Modeling Seed Longevity and Percentile Prediction: A Sigmoidal Function Approach in Soybean, Maize, and Tomato
Abstract
1. Introduction
2. Materials and Methods
2.1. Biological Material
2.2. Water Content
2.3. Germination
2.4. Longevity
2.5. Statistical Methodology
- = initial frequency;
- final frequency;
- time at moment ;
- time at which the frequency is 50%;
- time constant;
- base of the natural logarithm.
- is a parameter controlling the slope of the curve.
2.6. Fitting Longevity Predictors
- = the mean square of residuals;
- = number of observations;
- number of model parameters.
- is the sum of squares of the regression;
- is the total sum of squares.
2.7. Percentile Estimation
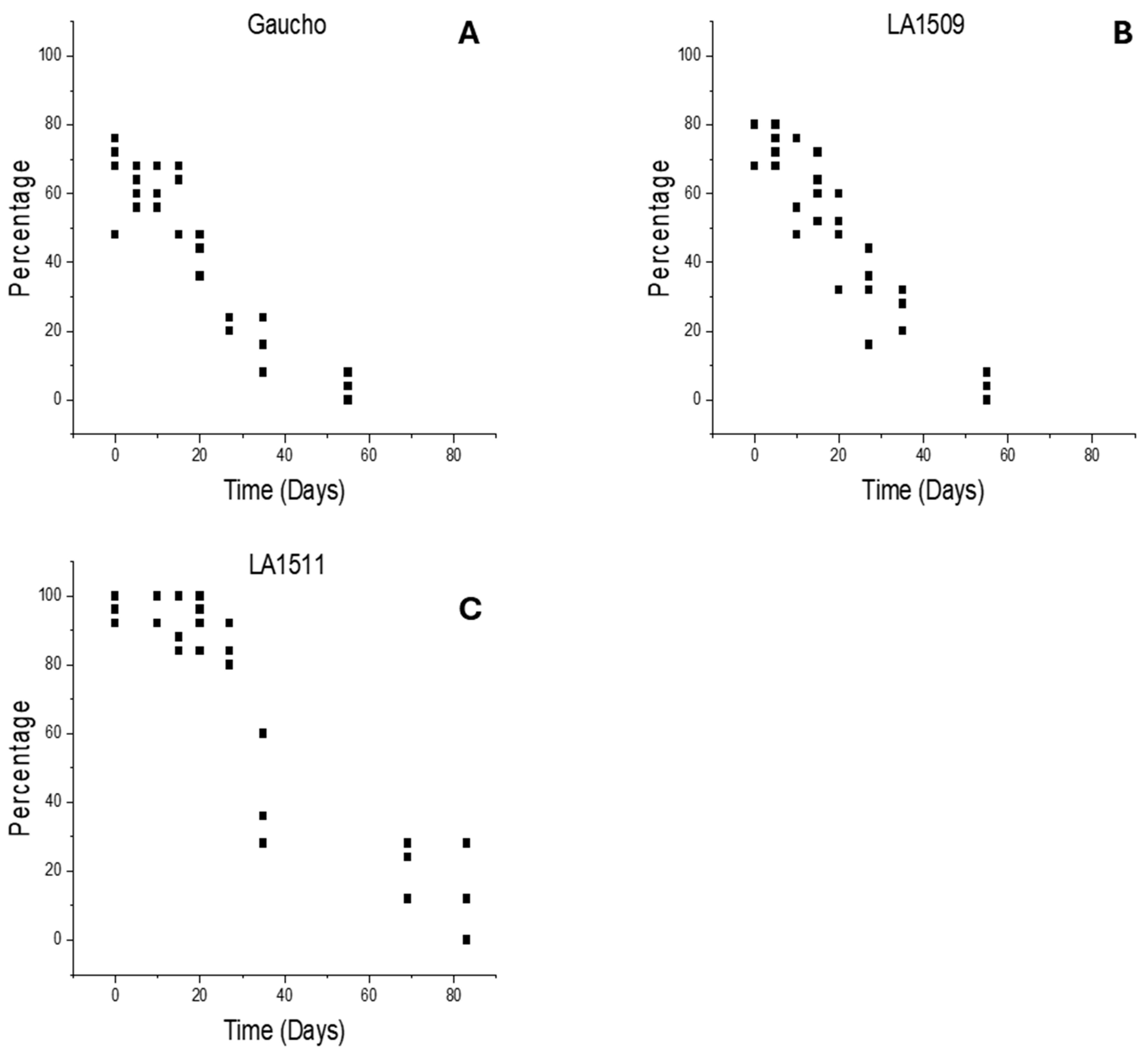
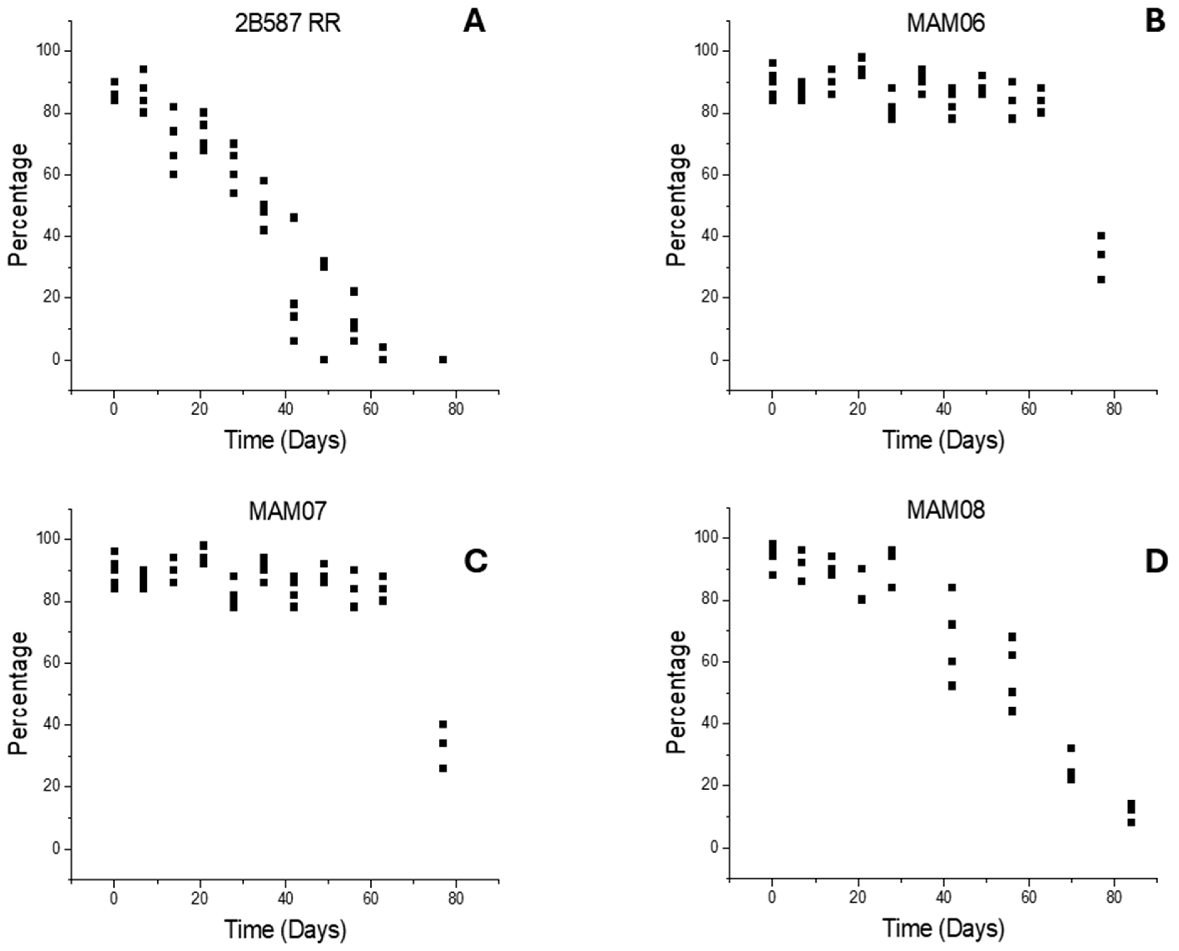
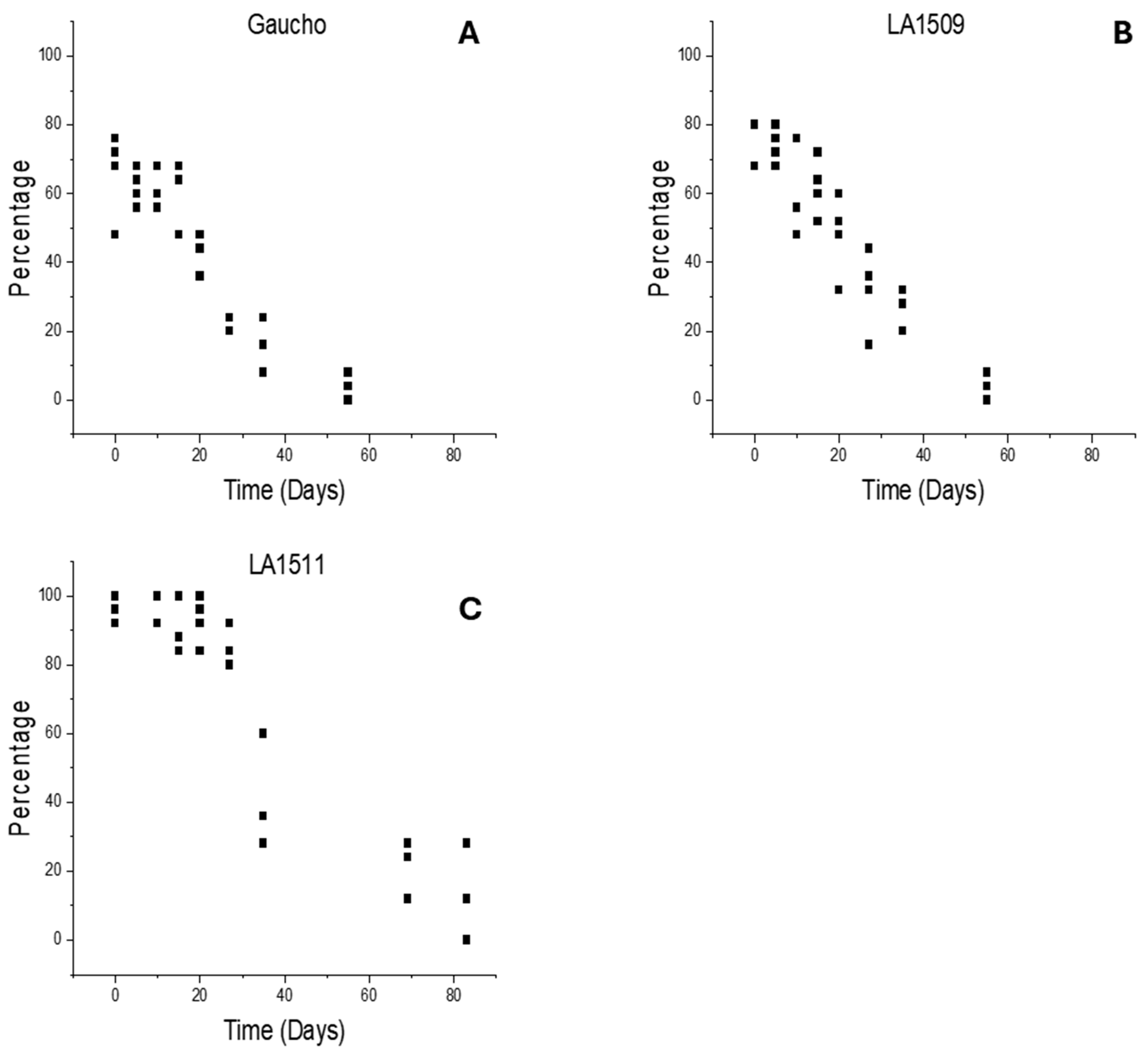
3. Results
4. Discussion
5. Conclusions
Author Contributions
Funding
Data Availability Statement
Conflicts of Interest
References
- VBP Brasil—Outubro/2024; VBP—2024—Principais Produtos Agropecuários—Brasi; Ministério da Agricultura e Pecuária: Brasília, Brasil, 2024.
- Global Olive Oil Production Forecast to Rebound in 2024/25; Oilseeds: World Markets and Trade; United States Department of Agriculture Foreign Agricultural Service: Washington, DC, USA, 2024.
