Abstract
Background: Alcohol-associated liver disease (AALD) represents significant health burdens worldwide. This study aims to provide a comprehensive overview of the AALD outcomes that were incompletely understood. Methods: The current study utilizes data from the National Health and Nutrition and Examination Survey (NHANES) from 2011–2020, using a stratified, multistage probability cluster design. AALD in the NHANES was defined using clinical laboratory data and self-reported alcohol use, among which fibrosis-4 score of >2.67. Analysis is conducted using weighted, logistic, and Cox linear regression. Results: The initial sample included 23,206 participants aged 20 and older, with recorded cardiovascular status and AST/ALT levels. Participants reporting AALD had a higher percentage of college degrees (p < 0.001) and were more likely to be daily smokers. Asians exhibited the highest rates of AALD compared to other demographics (p < 0.001). The prevalence in private insurance is significantly greater than Medicaid, but the usage trends have been increasing in Medicaid. The trends of advanced fibrosis have been increasing in blacks and Asians, while they have been decreasing among whites and Mexicans. Those with AALD also had higher mean systolic and diastolic blood pressure, as well as elevated fasting glucose levels (p < 0.001). The mortality rate among AALD participants with heart diseases was 25%, compared to 3% among those without (p < 0.001). After adjusting for potential confounding variables, no statistically significant associations were found between AALD status and HF or CAD. However, a clinically significant increase in the odds of stroke was observed within the AALD group (p < 0.001). Conclusions: Our findings indicate Asians have the highest rates of AALD. The trends of advanced fibrosis have been increasing in blacks and Asians. There is an increased prevalence of AALD with heart diseases and a significant increase in mortality with stroke.
1. Introduction
Alcohol-associated liver disease (AALD) represents significant public health challenges worldwide, contributing substantially to morbidity and mortality. The global burden of these diseases is underscored by their pervasive impact on health systems and societies. AALD has replaced the former name “alcoholic liver disease” [1]. AALD encompasses a spectrum of liver conditions, ranging from simple steatosis (fatty liver) to alcoholic hepatitis, fibrosis, cirrhosis, and hepatocellular carcinoma (HCC) [2]. According to the World Health Organization (WHO), alcohol consumption was responsible for approximately 2.6 million deaths annually in 2019, with AALD being a major contributor to this toll [3]. The pathogenesis of AALD involves complex interactions between genetic, environmental, and immunological factors, leading to liver inflammation, fibrosis, and eventual liver failure in severe cases [4]. The prevalence of AALD varies globally, with higher rates observed in regions with elevated alcohol consumption. For instance, Europe and the Americas report some of the highest incidences of AALD, reflecting cultural and socioeconomic factors influencing drinking patterns [4]. The economic burden of AALD is also substantial, encompassing healthcare costs, lost productivity, and social consequences. On the other hand, Coronary Vascular Disease (CVD), encompassing conditions such as coronary artery disease, heart failure, and stroke, remains the leading cause of death globally [5]. The WHO estimates that CVD accounts for approximately 17.9 million deaths each year, representing 31% of all global deaths [6]. Risk factors for CVD include hypertension, diabetes, smoking, unhealthy diet, physical inactivity, and excessive alcohol consumption [7]. Moderate alcohol intake has been suggested to have cardioprotective effects, particularly through the elevation of high-density lipoprotein (HDL) cholesterol and antithrombotic properties. However, chronic heavy drinking is unequivocally harmful, exacerbating the risk of hypertension, cardiomyopathy, arrhythmias, and ischemic stroke. Moreover, individuals with AALD often present with comorbid cardiovascular conditions, complicating management and prognosis. This study aims to provide a comprehensive overview of the association between AALD and cardiovascular outcomes, including heart failure, which has not been fully understood.
