] [CrossRef]
- Hřebečková, T.; Wiesnerová, L.; Hanč, A. Change in Agrochemical and Biochemical Parameters during the Laboratory Vermicomposting of Spent Mushroom Substrate after Cultivation of Pleurotus Ostreatus. Sci. Total Environ. 2020, 739, 140085. [Google Scholar] [CrossRef]
- Vieira Junior, W.G.; Caitano, C.E.C.; Alves, L.d.S.; Teixeira, P.A.G.; Noble, R.; Pardo, J.E.; Zied, D.C. From Waste to Resource: Sustainable Reuse of Spent Shiitake Mushroom Substrate in Subsequent Production Cycles. Int. Biodeterior. Biodegrad. 2025, 200, 106034. [Google Scholar] [CrossRef]








| Substrates | Yield (%) | Mushrooms Number (u) | Mushroom Weight (g) | Number Bunches (u) |
|---|---|---|---|---|
| High-N | 30.66 a | 25.08 | 6.35 a | 4.16 |
| Low-N | 23.9 b | 24.08 | 5.15 b | 4.33 |
| CV (%) | 12.2 | 22.78 | 21.07 | 28.52 |
| Substrate | N (%) | C (%) | C/N Ratio | EC mS/cm | pH |
|---|---|---|---|---|---|
| High-N | 0.84 | 48.9 | 58.2 | 1.57 | 5.70 |
| Low-N | 0.51 | 47.8 | 93.6 | 1.01 | 5.69 |
| Spent Mushroom Substrate | |||||
| High-N | 0.69 | 45.7 | 66.6 | 2.09 | 5.19 |
| Low-N | 0.50 | 45.7 | 90.7 | 2.06 | 5.12 |
| Formulations | N | C | C/N Ratio | EC | |
|---|---|---|---|---|---|
| % | mS/cm | pH | |||
| Initial substrate | |||||
| High-N + 0% SMS | 1.39 | 50.4 | 36.4 | 2.45 | 5.56 |
| High-N + 5% SMS | 1.240 | 49.810 | 40.182 | 1.925 | 5.500 |
| High-N + 10% SMS | 1.089 | 48.950 | 44.941 | 1.400 | 5.480 |
| High-N + 20% SMS | 0.788 | 48.005 | 60.889 | 1.330 | 5.450 |
| Low-N + 0% SMS | 1.02 | 51.1 | 50.4 | 1.191 | 6.02 |
| Low-N + 5% SMS | 0.900 | 50.680 | 56.311 | 0.981 | 5.980 |
| Low-N + 10% SMS | 0.740 | 49.950 | 67.500 | 0.771 | 5.780 |
| Low-N + 20% SMS | 0.595 | 48.455 | 83.950 | 0.698 | 5.540 |
| Spent Mushroom Substrate | |||||
| SMS High-N + 0% | 0.94 | 46.77 | 49.76 | 2.78 | 4.62 |
| SMS High-N + 5% | 0.97 | 47.31 | 48.77 | 3.13 | 4.52 |
| SMS High-N + 10% | 0.8 | 46.01 | 57.51 | 2.91 | 4.66 |
| SMS High-N + 20% | 0.5 | 46.02 | 92.04 | 2.04 | 4.66 |
| SMS Low-N + 0% | 0.78 | 48 | 61.54 | 2.84 | 4.42 |
| SMS Low-N + 5% | 0.64 | 48.5 | 75.78 | 2.16 | 5.19 |
| SMS Low-N + 10% | 0.43 | 47.45 | 110.35 | 1.56 | 5.69 |
| SMS Low-N + 20% | 0.26 | 46.01 | 176.96 | 1.342 | 5.7 |
| Substrate | N | C | C/N Ratio | EC | |
|---|---|---|---|---|---|
| % | mS/cm | pH | |||
| High-N + 0% SMS | 1.21 | 50.60 | 41.70 | 1.96 | 6.00 |
| High-N + 5% SMS of 0% | 1.18 | 49.90 | 42.29 | 1.70 | 6.03 |
| High-N + 10% SMS of 0% | 1.15 | 49.80 | 42.70 | 1.44 | 5.64 |
| High-N + 20% SMS of 0% | 1.09 | 49.90 | 45.78 | 0.93 | 5.34 |
| High-N + 5% SMS of 5% | 1.18 | 49.70 | 41.99 | 1.72 | 6.06 |
| High-N + 10% SMS of 5% | 1.16 | 49.80 | 43.04 | 1.48 | 5.88 |
| High-N + 20% SMS of 5% | 1.10 | 50.00 | 45.29 | 1.00 | 5.51 |
| High-N + 5% SMS of 10% | 1.18 | 49.90 | 42.47 | 1.71 | 6.05 |
| High-N + 10% SMS of 10% | 1.14 | 49.30 | 43.25 | 1.46 | 5.86 |
| High-N + 20% SMS of 10% | 1.07 | 49.60 | 46.36 | 0.95 | 5.48 |
