You are currently viewing a new version of our website. To view the old version click .
AgriEngineering
  • Article
  • Open Access

22 November 2024

Silicon in the Production, Nutrient Mineralization and Persistence of Cover Crop Residues

,
,
and
Departamento de Fitotecnia, Tecnologia de Alimentos e Sócio-Economia, Universidade Estadual “Júlio de Mesquita Filho”, Ilha Solteira 15385-000, São Paulo, Brazil
*
Author to whom correspondence should be addressed.
This article belongs to the Topic Emerging Agricultural Engineering Sciences, Technologies, and Applications—2nd Edition

Abstract

In tropical regions, maintaining crop residues in the soil is challenging. Silicon (Si) may increase the persistence of these residues in the soil, as it is a precursor to lignin, providing a gradual release of nutrients for subsequent crops. Therefore, the objective of this study was to evaluate the influence of different doses of calcium silicate (Ca2SiO4) (0, 1, 2, and 3 Mg ha⁻1) and limestone (0, 1, 2, and 3 Mg ha⁻1) on the lignin content, residue decomposition, and nutrient release of four cover crops—Pennisetum glaucum, Urochloa ruziziensis, Crotalaria spectabilis, and Cajanus cajan—at various decomposition stages following cover crop management (0, 30, 60, 90, and 120 days). The experiment was conducted in the field at the experimental area of the Faculty of Engineering at Ilha Solteira-UNESP, located in the municipality of Selvíria, state of Mato Grosso do Sul, on Ferralsol. The decomposition rate of the residues was assessed using the decomposition bag method, which was installed after cover crop management. The concentrations of nitrogen (N), phosphorus (P), potassium (K), calcium (Ca), magnesium (Mg), sulfur (S), Si, lignin, and cellulose were determined. Silicate application did not affect the accumulation of nutrients by cover crops and their release into the soil. There was no relationship between the remaining Si in the dry matter of plants and more persistent residues. The most persistent plants had higher final dry matter lignin content. Using pearl millet and pigeon peas resulted in more persistent residues in the soil.

1. Introduction

Silicon (Si) is the second most abundant element in the Earth’s crust, surpassed only by oxygen [1]. However, about 50 to 70% of Si is found in an insoluble form or as an oxide [2,3]. Its soluble form, which is absorbed by plants, is monosilicic acid (H4SiO4), which is typically present in poorly weathered soils, such as Inceptisols [2]. Although it is not classified as a nutrient because it does not meet the criteria for essentiality, it is considered a beneficial element for plants [4,5].
When Si is absorbed by plants, it accumulates in the cell wall as hydrated amorphous silica (Si2.nH2O), resulting in a dual layer of silica–cuticle and silica–cellulose [6]. These layers function as a barrier, aiding in conditions of biotic and abiotic stress [7]. Si supplementation allows for greater rigidity of tissues and erect growth, in addition to increasing the photosynthetic rate due to enhanced rubisco activity and decreased transpiration [8].
In tropical regions, high temperatures are significant limiting factors for production and hinder the retention of plant residues on the soil, as the decomposition process is intensified under these conditions [9,10,11]. Maintaining residues is essential for the success of no tillage, as it promotes a range of benefits, including moisture retention, reduced erosive processes, weed control, accumulation of organic matter (OM), and nutrient cycling [12]. Given the role of Si in plants, its supply may be an interesting alternative to help keep straw on the soil for a longer time.
Grasses (Poaceae), such as millet (Pennisetum glaucum) and brachiaria (Urochloa ruziziensis), are characterized by high biomass production, with a carbon/nitrogen (C/N) ratio above 30, allowing for slower decomposition of their residues [13]. Millet has a deep root system, which facilitates nutrient cycling, especially potassium (K) and nitrogen (N), to the surface layers of the soil more easily [14].
Still, the C/N ratio of legumes (Fabaceae), such as pigeon pea (Cajanus cajan) and crotalaria (Crotalaria spectabilis), is below 20, and therefore, the decomposition of their residues is faster. However, the ability to fix atmospheric N biologically through symbiosis with bacteria is one of the significant advantages of cultivating these species. The accumulation of N in the soil through biological nitrogen fixation (BNF) can reduce the need for N fertilizers, allowing for more sustainable cultivation [13].
In light of this, the objective of this study was to evaluate the effects of calcium silicate (Ca₂O₄Si) and limestone doses on lignin and cellulose contents, straw decomposition, and nutrient release from four cover crops (P. glaucum, U. ruziziensis, C. spectabilis, and C. cajan), which were cultivated in the field at different decomposition times.