2. Methods
2.1. Data Source
The current study utilizes data from the National Health and Nutrition and Examination Survey (NHANES), a nationwide cross-sectional survey that obtains demographic, questionnaire, and laboratory data using a stratified, multistage probability cluster design to provide a representative sample of the civilian, non-institutionalized U.S. population (CDC/NCHS, 2011–2020). The study uses data from four consecutive cycles (2011–2012, 2013–2014, 2015–2016, and 2017–2020). The 2019–2020 data were combined with the 2017-2018 cycle to provide an accurate weighting of the population due to the pause in data collection during the COVID-19 pandemic. All data and methods are made publicly available at the National Center for Health Statistics website (https://www.cdc.gov/nchs/nhanes/index.html (accessed on 4 April 2024)) [8]. The Institutional Review Board from the National Center for Health Statistics of the Centers for Disease Control and Prevention approved all protocols within the NHANES including obtaining informed consent from all participants.
2.2. Study Population
The initial sample consisted of 23,206 participants who were 20 years of age or older and had recorded responses of cardiovascular status and recorded levels of aspartate aminotransferase (AST) and alanine aminotransferase (ALT). Participants with presence of hepatitis B surface antigen and hepatitis C surface antibody were excluded from the study due to both diagnoses having been shown to be risk factors of liver disease. In addition, metabolic syndrome has been reported to increase the risk of non-alcoholic fatty liver disease. The criteria for metabolic syndrome includes comorbidities established by the National Cholesterol Education Program Adult Treatment Panel: waist circumference greater than 102 cm in men or greater than 88 cm in women; serum level of triglycerides of 150 mg/dL or greater; high-density lipoprotein (HDL) cholesterol level of less than 40 mg/dL in men or less than 50 mg/dL in women; systolic/diastolic blood pressure of 130/85 mm Hg or greater or taking hypertension medications; or fasting plasma glucose level of 100 mg/dL or greater or taking diabetes mellitus medications [9]. Participants with any combination of three or more of these commodities were excluded from the study. Finally, women participants who reported that they were currently pregnant at the time of their interview were excluded as well. The final unweighted sample size for analysis was 13,413 participants (Figure 1).
Figure 1.
Cumulative incidence in mortality within the overall population (A), between patients with and without heart disease (B), and with further stratification by AFLD status (C,D).
2.3. Alcohol-Associated Liver Disease
Serum ALT and AST were used to determine the presence of AALD due to its common use as a screening test and monitoring biomarker for liver disease [10]. From 2011 to 2016, serum ALT and AST were measured using the Beckman UniCel DxC800 Cynchron (Beckman Coulter, Brea, CA, USA). During the 2017–2020 NHANES cycle, the Roche Cobas 6000 Chemistry Analyzer was used to determine AST and ALT concentrations (Roche Diagnostics Corporation, Indianapolis, IN, USA). The kinetic rate reaction was used to determine serum ALT levels, while enzymatic reaction rates determined the levels of AST. Participants with an AST/ALT ratio of greater than 2 U/L or reported high amounts of alcohol consumption (≥20 g/day for men and ≥10 g/day for women) were labeled as AALD-positive [11,12].
2.4. Heart Disease and All-Cause Mortality Outcomes
The primary outcome is the prevalence of heart disease along with all-cause mortality. Heart disease was defined as participants who self-reported heart failure, coronary artery disease, or stroke during the interview phase of the NHANES by answering the question, “Has a doctor or other hearth professional ever told you that you had heart failure?”. Similar question structures were asked to ascertain stroke and coronary artery disease status. Data from the NHANES were combined with death certificate data from the National Center of health Statistics from the National Death Index to ascertain mortality rates as well as follow-up time from the participant’s interview date. Data were limited to 2018; thus, survival analysis was restricted to participants through the year 2018 [13].
2.5. Statistical Analysis
All analyses were conducted using the recommended subsample weights, strata, and primary sampling unit to account for the complex survey design utilized within the NHANES. Demographic and clinical characteristics were reported using means and 95% confidence intervals for continuous variables, and percentages and 95% confidence intervals for categorical variables. Descriptive statistics were reported within each survey cycle and between patients with AALD and without AALD. Trends in the prevalence of AALD were assessed across the time points within the overall population and within demographic subgroups. In addition, demographic and clinical characteristics were reported between respondents with and without advanced fibrosis among AALD patients. Fibrosis status was calculated using the FIB-4 score using the following formula: ((Age × AST)/(Platelet count × sqrt(ALT)). FIB-4 scores greater than 2.67 were considered advanced fibrosis. Trends in the prevalence of advanced fibrosis were also assessed across the time points within AALD patients and within demographic subgroups. Weighted linear regression and Chi-squared analyses were used for between-group comparisons of continuous and categorical variables, respectively.
