Sleepiness and Fatigue as Consequences of Cumulative Sleep Restriction: Insights from Fine-Grained Subjective Measures and Skin Temperature in the Field
Abstract
1. Introduction
2. Results
2.1. Adherence to the Ecological Momentary Assessment Protocol
2.2. Sleep Schedule Adherence
2.3. Impact of (Cumulative) Sleep Restriction on Self-Reports and Thermophysiology
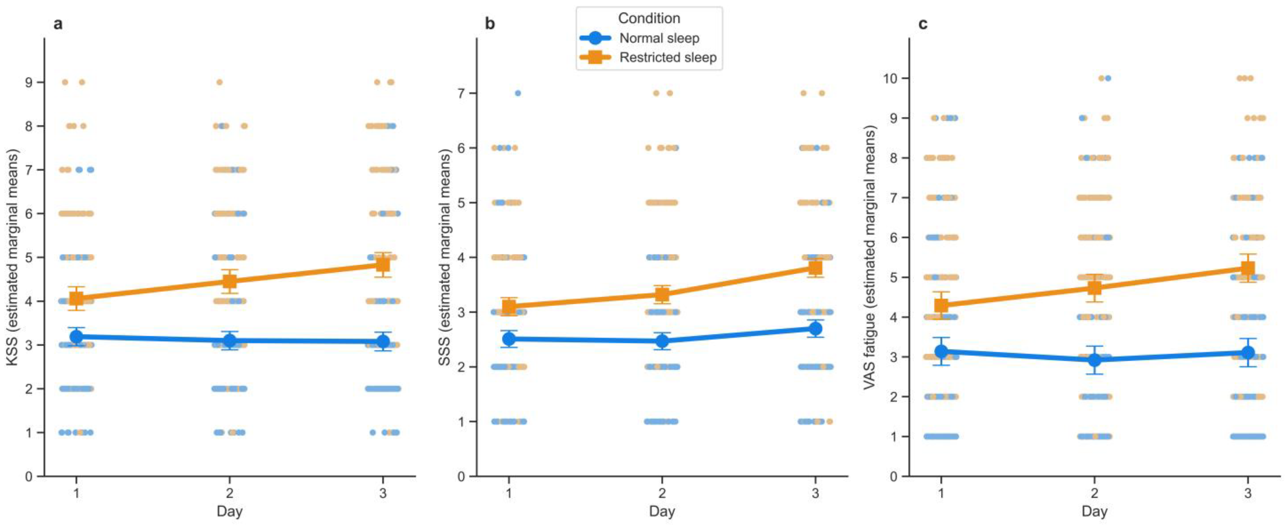
2.3.1. Effect of Sleep Restriction on Daily Self-Reports
2.3.2. Effects of Sleep Restriction on Momentary Measures and Skin Temperature Metrics
2.4. Convergence Between Subjective Sleepiness and Fatigue and Skin Temperature Metrics
2.4.1. Convergence Between Subjective Measures of Sleepiness and Fatigue
2.4.2. Relation Between Momentary Subjective Sleepiness or Fatigue and Preceding Hourly Skin Temperature
3. Discussion
4. Materials and Methods
4.1. Design and Manipulation
4.2. Participants
4.3. Measures
4.3.1. Self-Reports
4.3.2. Sensor-Derived Data
4.4. Procedure
4.5. Statistical Analysis
5. Conclusions
Supplementary Materials
Author Contributions
Funding
Institutional Review Board Statement
Informed Consent Statement
Data Availability Statement
Acknowledgments
Conflicts of Interest
Abbreviations
| EDS | Excessive Daytime Sleepiness |
| ESS | Epworth Sleepiness Scale |
| KSS | Karolinska Sleepiness Scale |
| SSS | Stanford Sleepiness Scale |
| EEG | Electroencephalography |
| ECG | Electrocardiography |
| NS | Normal Sleep |
| RS | Restricted Sleep |
| SD | Standard Deviation |
| VAS | Visual Analog Scale |
| PROMIS | Patient-Reported Outcomes Measurement Information System |
| PST | Proximal Skin Temperature |
| DST | Distal Skin Temperature |
| DPG | Distal-to-Proximal Skin Temperature Gradient |
| OSA | Obstructive Sleep Apnea |
References
- Pérez-Carbonell, L.; Mignot, E.; Leschziner, G.; Dauvilliers, Y. Understanding and approaching excessive daytime sleepiness. Lancet 2022, 400, 1033–1046. [Google Scholar] [CrossRef]
- Young, T.B. Epidemiology of Daytime Sleepiness: Definitions, Symptomatology, and Prevalence. J. Clin. Psychiatry 2004, 65 (Suppl. S16), 12–16. [Google Scholar]
- Lopez, R.; Micoulaud-Franchi, J.-A.; Barateau, L.; Dauvilliers, Y. Une approche multi-dimensionnelle de l’hypersomnolence. Méd. Sommeil 2022, 19, 206–220. [Google Scholar] [CrossRef]
- Martin, V.P.; Taillard, J.; Rubenstein, J.; Philip, P.; Lopez, R.; Micoulaud-Franchi, J.-A. Que nous disent les outils de mesure sur la somnolence et l’hypersomnolence chez l’adulte? Approches historiques et perspectives futures. Méd. Sommeil 2022, 19, 221–240. [Google Scholar] [CrossRef]
- Martin, V.P.; Lopez, R.; Dauvilliers, Y.; Rouas, J.-L.; Philip, P.; Micoulaud-Franchi, J.-A. Sleepiness in adults: An umbrella review of a complex construct. Sleep Med. Rev. 2023, 67, 101718. [Google Scholar] [CrossRef] [PubMed]
