You are currently viewing a new version of our website. To view the old version click .
AgriEngineering
  • Article
  • Open Access

1 August 2022

Does Environmental Enrichment with Music and Strobe Light Affect Broilers’ Welfare? Analyzing Their On-Farm Reaction

,
,
,
,
and
1
College of Agricultural Engineering, State University of Campinas, Campinas 13083-970, SP, Brazil
2
Department of Biosystems Engineering, School of Science and Engineering, São Paulo State University—UNESP, Tupã 17602-496, SP, Brazil
3
Department of Animal Science, Federal University of Roraima, Boa Vista 69300-000, RR, Brazil
4
Department of Management, Development and Technology, School of Science and Engineering, São Paulo State University—UNESP, Tupã 17602-496, SP, Brazil
This article belongs to the Section Livestock Farming Technology

Abstract

The present study observed whether environmental enrichment (music and strobe light) influenced farm-housed broiler chickens’ behavior. The trial was carried out on a commercial broiler farm from 21 to 35 days of growth. The sound stimulus consisted of playing a classical music track every day for an approximate length of 6 min, played five times a day for six weeks starting from the birds’ first day of age. The light stimuli came from a colored (red and green ground-projected dots) light-emitting diode (LED) strobe projector used after the musical stimulation. The broilers’ reaction was recorded (from day 21 through day 35), and individual bird behaviors were classified into welfare and stress. The birds’ ability to walk was measured using a gait score scale, and the degree of incidence of pododermatitis was verified. Environmental enrichment with light stimulus increased natural behavior in broiler chickens, such as eating, stretching, ground pecking, and flapping wings (p < 0.05). Broiler chickens tended to walk less in the housing with music stimuli (p < 0.05). In general, the environmental stimuli provided the birds with better walking ability but increased the incidence of pododermatitis (p < 0.01). We observed that the light stimulus left the birds more active; they foraged more and lay less when compared to the birds submitted to musical stimuli and the control. However, we also observed an increase in the frequency of stress-indicating behaviors in the environment under light stimulation. It is unclear whether broilers liked the tested stimuli of music and light in the scenarios studied. The enrichment with light or music apparently increased flock stress in 21- and 28-day-old broilers, with some benefit being observed only in 35-day-old broilers.

1. Introduction

Broilers are conventionally reared in deep-litter systems without access to environmental enrichment. Consumers’ issues have been growing in the past years towards increasing demand for animal welfare in farm animals since meat consumers’ awareness has increased lately [1,2]. Despite welfare concerns in broiler production, producers must maintain many animals within small areas to obtain economies of space, energy usage, and employees’ work hours [3,4]. Crowding animals together is viewed by consumers as a significant cause of poor welfare, pain, and natural behavior limitation. Although the factors that affect broiler chickens’ well-being and behavior are well-described in the current literature [4,5,6,7], broilers are still considered a portion of healthy food or a commodity for most consumers [8].
Broiler chickens are intensively housed in monotonous environments that reduce exploration opportunities [8,9]. Morgan and Tromborg [10] state that animals in controlled environments can significantly change how they socialize with each other. Hazel et al. [11] observed that chickens could show happiness, frustration, and monotony. In the current literature, birds and mammals present similar brain areas such as as lemnopallial (somatomotor- and limbic-related) and collopallial (auditory and somatosensory), that are related to the need to explore surrounding living areas [8,12].
Animal welfare is generally defined as ‘how an animal is coping with its living conditions′ and refers to the ‘state of the animal,’ which is critically related to its health. Poor health and welfare in livestock have consequences beyond those related to performance [13]. According to Bergmann et al. [7], animal welfare is ambiguous because it indicates both a sense of well-being and physical health. At the same time, Marino [8] considers that consumers think welfare is presently related to productivity. Other studies indicate that animal welfare is a topic that needs to be addressed by farmers until they fully understand animal consciousness [5,11,12]. The welfare concept’s ‘state of the animal’ stands for balancing the housed animal and its surroundings [8]. Engineering can contribute to environmental enrichment to stimulate movement and other natural behaviors in birds and, in this way, contribute to improving the well-being of these animals.
Environmental enrichment adds biologically relevant stimuli to the animals’ environment to encourage natural behavior [14,15,16,17]. Environmental enrichment is more often incorporated in farm animals with dynamic and pleasant environments [18]. Visuals, sounds, objects, plastic materials, and smells are strategies for enriching the environment [19]. In addition, environmental enrichment can improve animal well-being, enabling the expression of species-specific behaviors, such as in pigs, in which the animal’s psychological and bodily development is influenced [16].
Environmental light stimuli can affect behavior [20,21]. Music as enrichment should be relevant for the species and the desired intentions [22]. Cabaral et al. (2017) [23] observed that classical and random music significantly increased hens’ final body weight, average daily gain, and weight gain. Additionally, the authors found that the hens became more relaxed in their surroundings and improved egg productivity. Slow background music enhances human productivity [24] and positively affects farm animals [25]. Other authors have observed music’s benefits on animals and suggested that music stimulates and improves laboratory animals’ welfare [26]. Managing the resources in an environment’s complexity, such as straw bales and elevated platforms, positively affected broiler chickens, reduced fearfulness, and increased learning ability [27]. Environmental enrichment stimulates natural behaviors such as perching, foraging, and activity [18]. Additions inside the house (such as environmental enrichment) are usually not chosen for farmers as it is usually impracticable [17]. For instance, straw bales, perches, plastic wire, and platforms are not easy to clean, costly, and do not promote good hygiene between production cycles. Although environmental enrichment has been studied to alleviate broiler chickens’ boredom during the growth cycle, we found few studies that used light or sound stimuli in broilers, and no data are available for on-farm conditions. This study hypothesizes that music and strobe light stimulate movement and natural behaviors, improving walking ability and reducing foot pododermatitis and stress in broilers during the grow-out phase.
The present study aimed to enrich the broilers’ rearing environment with music and strobe light to observe the birds’ first reactions and verify the additions’ effectiveness in stimulating movement and the expression of other behaviors. This research paper is part of a more extensive investigation into understanding the use of music and light probes as enrichment in broiler farms [28]. In this specific case, we observed the effect of classical music associated with the light probe effect on the reaction of on-farm-reared broilers.

