Statistics and 3D Modelling on Soil Analysis by Using Unmanned Aircraft Systems and Laboratory Data for a Low-Cost Precision Agriculture Approach
Abstract
:1. Introduction
- (i)
- Ground sample campaign and laboratory analysis (EC, pH, and soil texture);
- (ii)
- UAS-RGB survey and spectral indices’ calculation;
- (iii)
- Statistics and geostatistics.
2. Materials and Methods
2.1. Study Area and Geopedological Setting
2.2. Data Processing and Workflow
2.3. Unmanned Aircraft System
2.4. Physicochemical Analysis
2.5. Remote Sensing Indices and Spectral Elaboration
2.6. Geostatistical Analysis
2.7. Validation
3. Results
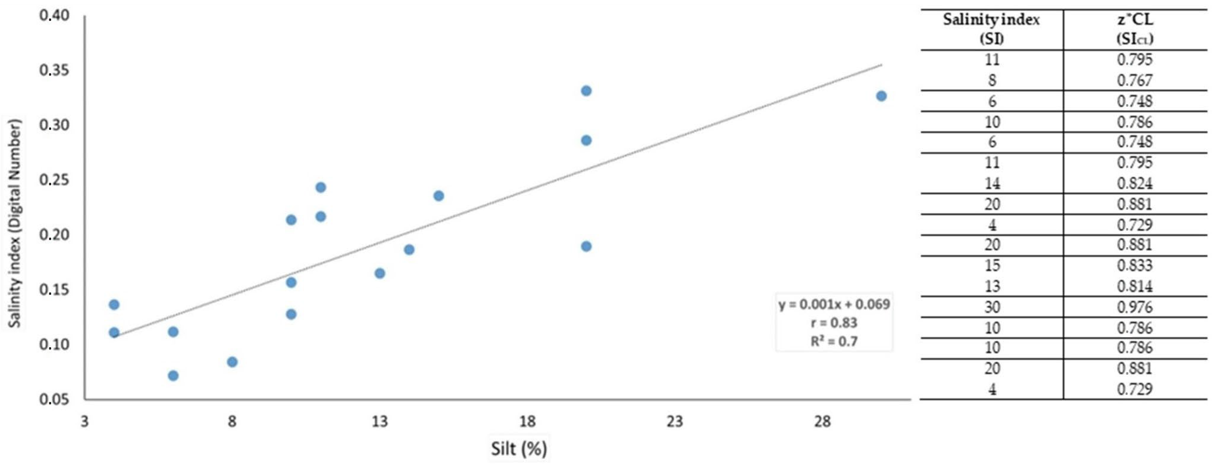
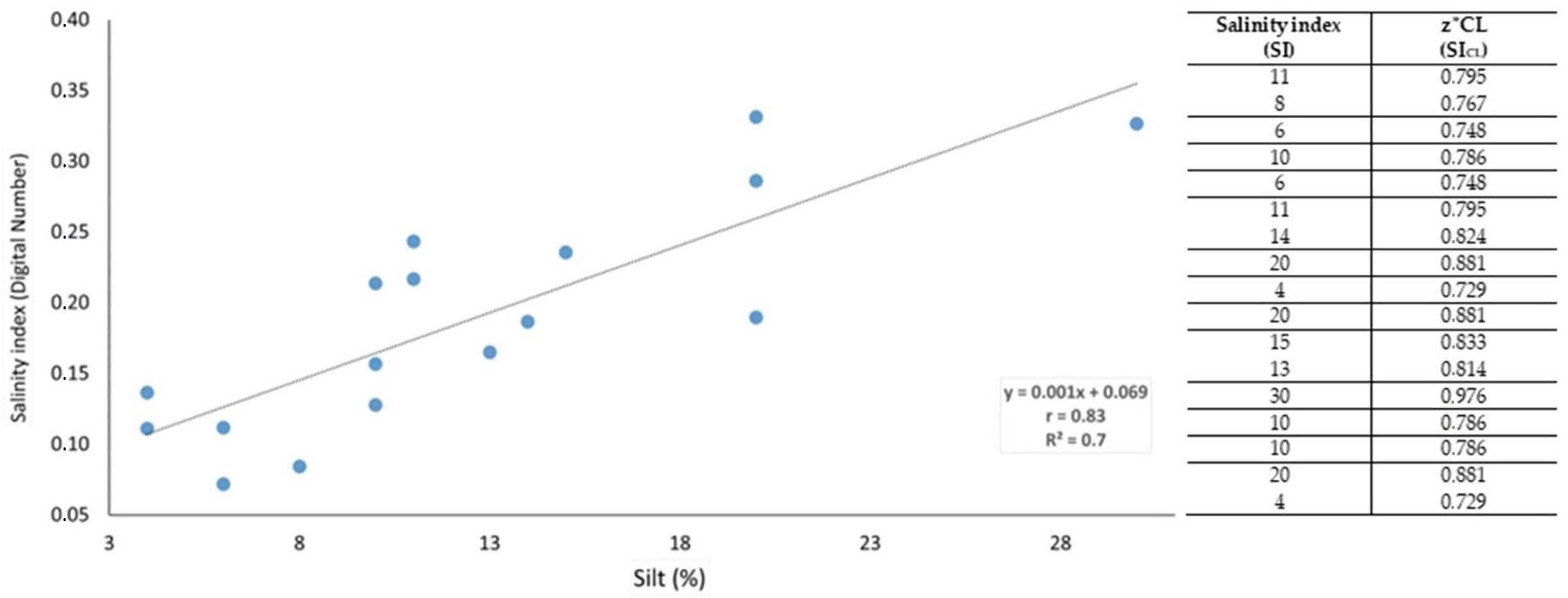
3.1. Summary Statistics
3.2. Salinity Map by Means of Ordinary Cokriging (OCK)
4. Discussion
5. Conclusions
Author Contributions
Funding
Data Availability Statement
Conflicts of Interest
References
- World Resources Institute. 1998–99 World Resources—A Guide to the Global Environment; Oxford University Press: New York, NY, USA, 1998. [Google Scholar]
- Crookston, K. A top 10 list of developments and issues impacting crop management and ecology during the past 50 years. Crop Sci. 2006, 46, 2253–2262. [Google Scholar] [CrossRef]
- Mamo, M.; Malzer, G.L.; Mulla, D.J.; Huggins, D.J.; Strock, J. Spatial and temporal variation in economically optimum N rate for corn. Agron. J. 2003, 95, 958–964. [Google Scholar] [CrossRef]
- Larson, W.E.; Robert, P.C. Farming by soil. In Soil Management for Sustainability; Lal, R., Pierce, F.J., Eds.; Soil and Water Conservation Society: Ankeny, IA, USA, 1991; pp. 103–112. [Google Scholar]
- Costantini, E.A.C. Linee Guida dei Metodi di Rilevamento e Informatizzazione dei Dati Pedologici; Costantini, E.A.C., Ed.; CRA-ABP: Firenze, Italy, 2007; p. 280. [Google Scholar]
- Corwin, D.L.; Lesch, S.M. Apparent soil electrical conductivity measurements in agriculture. Comput. Electron. Agric. 2005, 46, 11–43. [Google Scholar] [CrossRef]
- Mei, A.; Fontinovo, G.; Rantica, E.; Allegrini, A. Integration of satellite, UAV and field data for soil analysis in precision viticulture. Rend. Online Soc. Geol. It. 2020, 52, 33–39. [Google Scholar] [CrossRef]
- Lamb, D.; Hall, A.; Louis, J. Airborne remote sensing of vines for canopy variability and productivity. Aust. Grapegrow. Winemak. 2001, 89–94. [Google Scholar]
- Colombo, C.; Miano, T. Metodi di Analisi Chimica Del Suolo; Società Italiana della Scienza del Suolo, Associazione Italiana dei Laboratori Pubblici di Agrochimica, Ed.; Pubblicità e Stampa: Modugno, Italy, 2015. [Google Scholar]