Among the AALD subgroup, differences in probabilities of survival relative to demographic characteristics were assessed using Kaplan–Meier Curves followed by the LogRank Test. Univariate and multivariable Cox regression were used to ascertain the risk of all-cause mortality among the AALD subgroup. Weighted odds ratios and 95% CI were calculated using logistic regression to ascertain the association between ALFD and heart disease prevalence. Cox regression was used to ascertain the risk of all-cause mortality over time relative to heart disease. All models were adjusted for potential confounding variables such as age, gender, race/ethnicity, education status, income/poverty ratio, insurance status, smoking status, diabetic status, and hypertension status. All p-values were two-sided and p < 0.05 was considered statistically significant. All data analyses were conducted using STATA version 18 (STATACorp; College Station, TX, USA).
Flow diagram


3. Results
3.1. Study Population and AALD
Of the study participants, 79.3% reported no AALD, while 20.7% had AALD (Table 1). No statistical differences in age or sex were observed between the groups. However, the percentage of non-Hispanic whites and non-Hispanic blacks was lower among the AALD group compared to the No AALD group (p < 0.001). Conversely, a higher percentage of non-Hispanic Asians were observed within the AALD group. In addition, participants who reported AALD showed a higher percentage of college-educated participants compared to the No AALD group (p < 0.001). More participants who were daily smokers were more likely to be within the AALD group. AALD participants observed a higher percentage of privately insured participants, but a lower percentage of participants with an income to poverty ratio of less than one. Among clinical covariates, AALD participants showed higher mean systolic and diastolic blood pressure as well as fasting glucose levels (p < 0.001). Furthermore, a lower percentage of participants with AALD reported having diabetes. No statistical differences were seen within hypertension prevalence between the groups. Participants with AALD observed a larger mean FIB-4 score compared to those without AALD (1.14 vs. 1.03). Furthermore, a larger percentage of AALD participants observed advanced fibrosis compared to participants without AALD. No statistically significant trends were seen across the NHANES cycle within the overall population or demographic subgroups (Table 1).
Table 1.
Demographics by NHANES cycle.
3.2. Study Population and Advanced Fibrosis
Advanced fibrosis status was reported in 5.69% of the AALD participants (unweighted N = 2283) (Table 2). Statistical differences in age and race/ethnicity were observed between the groups. The mean age of participants with advanced fibrosis was 64.1 years compared to 44.3 years within the comparison group. The percentage of non-Hispanic whites was higher among the advance fibrosis group compared to the non-advanced group (p = 0.01). Furthermore, advanced fibrotic participants showed a higher proportion of participants with less than high school education (10.7% vs. 7.23%), on Medicare insurance (46.6% vs. 11.5%), and those who are widowed (18.5% vs. 5.59%) (p < 0.001). More participants who were never/former smokers were more likely to be within the advanced fibrosis group (33.3% vs. 25.4%). Laboratory values show higher HDL levels among the advanced fibrosis group (p = 0.069). Conversely, LDL (p = 0.01) and triglyceride levels (p = 0.001) were statistically lower among advanced fibrosis participants. In addition, a larger proportion of advanced fibrotic participants reported having been told of their diabetes and hypertension diagnoses. In terms of advanced fibrotic trends, no statistically significant trends were seen across the NHANES cycles (p = 0.96). Furthermore, stratification analysis did not show statistically significant trends within each subgroup (Table 3).
Table 2.
Survey-weighted characteristics of the study population by alcoholic fatty liver disease (AFLD) status.
Table 3.
Odds ratio (95% CI) to report the association between AFLD status with heart disease and cardiovascular secondary outcomes.
