Impact of CPAP Therapy on Cognition and Fatigue in Patients with Moderate to Severe Sleep Apnea: A Longitudinal Observational Study
Abstract
1. Introduction
2. Results
2.1. Questionnaire Pre-Testing
2.2. Questionnaires During the Testing Phases
2.2.1. Questionnaire Assessing Sleep Quality of the Preceding Night—St. Mary’s Sleep Questionnaire
2.2.2. Questionnaire Assessing CPAP Use
CPAP Treatment Outcomes
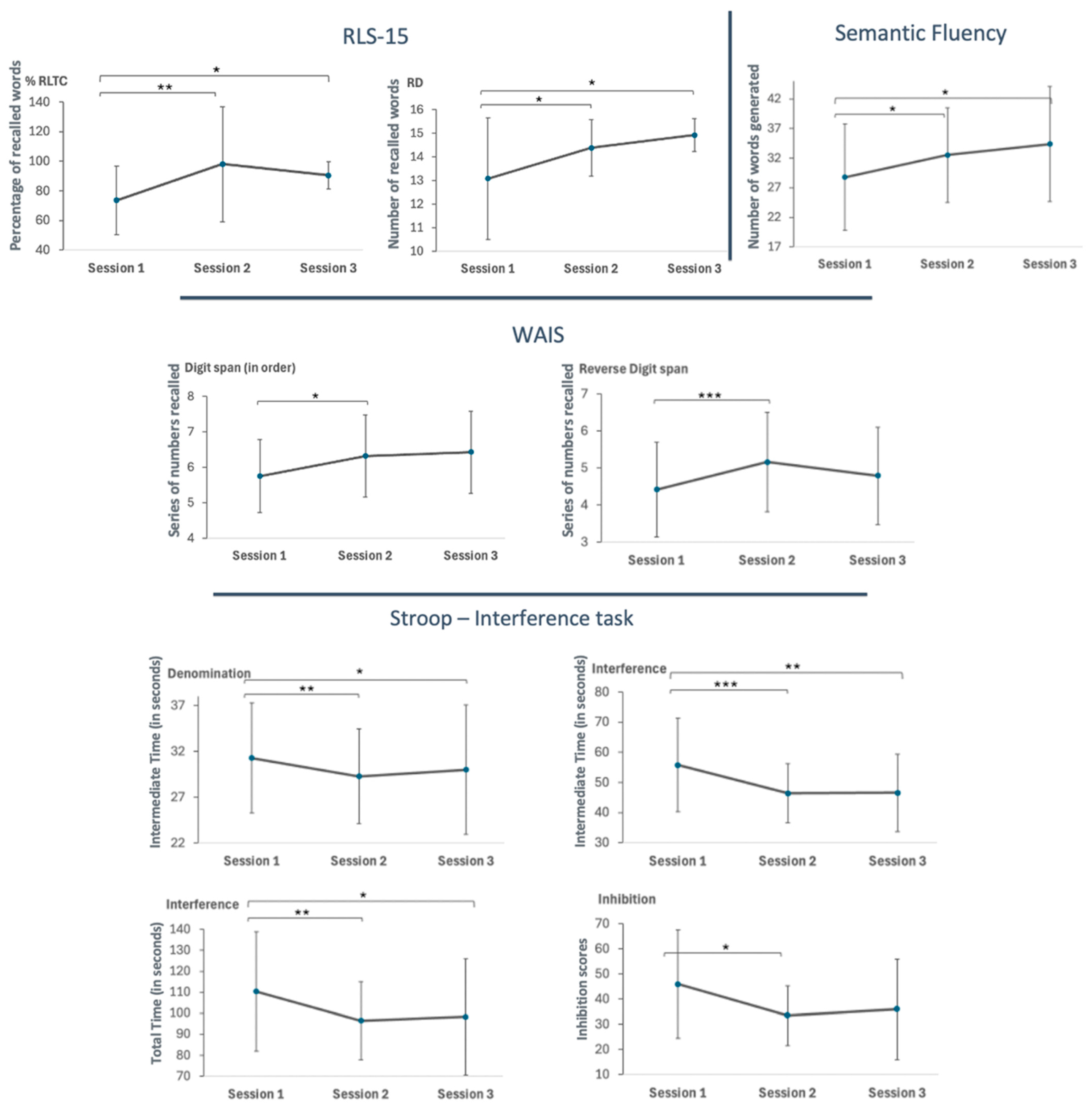
2.3. Neuropsychological Evaluation
2.4. TloadDback Task
2.4.1. Pre-Test Estimating the Interstimulus Interval (ISI)
2.4.2. Performance in the TloadDback Task
2.4.3. Relationship Between CPAP Adherence and Cognitive Outcomes
2.4.4. Subjective Evaluations of Sleepiness, Fatigue, Stress, and Motivation Following the TloadDback Task
3. Materials and Methods
3.1. Study Setting
- Posters and flyers displayed in sleep laboratories in Brussels, targeting individuals spending the night for polysomnography testing.