2. Materials and Methods

2.1. Animals and Housing

The observational study was carried out on a commercial farm in Mogi Mirim County (22.42° S, 46.95° W), Brazil, from August to November. The farm had four broiler houses (BH) with negative forced ventilation and blue lateral polypropylene curtains with a similar design and construction (15 m wide × 150 long × 3 m high). Each house housed approximately 30,000 chickens and was equipped with identical automatic nipple drinkers and feeders. The deep-litter material used in each house was new sawdust mixed with rice husks. A monitoring system controlled the rearing environment. The temperature for all houses was automatically maintained at 32 °C (start period) to an end temperature of 18 °C (finishing period). The light program for chicks up to 7 days of age was continuous, i.e., 24 h of light (20 lx). A 30 min darkness period at night between 8 and 28 days of age was added to a total of 8 h of complete darkness. From 28 days old to the end of the growth cycle, the only lighting used was natural.
The farm produced the feed where the study was carried out during the growth period (starter, rearing, and finisher). Feed and drinking water were provided ad libitum.
A square-framed metal measuring 5 × 10 × 2 m was built to support the video camera and strobe light source. A speaker was installed outside this structure, as shown in the layout in Figure 1. The duration of the observational study was from day 14 to day 35. The commercial farm provided 500 broiler chickens (Ross® genetic strain) for each house, with a flock density of 12 birds/m2.
Figure 1. Schematic view of the experiment showing a tripod metal structure built in the house’s center to support the video camera and the colored LED strobe projector. The soundbox was fixed in the structural wooden beam near the tripod.

2.2. Enrichment with Music and Strobe Light

Three different arrays of environmental enrichment were tested. In broiler house 1 (A1), the broilers were stimulated first with sound. A soundbox and a colored light-emitting diode (LED) strobe projector (illuminance = 223 lx at 2 m) were used to encourage the broilers’ behavior. After the sound stimulus, there was an approximately 5 min interval, and the light was put on. In broiler house 2 (A2), only the sound stimuli were used. Finally, in broiler house 3 (A3), the light was added, and broiler house 4 (A4) was used as a control (no stimuli were applied).
During the rearing period, the sound stimuli were played in A1 and A2 using monitoring equipment with a memory card system for high-resolution song playback (Tectron Electronic, model LPC 2364, Votorantim, Brazil) connected with the box sound (LL Audio, model LX40, Araras, Brazil). Every week, a classical music soundtrack was put on for approximately 6 min (ranging from 2–440 Hz and 60–70 dB) and played five times a day for six weeks (1 to 42 days of age): 9:00 am to 9:06 am, 11:00 am to 11:06 am, 1:00 pm to 1:06 pm, 3:00 pm to 3:06 pm, and 5:00 pm to 5:06 pm (adapted from Campo et al., D’Avila et al. and Meyer et al. [29,30,31]).
The light stimuli came from a colored (red and green) LED strobe projector (Xtrad, model LT-923159, São Paulo, Brazil). The light was turned on, following the same pattern as the musical stimulus, lasting around 6 min. We played the musical stimulus first, followed by applying the strobe light stimulus.