2. Materials and Methods

The study was conducted in the field at the experimental area of the Faculty of Engineering at Ilha Solteira (UNESP), which is located in the municipality of Selvíria, state of Mato Grosso do Sul (20°22′ S and 51°22′ W at 335 m altitude). The climate of the region is classified as Aw, tropical humid with a rainy summer and dry winter, according to the Köppen international classification system [15]. Data on average temperature and monthly precipitation during the experiment are shown in Figure 1.
Figure 1. Biweekly values of precipitation (mm) and maximum and minimum air temperatures (°C), collected from August 2015 to July 2016. Selvíria, state of Mato Grosso do Sul, Brazil, 2015/2016. Source: Canal Clima, UNESP Ilha Solteira.
The soil at the site is classified as Ferralsol [16]. Before the installation of the experiment, a soil analysis was conducted to characterize the soil fertility of the experimental area, following the methodologies described by Raij et al. [17], with the following results: 20 g dm3 of O.M; pH (CaCl2) 4.8; 36 mg dm3 of phosphorus (P resin); 18 mg dm3 of sulfur; 1.3, 12, 11, and 42 mmolc dm3 of K, calcium (Ca), magnesium (Mg), and hydrogen + aluminum (H + Al), respectively; 37% base saturation (BS); and a cation-exchange capacity (CEC) of 66.3%.
The experimental design used was a randomized block design in a 7 × 4 factorial with four replications. The treatments consisted of increasing doses of Ca and Mg silicate (0, 1, 2, and 3 Mg ha−1) and dolomitic limestone (0, 1, 2, and 3 Mg ha−1), and their interaction with four cover crops, U. ruziziensis, P. glaucum, C. spectabilis, and C. cajan. The characteristics of the limestone and silicate used are described in Table 1. The subplots consisted of five residue decomposition times (0, 30, 60, 90, and 120 days after cover crop management).
Table 1. Contents of calcium oxide (CaO), magnesium oxide (MgO), silicon dioxide (SiO2) and relative power of total neutralization (RPTN) of the correctives used in the experiment. Selvíria, state of Mato Grosso do Sul, 2016.
Soil correction (on the surface) with the doses of silicate and limestone was performed in May 2015. The guarantees of the correctives are presented in Table 2. In March 2016, before planting the cover crops, the area was desiccated with glyphosate (0.72 kg of active ingredient ha−1) ten days before sowing. For the mechanical sowing of the cover crops, the following seed quantities were used: U. ruziziensis—35 kg ha−1; P. glaucum—30 kg ha−1; C. cajan—65 kg ha−1; and C. spectabilis—30 kg ha−1; the plot dimensions were 4 × 7 m, totaling 28 m2. The row spacing was 0.34 m, and supplemental irrigation was used for plant development via the pivot method. Sowing of the cover crops occurred on 18 March 2016.
Table 2. Chemical properties of the soil before installing the experiment at a depth of 0–0.20 m. Selvíria, state of Mato Grosso do Sul, 2016.
The cover crop species were managed at the full flowering stage (60 days after sowing) using a knife roller and left on the soil. At this stage, 5 samples were taken from each plot using a 1 m2 frame; the residues from the inside of the frame of one sample from each plot were removed and placed in paper bags for drying in a forced-air oven at 65 °C until a constant weight was achieved to determine the dry matter (DM) ha−1 of the cover crops.
The remaining samples were placed in decomposition bags in proportions corresponding to the mass produced per area by the respective cover crops. These bags were used to assess the residue decomposition rate [18], which were installed after cover crop management, with dimensions of 0.15 × 0.20 m, being made of nylon, with four bags placed on the soil surface in each plot containing the previously ground DM.
During the evaluations, one decomposition bag was removed from each plot every 30 days. The remaining material was taken to the oven for drying and subsequent weighing to quantify the remaining DM. The material was then ground for the determination of N, P, K, Ca, Mg, and S contents, according to the methods described by Malavolta et al. [19]. The total Si was determined using the technique described by Elliott and Snyder [20] and adapted by Korndörfer et al. [21].
The lignin and cellulose contents in acid detergent were determined following the methodology cited by Van Soest and Wine [22], using the 72% (v/v) sulfuric acid method. These analyses were conducted on plant material at time 0 (management time) and on the remaining material in decomposition bags at 30, 60, 90, and 120 days after residue management. The contents of macronutrients, total Si, lignin, and remaining cellulose were determined by the product of the DM amount (at each decomposition time) and the nutrient contents in the plant residue, presented in kg ha−1.
The obtained results were subjected to the F-test, comparing the means of cover crops and correctives using the Tukey test at 5%. For the means of corrective doses and decomposition times, regression analysis was used, with adjustments of significant model equations using the F-test.