- Verhoef, V.T.R.; Smolders, K.C.H.J.; Remmelswaal, L.; Peeters, G.; Overeem, S.; de Kort, Y.A.W. Match and Mismatch between Lived Experiences of Daytime Sleepiness and Diagnostic Instruments: A Qualitative Study amongst Patients with Sleep Disorders. Clocks Sleep 2024, 6, 24–39. [Google Scholar] [CrossRef]
- Hossain, J.L.; Ahmad, P.; Reinish, L.W.; Kayumov, L.; Hossain, N.K.; Shapiro, C.M. Subjective fatigue and subjective sleepiness: Two independent consequences of sleep disorders? J. Sleep Res. 2005, 14, 245–253. [Google Scholar] [CrossRef]
- Adão Martins, N.R.; Annaheim, S.; Spengler, C.M.; Rossi, R.M. Fatigue Monitoring Through Wearables: A State-of-the-Art Review. Front. Physiol. 2021, 12, 790292. [Google Scholar] [CrossRef]
- Shahid, A.; Shen, J.; Shapiro, C.M. Measurements of sleepiness and fatigue. J. Psychosom. Res. 2010, 69, 81–89. [Google Scholar] [CrossRef]
- Baiardi, S.; Mondini, S. Inside the clinical evaluation of sleepiness: Subjective and objective tools. Sleep Breath. 2020, 24, 369–377. [Google Scholar] [CrossRef]
- Gandhi, K.D.; Mansukhani, M.P.; Silber, M.H.; Kolla, B.P. Excessive Daytime Sleepiness: A Clinical Review. Mayo Clin. Proc. 2021, 96, 1288–1301. [Google Scholar] [CrossRef] [PubMed]
- Monderer, R.; Ahmed, I.M.; Thorpy, M. Evaluation of the Sleepy Patient. Sleep Med. Clin. 2020, 15, 155–166. [Google Scholar] [CrossRef] [PubMed]
- Roche, F.; Berger, M. One excessive daytime sleepiness evaluation does not fit all: Time to implement a multidimensional approach. Sleep 2023, 46, zsad021. [Google Scholar] [CrossRef]
- Guilleminault, C.; Brooks, S.N. Excessive daytime sleepiness: A challenge for the practising neurologist. Brain 2001, 124, 1482–1491. [Google Scholar] [CrossRef]
- Anderson, C.; Horne, J.A. Sleepiness enhances distraction during a monotonous task. Sleep 2006, 29, 573–576. [Google Scholar] [CrossRef]
- Sunwoo, B.Y.; Jackson, N.; Maislin, G.; Gurubhagavatula, I.; George, C.F.; Pack, A.I. Reliability of a Single Objective Measure in Assessing Sleepiness. Sleep 2012, 35, 149–158. [Google Scholar] [CrossRef] [PubMed]
- Kendzerska, T.B.; Smith, P.M.; Brignardello-Petersen, R.; Leung, R.S.; Tomlinson, G.A. Evaluation of the measurement properties of the Epworth sleepiness scale: A systematic review. Sleep Med. Rev. 2014, 18, 321–331. [Google Scholar] [CrossRef]
- Lok, R.; Zeitzer, J.M. Physiological correlates of the Epworth Sleepiness Scale reveal different dimensions of daytime sleepiness. Sleep Adv. 2021, 2, zpab008. [Google Scholar] [CrossRef]
- Hao, C.; Li, M.; Luo, W.; Ma, N. Dissociation of subjective and objective alertness during prolonged wakefulness. Nat. Sci. Sleep 2021, 13, 923–932. [Google Scholar] [CrossRef]
- Schneider, C.; Fulda, S.; Schulz, H. Daytime variation in performance and tiredness/sleepiness ratings in patients with insomnia, narcolepsy, sleep apnea and normal controls. J. Sleep Res. 2004, 13, 373–383. [Google Scholar] [CrossRef] [PubMed]