- Benedetti, F.; Caon, L. Global Soil Laboratory Assessment 2020–Laboratories’ Capacities and Needs; FAO: Rome, Italy, 2021. [Google Scholar]
- Adamchuk, V.I.; Hummel, J.W.; Morgan, M.T.; Upadhyaya, S.K. On-the-go soil sensors for precision agriculture. Comput. Electron. Agric. 2004, 44, 71–91. [Google Scholar] [CrossRef]
- Viscarra Rossel, R.A.; Walvoort, D.J.J.; McBratney, A.B.; Janik, L.J.; Skjemstad, J.O. Visible, near infrared, mid infrared or combined diffuse reflectance spectroscopy for simultaneous assessment of various soil properties. Geoderma 2006, 131, 59–75. [Google Scholar] [CrossRef]
- Barbetti, R. Low-cost digital mapping of soil organic carbon using optical spectrophotometer and Sentinel-2 image. EQA Int. J. Environ. Qual. 2021, 44, 1–8. [Google Scholar] [CrossRef]
- Pichon, L.; Leroux, C.; Macombe, C.; Taylor, J.; Tisseyre, B. What relevant information can be identified by experts on unmanned aerial vehicles’ visible images for precision viticulture. Precis. Agric. 2019, 20, 278–294. [Google Scholar] [CrossRef]
- Cillero Castro, C.; Domínguez Gómez, J.A.; Delgado Martín, J.; Hinojo Sánchez, B.A.; Cereijo Arango, J.L.; Cheda Tuya, F.A.; Díaz-Varela, R. An UAV and Satellite Multispectral Data Approach to Monitor Water Quality in Small Reservoirs. Remote Sens. 2020, 12, 1514. [Google Scholar] [CrossRef]
- Matese, A.; Toscano, P.; Di Gennaro, S.; Genesio, L.; Vaccari, F.; Primicerio, J.; Claudio, B.; Zaldei, A.; Bianconi, R.; Gioli, B. Intercomparison of UAV, Aircraft and Satellite Remote Sensing Platforms for Precision Viticulture. Remote Sens. 2015, 7, 2971–2990. [Google Scholar] [CrossRef]
- Hu, J.; Peng, J.; Zhou, Y.; Xu, D.; Zhao, R.; Jiang, Q.; Fu, T.; Wang, F.; Shi, Z. Quantitative Estimation of Soil Salinity Using UAV-Borne Hyperspectral and Satellite Multispectral Images. Remote Sens. 2019, 11, 736. [Google Scholar] [CrossRef]
- Turner, N.; Colmer, T.; Quealy, J.; Pushpavalli, R.; Krishnamurthy, L.; Kaur, J.; Singh, G.; Siddique, K.; Vadez, V. Salinity tolerance and ion accumulation in chickpea (Cicer arietinum L.) subjected to salt stress. Plant Soil 2013, 365, 347–361. [Google Scholar] [CrossRef]
- Eltner, A.; Schneider, D. Analysis of Different Methods for 3D Reconstruction of Natural Surfaces from Parallel-Axes UAV Images. Photogram Rec. 2015, 30, 279–299. [Google Scholar] [CrossRef]
- Khan, S.A.; Mulvaney, R.L.; Hoeft, R.G. A Simple Soil Test for Detecting Sites that are Nonresponsive to Nitrogen Fertilization. Soil Sci. Soc. Am. J. 2001, 65, 1751–1760. [Google Scholar] [CrossRef]