3. Result and Discussion

Soil analyses at the end of the experiment are presented in Table 3, where no statistically significant differences were found among the corrective applications for soil attributes based on the evaluated doses. Reis et al. (2019) obtained similar results using silicate fertilizer in Ferralsol [23]. In contrast, positive results were observed by Crusciol et al. [24]. Both limestone and silicate are characterized by low solubility, however, silicate has a solubility that is 6.78 times greater than limestone, making it potentially more effective for correcting subsurface fertility [25,26]. Nevertheless, Castro and Crusciol [26] showed that the efficiency of silicate in correcting acidity in the subsurface (0–0.20 m) was only greater one year after application.
Table 3. Chemical characterization of the area at the end of the experiment, for each amendment dose, at depths of 0–0.20 m and 0.20–0.40 m (averages of the 4 replications). Selvíria, state of Mato Grosso do Sul, Brazil.
According to Herrada et al. [27], plant residues are one alternative for supplying Si, but Si is released slowly in the soil, which is insufficient since this element can be absorbed in relatively high amounts. When H4SiO4 is absorbed, it condenses into polymerized silica gel, serving a structural function in tissues, and, thus, becomes immobile in the plant [6,28]. Because it is not considered a nutrient, there is little availability of silicate fertilizers on the market. For this reason, steel slags are used as a source of Si [29].
Fonseca et al. [30] observed a significant increase in soil Si content with the application of slag. However, this increase was not observed in the areas of this study (Table 3). The doses of Si provided with the application of the correctives varied and did not reflect in the differentiation between these correctives regarding Si availability in the soil. Furthermore, it cannot be assumed that all Si contained in the material is in a readily available form.
Si values in the soil, using acetic acid as an extractor, are considered low when below 6 mg dm−3, medium between 6 and 24 mg dm−3, and high above 24 mg dm−3, with these ranges being estimated for organic and sandy soils in Florida [31]. According to the same authors, soils with Si levels below 10 mg dm−3 should receive silicate fertilization for maximum yields, while soils with levels above 15 mg dm−3 do not require the element.
There was no statistical difference for the correctives and doses concerning the accumulation of macronutrients, Si, lignin, cellulose and DM by the cover crops (Table 4). However, significant differences were found among the species for the same attributes. P. glaucum stood out with a DM accumulation of 8659 kg ha−1 in 60 days (Table 4), corroborating the findings of Delazeri et al. [32]. The high C/N ratio of grasses favors no-tillage systems, as their straw remains on the soil longer compared to legumes [33,34,35].
Table 4. Values extracted (kg ha−1) of nutrients, Si, lignin, cellulose, and DM from the cover crops based on the surface application of correctives (lime and silicate) in different doses. Selvíria state of Mato Grosso do Sul, Brazil.
The C/N ratio is a key factor in the decomposition of plant residues and in the relationship between N mineralization and immobilization through microbial biomass, that is, the higher the C/N ratio, the slower the decomposition [36]. Additionally, the decomposition of residues also depends on their lignin and cellulose contents [37].
P. glaucum showed higher lignin and cellulose levels compared to other cover crops (Table 4), supporting the studies of Yadav [38] and Dresh [39]. An unexpected result was the lignin content of C. cajan, which did not differ from P. glaucum. However, this finding was also noted by Carvalho [40], where the lignin content of the legume (C. cajan) was 71% higher than that of the grass (U. ruziziensis).