3.3. Survival Analysis
Statistical differences in survival probabilities were observed between age categories. Age groups less than 70 years of age ranged from 92% to 98%. However, participants over 70 years of age showed a survival probability of 55% (p < 0.001) (Figure 2). Differences in the probability of survival were also observed relative to BMI categories, insurance status, and marital status. Underweight participants reported lower survival probabilities compared to the other BMI categories (83% vs. 93%) (p = 0.005). In addition, participants with Medicare and Medicaid insurance observed the lowest probability of survival compared to private insurance status. Finally, widowed participants reported 60% probability of survival compared to 94% within the married category (p < 0.001).
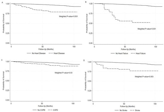
Figure 2.
Probability of survival between patients with heart disease (A), heart failure (B), COPD (C), and stroke (D) compared to those without among patients with AFLD.
Univariate Cox regression showed a 5-fold increase in the risk of all-cause mortality among the 60–69-year age group compared to the 20–29-year age group (HR (95% CI) = 5.26 (1.38, 20.0); p = 0.016). Furthermore, the risk of all-cause mortality was 27 times higher among participants over 70 years of age compared to the youngest age group. Mortality risk within the adjusted model showed larger risks within the same age groups. Non-Hispanic Asians observed the lowest risk of mortality compared to whites (HR (95% CI) = 0.26 (0.073, 0.91); p = 0.035). Furthermore, Mexican Americans and other Hispanic categories, although not significant, showed a decreased risk of mortality compared to the white group. Participants with Medicare or Medicaid insurance reported a 12-fold and 6.8-fold increase in the risk of mortality compared to participants with private insurance (p < 0.001). Within the adjusted model, the other Hispanic category showed a 75% decrease in the risk of mortality compared to the white group. In addition, participants with underweight BMI status showed a 5-fold increase in mortality risk compared to normal BMI. Medicare insurance status did not show an association with mortality risk. However, participants with Medicaid insurance reported a 3-fold increase in mortality risk compared to private insurance status (HR (95% CI) = 2.97 (1.39, 6.34); p = 0.006) (Table 4).
Table 4.
Hazard ratio (95% CI) to report the risk of all-cause mortality relative to cardiovascular risk factors followed by stratification by AFLD status.
3.4. AALD and Heart Disease
Of the cardiovascular outcomes, participants with COPD constituted the largest percentage of the overall population followed by participants with stroke (5.49%, and 2.04%, respectively). Heart failure and CAD were prevalent in 1.21% and 1.97% of the total population, respectively. The composite outcome of heart disease prevalence comprised 4.33% of the population. Although not statistically significant, a slightly lower percentage of participants with heart disease was observed within the AALD group (3.71% vs. 4.49%). Similar differences are seen with respect to heart failure and CAD. Conversely, a slightly larger percentage of participants within the AALD group reported COPD and cancer. After controlling for potential confounding variables, logistic regression did not show statistically significant associations between AALD status and cardiovascular outcomes (Table 3). However, a clinically noticeable increase in the odds of stroke was seen within the AALD group (OR (95% CI) = 2.24 (0.77, 6.56).
3.5. Heart Disease and All-Cause Mortality
The mortality rate among the overall population was approximately 40%. After stratification by heart disease status, the mortality rate among heart disease patients was 25% compared to 3% among participants without heart disease. After further stratification by AALD status, participants with heart disease observed mortality rates that are statistically higher compared to those without heart disease (Figure 1). Cox regression reported an 86% increase in the risk of all-cause mortality among participants with heart disease compared to those without heart disease (HR (95% CI) = 1.86 (1.15, 3.01; p = 0.012) (Table 4). Furthermore, participants with heart failure and COPD showed higher risks of mortality within the overall population. After stratification by AALD status, the risk of all-cause mortality was still significantly higher among heart-diseased participants without AALD, but not participants with AALD. Similar trends are observed relative to heart failure status. Conversely, the risk of mortality among subjects with stroke and COPD was not statistically significant within the population that reported no AALD. However, among participants who were prevalent with AALD, there was an increased risk of mortality relative to COPD and stroke.