- Mollicone, D.J.; Van Dongen, H.P.A.; Rogers, N.L.; Banks, S.; Dinges, D.F. Time of day effects on neurobehavioral performance during chronic sleep restriction. Aviat. Space Environ. Med. 2010, 81, 735–744. [Google Scholar] [CrossRef] [PubMed]
- Henelius, A.; Sallinen, M.; Huotilainen, M.; Müller, K.; Virkkala, J.; Puolamäki, K. Heart rate variability for evaluating vigilant attention in partial chronic sleep restriction. Sleep 2014, 37, 1257–1267. [Google Scholar] [CrossRef]
- Schinkelshoek, M.S.; Fronczek, R.; de Boer, A.F.J.; de Wit, K.; Tannemaat, M.R.; Lammers, G.J. Warm ears, a red flag for sleepiness? J. Sleep Res. 2023, 32, e13707. [Google Scholar] [CrossRef] [PubMed]
- Van Someren, E.J.W. Mechanisms and functions of coupling between sleep and temperature rhythms. In Progress in Brain Research; Kalsbeek, A., Fliers, E., Hofman, M.A., Swaab, D.F., van Someren, E.J.W., Buijs, R.M., Eds.; Hypothalamic Integration of Energy Metabolism; Elsevier: Amsterdam, The Netherlands, 2006; Volume 153, pp. 309–324. [Google Scholar] [CrossRef]
- Di Credico, A.; Perpetuini, D.; Izzicupo, P.; Gaggi, G.; Mammarella, N.; Di Domenico, A.; Palumbo, R.; La Malva, P.; Cardone, D.; Merla, A.; et al. Predicting Sleep Quality through Biofeedback: A Machine Learning Approach Using Heart Rate Variability and Skin Temperature. Clocks Sleep 2024, 6, 322–337. [Google Scholar] [CrossRef]
- Romeijn, N.; Verweij, I.M.; Koeleman, A.; Mooij, A.; Steimke, R.; Virkkala, J.; van der Werf, Y.; Van Someren, E.J.W. Cold Hands, Warm Feet: Sleep Deprivation Disrupts Thermoregulation and Its Association with Vigilance. Sleep 2012, 35, 1673–1683. [Google Scholar] [CrossRef]
- Te Lindert, B.H.W.; Van Someren, E.J.W. Skin temperature, sleep, and vigilance. Handb. Clin. Neurol. 2018, 156, 353–365. [Google Scholar] [CrossRef]
- Most, E.I.S.; Scheltens, P.; Van Someren, E.J.W. Increased skin temperature in Alzheimer’s disease is associated with sleepiness. J. Neural Transm. 2012, 119, 1185–1194. [Google Scholar] [CrossRef]
- Martinez-Nicolas, A.; Guaita, M.; Santamaría, J.; Montserrat, J.M.; Rol, M.Á.; Madrid, J.A. Circadian impairment of distal skin temperature rhythm in patients with sleep-disordered breathing: The effect of CPAP. Sleep 2017, 40, zsx067. [Google Scholar] [CrossRef] [PubMed]
- Dinges, D.F.; Pack, F.; Williams, K.; Gillen, K.A.; Powell, J.W.; Ott, G.E.; Aptowicz, C.; Pack, A.I. Cumulative Sleepiness, Mood Disturbance, and Psychomotor Vigilance Performance Decrements During a Week of Sleep Restricted to 4–5 Hours per Night. Sleep 1997, 20, 267–277. [Google Scholar] [CrossRef] [PubMed]
- Kräuchi, K. The human sleep–wake cycle reconsidered from a thermoregulatory point of view. Physiol. Behav. 2007, 90, 236–245. [Google Scholar] [CrossRef]