Regarding the N content, the crops that accumulated the most were P. glaucum, C. spectabilis, and C. cajan, which did not differ statistically (Table 4). A different result was found by Soratto et al. [41], who observed higher N accumulation in the legume (C. spectabilis) compared to the grass (P. glaucum). The increase in N in the millet straw can be explained by the large biomass produced [42,43]. For legumes, N accumulation is likely due to their ability to perform BNF through symbiosis with bacteria [44].
The straw from legumes also stood out for its Ca content (Table 4), a result observed by Vasconcelos [45] in plants of the same genus. However, for other macronutrients (K, Mg, and S) and Si, millet excelled, and these results are similar to those obtained by Soratto et al. [41]. Millet is characterized by its high nutrient cycling capacity due to its robust root system, which can reach depths of 3.6 m, allowing for nutrient extraction from the subsurface [27,46].
Table 4 shows that P is present in higher quantities in the straw of P. glaucum, reinforcing the study by Foloni et al. [47]. Studies show that due to its rapid growth and short cycle, millet extracts considerable amounts of nutrients in a short time [41,48].
Regarding the remaining quantities of nutrients, lignin, cellulose and DM, no significant responses were observed for the different correctives and doses used (Table 5). On average, across the evaluated decomposition times, millet showed a greater capacity to accumulate N, P, K, Mg, S, and Si. However, pigeon pea did not differ statistically from millet in terms of its N and lignin contents (Table 5). According to Filho et al. [13], the higher the C/N ratio and lignin content, the slower the decomposition of residues left on the soil.
Table 5. Remaining quantity of nutrients, lignin, cellulose, and DM (kg ha−1) in the dry matter of cover crops, based on the tested treatments: correctives, doses of correctives, cover crops (species), and decomposition times. Selvíria, state of Mato Grosso do Sul, Brazil.
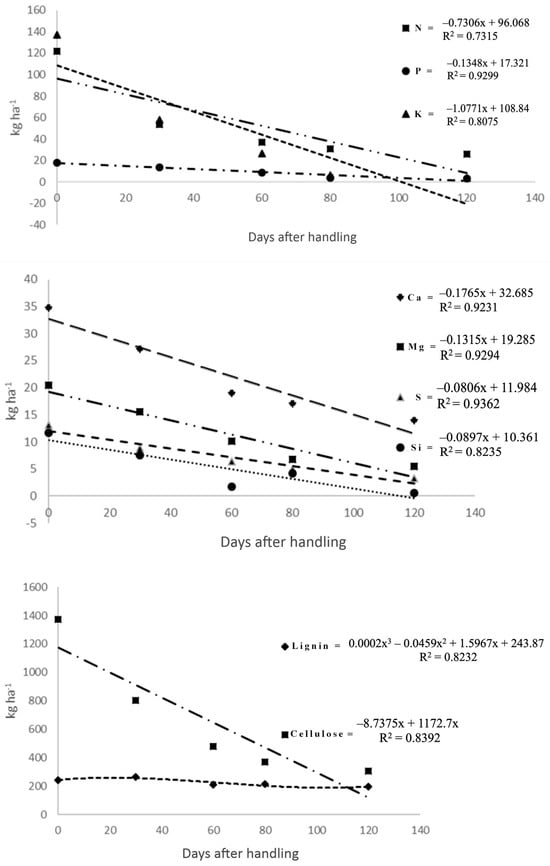
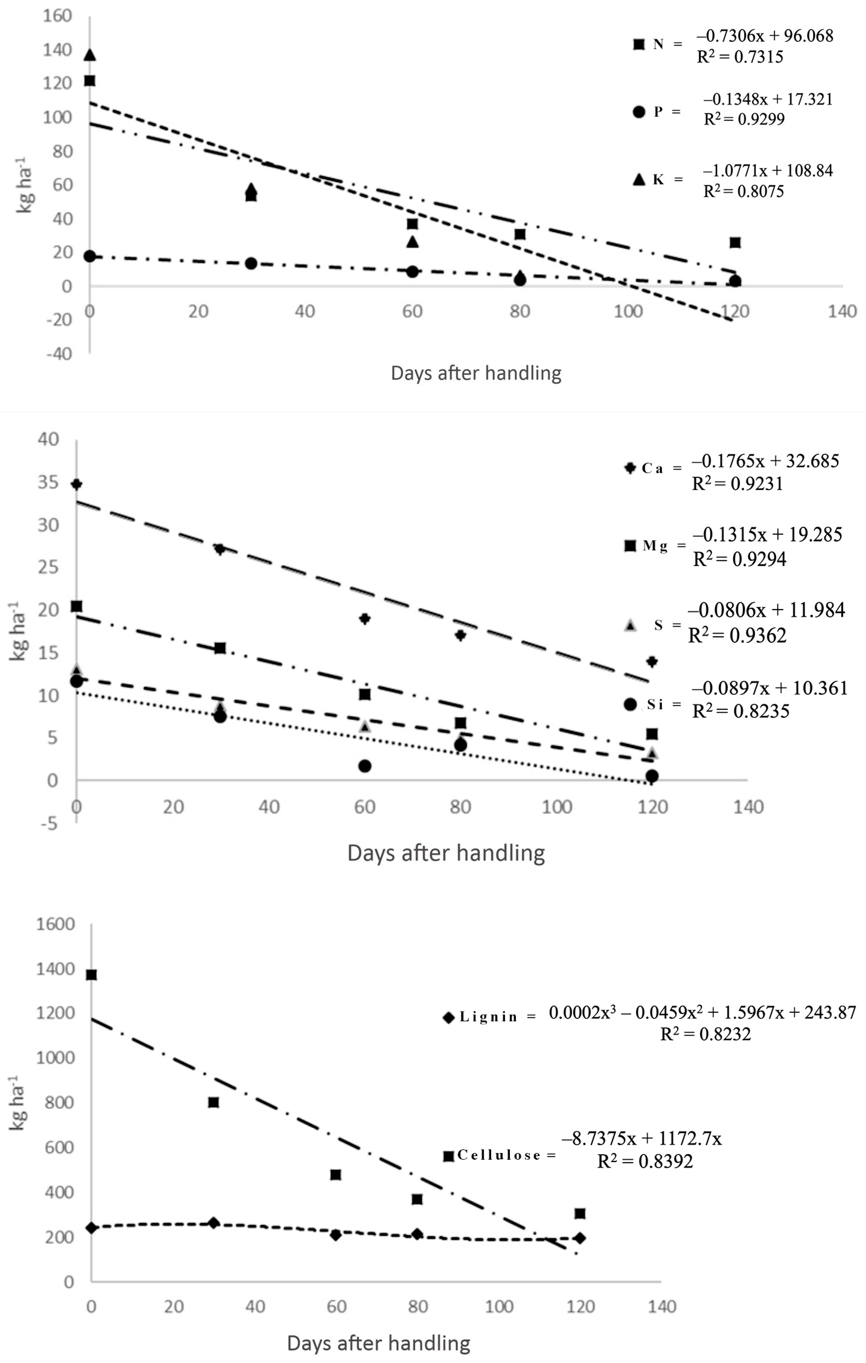
Based on the average of the evaluated decomposition times, about 61% of the DM of C. cajan was still on the soil, as well as 50% of the straw of P. glaucum, which were the cover crops with the longest decomposition times (Table 5). Lignin quantities showed little change over time, unlike cellulose, which was released at an average of half its content in the first 60 days of management for all evaluated species (Figure 2).
Figure 2. Remaining average quantities of N, P, K, Ca, Mg, S, Si, cellulose, lignin, and DM (kg ha−1) for the different cover crops studied over time after management. Selvíria state of Mato Grosso do Sul, Brazil.
Approximately 40% of Si was contained in the straw of millet and brachiaria on average over the decomposition times; however, these were also the crops that absorbed the most of the element (Table 5). According to Liang et al. [49], all plants contain Si in their tissues, but the amounts vary from 0.1 to 10% of DM. Thus, plants are classified as accumulators or non-accumulators of the element [50]. Among the accumulators are grass species (Poaceae), while legumes (Fabaceae) are considered non-accumulators [51].
For all cover crops, there was a sharp decrease in the K levels (Table 5). The rapid release of this nutrient occurs because it is present in tissues in ionic form, not serving a structural role [52,53]. In contrast, the mineralization of Ca was the slowest compared to other nutrients (Figure 2), likely due to its role in plant tissue, primarily as a component of the cell wall [52].
The mineralization of N was relatively rapid for all analyzed species (Figure 2). Sixty days after management, about 55% of the N was released from the residues, a result that may have been influenced by the local climatic conditions. P, Mg, and S showed almost constant availability up to 90 days, with a reduction in the last period likely due to the increase in the concentration of materials that decompose more slowly and the decrease in the concentrations of these nutrients themselves (Figure 2).