- Khan, N.; Rastoskuev, V.; Sato, Y.; Shiozawa, S. Assessment of hydrosaline land degradation by using a simple approach of remote sensing indicators. Agric. Water Manag. 2005, 77, 96–109. [Google Scholar] [CrossRef]
- Abdelkader, D.; Nicolas, H.; Walter, C. Detecting salinity hazards within a semiarid context by means of combining soil and remote-sensing data. Geoderma 2006, 134, 217–230. [Google Scholar] [CrossRef]
- Castaldi, F.; Casa, R.; Castrignanò, A.; Pascucci, S.; Palombo, A.; Pignatti, S. Estimation of soil properties at the field scale from satellite data: A comparison between spatial and non-spatial techniques. Eur. J. Soil. Sci. 2014, 65, 842–851. [Google Scholar] [CrossRef]
- Castaldi, F.; Palombo, A.; Santini, F.; Pascucci, S.; Pignatti, S.; Casa, R. Evaluation of the potential of the current and forthcoming multispectral and hyperspectral imagers to estimate soil texture and organic carbon. Remote Sens. Environ. 2016, 179, 54–65. [Google Scholar] [CrossRef]
- Novak, J.; Lukas, V.; Kren, J. Estimation of soil properties based on soil colour index. Agric. Conspec. Sci. 2018, 83, 71–76. [Google Scholar]
- Escadafal, R. Remote sensing of arid soil surface color with Landsat thematic mapper. Adv. Space Res. 1989, 9, 159–163. [Google Scholar] [CrossRef]
- Ubina, N.A.; Cheng, S.-C. A Review of Unmanned System Technologies with Its Application to Aquaculture Farm Monitoring and Management. Drones 2022, 6, 12. [Google Scholar] [CrossRef]
- Nouri, H.; Chavoshi Borujeni, S.; Alaghmand, S.; Anderson, S.J.; Sutton, P.C.; Parvazian, S.; Beecham, S. Soil Salinity Mapping of Urban Greenery Using Remote Sensing and Proximal Sensing Techniques; The Case of Veale Gardens within the Adelaide Parklands. Sustainability 2018, 10, 2826. [Google Scholar] [CrossRef]
- Kim, J.; Kim, S.; Ju, C.; Son, H.I. Unmanned aerial vehicles in agriculture: A review of perspective of platform, control, and applications. IEEE Access 2019, 7, 105100–105115. [Google Scholar] [CrossRef]
- Radoglou-Grammatikis, P.; Sarigiannidis, P.; Lagkas, T.; Moscholios, I. A compilation of UAV applications for precision agriculture. Comput. Netw. 2020, 172, 107148. [Google Scholar] [CrossRef]
- Liu, X.; Chen, S.W.; Nardari, G.V.; Qu, C.; Ojeda, F.C.; Taylor, C.J.; Kumar, V. Challenges and Opportunities for Autonomous Micro-UAVs in Precision Agriculture. IEEE Micro 2022, 42, 61–68. [Google Scholar] [CrossRef]
- Singh, A.P.; Yerudkar, A.; Mariani, V.; Iannelli, L.; Glielmo, L. A Bibliometric Review of the Use of Unmanned Aerial Vehicles in Precision Agriculture and Precision Viticulture for Sensing Applications. Remote Sens. 2022, 14, 1604. [Google Scholar] [CrossRef]