2.3. Video Recording

A video camera (Sony, model DCR-SR68, São Paulo, Brazil) was used to observe broilers’ behavior. The camera was installed on a tripod 2 m above the floor (Figure 1). The release was performed weekly in each studied house for three weeks. The recording started 3 min before the physical stimuli and lasted until 3 min after it concluded. The animal behavior analysis was carried out using an ethogram (Table 1) adapted from the current literature [13,32,33,34]. We adapted the ethogram for observational purposes, grouping some behaviors as previously carried out by other authors [35,36].
Table 1. The ethogram used to identify the birds’ reactions during the experiment.
An observer trained in assessing broiler behavior, not blinded to the treatment of the broilers, performed focal sampling using uninterrupted video recording. The behaviors were noted during the light and music physical stimuli at 21, 28, and 35 days of growth to determine whether a specific behavior was related to the exposure to the stimuli. The reaction analysis of the broilers was performed using a limited square area on the computer screen to delimitate the observation area using the scan sampling method (Figure 2). Each minute the observer recorded each reaction the birds showed in the limited space. Each time a particular reaction occurred, it was recorded. It was counted and divided by the number of birds present in the observation area, with every 1 min of observation as an occurrence rate.
Figure 2. Overview of the delimitation of the video analysis of animal behavior.

2.4. Leg Health Assessment

The on-farm observation was carried out weekly to identify 60 randomly selected broilers’ gait scores using a scale from 0 to 2 [37]. We gently induced the broilers to move to a corner of the area, and while they walked, we evaluated their gait score. A gait score of 0 was adopted for birds that walked ten steps normally. A gait score of 1 was for birds that walked ten steps with a particular difficulty, presenting an imbalance between the limbs, and a score of 2 was for birds that could not walk one to four steps.
A weekly observation was conducted with 20 birds per house to identify pododermatitis lesions. Pododermatitis score was estimated using a scale from 0 to 3 (0 for birds with no lesions, 1 for birds with less than 50% lesions, 2 for birds with between 50% to 100% lesions, and 3 for birds with 100% lesions) [38].

2.5. Data Analysis

An exploratory data analysis was performed, with graphics developed for each studied day (21, 28, and 35), and the Fisher test was applied with a significance range (95% intervals for means). Thus, it was possible to determine the effects of environmental enrichment and age and the probable interactions of these variables on broiler chickens’ behavior.