4. Conclusions

Si did not influence the dynamics of nutrient extraction, the decomposition of cover crops, or the maintenance of residual material on the soil.
The plants that showed the greatest persistence on the soil were those that accumulated more lignin and had higher lignin content at the end of the decomposition period.
Pearl millet stood out for its ability to absorb and mineralize nutrients for subsequent crops.
Pigeon pea and pearl millet were the species that exhibited the most persistence in the soil.

Author Contributions

Conceptualization, O.A. and S.B.; methodology, O.A.; software, F.A.F.; validation, F.A.F., O.A. and S.B.; formal analysis, F.A.F.; investigation, F.A.F.; resources, O.A.; data curation, F.A.F.; writing—original draft preparation, B.M.C.; writing—review and editing, B.M.C.; visualization, B.M.C.; supervision, O.A.; project administration, F.A.F.; funding acquisition, O.A. All authors have read and agreed to the published version of the manuscript.

Funding

This research was funded by Coordenação de Aperfeiçoamento de Pessoal de Nível Superior (CAPES—88887.907744/2023-00).

Data Availability Statement

The original contributions presented in the study are included in the article, and further inquiries can be directed to the corresponding authors.

Acknowledgments

We acknowledge Coordenação de Aperfeiçoamento de Pessoal de Nível Superior (CAPES) for granting a doctoral scholarship to the author (88887.907744/2023-00). We also thank all employees at the Universidade Estadual Paulista at Ilha Solteira who contributed to this project.

Conflicts of Interest

The authors declare no conflicts of interest.