- Torres-Sánchez, J.; Peña, J.M.; De Castro, A.I.; López-Granados, F. Multi-temporal mapping of the vegetation fraction in early season wheat fields using images from UAV. Comput. Electron. Agric. 2014, 103, 104–113. [Google Scholar] [CrossRef]
- Spetsakis, M.E.; Aloimonos, Y. A multi-frame approach to visual motion perception. Int. J. Comput. Vis. 1991, 6, 245–255. [Google Scholar] [CrossRef]
- Boufama, B.; Mohr, R.; Veillon, F. Euclidean Constraints on Uncalibrated Reconstruction. In Proceedings of the Fourth International Conference on Computer Vision, Berlin, Germany, 11–14 May 1993; pp. 466–470. [Google Scholar]
- Szeliski, R.; Kang, S.B. Recovering 3-D shape and motion from image streams using nonlinear least squares. J. Vis. Commun. Image Represent. 1994, 5, 10–28. [Google Scholar] [CrossRef]
- Förstner, W. A feature-based correspondence algorithm for image matching. Int. Arch. Photogramm. Remote Sens. 1986, 26, 150–166. [Google Scholar]
- Haboudane, D.; Miller, J.R.; Tremblay, N.; Zarco-Tejada, P.J.; Dextraze, L. Integrated narrow-band vegetation indices for prediction of crop chlorophyll content for application to precision agriculture. Remote Sens. Environ. 2002, 81, 416–426. [Google Scholar] [CrossRef]
- Dadshani, S.; Kurakin, A.; Amanov, S. Non-invasive assessment of leaf water status using a dual mode microwave resonator. Plant Methods 2015, 11, 8. [Google Scholar] [CrossRef]
- Orlando, F.; Movedi, E.; Coduto, D.; Parisi, S.; Brancadoro, L.; Pagani, V.; Guarneri, T.; Confalonieri, R. Estimating leaf area index (LAI) in vineyards using the Pocket LAI smart-app. Sensors 2016, 16, 2004. [Google Scholar] [CrossRef]
- Hubbard, S.S.; Schmutz, M.; Balde, A.; Falco, N.; Peruzzo, L.; Dafflon, B.; Leger, E.; Wu, Y. Estimation of soil classes and their relationship to grapevine vigor in a Bordeaux vineyard: Advancing the practical joint use of electromagnetic induction (EMI) and NDVI datasets for precision viticulture. Precis. Agric. 2021, 22, 1353–1376. [Google Scholar] [CrossRef]
- Pichon, L.; Ducanchez, A.; Fonta, H.; Tisseyre, B. Quality of Digital Elevation Models Obtained from Unmanned Aerial Vehicles for Precision Viticulture. OENO One 2016, 50. [Google Scholar] [CrossRef]
- Williams, R.D. DEMs of difference. Geomorphol. Tech. 2012, 2, 1–12. [Google Scholar]
- Köppen, W. Das Geographische System der Klimate, 1–44; Gebrüder Borntraeger: Berlin, Germany, 1936. [Google Scholar]