3. Results

3.1. Indication of Wellbeing Behavior

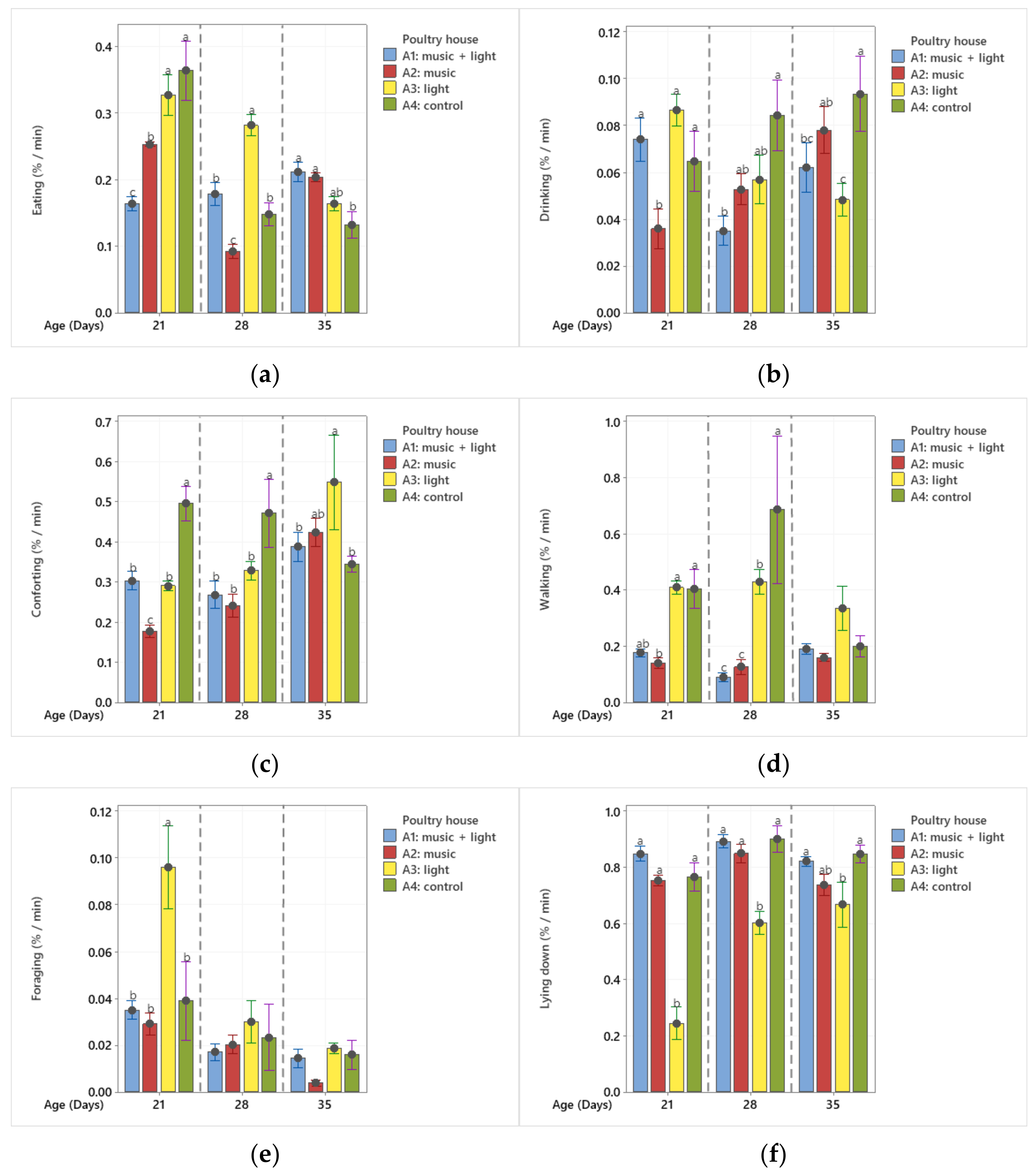
The results of observed behaviors over 6 min (eating, drinking, water, comforting, walking, foraging, and lying) for each evaluated age affected by the tested stimuli (music and light, music, and light) are shown in Figure 3. We grouped them by reactions that indicate well-being and stress (Table 1).
Figure 3. Graphs of means and respective standard errors observed over six minutes for behaviors ((a) eating, (b) drinking water, (c) comforting, (d) walking, (e) foraging, and (f) lying) and the result of the Fisher test (p < 0.05) of significance for each evaluated age.
It can be seen in the graphs of Figure 3 that the birds walked more in the control treatment (Figure 3d), followed by the light treatment only, at the age of 28 days. At 21 days of age, no difference between groups A3 and A4 was found, and at 35 days of age, birds walked more in the light treatment (A3) than in the control treatment (A4). The light stimulus (A3) promoted greater foraging behavior at 21 days (Figure 3e); however, at 35 days of age, no difference in laying down behavior between groups A2 and A3 was found. The light treatment reduced the expression of the lying behavior at all ages (Figure 3f), indicating that strobe light created a higher activity level in chickens. Based on these results, broilers appeared stimulated to move more in the light stimulus treatment (A3). At 21 days old, more birds were at the feeder in the control treatment. At 35 days of age, there was an inversion in the behavior pattern, and the birds submitted to sound stimuli (A1: light and sound and A2: sound) and expressed more eating behavior.
Comforting behaviors (dust bathing, standing up, preening, and stretching) were observed more frequently in the control treatment (A4) in 21- and 28-day-old broilers. The light treatment did not stimulate the comforting behaviors until 35 days of age; even in this case, there was no difference between groups A2 (music) and A3 (light).

3.2. Indication of Stressful Behavior

Figure 4 shows the Fisher test results for stress reactions such as wing-flapping, scratching, standing alert, and attacking.
Figure 4. Graphs of means and respective standard errors of the observed behaviors over six minutes for behaviors ((a) wing-flapping, (b) scratching, (c) standing alert, and (d) attacking) and the result of the Fisher test significance (p < 0.05) for each evaluated age.
The frequency of wing-flapping increased in group A1 at 28 to 35 days of age and in groups A2 and A3 at 28 to 35 days of age. In contrast, the frequency observed between the ages (for the same treatment) was practically the same with music or strobe light stimuli. The highest incidence of wing-flapping was found in the control when broilers were 21 days old. Broilers at 35 days old showed more of this behavior with the light exposure. It was verified that the treatment with light (A3) presented a higher frequency of attack in 28-day-old broilers, and more standing alert and wing-flapping behaviors in 35-day-old broilers. We did not find lower frequencies of these behaviors in the light treatment, with a statistically significant difference (p < 0.05) except for the scratching behavior at 35 days of age. We found that the novelty of the exposure to the light strobe and music influenced the birds’ reactions. These results indicate that although the treatment promoted more significant movement of birds in the house, it probably also led to more stress.

3.3. Leg Health Assessment

The results in Table 2 show that all stimulus treatments (music or strobe light) improved the gait score and worsened the degree of pododermatitis, resulting from the more significant movement of the birds induced by the environmental stimuli.
Table 2. The number of birds observed from the total sample with different degrees of gait score and pododermatitis for each treatment.
Since we had a sex-mixed flock, we tested whether the sex affected the results. No difference between the sexes of the birds was found between the treatments (p = 0.371).