References

  1. Zargar, S.M.; Mahajan, R.; Bhat, J.A.; Nazir, M.; Deshmukh, R. Role of silicon in plant stress tolerance: Opportunities to achieve a sustainable cropping system. 3 Biotech 2019, 9, 73. [Google Scholar] [CrossRef] [PubMed]
  2. Heckman, J. Silicon: A beneficial substance. Better Crops 2013, 97, 14–16. [Google Scholar]
  3. Ma, J.F.; Yamaji, N. A cooperative system of silicon transport in plants. Trends Plant Sci. 2015, 20, 435–442. [Google Scholar] [CrossRef] [PubMed]
  4. Jones, L.H.P.; Handreck, K.A. Silica in soils, plants, and animals. Adv. Agron. 1967, 19, 107–149. [Google Scholar]
  5. Marschner, H. Mineral Nutrition of Higher Plants; Academic Press: London, UK, 1995; 920p. [Google Scholar]
  6. Ma, J.F.; Yamaji, N. Silicon uptake and accumulation in higher plants. Trends Plant Sci. 2006, 11, 392–397. [Google Scholar] [CrossRef]
  7. Johnson, S.N.; Ryalls, J.M.; Barton, C.V.; Tjoelker, M.G.; Wright, I.J.; Moore, B.D. Climate warming and plant biomechanical defences: Silicon addition contributes to herbivore suppression in a pasture grass. Funct. Ecol. 2019, 33, 587–596. [Google Scholar] [CrossRef]
  8. Mendes, L.S.; Souza, C.H.E.; Machado, V.N. Adubação com silício: Influência sobre o solo, planta, pragas e patógenos. Cerrado Agrociências 2011, 2, 51–63. [Google Scholar]
  9. Assis, R.L.; Oliveira CA, A.; Perin, A.; Simon, G.A.; Souza Junior, B.A. Produção de biomassa, acúmulo de nitrogênio por plantas de cobertura e efeito na produtividade do milho safrinha. Enciclopédia Biosf. Goiânia 2013, 9, 1775–1796. [Google Scholar]
  10. Horvathy Neto, A.; Silva, A.G.; Teixeira, I.R.; Costa KA, P.; Assis, R.L. Consórcio de sorgo granífero e braquiária na safrinha para produção de grãos e forragem. Rev. Caatinga 2014, 27, 132–141. [Google Scholar]
  11. Silva, A.G.; Moraes, L.E.; Horvathy Neto, A.; Teixeira, I.R.; Simon, G.A. Consórcio sorgo e braquiária na entrelinha para produção de grãos, forragem e palhada na entressafra. Rev. Ceres 2014, 61, 697–705. [Google Scholar] [CrossRef]
  12. Hickmann, C.; Costa, L.M. Estoque de carbono no solo e agregados em Argissolo sob siferentes manejos de longa duração. Rev. Bras. Eng. Agrícola Ambient. 2012, 16, 1055–1061. [Google Scholar] [CrossRef]
  13. Filho, O.F.L.; Ambrosano, E.J.; Wutke, E.B.; Rossi, F.; Carlos, J.A.D. Adubação Verde e Plantas de Cobertura no Brasil, 2nd ed.; Embrapa: Brasília, Brazil, 2023. [Google Scholar]
  14. Empresa Brasileira de Pesquisa em Agropecuária. Cultivo do Milheto; Empresa Brasileira de Pesquisa em Agropecuária: Brasília, Brazil, 2016; 116p. [Google Scholar]
  15. Alvares, C.A.; Stapes, J.L.; Sentelhas, P.C.; Gonçalves, J.L.M.; Sparovek, G. Köppen’s climate classification map for Brazil. Meteorol. Z. 2013, 22, 711–728. [Google Scholar] [CrossRef] [PubMed]
  16. IUSS Working Group WRB. World Reference Base for Soil Resources 2014, Update 2015 International Soil Classification System for Naming Soils and Creating Legends for Soil Maps; World Soil Resources Reports No. 106; FAO: Rome, Italy, 2015. [Google Scholar]
  17. Raij, B.V.; Andrade, J.C.; Cantarella, H.; Quaggio, J.A. (Eds.) Análise Química Para Avaliação da Fertilidade de Solos Tropicais; Instituto Agronômico de Campinas: Campinas, Brazil, 2001.
  18. Thomas, R.J.; Asakawa, N.M. Decomposition of leaf litter from tropical forage grasses and legumes. Soil Biol. Biochem. 1993, 25, 1351–1361. [Google Scholar] [CrossRef]
  19. Malavolta, E.; Vitti, G.C.; Oliveira, S.A. (Eds.) Avaliação do Estado Nutricional de Plantas: Princípios e Aplicações; Potafos: Piracicaba, Brazil, 1997. [Google Scholar]
  20. Elliott, C.L.; Snyder, G.H. Autoclave-induced digestion for the colorimetric determination of silicon in rice straw. J. Agric. Food Chem. Easton 1991, 39, 1118–1119. [Google Scholar] [CrossRef]