- Critelli, S. The interplay of lithospheric flexure and thrust accommodation in forming stratigraphic sequences in the southern Apennines foreland basin system, Italy. Rend. Lincei 1999, 10, 257–326. [Google Scholar] [CrossRef]
- Perri, F.; Cirrincione, R.; Critelli, S.; Mazzoleni, P.; Pappalardo, A. Clay Mineral Assemblages and Sandstone Compositions of the Mesozoic Longobucco Group, Northeastern Calabria: Implications for Burial History and Diagenetic Evolution. Int. Geol. Rev. 2008, 50, 1116–1131. [Google Scholar] [CrossRef]
- Malinverno, A.; Ryan, W.B. Extension in the Tyrrhenian Sea and shortening in the Apennines as result of arc migration driven by sinking of the lithosphere. Tectonics 1986, 5, 227–245. [Google Scholar] [CrossRef]
- Servizio Geologico d’Italia. Carta Geologica d’Italia alla Scala 1:50,000, F. 590 Taurianova; ISPRA: Rome, Italy, 2015. [Google Scholar]
- Cavazza, W.; Blenkinsop, J.; De Celles, P.G.; Patterson, R.T.; Reinhardt, E.G. Stratigrafia e sedimentologia della sequenza sedimentaria oligocenica-quaternaria del bacino Calabro Ionico. Boll. Soc. Geol. Ital. 1997, 116, 51–77. [Google Scholar]
- Cavazza, W.; Ingersoll, R.V. Detrital Modes of the Ionian forearc basin fill (Oligocene-Quaternary) reflect the tectonic evolution of the Calabria-Peloritani terrane (Southern Italy). J. Sediment. Res. 2005, 75, 268–279. [Google Scholar] [CrossRef]
- Servizio Agropedologico della Calabria. Carta Dei Suoli a Scala 1:250,000; ARSAC: Rome, Italy, 2003. [Google Scholar]
- Fernandez-Buces, N.; Siebe, C.; Cram, S.; Palacio, J.L. Mapping soil salinity using a combined spectral response index for bare soil and vegetation: A case study in the former lake Texcoco, Mexico. J. Arid. Environ. 2006, 65, 644–667. [Google Scholar] [CrossRef]
- Akramkhanov, A.; Vlek, P.L. The assessment of spatial distribution of soil salinity risk using neural network. Environ. Monit. Assess. 2012, 184, 2475–2485. [Google Scholar] [CrossRef]
- Carrivick, J.; Smith, M.; Quincey, D. Structure from motion photogrammetry in physical geography. Prog. Phys. Geogr. 2016, 40, 247–275. [Google Scholar] [CrossRef]
- Westoby, M.J.; Brasington, J.; Glasser, N.F.; Hambrey, M.J.; Reynolds, J.M. Structure-from-Motion’ photogrammetry: A low-cost, effective tool for geoscience applications. Geomorphology 2012, 179, 300–314. [Google Scholar] [CrossRef]
- Ahmadabadian, A.H.; Yazdan, R.; Karami, A.; Moradi, M.; Ghorbani, F. Clustering and selecting vantage images in a low-cost system for 3D reconstruction of texture-less objects. Measurement 2017, 99, 185–191. [Google Scholar] [CrossRef]