4. Discussion
This study provides an in-depth analysis of the AALD outcome, utilizing data from the NHANES spanning from 2011 to 2020. The study, characterized by a stratified, multistage probability cluster design, included a final unweighted sample size of 13,413 participants and adjusted for a comprehensive set of confounding variables. AALD was identified based on clinical laboratory data and self-reported alcohol use, with a fibrosis-4 (FIB-4) score greater than 2.67 indicating significant liver fibrosis. Key findings include a higher prevalence of AALD among Asians compared to other demographics, with higher rates of college education and daily smoking observed among AALD participants. Those with AALD exhibited higher mean systolic and diastolic blood pressure as well as elevated fasting glucose levels, indicating a generally poorer health status.
The higher prevalence of AALD among Asians and individuals with higher education levels and daily smoking habits underscores the need for targeted public health interventions. These findings indicate that cultural, educational, and behavioral factors play a significant role in the development of AALD, aligning with previous research that suggests certain demographic groups may be more susceptible due to genetic predispositions, lifestyle choices, and socioeconomic factors. For instance, genetic polymorphisms in alcohol-metabolizing enzymes prevalent among Asians can lead to variations in susceptibility to alcohol-related liver damage [14], while the association with higher education levels and daily smoking habits points to the influence of socioeconomic and lifestyle factors on AALD prevalence. The AALD prevalence is higher in whites and blacks, but the trend is increasing in Mexican Americans and Hispanics, while it decreased among other demographics [Table 2]. The prevalence in private insurance is significantly greater than Medicaid, but the usage trends have been increasing in Medicaid [Table 2]. The trends of advanced fibrosis have been increasing in blacks and Asians, while they have been decreasing among whites and Mexicans [Table 4]. There is an increasing trend in usage of private and Medicaid insurance, while usage of Medicare is decreasing [Table 4]. The study’s findings on the high prevalence of AALD in Asian populations also resonate with research published in Liver International, which discusses genetic predispositions and environmental factors contributing to higher rates of liver disease in Asian populations [15].
Stress during a pandemic increases the risk of alcohol consumption, which may require pharmacological management [16]. Alcohol-associated liver fibrosis (ALF) is a key, potentially reversible stage leading to alcohol-associated liver cirrhosis, but effective treatments are lacking [17]. IL-22 alleviates ALF by activating the Nrf2 antioxidant stress pathway and may offer a promising therapeutic option for ALF/cirrhosis patients [17]. Aging significantly influences the development of liver injury after chronic alcohol intake [18].
Elevated blood pressure and fasting glucose levels among AALD participants highlight the broader health impacts of chronic alcohol consumption, stressing the need for integrated healthcare approaches to manage these comorbidities effectively. These indicators, well-known risk factors for both liver disease and cardiovascular conditions, are consistent with the study’s findings that individuals with AALD exhibit higher markers of poor cardiovascular and metabolic health. Chronic alcohol consumption can lead to hypertension and insulin resistance, which are established risk factors for liver disease and cardiovascular conditions [19]. The elevated prevalence of heart failure, stroke, and coronary artery disease among those with AALD further highlights the compounded health risks faced by this population.
The significantly higher mortality rate among participants with both AALD and heart diseases (25%) compared to those without (3%) emphasizes the severe health implications of these comorbid conditions. This stark difference highlights the critical need for early detection and integrated management to reduce mortality risk. Comprehensive screening programs that include both liver and cardiovascular health assessments are crucial, as they can help identify at-risk individuals and implement timely interventions. The heightened vulnerability of individuals with coexisting conditions also emphasizes the importance of coordinated healthcare approaches to address these interrelated health issues effectively [20].
The study’s findings indicate that, after adjusting for confounders, there are no statistically significant associations between AALD and HF. However, the clinically significant increase in the odds of stroke within the AALD group is particularly concerning. This suggests that while AALD may not directly influence the incidence of HF, it substantially impacts stroke risk. This could be due to shared pathophysiological mechanisms such as chronic inflammation, endothelial dysfunction, and coagulation abnormalities associated with chronic alcohol use and liver disease, which contribute to the increased stroke risk in AALD patients [21]. This study aligns with other research findings on the relationship between liver disease and cardiovascular health. For instance, a study published in the Journal of Hepatology indicated that liver diseases, including AALD, are associated with an increased risk of cardiovascular events, particularly stroke [22,23]. Another study in Hepatology explored the role of systemic inflammation and endothelial dysfunction in patients with AALD, suggesting these pathways as potential mechanisms for the increased cardiovascular risk observed in these patients [24].