- Mauro, R.P.; Rizzo, V.; Leonardi, C.; Mazzaglia, A.; Muratore, G.; Distefano, M.; Sabatino, L.; Giuffrida, F. Influence of Harvest Stage and Rootstock Genotype on Compositional and Sensory Profile of the Elongated Tomato Cv. “Sir Elyan”. Agriculture 2020, 10, 82. [Google Scholar] [CrossRef]
- Finch-Savage, W.E.; Bassel, G.W. Seed Vigour and Crop Establishment: Extending Performance beyond Adaptation. J. Exp. Bot. 2016, 67, 567–591. [Google Scholar] [CrossRef] [PubMed]
- Pirredda, M.; Fañanás-Pueyo, I.; Oñate-Sánchez, L.; Mira, S. Seed Longevity and Ageing: A Review on Physiological and Genetic Factors with an Emphasis on Hormonal Regulation. Plants 2023, 13, 41. [Google Scholar] [CrossRef] [PubMed]
- Ministry of Agriculture Normative Instruction No. 45; 2013.
- Ministry of Agriculture Normative Instruction No. 42; 2019.
- Rao, P.J.M.; Pallavi, M.; Bharathi, Y.; Priya, P.B.; Sujatha, P.; Prabhavathi, K. Insights into Mechanisms of Seed Longevity in Soybean: A Review. Front. Plant Sci. 2023, 14, 1206318. [Google Scholar] [CrossRef] [PubMed]
- Bruggink, G.T.; Ooms, J.J.J.; Van Der Toorn, P. Induction of Longevity in Primed Seeds. Seed Sci. Res. 1999, 9, 49–53. [Google Scholar] [CrossRef]
- Rajjou, L.; Debeaujon, I. Seed Longevity: Survival and Maintenance of High Germination Ability of Dry Seeds. C. R. Biol. 2008, 331, 796–805. [Google Scholar] [CrossRef]
- De Faria, R.Q.; Dos Santos, A.R.P.; Amorim, D.J.; Cantão, R.F.; Da Silva, E.A.A.; Sartori, M.M.P. Probit or Logit? Which Is the Better Model to Predict the Longevity of Seeds? Seed Sci. Res. 2020, 30, 49–58. [Google Scholar] [CrossRef]
- Pereira Lima, J.J.; Buitink, J.; Lalanne, D.; Rossi, R.F.; Pelletier, S.; Da Silva, E.A.A.; Leprince, O. Molecular Characterization of the Acquisition of Longevity during Seed Maturation in Soybean. PLoS ONE 2017, 12, e0180282. [Google Scholar] [CrossRef]
- Nadarajan, J.; Walters, C.; Pritchard, H.W.; Ballesteros, D.; Colville, L. Seed Longevity—The Evolution of Knowledge and a Conceptual Framework. Plants 2023, 12, 471. [Google Scholar] [CrossRef] [PubMed]
- Nguyen, T.-P.; Cueff, G.; Hegedus, D.D.; Rajjou, L.; Bentsink, L. A Role for Seed Storage Proteins in Arabidopsis Seed Longevity. J. Exp. Bot. 2015, 66, 6399–6413. [Google Scholar] [CrossRef] [PubMed]
- Ellis, R.H.; Roberts, E.H. Improved Equations for the Prediction of Seed Longevity. Ann. Bot. 1980, 45, 13–30. [Google Scholar] [CrossRef]
- Bernal-Lugo, I.; Leopold, A.C. The Dynamics of Seed Mortality. J. Exp. Bot. 1998, 49, 1455–1461. [Google Scholar] [CrossRef]
- Tang, S.; TeKrony, D.M.; Egli, D.B.; Cornelius, P.L. An Alternative Model to Predict Corn Seed Deterioration during Storage. Crop Sci. 2000, 40, 463–470. [Google Scholar] [CrossRef]
- Yin, X. A Flexible Sigmoid Function of Determinate Growth. Ann. Bot. 2003, 91, 361–371. [Google Scholar] [CrossRef] [PubMed]
- Archontoulis, S.V.; Miguez, F.E. Nonlinear Regression Models and Applications in Agricultural Research. Agron. J. 2015, 107, 786–798. [Google Scholar] [CrossRef]
- Cantão, R.F.; Ribeiro-Oliveira, J.P.; Silva, E.A.A.D.; Santos, A.R.D.; De Faria, R.Q.; Sartori, M.M.P. POMONA: A Multiplatform Software for Modeling Seed Physiology. Front. Plant Sci. 2023, 14, 1151911. [Google Scholar] [CrossRef]
- Redden, R.; Partington, D. Gene Bank Scheduling of Seed Regeneration: Interim Report on a Long Term Storage Study. J. Integr. Agric. 2019, 18, 1529–1540. [Google Scholar] [CrossRef]
- Probert, R.J.; Daws, M.I.; Hay, F.R. Ecological Correlates of Ex Situ Seed Longevity: A Comparative Study on 195 Species. Ann. Bot. 2009, 104, 57–69. [Google Scholar] [CrossRef] [PubMed]
- Batista, T.B.; Perissato, S.M.; Rego, C.H.Q.; Oliveira, G.R.F.D.; Henning, F.A.; Silva, E.A.A.D. Is It Possible to Estimate Longevity through the Analyses Used to Measure the Initial Physiological Potential in Soybean Seeds? J. Seed Sci. 2021, 43, e202143024. [Google Scholar] [CrossRef]
- Genebank Standards for Plant Genetic Resources for Food and Agriculture, Revised ed.; Food and Agriculture Organization of the United Nations: Rome, Italy, 2016; ISBN 978-92-5-109528-7.