- Rouse, J.W.; Haas, R.H.; Schell, J.A.; Deering, D.W. Monitoring vegetation system in the great plains with ERTS. In Proceedings of the Third Earth Resources Technology Satellite-1 Symposium, Greenbelt, MD, USA, 10–14 December 1973; pp. 3010–3017, NASA SP-351. [Google Scholar]
- Khan, N.M.; Rastoskuev, V.V.; Shalina, E.V.; Sato, Y. Mapping Salt-Affected Soils Using Remote Sensing Indicators—A Simple Approach with the Use of GIS IDRISI. In Proceedings of the 22nd Asian Conference on Remote Sensing, Singapore, 5–9 November 2001; pp. 5–9. [Google Scholar]
- Parker, T.A.; Palkovic, A.; Gepts, P. Determining the Genetic Control of Common Bean Early-Growth Rate Using Unmanned Aerial Vehicles. Remote Sens. 2020, 12, 1748. [Google Scholar] [CrossRef]
- Woebbecke, D.M.; Meyer, G.E.; Von Bargen, K.; Mortensen, D.A. Color indices for weed identification under various soil, residue, and lighting conditions. Trans. ASAE 1995, 38, 259–269. [Google Scholar] [CrossRef]
- Otsu, N. A Threshold Selection Method from Gray-Level Histograms. IEEE Trans. Syst. Man Cybern. 1979, 9, 62–66. [Google Scholar] [CrossRef]
- Kim, D.W.; Yun, H.S.; Jeong, S.J.; Kwon, Y.S.; Kim, S.G.; Lee, W.S.; Kim, H.J. Modeling and Testing of Growth Status for Chinese Cabbage and White Radish with UAV-Based RGB Imagery. Remote Sens. 2018, 10, 563. [Google Scholar] [CrossRef]
- Matheron, G. Principles of Geostatistics. Econ. Geol. 1963, 58, 1246–1266. [Google Scholar] [CrossRef]
- Myers, D.E. Matrix formulation of co-kriging. Math. Geol. 1982, 14, 249–257. [Google Scholar] [CrossRef]
- Li, J.; Heap, A.D. A review of comparative studies of spatial interpolation methods in environmental sciences: Performance and impact factors. Ecol. Inf. 2011, 6, 228–241. [Google Scholar] [CrossRef]
- Rivoirard, J. Introduction to Disjunctive Kriging and Non-Linear Geostatistics; Clarendon Press: Oxford, UK, 1994. [Google Scholar]
- Chilès, J.-P.; Delfiner, P. Chapter 4 of Geostatistics: Modeling Spatial Uncertainty; John Wiley & Sons, Inc.: New York, NY, USA, 1999. [Google Scholar]
- Cressie, N. Statistics for Spatial Data; Wiley: New York, NY, USA, 1993; p. 326. [Google Scholar]
- Cressie, N.; Hawkins, D.M. Robust estimation of the variogram. Math. Geol. 1980, 12, 115–125. [Google Scholar] [CrossRef]
- Krivoruchko, K. Spatial Statistical Data Analysis for GIS Users; Esri Press: Redlands, CA, USA, 2011; p. 928. [Google Scholar]
- Laurent, L.; Boucard, P.; Soulier, B. Generation of a cokriging metamodel using a multiparametric strategy. Comput. Mech. 2013, 51, 151–169. [Google Scholar] [CrossRef]
- Wackernagel, H. Multivariate Geostatistics: An Introduction with Applications; Springer-Verlag: Berlin, Germany, 1995. [Google Scholar]