Given the intertwined nature of AALD, public health strategies should prioritize reducing alcohol consumption through regulatory measures, public awareness campaigns, and support for smoking cessation. Routine screening for liver disease and cardiovascular risk factors in individuals with significant alcohol use is essential for early intervention and management. The integration of care services involving hepatologists, cardiologists, nutritionists, and mental health professionals is crucial for addressing the multifaceted needs of individuals with AALD. Future research should aim to elucidate the underlying mechanisms linking AALD with increased stroke risk and explore potential interventions to mitigate this risk. Longitudinal studies could provide more insight into the causal relationships between chronic alcohol use, liver disease, and cardiovascular outcomes [25]. Additionally, research should consider the impact of genetic and environmental factors on different demographic groups to develop targeted prevention and treatment strategies.
5. Strengths
This study benefits from the use of a large, nationally representative dataset—the NHANES—which strengthens the generalizability of its findings to the broader U.S. adult population. The inclusion of a wide range of clinical, demographic, and socioeconomic variables allows for a comprehensive evaluation of participants and facilitates more nuanced analyses. By examining factors such as education, insurance status, smoking behavior, comorbidities, and laboratory values, the study offers a multifaceted understanding of the population affected by AALD. Another notable strength is the focus on AALD, an important but relatively understudied condition in population-level research, which provides novel insights into its prevalence, risk factors, and outcomes. Additionally, the use of FIB-4 scores to assess liver fibrosis offers a non-invasive, validated method to stratify participants based on fibrosis severity, enhancing the study’s clinical relevance.
6. Limitations
Despite its strengths, the study also has several limitations. One significant limitation of this study, as is often the case with complex epidemiological surveys, is the reduction in sample size due to exclusion criteria. While the exclusions for hepatitis and metabolic syndrome are scientifically justifiable to isolating AALD, they lead to a substantial drop from the initial 23,206 participants to a final analytical sample of 13,413. This loss of nearly 10,000 participants (approximately 42.2% of the initial sample) could introduce potential selection bias if the excluded participants differ systematically from those included in ways not fully accounted for by the adjustments. The specific impact of such a large number of exclusions on the generalizability of the findings, particularly regarding the prevalence and characteristics of AALD in the broader U.S. population, warrants further consideration. The cross-sectional design of the NHANES limits the ability to establish causal relationships between AALD, comorbidities, and outcomes. Secondly, reliance on self-reported data for key variables such as alcohol use, smoking status, and prior diagnoses may introduce recall and reporting biases. Thirdly, while FIB-4 is a validated tool, it may not perfectly correlate with biopsy-proven fibrosis and could misclassify fibrosis stages, particularly in younger individuals. Additionally, the relatively small number of participants with advanced fibrosis or specific outcomes (e.g., stroke or CAD) may reduce the statistical power to detect significant associations in subgroup analyses. Lastly, residual confounding may exist despite multivariable adjustments, especially for unmeasured variables such as the duration and severity of alcohol use or access to specialty care.
Author Contributions
S.C., as the first author, generated the idea, collected articles, and contributed to most of the sections, and was a major contributor to writing the manuscript. T.Z., as a second author, gathered relevant articles and contributed to the Discussion section of the manuscript. P.K., as a third author, contributed to collecting data and running statistics. J.R. and R.W., as senior authors, reviewed the article and made necessary changes to the manuscript. All authors have read and agreed to the published version of the manuscript.
Funding
This research received no external funding.
Institutional Review Board Statement
Ethical review and approval were waived for this study, due to this is not a human subjects research.
Informed Consent Statement
Not applicable.
Data Availability Statement
Data were collected from PubMed and Google Scholar. No new data were created or analyzed in this study. Data sharing is not applicable to this article.
Conflicts of Interest
The authors declare no conflicts of interest.