- Barbosa Batista, T.; Javier Fernandez, G.; Alexandre Da Silva, T.; Maia, J.; Amaral Da Silva, E.A. Transcriptome Analysis in Osmo-Primed Tomato Seeds with Enhanced Longevity by Heat Shock Treatment. AoB Plants 2020, 12, plaa041. [Google Scholar] [CrossRef] [PubMed]
- Chapter 5: The Germination Test; International Seed Testing Association: Zurich, Switzerland, 2024; Volume 2024, pp. 1–66. [CrossRef]
- Bewley, J.D.; Bradford, K.J.; Hilhorst, H.W.M.; Nonogaki, H. Seeds: Physiology of Development, Germination and Dormancy, 3rd ed.; Springer: New York, NY, USA, 2013; ISBN 978-1-4614-4692-7. [Google Scholar]
- Dos Santos, A.R.P.; De Faria, R.Q.; Amorim, D.J.; Giandoni, V.C.R.; Da Silva, E.A.A.; Sartori, M.M.P. Cauchy, Cauchy–Santos–Sartori–Faria, Logit, and Probit Functions for Estimating Seed Longevity in Soybean. Agron. J. 2019, 111, 2929–2939. [Google Scholar] [CrossRef]
- Guadalupe, G.M.; Raúl, A.-C.; Javier, L.C.; Lorena, D.; Aline, S.-T. Longevity of Preserved Solanum lycopersicum L. Seeds: Physicochemical Characteristics. Physiol. Mol. Biol. Plants 2022, 28, 505–516. [Google Scholar] [CrossRef]
- Lee, J.-S.; Velasco-Punzalan, M.; Pacleb, M.; Valdez, R.; Kretzschmar, T.; McNally, K.L.; Ismail, A.M.; Cruz, P.C.S.; Sackville Hamilton, N.R.; Hay, F.R. Variation in Seed Longevity among Diverse Indica Rice Varieties. Ann. Bot. 2019, 124, 447–460. [Google Scholar] [CrossRef] [PubMed]
- Nagel, M.; Börner, A. The Longevity of Crop Seeds Stored under Ambient Conditions. Seed Sci. Res. 2010, 20, 1–12. [Google Scholar] [CrossRef]
- Hay, F.R.; Valdez, R.; Lee, J.-S.; Sta. Cruz, P.C. Seed Longevity Phenotyping: Recommendations on Research Methodology. J. Exp. Bot. 2018, 70, 425–434. [Google Scholar] [CrossRef]
- Guzzon, F.; Gianella, M.; Velazquez Juarez, J.A.; Sanchez Cano, C.; Costich, D.E. Seed Longevity of Maize Conserved under Germplasm Bank Conditions for up to 60 Years. Ann. Bot. 2021, 127, 775–785. [Google Scholar] [CrossRef]
- Gane, R. The Effect of Temperature, Humidity and Atmosphere on the Viability of Chewing’s Fescue Grass Seed in Storage. J. Agric. Sci. 1948, 38, 90–92. [Google Scholar] [CrossRef]
- Roberts, E.H. Storage Environment and the Control of Viability. In Viability of Seeds; Roberts, E.H., Ed.; Springer: Dordrecht, The Netherlands, 1972; pp. 14–58. ISBN 978-94-009-5687-2. [Google Scholar]
- Davidian, M.; Giltinan, D.M. Some General Estimation Methods for Nonlinear Mixed-Effects Model. J. Biopharm. Stat. 1993, 3, 23–55. [Google Scholar] [CrossRef]
- Li, G.; Majumdar, D. D-Optimal Designs for Logistic Models with Three and Four Parameters. J. Stat. Plan. Inference 2008, 138, 1950–1959. [Google Scholar] [CrossRef]