- Fronczek, R.; Raymann, R.J.E.M.; Romeijn, N.; Overeem, S.; Fischer, M.; van Dijk, J.G.; Lammers, G.J.; Van Someren, E.J.W. Manipulation of core body and skin temperature improves vigilance and maintenance of wakefulness in narcolepsy. Sleep 2008, 31, 233–240. [Google Scholar] [CrossRef]
- Kräuchi, K.; Cajochen, C.; Werth, E.; Wirz-Justice, A. Functional link between distal vasodilation and sleep-onset latency? Am. J. Physiol.-Regul. Integr. Comp. Physiol. 2000, 278, R741–R748. [Google Scholar] [CrossRef]
- Balkin, T.J. Behavioral Biomarkers of Sleepiness. J. Clin. Sleep Med. 2011, 7, S12–S15. [Google Scholar] [CrossRef]
- Goel, N. Neurobehavioral Effects and Biomarkers of Sleep Loss in Healthy Adults. Curr. Neurol. Neurosci. Rep. 2017, 17, 89. [Google Scholar] [CrossRef]
- Wüst, L.N.; Capdevila, N.C.; Lane, L.T.; Reichert, C.F.; Lasauskaite, R. Impact of one night of sleep restriction on sleepiness and cognitive function: A systematic review and meta-analysis. Sleep Med. Rev. 2024, 76, 101940. [Google Scholar] [CrossRef]
- Sunwoo, B.Y.; Kaufmann, C.N.; Murez, A.; Lee, E.; Gilbertson, D.; Bosompra, N.-O.; DeYoung, P.; Malhotra, A. The language of sleepiness in obstructive sleep apnea beyond the Epworth. Sleep Breath. 2022, 27, 1057–1065. [Google Scholar] [CrossRef]
- Grewe, F.A.; Roeder, M.; Bradicich, M.; Schwarz, E.I.; Held, U.; Thiel, S.; Gaisl, T.; Sievi, N.A.; Kohler, M. Low repeatability of Epworth Sleepiness Scale after short intervals in a sleep clinic population. J. Clin. Sleep Med. 2020, 16, 757–764. [Google Scholar] [CrossRef]
- Åkerstedt, T.; Axelsson, J.; Lekander, M.; Orsini, N.; Kecklund, G. The daily variation in sleepiness and its relation to the preceding sleep episode—A prospective study across 42 days of normal living. J. Sleep Res. 2013, 22, 258–265. [Google Scholar] [CrossRef]
- Goel, N.; Basner, M.; Rao, H.; Dinges, D.F. Circadian rhythms, sleep deprivation, and human performance. Prog. Mol. Biol. Transl. Sci. 2013, 119, 155–190. [Google Scholar] [CrossRef]
- Silva, E.J.; Wang, W.; Ronda, J.M.; Wyatt, J.K.; Duffy, J.F. Circadian and Wake-Dependent Influences on Subjective Sleepiness, Cognitive Throughput, and Reaction Time Performance in Older and Young Adults. Sleep 2010, 33, 481–490. [Google Scholar] [CrossRef]
- Sletten, T.L.; Segal, A.Y.; Flynn-Evans, E.E.; Lockley, S.W.; Rajaratnam, S.M.W. Inter-Individual Differences in Neurobehavioural Impairment following Sleep Restriction Are Associated with Circadian Rhythm Phase. PLoS ONE 2015, 10, e0128273. [Google Scholar] [CrossRef]
- Valdez, P.; Ramírez, C.; García, A.; Talamantes, J.; Cortez, J. Circadian and Homeostatic Variation in Sustained Attention. Chronobiol. Int. 2010, 27, 393–416. [Google Scholar] [CrossRef]