4. Discussion

Various environmental modifications have been used as environmental enrichment methods in domestic animals, including physical and auditory enrichment. The present observational study aimed to analyze broiler chickens’ behavior in a commercial rearing farm using environmental enrichment (music and light) during the growth period of the birds, from day 21 to 35. Among the results, we observed that the applied stimuli led to various responses by the birds. Wing-flapping tended to decrease as broilers became older in the control treatment (A4), but the frequency of such behavior was observed in the treatments with music or strobe light stimuli at all ages. Riber [39] also observed that the time for each behavior differed between ages. The strobe light stimulus showed a higher frequency of stressful behaviors (scratching, standing alert, and attacking behaviors) for all broiler ages, excluding the scratching behavior in 35-day-old broilers.
We found that the light stimulus encouraged more foraging behavior of 21-day-old broilers. Similar behavior was observed by Vasdal et al. [40], who stated that enriched birds showed more ground-directed exploratory behavior than control broilers. Since rearing broiler chickens in a conventional environment reduced the foraging behavior due to high feed availability [41], we infer that the light stimulus might help to encourage broilers to seek feed.
We found that the comforting behaviors (dust-bathing, standing up, preening, and stretching) were more frequent in the control treatment in 21- and 28-day-old broilers. These reactions increased at 35 days of age in treatment with a light stimulus. These results indicate that broilers felt stressed with the tested stimuli at 21 and 28 days. Amongst other situations (capture, restrain, and open fields), novelty presents a compelling indication of fear in chickens [8,27,30,42]. Therefore, presenting light and music as environmental enrichment did not work properly.
Broiler chickens are encouraged to seek opportunities to explore novel stimuli when exposed to different physical arrangements during the rearing period [43]. Assuming that modern broilers have been bred to not desire movement [44], adding some stimuli, such as straw bales, motivates broiler chickens to move around much more and be more active [45]. Increasing environmental enrichment benefits welfare and behavioral opportunities and positively affects farmer returns, because adding lucrative economic gains while addressing welfare concerns offers a win-win situation [15].
Our results indicate that broilers walked more in the light treatment (A3, Figure 3d) at 21 and 35 days of age than in group A4 (control). In a previous study, Jong and Gunnink [17] found that broilers with environmental enrichment presented exploring, foraging, and walking more frequently than a control treatment. Other authors have observed that a laser enrichment device successfully encouraged broiler activity and did not impact walking ability [31]. The present study found that broilers walked more in the environment without music and light stimuli; however, they presented better leg health indicators in the treatment with light.
The surrounding environment becomes predictable in the nonexistence of new novelty sources, and the chickens may no longer be stimulated to perform exploratory behavior. Moreover, chickens will habituate to stimuli in their housing environment after an initial exploration period and then realize no positive effects [43]. Other authors have implied that birds can adapt to low-frequency sounds and detect sounds that humans cannot hear (below 20 Hz), but the broilers’ reaction was not noticed as long as our tested musical stimuli [46].
Several authors have recommended that music benefits animals since it improves welfare and stimulates them [6,26,29,30]; however, the studies often do not refer to broilers reared in a commercial environment. In contrast, Cabaral et al. [23] found that quails exposed to any music showed aggressive behavior. They inferred that in broiler chickens in a natural environment, aggressive behavior is encouraged by music. During all the observational studies, it was clear that broiler chickens have their own personalities and are individual. Marino [8] suggests that chickens are like other cognitively and behaviorally complex animals; they present distinct personalities [47].
The randomly moving red and green light spots caught the birds’ attention at some moments, and the broilers moved when under the light stimulus. However, they presented stressed behavior, and most of the differences found in the behaviors seem marginal. As we applied the auditory stimuli since the first week of growth, the chicks might have been accustomed to the music and light, making it challenging to confirm the stimuli’s effectiveness later in the growth phase. A previous study [34] indicates that newly hatched chicks naturally prefer certain sounds. Other authors [30] have concluded that music enrichment was ineffective in decreasing fearfulness in chickens; therefore, auditory enrichment might not be considered a reliable method for reducing stress levels in chickens.
In an observational study in commercial facilities, total control of variables becomes impracticable despite including experimental control protocols. However, using rules during the experiment helped reduce these variations. The space observation definition was a good strategy due to the homogenized housing conditions for that space. However, it was not possible to evaluate the behavior of the birds in all the diversity of environments available in the house, for example, near the sides where there was sunlight present that could affect the birds’ behavior. Another limitation was time. The study was conducted at a particular time with a standardized, instantaneous time interval and depended on conditions during that data collection period. The criterion of non-interference in the interval times of data collection was adopted to not affect the study results. The observed behavioral results should consider these limitations described. However, as proposed, the idea was to check the possibility of the on-farm use of music and light as environmental enrichment.