- Social media campaigns aimed at individuals recently diagnosed with moderate to severe OSA.
3.2. Participants
- One participant discontinued participation, finding the study too demanding.
- One participant stopped CPAP treatment after significant weight loss and lifestyle improvements.
- Four participants were unavailable due to personal and professional commitments.
3.3. Experimental Procedure
3.3.1. Pre-Testing Questionnaires
3.3.2. Testing Procedure
3.3.3. Experimental Questionnaires
Sleep and CPAP Questionnaires
Neuropsychological Evaluation
Cognitive Fatigue-Inducing TloadDback Task
TloadDback-Related Visual Analog Scales
3.4. Statistical Analyses
4. Discussion
5. Limitations
6. Conclusions
Supplementary Materials
Author Contributions
Funding
Institutional Review Board Statement
Informed Consent Statement
Data Availability Statement
Acknowledgments
Conflicts of Interest
References
- Jesús, M.E.; Paulino, D.A.; Ricardo, C.A.; Rossana, C.F. Obstructive Sleep Apnea Syndrome Implications on Health and Adherence to CPAP Treatment. Sci. Res. 2014, 7, 639–652. [Google Scholar] [CrossRef][Green Version]
- Mannarino, M.R.; Di Filippo, F.; Pirro, M. Obstructive sleep apnea syndrome. Eur. J. Intern. Med. 2012, 23, 586–593. [Google Scholar] [CrossRef] [PubMed]
- Csábi, E.; Benedek, P.; Janacsek, K.; Katona, G.; Nemeth, D. Sleep disorder in childhood impairs declarative but not nondeclarative forms of learning. J. Clin. Exp. Neuropsychol. 2013, 35, 677–685. [Google Scholar] [CrossRef] [PubMed]
- Olaithe, M.; Bucks, R.S. Executive dysfunction in OSA before and after treatment: A meta-analysis. Sleep 2013, 36, 1297–1305. [Google Scholar] [CrossRef] [PubMed]
- Weaver, T.E.; George, C.F. Cognition and performance in patients with obstructive sleep apnea. In Principles and Practice of Sleep Medicine; WB Saunders: Philadelphia, PA, USA, 2011; pp. 1194–1205. [Google Scholar]
- Jurádo-Gámez, B.; Guglielmi, O.; Gude-Sampedro, F.; Buela-Casal, G. Effect of CPAP therapy on job productivity and psychosocial occupational health in patients with moderate to severe sleep apnea. Sleep Breath. 2015, 19, 1293–1299. [Google Scholar] [CrossRef]
- Benkirane, O.; Neu, D.; Schmitz, R.; Dehon, H.; Mairesse, O.; Peigneux, P. Reversible verbal memory integration deficits in obstructive sleep apnoea. Psychol. Belg. 2021, 61, 131–144. [Google Scholar] [CrossRef]
- Karapin, P.; Šiarnik, P.; Suchá, B.; Jurík, M.; Tedla, M.; Poddaný, M.; Klobučníková, K.; Šutovský, S.; Turčáni, P.; Kollár, B. Cognition in patients with sleep-disordered breathing: Can obstructive and central apneic pauses play a different role in cognitive impairment? Life 2022, 12, 1180. [Google Scholar] [CrossRef]
- Wang, J.; Li, Y.; Ji, L.; Su, T.; Cheng, C.; Han, F.; Cox, D.J.; Wang, E.; Chen, R. The complex interplay of hypoxia and sleep disturbance in gray matter structure alterations in obstructive sleep apnea patients. Front. Aging Neurosci. 2023, 15, 1090547. [Google Scholar] [CrossRef]
- Gu, Y.; Gagnon, J.; Kamińska, M. Sleep electroencephalography biomarkers of cognition in obstructive sleep apnea. J. Sleep Res. 2023, 32, e13831. [Google Scholar] [CrossRef]
- Wieckiewicz, M.; Martynowicz, H.; Lavigne, G.; Lobbezoo, F.; Kato, T.; Winocur, E.; Wezgowiec, J.; Danel, D.; Wojakowska, A.; Mazur, G.; et al. An exploratory study on the association between serotonin and sleep breathing disorders. Sci. Rep. 2023, 13, 11800. [Google Scholar] [CrossRef]
- Karuga, F.F.; Jaromirska, J.; Sochal, M.; Białasiewicz, P.; Gabryelska, A. Association between glucose metabolism, the circadian cycle and hypoxia: Evaluation of the NPAS2 and Rev-Erb-α protein serum levels in obstructive sleep apnea patients—A pilot study. Dent. Med. Probl. 2024, 61, 463–467. [Google Scholar] [CrossRef] [PubMed]
- Dimitrova, M.; Genov, K.R. Global cognitive performance and assessment of memory functions in obstructive sleep apnea. Folia Medica 2020, 62, 539–545. [Google Scholar] [CrossRef] [PubMed]