- Manousakis, J.E.; Mann, N.; Jeppe, K.J.; Anderson, C. Awareness of sleepiness: Temporal dynamics of subjective and objective sleepiness. Psychophysiology 2021, 58, e13839. [Google Scholar] [CrossRef]
- Baek, Y.; Jung, K.; Lee, S. Effects of sleep restriction on subjective and physiological variables in middle-aged Korean adults: An intervention study. Sleep Med. 2020, 70, 60–65. [Google Scholar] [CrossRef]
- Kräuchi, K.; Knoblauch, V.; Wirz-Justice, A.; Cajochen, C. Challenging the sleep homeostat does not influence the thermoregulatory system in men: Evidence from a nap vs. sleep-deprivation study. Am. J. Physiol.-Regul. Integr. Comp. Physiol. 2006, 290, R1052–R1061. [Google Scholar] [CrossRef]
- Tracy, E.L.; Zhang, J.; Wilckens, K.; Krafty, R.T.; Hasler, B.P.; Hall, M.H.; Buysse, D.J. Homeostatic response to sleep deprivation and circadian rhythmicity are intact in older adults with insomnia. Sleep 2022, 45, zsac162. [Google Scholar] [CrossRef]
- Ghotbi, N.; Pilz, L.K.; Winnebeck, E.C.; Vetter, C.; Zerbini, G.; Lenssen, D.; Frighetto, G.; Salamanca, M.; Costa, R.; Montagnese, S.; et al. The µMCTQ: An Ultra-Short Version of the Munich ChronoType Questionnaire. J. Biol. Rhythms 2020, 35, 98–110. [Google Scholar] [CrossRef]
- Zavada, A.; Gordijn, M.C.M.; Beersma, D.G.M.; Daan, S.; Roenneberg, T. Comparison of the Munich Chronotype Questionnaire with the Horne-Östberg’s Morningness-Eveningness score. Chronobiol. Int. 2005, 22, 267–278. [Google Scholar] [CrossRef]
- Buysse, D.J.; Reynolds, C.F.; Monk, T.H.; Berman, S.R.; Kupfer, D.J. The Pittsburgh sleep quality index: A new instrument for psychiatric practice and research. Psychiatry Res. 1989, 28, 193–213. [Google Scholar] [CrossRef]
- Carney, C.E.; Buysse, D.J.; Ancoli-Israel, S.; Edinger, J.D.; Krystal, A.D.; Lichstein, K.L.; Morin, C.M. The Consensus Sleep Diary: Standardizing Prospective Sleep Self-Monitoring. Sleep 2012, 35, 287–302. [Google Scholar] [CrossRef]
- Åkerstedt, T.; Gillberg, M. Subjective and Objective Sleepiness in the Active Individual. Int. J. Neurosci. 1990, 52, 29–37. [Google Scholar] [CrossRef]
- Hoddes, E.; Zarcone, V.; Smythe, H.; Phillips, R.; Dement, W.C. Quantification of Sleepiness: A New Approach. Psychophysiology 1973, 10, 431–436. [Google Scholar] [CrossRef]
- Johns, M.W. A New Method for Measuring Daytime Sleepiness: The Epworth Sleepiness Scale. Sleep 1991, 14, 540–545. [Google Scholar] [CrossRef] [PubMed]
- Christodoulou, C.; Schneider, S.; Junghaenel, D.U.; Broderick, J.E.; Stone, A.A. Measuring daily fatigue using a brief scale adapted from the Patient-Reported Outcomes Measurement Information System (PROMIS®). Qual. Life Res. 2014, 23, 1245–1253. [Google Scholar] [CrossRef] [PubMed]





| Condition | Day | Condition*Day | R2 Fixed Effect | R2 Full Model | AIC | ||||
|---|---|---|---|---|---|---|---|---|---|
| F | p | F | p | F | p | ||||
| ESS | F(1/17) = 44.67 | <0.001 | F(2/55) = 7.72 | <0.01 | F(2/55) = 4.62 | 0.01 | 0.42 | 0.88 | 449.72 |