Abbreviations
| AALD | Alcohol-associated liver disease |
| AST | Aspartate aminotransferase |
| ALT | Alanine aminotransferase (ALT) |
| CAD | Coronary artery disease |
| CDC | Centers for Disease Control |
| CVD | Cardiovascular diseases |
| FIB-4 | Fibrosis-4 |
| HCC | Hepatocellular carcinoma |
| HDL | High-density lipoprotein (HDL) |
| HF | Heart failure |
| NHANES | National Health and Nutrition and Examination Survey |
| WHO | World Health Organization |
References
- Devarbhavi, H.; Asrani, S.K.; Arab, J.P.; Nartey, Y.A.; Pose, E.; Kamath, P.S. Global burden of liver disease: 2023 update. J. Hepatol. 2023, 79, 516–537. [Google Scholar] [CrossRef]
- Mackowiak, B.; Fu, Y.; Maccioni, L.; Gao, B. Alcohol-associated liver disease. J. Clin. Investig. 2024, 134, e176345. [Google Scholar] [CrossRef]
- World Health Organization. Global Status Report on Alcohol and Health and Treatment of Substance Use Disorders; World Health Organization: Geneva, Switzerland, 2024. [Google Scholar]
- Ryu, T.; Kim, K.; Choi, S.E.; Chung, K.P.S.; Jeong, W.-I. New insights in the pathogenesis of alcohol-related liver disease: The metabolic, immunologic, and neurologic pathways. Liver Res. 2023, 7, 1–8. [Google Scholar] [CrossRef]
- Vaduganathan, M.; Mensah, G.A.; Turco, J.V.; Fuster, V.; Roth, G.A. The Global Burden of Cardiovascular Diseases and Risk: A compass for future health. J. Am. Coll. Cardiol. 2022, 80, 2361–2371. [Google Scholar] [CrossRef]
- World Health Organization. Cardiovascular Diseases; World Health Organization: Geneva, Switzerland, 2021. [Google Scholar]
- Bays, H.E.; Kulkarni, A.; German, C.; Satish, P.; Iluyomade, A.; Dudum, R.; Thakkar, A.; Rifai, M.A.; Mehta, A.; Thobani, A.; et al. Ten things to know about ten cardiovascular disease risk factors–2022. Am. J. Prev. Cardiol. 2022, 10, 100342. [Google Scholar] [CrossRef] [PubMed] [PubMed Central]
- CDC/NCHS. NHANES—Questionnaires, Datasets, and Related Documentation. 2011–2020. Available online: https://www.cdc.gov/nchs/nhanes/index.html (accessed on 4 April 2024).
- Aguilar, M.; Bhuket, T.; Torres, S.; Liu, B.; Wong, R.J. Prevalence of the metabolic syndrome in the United States, 2003–2012. JAMA 2015, 313, 1973–1974. [Google Scholar] [CrossRef]
- Hadizadeh, F.; Faghihimani, E.; Adibi, P. Nonalcoholic fatty liver disease: Diagnostic biomarkers. World J. Gastrointest. Pathophysiol. 2017, 8, 11–26. [Google Scholar] [CrossRef]
- Williams, A.L.; Hoofnagle, J.H. Ratio of serum aspartate to alanine aminotransferase in chronic hepatitis. Relationship to cirrhosis. Gastroenterology 1988, 95, 734–739. [Google Scholar] [CrossRef]
- Wong, T.; Dang, K.; Ladhani, S.; Singal, A.K.; Wong, R.J. Prevalence of Alcoholic Fatty Liver Disease Among Adults in the United States, 2001–2016. JAMA 2019, 321, 1723–1725. [Google Scholar]
- NCHS Data Linkage—Mortality Data—Public-Use Files 2021. Available online: https://www.cdc.gov/nchs/linked-data/mortality-files/index.html (accessed on 16 February 2022).