5. Conclusions

Under the studied scenarios, it is unclear whether broilers liked the stimuli of the music and light applied. We noticed that the enrichment with light or music as proposed increased flock stress in 21- and 28-day-old broilers, with some benefit being observed only in 35-day-old broilers. More research must be performed before using music and light as environmental enrichment in commercial broiler farms.

Author Contributions

The article was part of the doctoral thesis of F.G.J. under the supervision of I.d.A.N. The experiment was designed and carried out by F.G.J., N.D.d.S.L., M.d.S.B., D.D.S. and D.F.P. analyzed the data. The article was written by F.G.J. and reviewed by I.d.A.N. and D.F.P. All authors have read and agreed to the published version of the manuscript.

Funding

The authors thank the Coordination of Superior Level Staff Improvement (CAPES): funding code 001 for the scholarship and the Funding for Support of Research and Extension of UNICAMP (FAEPEX): 2173/16 for the partial funding.

Institutional Review Board Statement

The study was conducted in accordance with the Declaration of Helsinki, and was authorized by the Biology Ethics Committee, UNICAMP, n. 4809-1/2018.

Data Availability Statement

Data will be available from the corresponding author upon request.

Acknowledgments

Our special thanks to Andy Butterworth from the University of Bristol for guidance and to Holambra Cooperative for providing access to the broiler farms.

Conflicts of Interest

The authors declare no conflict of interest.

Ethical Considerations

The observational field study described in the present article was carried out following the OIE Directives and approved by the Ethics Committee of the State University of Campinas, protocol CEUA 4809-1/2018. The research was performed under commercial conditions with animals used for food consumption.