- Wang, K.; Zhang, C.; Li, W. Predictive mapping of soil total nitrogen at a regional scale: A comparison between geographically weighted regression and cokriging. Appl. Geogr. 2013, 42, 73–85. [Google Scholar] [CrossRef]
- Stamatis, D.H. Understanding ISO 9000 and Implementing the Basics to Quality, 1st ed.; Routledge: New York, NY, USA, 1995. [Google Scholar]
- Li, J.; Heap, A.D. A Review of Spatial Interpolation Methods for Environmental Scientists; Record 2008/23, 137; Geoscience Australia: Canberra, Australia, 2008. [Google Scholar]
- FAO. Emissions Due to Agriculture. Global, Regional and Country Trends 2000–2018. FAOSTAT Analytical Brief Series No 18. Rome. 2020. Available online: https://www.fao.org/3/cb3808en/cb3808en.pdf (accessed on 8 June 2023).
- Ragazzo, A.V.; Mei, A.; Fontinovo, G. Unmanned Aircraft Systems and Satellite Technologies for Topsoil Mapping in Precision Agriculture. Int. Arch. Photogramm. Remote Sens. Spatial Inf. Sci. 2023, 48, 417–422. [Google Scholar] [CrossRef]
- Wato, T.; Amare, M. The agricultural water pollution and its minimization strategies—A review. J. Resour. Dev. Manag. 2020, 64, 10–22. [Google Scholar]
- Tubiello, F.N.; Salvatore, M.; Rossi, S.; Ferrara, A.; Fitton, N.; Smith, P. The FAOSTAT database of greenhouse gas emissions from agriculture. Environ. Res. Lett. 2013, 8, 015009. [Google Scholar] [CrossRef]
- Höglund-Isaksson, L.; Gómez-Sanabria, A.; Klimont, Z.; Rafaj, P.; Schöpp, W. Technical potentials and costs for reducing global anthropogenic methane emissions in the 20z50 timeframe—Results from the GAINS model. Environ. Res. Commun. 2020, 2, 025004. [Google Scholar] [CrossRef]












| Indices | Equation | Ref. |
|---|---|---|
| Excess green index (ExG) | ExG = | [59,60] |
| Salinity index (SI) | SI = | [22] |
| Brightness index (BI) | BI = | [26] |
| ID | CL/SA 1 | SILT | CLAY | EC | pH | BI_norm 2 | SI_norm 2 |
|---|---|---|---|---|---|---|---|
| 1 | 0.935 | 11 | 43 | 0.55 | 8.01 | 0.4614 | 0.2166 |
| 2 | 0.840 | 8 | 42 | 1.25 | 7.90 | 0.2169 | 0.0843 |
| 3 | 0.808 | 6 | 42 | 1.86 | 7.80 | 0.2682 | 0.1118 |
| 4 | 0.250 | 10 | 18 | 0.96 | 7.90 | 0.3600 | 0.1567 |
| 5 | 0.741 | 6 | 40 | 5.15 | 7.40 | 0.2157 | 0.0717 |
| 6 | 0.272 | 11 | 19 | 2.11 | 7.70 | 0.5202 | 0.2433 |
| 7 | 1.205 | 14 | 47 | 1.47 | 7.80 | 0.3472 | 0.1865 |
| 8 | 3.000 | 20 | 60 | 1.99 | 7.90 | 0.5495 | 0.3313 |
| 9 | 1.000 | 4 | 48 | 0.65 | 7.90 | 0.2923 | 0.1120 |
| 10 | 1.667 | 20 | 50 | 0.74 | 8.00 | 0.4292 | 0.1896 |
| 11 | 0.308 | 15 | 20 | 0.48 | 7.30 | 0.4291 | 0.2355 |