- Kanclerska, J.; Wieckiewicz, M.; Nowacki, D.; Szymanska-Chabowska, A.; Poreba, R.; Mazur, G.; Martynowicz, H. Sleep architecture and vitamin D in hypertensives with obstructive sleep apnea: A polysomnographic study. Dent. Med. Probl. 2024, 61, 43–52. [Google Scholar] [CrossRef] [PubMed]
- Ramos, A.R.; Tarraf, W.; Wu, B.; Redline, S.; Cai, J.; Daviglus, M.L.; Gallo, L.; Mossavar-Rahmani, Y.; Perreira, K.M.; Zee, P.; et al. Sleep and neurocognitive decline in the hispanic community health study/study of latinos. Alzheimer’s Dement. 2020, 16, 305–315. [Google Scholar] [CrossRef]
- Kylstra, W.A.; Aaronson, J.A.; Hofman, W.F.; Schmand, B.A. Neuropsychological functioning after CPAP treatment in obstructive sleep apnea: A meta-analysis. Sleep Med. Rev. 2013, 17, 341–347. [Google Scholar] [CrossRef]
- McDaid, C.; Griffin, S.; Weatherly, H.; Duree, K.; Van der Burgt, M.; Van Hout, S.; Westwood, M. Continuous positive airway pressure devices for the treatment of obstructive sleep apnoea-hypopnoea syndrome: A systematic review and economic analysis. Health Technol. Assess. 2009, 13, 143–274. [Google Scholar] [CrossRef]
- Borragán, G.; Slama, H.; Bartolomei, M.; Peigneux, P. Cognitive fatigue: A Time-based Resource-sharing account. Cortex 2017, 89, 71–84. [Google Scholar] [CrossRef]
- Marcora, S.M.; Staiano, W.; Manning, V. Mental fatigue impairs physical performance in humans. J. Appl. Physiol. 2009, 106, 857–864. [Google Scholar] [CrossRef]
- Hockey, G. Compensatory control in the regulation of human performance under stress and high workload: A cognitive-energetical framework. Biol. Psychol. 1997, 45, 73–93. [Google Scholar] [CrossRef]
- Desmond, P.A.; Matthews, G. Implications of task-induced fatigue effects for in-vehicle countermeasures to driver fatigue. Accid. Anal. Prev. 1997, 29, 515–523. [Google Scholar] [CrossRef]
- Peigneux, P.; Leproult, R. Theories on the functions of sleep. In ESRS European Sleep Medicine; Bassetti, C.L., Đogaš, Z., Peigneux, P., Eds.; European Sleep Research Society: Seville, Spain, 2014; pp. 39–49. [Google Scholar]
- Walker, M.P. Sleep, memory and emotion. Prog. Brain Res. 2008, 169, 27–52. [Google Scholar]
- Cruz Gómez, Á.J.; Ventura Campos, N.; Belenguer, A.; Ávila, C.; Forn, C. Regional brain atrophy and functional connectivity changes related to fatigue in multiple sclerosis. PLoS ONE 2013, 8, e77914. [Google Scholar] [CrossRef] [PubMed]
- Veauthier, C.; Paul, F.; Sleep, R.D. Multiple Sclerosis and sleep disorders. Curr. Neurol. Neurosci. Rep. 2011, 11, 494–502. [Google Scholar]
- Berry, R.B.; Brooks, R.; Gamaldo, C.E.; Harding, S.M.; Lloyd, R.M.; Marcus, C.L.; Vaughn, B.V. The AASM Manual for the Scoring of Sleep and Associated Events: Rules, Terminology and Technical Specifications; Version 2.4; American Academy of Sleep Medicine: Darien, IL, USA, 2017. [Google Scholar]
- Oginska, H. Can you feel the rhythm? A short questionnaire to describe two dimensions of chronotype. Personal. Individ. Differ. 2011, 50, 1039–1043. [Google Scholar] [CrossRef]
- Buysse, D.J.; Reynolds, C.F.; Monk, T.H.; Berman, S.R.; Kupfer, D.J. The Pittsburgh Sleep Quality Index: A new instrument for psychiatric practice and research. Psychiatry Res. 1989, 28, 193–213. [Google Scholar] [CrossRef]
- Krupp, L.B.; LaRocca, N.G.; Muir-Nash, J.; Steinberg, A.D. The fatigue severity scale. Arch. Neurol. 1989, 46, 1121–1123. [Google Scholar] [CrossRef]
- Mairesse, O.; Damen, V.; Newell, J.; Kornreich, C.; Verbanck, P.; Neu, D. The Brugmann Fatigue Scale: Development and psychometric properties. J. Psychosom. Res. 2017, 99, 163–170. [Google Scholar]
- Zigmond, A.S.; Snaith, R.P. The Hospital Anxiety and Depression Scale. Acta Psychiatr. Scand. 1983, 67, 361–370. [Google Scholar] [CrossRef]
- Pavlovia. (n.d.) Pavlovia Computer Software. Pavlovia. Available online: https://pavlovia.org (accessed on 29 April 2021).