  21. Korndörfer, G.H.; Coelho, N.M.; Snyder, G.H.; Mizutani, C.T. Avaliação de métodos de extração de silício para solos cultivados com arroz de sequeiro. Rev. Bras. Ciência Solo Viçosa 1999, 23, 101–106. [Google Scholar] [CrossRef]
  22. Van Soest, P.J.; Wine, R.H. Use of detergent in the analysis of farmers’ feeds. IV. Determination of plant cell-wall constituents. J. Assoc. Off. Anal. Chem. 1967, 50, 50–55. [Google Scholar] [CrossRef]
  23. Reis, M.C.; Andrade, B.B.; Vasconcelos, G.R. Silicato de cálcio e magnésio no milho segunda safra: Fitossanidade, fertilidade do solo e produtividade. Rev. Comeia 2019, 1, 9–22. [Google Scholar]
  24. Crusciol, C.A.; Artigiani, A.C.C.A.; Arf, O.; Filho, A.C.A.C.; Soratto, R.P.; Nascente, A.S.; Alvarez, R.C.F. Soil fertility, plant nutrition, and grain yield of upland rice affected by surface application of lime, silicate, and phosphogypsum in a tropical no-till system. Catena 2016, 137, 87–99. [Google Scholar] [CrossRef]
  25. Alcarde, J.A.; Rodella, A.A. Qualidade e legislações de fertilizantes e fontes de correção de acidez. Tópicos Ciência Do Solo 2003, 3, 291–334. [Google Scholar]
  26. Castro GS, A.; Crusciol CA, C. Efeitos da calagem superficial e da aplicação de silicato na fertilidade do solo e no rendimento das culturas em rotação. Geoderma 2013, 195–196, 234–242. [Google Scholar]
  27. Herrada, M.R.; Leandro, W.M.; Ferreira, E.P.B. Leguminosas isoladas e consorciadas com milheto em diferentes sistemas de manejo do solo no feijão orgânico. Terra Lat. Am. 2017, 35, 293–299. [Google Scholar] [CrossRef]
  28. Ma, J.F.; Yamaji, N.; Mitani-Ueno, N. Transport of silicon from roots to panicles in plants. Proc. Jpn. Acad. Ser. B 2011, 87, 377–385. [Google Scholar] [CrossRef] [PubMed]
  29. Raij, B.V. Fertilidade do Solo e Manejo de Nutrients; International Plant Nutrition Institute: Piracicaba, Brazil, 2011. [Google Scholar]
  30. Fonseca, I.M.; Prado, R.M.; Vidal, A.A.; Nogueira, T.A.R. Efeito da escória de siderurgia e do calcário na disponibilidade de silício no solo. In Simpósio Brasileiro Sobre Silício na Agricultura; Faculdade de Ciências Agronômicas: Botucatu, Brazil, 2007; pp. 26–28. [Google Scholar]
  31. Korndörfer, G.H.; Pereira, H.S.; Camargo, M.S. Silicatos de Cálcio e Magnésio na Agricultura; Universidade Federal de Uberlândia, Instituto de Ciências Agrárias: Uberlândia, Brazil, 2004. [Google Scholar]
  32. Delazeri, J.V.S.; Valadão, F.C.A.; Junior, D.D.V.; Herklotz, B.; Bertoncello, L.R.; Silva, J.L.; Vieira, A.O. Desempenho agronômico de milheto e crotalária cultivados em sistemas solteiro e consorciado. Cienc. Souelo 2020, 28, 212–223. [Google Scholar]
  33. Medina, C.C.; Neves CS, V.J.; Aita, C.; Bordin, I.; Preti, E.; Zaccheo PV, C.; Aguiar, R.S.; Urquiaga, S. Aporte de matéria seca por raízes e parte aérea de plantas de cobertura de verão. Semin. Ciências Agrárias 2013, 34, 675–682. [Google Scholar] [CrossRef][Green Version]
  34. Mendonça, V.Z.; Mello, L.M.M.; Andreotti, M.; Pariz, C.M.; Yano, E.H.; Pereira, F.C.B.L. Liberação de nutrientes da palhada de forrageiras consorciadas com milho e sucessão com soja. Rev. Bras. Ciência Solo 2015, 39, 183–190. [Google Scholar] [CrossRef]
  35. Bertolini, A.; Finco, D.; Nora, T.J.; Omizzollo, R.; Sordi, A.; Klein, C. Cobertura de solo e taxa de ciclagem de nutrientes em plantas de cobertura de verão no oeste de Santa Catarina. Unoesc Ciência 2019, 10, 83–92. [Google Scholar]
  36. Doneda, A.; Aita, C.; Giacomini, S.J.; Miola, E.C.C.; Schirmann, J.; Gonzatto, R. Fitomassa e decomposição de resíduos de plantas de cobertura puras e consorciadas. Rev. Bras. Ciência Solo 2012, 36, 1714–1723. [Google Scholar] [CrossRef]
  37. Kogel-Knabner, I. The macromolecular organic composition of plant and microbial residues as inputs to soil organic matter. Soil Biol. Biochem. 2002, 34, 139–162. [Google Scholar] [CrossRef]
  38. Yadav, M.; Rengasamy, R.S.; Gupta, D. Characterization of Pearl Millet (Pennisetum glaucum) waste. Carbohydr. Polym. 2019, 212, 160–168. [Google Scholar] [CrossRef]