| 12 | 0.192 | 14 | 13 | 0.26 | 8.00 | 0.3996 | 0.1650 |
| 13 | 6.000 | 30 | 60 | 0.78 | 7.10 | 0.5694 | 0.3266 |
| 14 | 1.250 | 10 | 50 | 0.69 | 8.10 | 0.4198 | 0.2137 |
| 15 | 1.250 | 10 | 50 | 0.48 | 8.10 | 0.3191 | 0.1277 |
| 16 | 1.667 | 20 | 50 | 0.72 | 7.60 | 0.5388 | 0.2861 |
| 17 | 1.000 | 4 | 48 | 0.26 | 8.00 | 0.3522 | 0.1364 |
| Min | 0.1918 | 4 | 14 | 0.26 | 7.10 | 0.2157 | 0.0717 |
| Max | 6 | 30 | 60 | 5.15 | 8.10 | 0.5694 | 0.3313 |
| Mean | 1.316 | 12 | 41 | 1.20 | 7.80 | 0.3935 | 0.1879 |
| Median | 1 | 11 | 47 | 0.74 | 7.90 | 0.3996 | 0.1865 |
| First Qu | 0.7407 | 8 | 40 | 0.55 | 7.70 | 0.3191 | 0.1277 |
| Third Qu | 1.25 | 15 | 50 | 1.47 | 8 | 0.4614 | 0.2356 |
| σ 3 | 1.344 | 6.7 | 14 | 1.14 | 0.3 | 0.1084 | 0.0767 |
Disclaimer/Publisher’s Note: The statements, opinions and data contained in all publications are solely those of the individual author(s) and contributor(s) and not of MDPI and/or the editor(s). MDPI and/or the editor(s) disclaim responsibility for any injury to people or property resulting from any ideas, methods, instructions or products referred to in the content. |
© 2023 by the authors. Licensee MDPI, Basel, Switzerland. This article is an open access article distributed under the terms and conditions of the Creative Commons Attribution (CC BY) license (https://creativecommons.org/licenses/by/4.0/).
Share and Cite
Mei, A.; Ragazzo, A.V.; Rantica, E.; Fontinovo, G. Statistics and 3D Modelling on Soil Analysis by Using Unmanned Aircraft Systems and Laboratory Data for a Low-Cost Precision Agriculture Approach. AgriEngineering 2023, 5, 1448-1468. https://doi.org/10.3390/agriengineering5030090
Mei A, Ragazzo AV, Rantica E, Fontinovo G. Statistics and 3D Modelling on Soil Analysis by Using Unmanned Aircraft Systems and Laboratory Data for a Low-Cost Precision Agriculture Approach. AgriEngineering. 2023; 5(3):1448-1468. https://doi.org/10.3390/agriengineering5030090
Chicago/Turabian StyleMei, Alessandro, Alfonso Valerio Ragazzo, Elena Rantica, and Giuliano Fontinovo. 2023. "Statistics and 3D Modelling on Soil Analysis by Using Unmanned Aircraft Systems and Laboratory Data for a Low-Cost Precision Agriculture Approach" AgriEngineering 5, no. 3: 1448-1468. https://doi.org/10.3390/agriengineering5030090
APA StyleMei, A., Ragazzo, A. V., Rantica, E., & Fontinovo, G. (2023). Statistics and 3D Modelling on Soil Analysis by Using Unmanned Aircraft Systems and Laboratory Data for a Low-Cost Precision Agriculture Approach. AgriEngineering, 5(3), 1448-1468. https://doi.org/10.3390/agriengineering5030090