| Daily fatigue | F(1/17) = 39.06 | <0.001 | F(2/56) = 7.91 | <0.001 | F(2/56) = 1.19 | 0.31 | 0.47 | 0.82 | 483.34 |
| Condition | Day | TOD | TOD2 | Condition*Day | Condition*TOD | Condition*TOD2 | R2 Fixed Effect | R2 Full Model | AIC | ||||||||
|---|---|---|---|---|---|---|---|---|---|---|---|---|---|---|---|---|---|
| F | p | F | p | F | p | F | p | F | p | F | p | F | p | ||||
| KSS | F1/792 = 0.85 | 0.36 | F2/779 = 3.77 | 0.02 | F1/777 = 71.28 | <0.001 | F1/777 = 70.93 | <0.001 | F2/779 = 6.88 | <0.01 | F1/778 = 0.01 | 0.94 | F1/778 = 0.05 | 0.82 | 0.20 | 0.43 | 2879.06 |
| SSS | F1/792 = 1.99 | 0.16 | F2/779 = 13.18 | <0.001 | F1/778 = 45.40 | <0.001 | F1/777 = 51.36 | <0.001 | F2/780 = 4.02 | 0.02 | F1/778 = 0.26 | 0.61 | F1/778 = 0.11 | 0.74 | 0.18 | 0.36 | 2418.01 |
| VASfatigue | F1/791 <0.01 | 0.99 | F2/778 = 5.36 | <0.01 | F1/777 = 27.82 | <0.001 | F1/776 = 34.33 | <0.001 | F2/779 = 6.23 | <0.01 | F1/777 = 1.56 | 0.21 | F1/777 = 2.37 | 0.12 | 0.19 | 0.50 | 3158.32 |
| PST ** | F1/681 = 7.13 | <0.01 | F2/670 = 4.47 | 0.01 | F1/670 = 34.33 | <0.001 | F1/670 = 29.20 | <0.001 | F2/670 = 3.48 | 0.03 | F1/670 = 8.38 | <0.01 | F1/671 = 8.18 | <0.01 | 0.07 | 0.41 | 1388.18 |
| DPG | F1/679 = 0.01 | 0.94 | F2/671 = 2.28 | 0.10 | F1/671 = 20.06 | <0.001 | F1/670 = 16.51 | <0.001 | F2/671 = 2.87 | 0.06 | F1/671 = 0.03 | 0.87 | F1/672 = 0.02 | 0.88 | 0.04 | 0.38 | 2722.76 |
| DST * | F1/687 = 8.87 | <0.01 | F2/682 = 4.91 | 0.01 | F2/682 = 3.81 | 0.02 | 0.03 | 0.29 | 2773.32 | ||||||||
| DV | IV | F | p | B | SE | β | CI |
|---|---|---|---|---|---|---|---|
| KSS | SSS | F1/790 = 1767.3 | <0.001 | 1.13 | 0.03 | 0.82 | [0.78, 0.86] |
| VAS * | F1/17 = 126.28 | <0.001 | 0.60 | 0.05 | 0.71 | [0.58, 0.84] | |
| SSS | VAS * | F1/16 = 143.09 | <0.001 | 0.47 | 0.04 | 0.75 | [0.61, 0.88] |
| F | p | B | SE | β | CI | ||
|---|---|---|---|---|---|---|---|
| KSS | Mean | F1/70 = 82.33 | <0.001 | 3.29 | 0.36 | 0.67 | [0.53, 0.82] |
| Min. | F1/77 = 24.61 | <0.001 | 2.46 | 0.50 | 0.50 | [0.30, 0.70] | |
| Max. * | F1/19 = 30.09 | <0.001 | 1.78 | 0.32 | 0.60 | [0.37, 0.83] | |
| First | F1/81 = 5.66 | 0.02 | 0.70 | 0.29 | 0.27 | [0.04, 0.49] | |
| Last | F1/82 = 27.9 | <0.001 | 1.46 | 0.28 | 0.55 | [0.34, 0.76] | |
| SSS | Mean | F1/71 = 79.36 | <0.001 | 4.73 | 0.53 | 0.67 | [0.52, 0.82] |
| Min. | F1/78 = 24.56 | <0.001 | 3.50 | 0.71 | 0.51 | [0.31, 0.72] | |
| Max. | F1/78 = 49.28 | <0.001 | 2.39 | 0.34 | 0.63 | [0.45, 0.81] | |
| First | F1/80 = 15.38 | <0.001 | 1.61 | 0.41 | 0.42 | [0.21, 0.64] | |
| Last | F1/83 = 16.28 | <0.001 | 1.43 | 0.36 | 0.43 | [0.22, 0.65] | |
| VASfatigue | Mean | F1/71 = 50.22 | <0.001 | 2.29 | 0.32 | 0.59 | [0.42, 0.76] |
| Min. | F1/83 = 8.00 | <0.01 | 1.27 | 0.45 | 0.33 | [0.10, 0.56] | |