  39. Dresh, A.P. Diferentes Tratamentos do Milheto Pérola (Pennisetum glaucum) Para Recuperação da Celulose: Efeitos na Composição Lignocelulósica; Trabalho de Conclusão de Curso; Universidade Federal da Fronteira Sul: Chapecó, Brazil, 2022. [Google Scholar]
  40. Carvalho, A.M.; Dantas, R.A.; Coelho, M.C.; Lima, W.M.; Souza JP, S.P.; Fonseca, O.P.; Júnior, R.G. Teores de Hemiceluloses, Celulose e Lignina em Plantas de Cobertura com Potencial para Sistema Plantio Direto no Cerrado; Boletim de Pesquisa e Desenvolvimento; Embrapa Cerrados: Brasília, Brazil, 2010; pp. 1–15. [Google Scholar]
  41. Soratto, R.P.; Crusciol, C.A.C.; Costa, C.H.M.; Neto, J.F.; Castro, G.S.A. Produção, decomposição e ciclagem de nutrientes em resíduos de crotalária e milheto, cultivados solteiros e consorciados. Pesqui. Agropecuária Bras. 2012, 47, 1462–1470. [Google Scholar] [CrossRef]
  42. Padovan, M.P.; Motta, I.S.; Carneiro, L.F.; Moitinho, M.R.; Salomão, G.B. Dinâmica de acúmulo de massa e nutrientes pelo milheto para fins de adubação verde em sistemas de produção sob bases ecológicas. Rev. Bras. Agroecol. 2012, 7, 95–103. [Google Scholar]
  43. Marangoni, R.E.; Araújo, L.S.; Valente, M.S.; Silva, L.G.B. Produção de fitomassa seca de guandu-anão e milheto e a decomposição das palhadas sob cultivo do feijoeiro. Rev. Agroambiente 2017, 11, 119–127. [Google Scholar] [CrossRef]
  44. Teodoro, R.B.; Oliveira, F.L.; Silva, D.M.N.; Fávero, C.; Quaresma, M.A.L. Aspectos agronômicos de leguminosas para adubação verde no Cerrado do Alto Vale do Jequitinhonha. Rev. Bras. Ciência Solo 2011, 35, 635–643. [Google Scholar] [CrossRef]
  45. Vasconcelos, F.S. Fertilidade do Solo de Coqueiral Após Deposição de Resíduos de Leguminosas; Trabalho de Conclusão de Curso; Universidade Federal do Ceará: Fortaleza, Brazil, 2024. [Google Scholar]
  46. Marcante, N.C.; Camacho, M.A.; Paredes, F.P.J. Teores de nutrientes no milheto como cobertura de solo. Biosci. J. 2011, 27, 196–204. [Google Scholar]
  47. Foloni, J.S.S.; Tiritan, C.S.; Calonego, J.C.; Junior, J.A. Aplicação de fosfato natural e reciclagem de fósforo por milheto, braquiária, milho e soja. Rev. Bras. Ciência Solo 2008, 32, 1147–1155. [Google Scholar] [CrossRef]
  48. Crusciol, C.A.C.; Soratto, R.P. Nitrogen supply for cover crops and effects on peanut grown in succession under a no-till system. Agron. J. 2009, 101, 40–46. [Google Scholar] [CrossRef]
  49. Liang, Y.C.; Nikolic, M.; Bélanger, R.; Gong, H.J.; Song, A.L. Silicon in Agriculture: From Theory to Practice; Springer: Dordrecht, The Netherlands, 2015; 235p. [Google Scholar]
  50. Tubana, B.S.; Babu, T.; Datnoff, L.E. A Review of Silicon in Soils and Plants and Its Role in US Agriculture. Soil Sci. 2016, 181, 393–411. [Google Scholar] [CrossRef]
  51. Lanna, A.C.; Ferreira, C.M.; Filippi, M.C.C. Importância do Silício Para a Sustentabilidade da Produção de Arroz de Terras Altas no Cerrado Brasileiro; Comunicado Técnico; Embrapa Cerrados: Brasília, Brazil, 2021; pp. 1–26. [Google Scholar]
  52. Taiz, L.; Zeiger, E.; Moller, I.; Murphy, A. Fisiologia e Desenvolvimento Vegetal, 6th ed.; Artmed: Porto Alegre, Brazil, 2017; 888p. [Google Scholar]
  53. Costa CH, M.; Crusciol CA, C.; Soratto, R.P.; Neto, J.F. Phytomass decomposition and nutrients release from pearl millet, guinea grass and palisade grass. Biosci. J. 2016, 32, 5. [Google Scholar] [CrossRef]
Disclaimer/Publisher’s Note: The statements, opinions and data contained in all publications are solely those of the individual author(s) and contributor(s) and not of MDPI and/or the editor(s). MDPI and/or the editor(s) disclaim responsibility for any injury to people or property resulting from any ideas, methods, instructions or products referred to in the content.

Article Metrics

Citations

Article Access Statistics

Multiple requests from the same IP address are counted as one view.