References

  1. Cembalo, L.; Caracciolo, F.; Lombardi, A.; Del Giudice, T.; Grunert, K.G.; Cicia, G. Determinants of individual attitudes toward animal welfare-friendly food products. J. Agric. Environ. Ethics 2016, 29, 237–254. [Google Scholar] [CrossRef]
  2. Miranda, G.C.L.; Estévez-Moreno, X.; Sepúlveda, W.S.; Estrada-Chavero, M.C.; Rayas-Amor, A.A.; Villarroel, M.; María, G.A. Mexican consumers’ perceptions and attitudes towards farm animal welfare and willingness to pay for welfare friendly meat products. Meat Sci. 2017, 125, 106–113. [Google Scholar] [CrossRef] [PubMed]
  3. Appleby, M.C. What causes crowding? Effects of space, facilities and group size on behaviour, with particular reference to furnished cages for hens. Anim. Welf. 2004, 13, 313–320. Available online: https://www.ingentaconnect.com/contentone/ufaw/aw/2004/00000013/00000003/art00006 (accessed on 25 June 2022).
  4. Meluzzi, A.; Fabbri, C.; Folegatti, E.; Sirri, F. Effect of less intensive rearing conditions on litter characteristics, growth performance, carcass injuries and meat quality of broilers. Br. Poult. Sci. 2008, 49, 509–515. [Google Scholar] [CrossRef]
  5. Meluzzi, A.; Sirri, F. Welfare of broiler chickens. Ital. J. Anim. Sci. 2009, 8, 161–173. [Google Scholar] [CrossRef]
  6. Broucek, J. Effect of noise on performance, stress, and behaviour of animals. Slovak J. Anim. Sci. 2014, 47, 111–123. Available online: http://www.cvzv.sk/slju/14_2/8_Broucek.pdf (accessed on 25 June 2022).
  7. Bergmann, S.; Schwarzer, A.; Wilutzky, K.; Louton, H.; Bachmeier, J.; Schmidt, P.; Erhard, M.; Rauch, E. Behavior as welfare indicator for the rearing of broilers in an enriched husbandry environment: A field study. J. Vet. Behav. 2017, 19, 90–101. [Google Scholar] [CrossRef]
  8. Marino, L. Thinking chickens: A review of cognition, emotion, and behavior in the domestic chicken. Anim. Cogn. 2017, 20, 127–147. [Google Scholar] [CrossRef]
  9. Jones, R.B.; Carmichael, N.L.; Rayner, E. Pecking preferences and pre-dispositions in domestic chicks: Implications for the development of environmental enrichment devices. Appl. Anim. Behav. Sci. 2004, 69, 291–312. [Google Scholar] [CrossRef]
  10. Morgan, K.N.; Tromborg, C. Sources of stress in captivity. Appl. Anim. Behav. Sci. 2007, 102, 262–302. [Google Scholar] [CrossRef]
  11. Hazel, S.J.; O’Dwyer, L.; Ryan, T. Chickens are a lot smarter than I originally thought: Changes in student attitudes to chickens following a chicken training class. Animals 2015, 5, 821–837. [Google Scholar] [CrossRef]
  12. Butler, A.B. Review: Evolution of brains, cognition, and consciousness. Brain. Res. Bull. 2008, 75, 442–449. [Google Scholar] [CrossRef]
  13. OIE. OIE, Section 7. Animal Welfare. Terrestrial Animal Health Code; World Organisation for Animal Health: Paris, France, 2015; Available online: http://www.oie.int/international-standard-setting/terrestrialcode/access-online/ (accessed on 20 March 2021).
  14. Newberry, R.C. Environmental enrichment: Increasing the biological relevance of captive environments. Appl. Anim. Behav. Sci. 1995, 44, 229–243. [Google Scholar] [CrossRef]
  15. Leone, E.H.; Estevez, I. Economic and welfare benefits of environmental enrichment for broiler breeders. Poult. Sci. 2008, 87, 14–21. [Google Scholar] [CrossRef]
  16. Foppa, L.; Caldara, F.R.; Machado, S.P.; Moura, R.; Santos RK, S.; Nääs, I.A.; Garcia, R.G. Environmental enrichment and behaviour of pigs: Review. Braz. J. Biosyst. Eng. 2014, 8, 1–7. [Google Scholar] [CrossRef][Green Version]
  17. Jong, C.; Gunnink, H. Effects of a commercial broiler enrichment programme with or without natural light on behaviour and other welfare indicators. Animal 2019, 13, 384–391. [Google Scholar] [CrossRef]
  18. Baxter, M.; O’Connell, N.E. Does grouping environmental enrichments together affect the way they are used by commercially housed broiler chickens? Appl. Anim. Behav. Sci. 2019, 210, 52–59. [Google Scholar] [CrossRef]
  19. Adeniji, O.B. Effects of Environmental Enrichment Strategies on Behavior and Production Performance of Broiler Breeder Chickens Reared at Elevated Temperatures. Ph.D. Thesis, University of Tennessee, Knoxville, TN, USA, 2012. Available online: https://trace.tennessee.edu/utk_gradthes/1126/ (accessed on 3 March 2021).
  20. Corr, S.A.; Gentle, M.J.; McCorquodale, C.C.; Bennett, D. The effect of morphology on walking ability in the modern broiler: A gait analysis study. Anim. Welf. 2003, 12, 159–171. Available online: https://www.ingentaconnect.com/contentone/ufaw/aw/2003/00000012/00000002/art00002 (accessed on 25 June 2022).
  21. Lewis, P.D. Lighting, ventilation and temperature. Br. Poult. Sci. 2010, 51, 35–43. [Google Scholar] [CrossRef]
  22. Snowdon, C.T.; Teie, D.; Savage, M. Cats prefer species-appropriate music. Appl. Anim. Behav. Sci. 2015, 166, 106–111. [Google Scholar] [CrossRef]
  23. Cabaral, N.; Untalan, H.; Rieta, P.G. Type of music on the growth and laying performance, behaviour and marketability of quails. Open Sci. J. 2017, 2, 1–15. [Google Scholar] [CrossRef][Green Version]
  24. Shih, Y.-N.; Huang, R.-H.; Chiang, H.-Y. Background music: Effects on attention performance. Work 2012, 42, 573–578. [Google Scholar] [CrossRef] [PubMed]