| Max. | F1/78 = 39.23 | <0.001 | 1.43 | 0.23 | 0.58 | [0.40, 0.77] | |
| First ** | F1/78 = 23.46 | <0.001 | 1.21 | 0.25 | 0.49 | [0.29, 0.69] | |
| Last | F1/84 = 12.30 | <0.001 | 0.85 | 0.24 | 0.38 | [0.17, 0.60] |
| F | p | B | SE | β | CI | ||
|---|---|---|---|---|---|---|---|
| KSS ** | DST | F1/681 = 46.27 | <0.001 | 0.23 | 0.03 | 0.25 | [0.18,0.32] |
| PST * | F1/16 = 5.14 | 0.04 | 0.33 | 0.14 | 0.13 | [0.01, 0.26] | |
| DPG | F1/681 = 28.04 | <0.001 | −0.19 | 0.04 | −0.20 | [−0.27, −0.12] | |
| SSS | DST | F1/681 = 46.72 | <0.001 | 0.17 | 0.02 | 0.25 | [0.18, 0.32] |
| PST | F1/681 = 16.31 | <0.001 | 0.27 | 0.07 | 0.15 | [0.08, 0.22] | |
| DPG | F1/681 = 28.64 | <0.001 | −0.14 | 0.03 | −0.20 | [−0.27, −0.13] | |
| VASfatigue | DST | F1/669 = 17.32 | <0.001 | 0.15 | 0.04 | 0.12 | [0.06, 0.17] |
| PST * | F1/22 = 1.18 | 0.29 | 0.12 | 0.14 | 0.04 | [−0.04, 0.13] | |
| DPG | F1/670 = 11.94 | <0.001 | −0.13 | 0.04 | −0.10 | [−0.15, −0.04] |
Disclaimer/Publisher’s Note: The statements, opinions and data contained in all publications are solely those of the individual author(s) and contributor(s) and not of MDPI and/or the editor(s). MDPI and/or the editor(s) disclaim responsibility for any injury to people or property resulting from any ideas, methods, instructions or products referred to in the content. |
© 2025 by the authors. Licensee MDPI, Basel, Switzerland. This article is an open access article distributed under the terms and conditions of the Creative Commons Attribution (CC BY) license (https://creativecommons.org/licenses/by/4.0/).
Share and Cite
Verhoef, V.T.R.; Smolders, K.C.H.J.; Peeters, G.; Overeem, S.; de Kort, Y.A.W. Sleepiness and Fatigue as Consequences of Cumulative Sleep Restriction: Insights from Fine-Grained Subjective Measures and Skin Temperature in the Field. Clocks & Sleep 2025, 7, 51. https://doi.org/10.3390/clockssleep7030051
Verhoef VTR, Smolders KCHJ, Peeters G, Overeem S, de Kort YAW. Sleepiness and Fatigue as Consequences of Cumulative Sleep Restriction: Insights from Fine-Grained Subjective Measures and Skin Temperature in the Field. Clocks & Sleep. 2025; 7(3):51. https://doi.org/10.3390/clockssleep7030051
Chicago/Turabian StyleVerhoef, Vaida T. R., Karin C. H. J. Smolders, Geert Peeters, Sebastiaan Overeem, and Yvonne A. W. de Kort. 2025. "Sleepiness and Fatigue as Consequences of Cumulative Sleep Restriction: Insights from Fine-Grained Subjective Measures and Skin Temperature in the Field" Clocks & Sleep 7, no. 3: 51. https://doi.org/10.3390/clockssleep7030051
APA StyleVerhoef, V. T. R., Smolders, K. C. H. J., Peeters, G., Overeem, S., & de Kort, Y. A. W. (2025). Sleepiness and Fatigue as Consequences of Cumulative Sleep Restriction: Insights from Fine-Grained Subjective Measures and Skin Temperature in the Field. Clocks & Sleep, 7(3), 51. https://doi.org/10.3390/clockssleep7030051