- Druesne-Pecollo, N.; Tehard, B.; Mallet, Y.; Gerber, M.; Norat, T.; Hercberg, S.; Latino-Martel, P. Alcohol and genetic polymorphisms: Effect on risk of alcohol-related cancer. Lancet Oncol. 2009, 10, 173–180. [Google Scholar] [CrossRef] [PubMed]
- Xu, H.; Xiao, P.; Zhang, F.; Liu, T.; Gao, Y. Epidemic characteristics of alcohol—Related liver disease in Asia from 2000 to 2020: A systematic review and meta-analysis. Liver Int. 2022, 42, 1991–1998. [Google Scholar] [CrossRef] [PubMed]
- Giustino, A.; Natola, A.; Savoia, G.; De Salvia, M.A.; Finelli, C. Reduced Pharmacological Intervention of Prehospital Services for Acute Alcohol Intoxication during the COVID-19 Pandemic in A Large District of Southern Italy. J. Clin. Med. 2024, 13, 3057. [Google Scholar] [CrossRef] [PubMed] [PubMed Central]
- Xu, X.; Zhao, H.; Zhang, J.; Yan, H.; Liu, X.; Huo, J.; Huo, L. Interleukin-22 ameliorates alcohol-associated liver fibrosis via Nrf2-ARE signaling: Mechanistic insights and clinical correlations. Clin. Res. Hepatol. Gastroenterol. 2025, 49, 102617. [Google Scholar] [CrossRef] [PubMed]
- Bellamkonda, R.; Mahalingam, S.; Ethiraj, O.; Perumal, S.K.; Arumugam, M.K.; Knoell, D.L.; Fisher, K.W.; Casey, C.A.; Kharbanda, K.K.; Rasineni, K. Effect of Aging on the Development and Progression of Alcohol-Associated Liver Disease. Alcohol Clin. Exp. Res. 2025, 49, 1412–1423. [Google Scholar] [CrossRef] [PubMed]
- Rehm, J.; Gmel, G.E., Sr.; Gmel, G.; Hasan, O.S.M.; Imtiaz, S.; Popova, S.; Probst, C.; Roerecke, M.; Room, R.; Samokhvalov, A.V.; et al. The relationship between different dimensions of alcohol use and the burden of disease—An update. Addiction 2019, 112, 968–1001. [Google Scholar]
- Peery, A.F.; Murphy, C.C.; Anderson, C.; Jensen, E.T.; Deutsch-Link, S.; Egberg, M.D.; Lund, J.L.; Subramaniam, D.; Dellon, E.S.; Sperber, A.D.; et al. Burden and Cost of Gastrointestinal, Liver, and Pancreatic Diseases in the United States: Update 2024. Gastroenterology 2025, 168, 1000–1024. [Google Scholar] [CrossRef] [PubMed] [PubMed Central]
- O’Shea, R.S.; Dasarathy, S.; McCullough, A.J.; Practice Guideline Committee of the American Association for the Study of Liver Diseases; Practice Parameters Committee of the American College of Gastroenterology. Alcoholic liver disease. Hepatology 2010, 51, 307–328. [Google Scholar]
- Platek, A.E.; Szymanska, A. Metabolic dysfunction-associated steatotic liver disease as a cardiovascular risk factor. Clin. Exp. Hepatol. 2023, 9, 187–192. [Google Scholar] [CrossRef] [PubMed] [PubMed Central]
- Choday, S.; Wong, R. S1912 From Liver to Heart: Alcohol-Associated Liver Disease and Cardiovascular Outcomes: A Decade Analysis from National Survey. Am. J. Gastroenterol. 2024, 119, S1371–S1372. [Google Scholar] [CrossRef]
- Vairappan, B. Endothelial dysfunction in cirrhosis: Role of inflammation and oxidative stress. World J. Hepatol. 2015, 7, 443–459. [Google Scholar] [CrossRef] [PubMed] [PubMed Central]
- European Association for the Study of the Liver. EASL Clinical Practice Guidelines: Management of alcohol-related liver disease. J. Hepatol. 2018, 69, 154–181. [Google Scholar]
Disclaimer/Publisher’s Note: The statements, opinions and data contained in all publications are solely those of the individual author(s) and contributor(s) and not of MDPI and/or the editor(s). MDPI and/or the editor(s) disclaim responsibility for any injury to people or property resulting from any ideas, methods, instructions or products referred to in the content. |
© 2025 by the authors. Licensee MDPI, Basel, Switzerland. This article is an open access article distributed under the terms and conditions of the Creative Commons Attribution (CC BY) license (https://creativecommons.org/licenses/by/4.0/).