| High-N + 5% SMS of 20% | 1.16 | 48.90 | 42.16 | 1.66 | 6.05 |
| High-N + 10% SMS of 20% | 1.11 | 49.50 | 44.59 | 1.37 | 5.86 |
| High-N + 20% SMS of 20% | 1.01 | 50.10 | 49.60 | 0.78 | 5.48 |
| Low-N + 0% SMS | 1.06 | 49.90 | 46.90 | 1.17 | 6.36 |
| Low-N + 5% SMS of 0% | 1.02 | 49.70 | 48.73 | 0.91 | 6.18 |
| Low-N + 10% SMS of 0% | 0.99 | 49.80 | 50.40 | 0.65 | 6.01 |
| Low-N + 20% SMS of 0% | 0.92 | 49.60 | 54.15 | 0.43 | 5.66 |
| Low-N + 5% SMS of 5% | 1.02 | 50.10 | 49.12 | 0.88 | 6.14 |
| Low-N + 10% SMS of 5% | 0.97 | 49.90 | 51.23 | 0.59 | 5.93 |
| Low-N + 20% SMS of 5% | 0.89 | 49.40 | 55.63 | 0.43 | 5.50 |
| Low-N + 5% SMS of 10% | 1.01 | 48.60 | 48.31 | 0.78 | 6.12 |
| Low-N + 10% SMS of 10% | 0.95 | 48.90 | 51.31 | 0.53 | 5.88 |
| Low-N + 20% SMS of 10% | 0.85 | 49.20 | 58.16 | 0.40 | 5.40 |
| Low-N + 5% SMS of 20% | 1.00 | 49.80 | 49.90 | 0.68 | 6.12 |
| Low-N + 10% SMS of 20% | 0.94 | 49.90 | 53.31 | 0.50 | 5.88 |
| Low-N + 20% SMS of 20% | 0.81 | 50.10 | 61.70 | 0.40 | 5.40 |
Disclaimer/Publisher’s Note: The statements, opinions and data contained in all publications are solely those of the individual author(s) and contributor(s) and not of MDPI and/or the editor(s). MDPI and/or the editor(s) disclaim responsibility for any injury to people or property resulting from any ideas, methods, instructions or products referred to in the content. |
© 2025 by the authors. Licensee MDPI, Basel, Switzerland. This article is an open access article distributed under the terms and conditions of the Creative Commons Attribution (CC BY) license (https://creativecommons.org/licenses/by/4.0/).
Share and Cite
Vieira Junior, W.G.; da Silva Alves, L.; de Moura, J.B.; de Paula, A.T.C.; da Silva Freitas, M.A.; Orti, M.Á.; Alegría, F.J.G.; Zied, D.C. Evaluation of Reuse of Spent Mushroom Substrate for New Pleurotus ostreatus Crop Cycle. AgriEngineering 2025, 7, 342. https://doi.org/10.3390/agriengineering7100342
Vieira Junior WG, da Silva Alves L, de Moura JB, de Paula ATC, da Silva Freitas MA, Orti MÁ, Alegría FJG, Zied DC. Evaluation of Reuse of Spent Mushroom Substrate for New Pleurotus ostreatus Crop Cycle. AgriEngineering. 2025; 7(10):342. https://doi.org/10.3390/agriengineering7100342
Chicago/Turabian StyleVieira Junior, Wagner Gonçalves, Lucas da Silva Alves, Jadson Belém de Moura, Adriano Taffarel Camargo de Paula, Marcos Antônio da Silva Freitas, Manuel Álvarez Orti, Francisco José Gea Alegría, and Diego Cunha Zied. 2025. "Evaluation of Reuse of Spent Mushroom Substrate for New Pleurotus ostreatus Crop Cycle" AgriEngineering 7, no. 10: 342. https://doi.org/10.3390/agriengineering7100342
APA StyleVieira Junior, W. G., da Silva Alves, L., de Moura, J. B., de Paula, A. T. C., da Silva Freitas, M. A., Orti, M. Á., Alegría, F. J. G., & Zied, D. C. (2025). Evaluation of Reuse of Spent Mushroom Substrate for New Pleurotus ostreatus Crop Cycle. AgriEngineering, 7(10), 342. https://doi.org/10.3390/agriengineering7100342