- Sevcik, C. Caveat on the Boltzmann Distribution Function Use in Biology. Prog. Biophys. Mol. Biol. 2017, 127, 33–42. [Google Scholar] [CrossRef] [PubMed]







| Species | Cultivar | Initial Viability (%) | Total Longevity (Days) |
|---|---|---|---|
| Soybean | BRS 6979 IPRO | 98 | 83 |
| 7677 RSF IPRO | 98 | 83 | |
| M 7119 IPRO | 99 | 70 | |
| 8579 RSF IPRO | 98 | 70 | |
| 8473 RSF RR | 100 | 70 | |
| Tomato | Gaucho | 66 | 55 |
| LA1509 | 74 | 55 | |
| LA1511 | 97 | 97 | |
| Maize | MAM03 | 88 | 91 |
| MAM06 | 90 | 154 | |
| MAM07 | 92 | 161 | |
| MAM08 | 95 | 84 |
| Species | Cultivar | Model | Range of Interest | UL ≤ P50 ≥ LL | P50 | R² Aj. |
|---|---|---|---|---|---|---|
| Soybean | BRS 6979 IPRO | Logistic | 34–49 | [37.33; 37.28] | 37.31 | 0.99 |
| Boltzmann | [37.81; 36.56] | 37.19 | 0.98 | |||
| 7677 RSF IPRO | Logistic | 49–58 | [61.63; 55.14] | 58.38 | 0.96 | |
| Boltzmann | [56.43; 53.76] | 55.09 | 0.97 | |||
| M 7119 IPRO | Logistic | 58–70 | [65.09; 63.89] | 64.49 | 0.99 | |
| Boltzmann | [65.28; 64.12] | 64.70 | 0.99 | |||
| 8579 RSF IPRO | Logistic | 49–58 | [54.24; 53.59] | 53.92 | 0.99 | |
| Boltzmann | [54.41; 53.77] | 54.09 | 0.99 | |||
| 8473RSF RR | Logistic | 49–58 | [57.41; 56.74] | 57.07 | 0.98 | |
| Boltzmann | [57.51; 56.82] | 57.16 | 0.98 | |||
| Tomato | Gaucho | Logistic | 15–20 | [24.39; 21.67] | 23.03 * | 0.91 |
| Boltzmann | [24.04; 21.38] | 22.71 * | 0.91 | |||
| LA1509 | Logistic | 10–20 | [55.69; 19.29] | 37.49 * | 0.87 | |
| Boltzmann | [27.84; 18.34] | 23.09 * | 0.87 | |||
| LA1511 | Logistic | 27–35 | [33.33; 31.61] | 32.47 | 0.94 | |
| Boltzmann | [33.47; 31.81] | 32.64 | 0.94 | |||
| Maize | MAM03 | Logistic | 35–42 | [38.52; 35.14] | 36.83 | 0.93 |
| Boltzmann | [37.43; 33.68] | 35.56 | 0.93 | |||
| MAM06 | Logistic | 63–77 | [88.23; 81.72] | 84.97 * | 0.93 | |
| Boltzmann | [88.41; 81.85] | 85.13 * | 0.93 | |||
| MAM07 | Logistic | 63–77 | [75.30; 70.65] | 72.97 | 0.93 | |
| Boltzmann | [74.72; 70.21] | 72.46 | 0.93 | |||
| MAM08 | Logistic | 56–71 | [60.65; 56.46] | 58.55 | 0.96 | |
| Boltzmann | [60.07; 56.24] | 58.15 | 0.96 |
| Model | Error (%) | Precision (%) |
|---|---|---|
| Logistic | 17 | 83 |
| Boltzmann | 46 | 54 |
| Species | Cultivar | Model | P85 | P25 |
|---|---|---|---|---|
| Range of Interest (II) | 21–34 | 34–49 | ||
| Soybean | BRS 6979 IPRO | Logistic | 27.85 | 44.06 |
| Boltzmann | 39.07 * | 48.86 | ||
| II | 21–34 | 58–70 | ||
| 7677 RSF IPRO | Logistic | 31.69 | 81.49 * | |
| Boltzmann | 57.43 * | 74.34 * | ||
| II | 58–70 | 58–70 | ||
| M 7119 IPRO | Logistic | 60.00 | 66.94 | |
| Boltzmann | 65.27 | 69.17 | ||
| II | 49–58 | 49–58 | ||
| 8579 RSF IPRO | Logistic | 49.22 | 56.62 | |
| Boltzmann | 54.68 | 58.70 * | ||
| II | 49–58 | 58–70 | ||