  25. McCowan, B.; DiLorenzo, A.M.; Abichandani, S.; Borelli, C.; Cullor, J.S. Bioacoustic tools for enhancing animal management and productivity: Effects of recorded calf vocalizations on milk production in dairy cows. Appl. Anim. Behav. Sci. 2002, 77, 13–20. [Google Scholar] [CrossRef]
  26. Alworth, L.C.; Buerkle, S.C. The effects of music on animal physiology, behavior and welfare. Lab. Anim. 2013, 42, 54–61. [Google Scholar] [CrossRef]
  27. Tahamtani, F.M.; Pedersen, I.J.; Toinon, C.; Riber, A.B. Effects of environmental complexity on fearfulness and learning ability in fast-growing broiler chickens. Appl. Anim. Behav. Sci. 2018, 207, 49–56. [Google Scholar] [CrossRef]
  28. Jacob, F.G. O impacto de estímulos físicos (som e luz) em problemas locomotores de frangos de corte. Ph.D. Thesis, College of Agricultural Engineering, State University of Campinas, Campinas, SP, Brazil, 2019. Available online: https://1library.org/document/qorwdj0q-impacto-dos-estimulos-fisicos-problemas-locomotores-frangos-corte.html (accessed on 25 June 2022).
  29. Campo, J.L.; Gil, M.G.; D’Avila, S.G. Effects of specific noise and music stimuli on stress and fear levels of laying hens of several breeds. Appl. Anim. Behav. Sci. 2005, 91, 75–84. [Google Scholar] [CrossRef]
  30. D’avila, S.G.; Campo, J.L.; Gil, M.G.; Prieto, M.T.; Torres, O. Effects of auditory and physical enrichment on 3 measurements of fear and stress (tonic immobility duration, heterophil to lymphocyte ratio, and fluctuating asymmetry) in several breeds of layer chicks. Poult. Sci. 2011, 90, 2459–2466. [Google Scholar] [CrossRef]
  31. Meyer, M.M.; Johnson, A.K.; Bobeck, E.A. A novel environmental enrichment device increased physical activity and walking distance in broilers. Poult. Sci. 2020, 99, 48–60. [Google Scholar] [CrossRef]
  32. Villagrá, A.; Olivas, I.; Althaus, R.L.; Gómez, E.A.; Lainez, M.; Torres, A.G. Behavior of broiler chickens in four different substrates: A choice test. Braz. J. Poult. Sci. 2014, 16, 67–75. [Google Scholar] [CrossRef]
  33. Senaratna, D.; Samarakone, T.S.; Madusanka, A.A.P.; Gunawardane, W.W.D.A. Performance, behaviour and welfare aspects of broilers as affected by different colours of artificial light. Trop. Agr. Res. Ext. 2011, 14, 38–44. [Google Scholar] [CrossRef]
  34. Chiandetti, C.; Vallortigara, G. Chicks like consonant music. Psychol. Sci. 2011, 22, 1270–1273. [Google Scholar] [CrossRef]
  35. Riber, A.B.; Herskin, M.S.; Foldager, L.; Berenjian, A.; Sandercock, D.A.; Murrell, J.; Tahamtani, F.M. Are changes in behavior of fast-growing broilers with slight gait impairment (GS0-2) related to pain? Poult. Sci. 2021, 100, 100948. [Google Scholar] [CrossRef]
  36. Ross, L.; Cressman, M.D.; Cramer, M.C.; Pairis-Garcia, M.D. Validation of alternative behavioral observation methods in young broiler chickens. Poult. Sci. 2019, 98, 6225–6231. [Google Scholar] [CrossRef]
  37. Dawkins, M.S.; Donnelly, C.A.; Jones, T.A. Chicken welfare is influenced more by housing conditions than by stocking density. Nature 2004, 427, 242–344. [Google Scholar] [CrossRef]
  38. Hashimoto, S.; Yamazaki, K.; Obi, T.; Takase, K. Footpad dermatitis in broiler chickens in Japan. J. Vet. Med. Sci. 2011, 73, 293–297. [Google Scholar] [CrossRef]
  39. Riber, A.B. Effects of color of light on preferences, performance, and welfare in broilers. Poult. Sci. 2015, 94, 1767–1772. [Google Scholar] [CrossRef]
  40. Vasdal, G.; Vas, J.; Newberry, R.C.; Moe, R.O. Effects of environmental enrichment on activity and lameness in commercial broiler production. J. Appl. Anim. Welf. Sci. 2018, 22, 1532–7604. [Google Scholar] [CrossRef]
  41. Weeks, C.A.; Nicol, C.J. Behavioural needs, priorities and preferences of laying hens. World Poult. Sci. J. 2006, 62, 296–307. [Google Scholar] [CrossRef]
  42. Miller, K.A.; Garner, J.P.; Mench, J.A. Is fearfulness a trait that can be measured with behavioral tests? A validation of four fear tests for Japanese quail. Anim. Behav. 2006, 71, 1323–1334. [Google Scholar] [CrossRef]
  43. Newberry, R. Exploratory behaviour of young domestic fowl. Appl. Anim. Behav. Sci. 1999, 63, 311–321. [Google Scholar] [CrossRef]
  44. Kells, A.; Dawkins, M.S. The effect of a ‘freedom food’ enrichment on the behaviour of broilers on commercial farms. Anim. Welf. 2001, 10, 347–356. Available online: https://www.ingentaconnect.com/contentone/ufaw/aw/2001/00000010/00000004/art00001 (accessed on 25 June 2022).
  45. Baxter, M.; Bailie, C.L.; O’Connell, N.E. Evaluation of a dustbathing substrate and straw bales as environmental enrichments in commercial broiler housing. Appl. Anim. Behav. Sci. 2018, 200, 78–85. [Google Scholar] [CrossRef]
  46. Gleich, O.; Langemann, U. Auditory capabilities of birds in relation to the structural diversity of the basilar papilla. Hear. Res. 2011, 273, 80–88. [Google Scholar] [CrossRef] [PubMed]
  47. Dawkins, M.S. Animal welfare with and without consciousness. J. Zool. 2016, 301, 1–10. [Google Scholar] [CrossRef]
Publisher’s Note: MDPI stays neutral with regard to jurisdictional claims in published maps and institutional affiliations.

Article Metrics

Citations

Article Access Statistics

Multiple requests from the same IP address are counted as one view.