| 8473RSF RR | Logistic | 53.00 | 60.04 | |
| Boltzmann | 57.81 | 61.25 | ||
| II | - | 20–27 | ||
| Tomato | Gaucho | Logistic | 17.04 | 26.44 |
| Boltzmann | 20.38 | 29.55 * | ||
| II | - | 35–55 | ||
| LA1509 | Logistic | 9.33 | 34.64 * | |
| Boltzmann | 35.81 | 39.75 | ||
| II | 27–35 | 35–69 | ||
| LA1511 | Logistic | 27.00 | 39.16 | |
| Boltzmann | 33.47 | 38.86 | ||
| II | 7–21 | 42–49 | ||
| Maize | MAM03 | Logistic | 14.80 | 44.54 |
| Boltzmann | 36.49 * | 43.55 | ||
| II | 63–77 | 112–154 | ||
| MAM06 | Logistic | 50.43 * | 104.78 * | |
| Boltzmann | 87.41 * | 96.60 * | ||
| II | 42–49 | 77–91 | ||
| MAM07 | Logistic | 43.97 | 87.02 | |
| Boltzmann | 73.09 * | 82.82 | ||
| II | 28–42 | 70–84 | ||
| MAM08 | Logistic | 29.51 | 72.63 | |
| Boltzmann | 59.68 * | 66.81 * |
| Model | Parameter | Error (%) | Precision (%) |
|---|---|---|---|
| Logistic | P85 | 8 | 92 |
| Boltzmann | 50 | 50 | |
| Logistic | P25 | 25 | 75 |
| Boltzmann | 42 | 58 |
| Boltzmann | |
| Logistic | 0.1258 |
Disclaimer/Publisher’s Note: The statements, opinions and data contained in all publications are solely those of the individual author(s) and contributor(s) and not of MDPI and/or the editor(s). MDPI and/or the editor(s) disclaim responsibility for any injury to people or property resulting from any ideas, methods, instructions or products referred to in the content. |
© 2024 by the authors. Licensee MDPI, Basel, Switzerland. This article is an open access article distributed under the terms and conditions of the Creative Commons Attribution (CC BY) license (https://creativecommons.org/licenses/by/4.0/).
Share and Cite
Carvalho, F.S.; Rezende, B.R.; Santos, A.R.P.d.; Sartori, M.M.P. Modeling Seed Longevity and Percentile Prediction: A Sigmoidal Function Approach in Soybean, Maize, and Tomato. AgriEngineering 2025, 7, 5. https://doi.org/10.3390/agriengineering7010005
Carvalho FS, Rezende BR, Santos ARPd, Sartori MMP. Modeling Seed Longevity and Percentile Prediction: A Sigmoidal Function Approach in Soybean, Maize, and Tomato. AgriEngineering. 2025; 7(1):5. https://doi.org/10.3390/agriengineering7010005
Chicago/Turabian StyleCarvalho, Felipe Souza, Brunna Rithielly Rezende, Amanda Rithieli Pereira dos Santos, and Maria Márcia Pereira Sartori. 2025. "Modeling Seed Longevity and Percentile Prediction: A Sigmoidal Function Approach in Soybean, Maize, and Tomato" AgriEngineering 7, no. 1: 5. https://doi.org/10.3390/agriengineering7010005
APA StyleCarvalho, F. S., Rezende, B. R., Santos, A. R. P. d., & Sartori, M. M. P. (2025). Modeling Seed Longevity and Percentile Prediction: A Sigmoidal Function Approach in Soybean, Maize, and Tomato. AgriEngineering, 7(1), 5. https://doi.org/10.3390/agriengineering7010005