- Ellis, B.W.; Johns, M.W.; Lancaster, R.; Raptopoulos, P.; Angelopoulos, N.; Priest, R.G. The St. Mary’s Hospital sleep questionnaire: A study of reliability. Sleep 1981, 4, 93–97. [Google Scholar] [CrossRef]
- LimeSurvey Project Team. 52017. LimeSurvey, Version 3. Computer Software. Hamburg, Germany: LimeSurvey GmbH. Available online: https://www.limesurvey.org (accessed on 29 April 2021).
- Lee, K.A.; Hicks, G.; Nino-Murcia, G. Validity and reliability of a scale to assess fatigue. Psychiatry Res. 1991, 36, 291–298. [Google Scholar] [CrossRef]
- Rectem, D.; Pointrenaud, J.; Coyette, F.; Kalaft, M.; Van der Linden, M. Une épreuve de rappel libre à 15 items avec remémoration sélective (RLS-15). In L’évaluation des Troubles de la Mémoire: Présentation de Quatre Tests de Mémoire Episodique (Avec Leur Etalonnage); van der Linden, M., Adam, S., Agniel, A., Baisset Mouly, C., et les Membres du GREMEM, Eds.; Solal: Marseille, France, 2014; pp. 69–84. [Google Scholar]
- Wechsler, D. The Wechsler Adult Intelligence Scale Revised (Manual); Psychological Corporation: New York, NY, USA, 1981; pp. 84–85. [Google Scholar]
- Basner, M.; Dinges, D.F. Maximizing sensitivity of the psychomotor vigilance test (PVT) to sleep loss. Sleep 2011, 34, 581–591. [Google Scholar] [CrossRef] [PubMed]
- Godefroy, O.; GREFEX. Fonctions Exécutives et Pathologies Neurologiques et Psychiatriques: Evaluation en Pratique Clinique; De Boeck Supérieur: Bruxelles, Belgium, 2012. [Google Scholar]
- Cohen, J. Statistical Power Analysis for the Behavioral Sciences, 2nd ed.; Lawrence Erlbaum Associates: New York, NY, USA, 1998. [Google Scholar]
- Bates, D.; Mächler, M.; Bolker, B.; Walker, S. Fitting linear mixed-effects models using lme4. J. Stat. Softw. 2015, 67, 1–48. [Google Scholar] [CrossRef]
- DiNapoli, C.M. Improving continuous positive airway pressure adherence among adults. J. Nurs. Educ. Pract. 2014, 5, 110. [Google Scholar] [CrossRef]
- Moin, M.; Asad, F.; Saif-Ur, R.; Ullah, U. Continuous positive airway pressure therapy improves the quality of life among obstructive sleep apnea individuals in pakistani population. Pak. J. Med. Health Sci. 2022, 16, 105–107. [Google Scholar] [CrossRef]
- Skiba, V.; Novikova, M.; Suneja, A.; McLellan, B.N.; Schultz, L. Use of positive airway pressure in mild cognitive impairment to delay progression to dementia. J. Clin. Sleep Med. 2020, 16, 863–870. [Google Scholar] [CrossRef]
- Pollicina, I.; Maniaci, A.; Lechien, J.R.; Iannella, G.; Vicini, C.; Cammaroto, G.; Cannavicci, A.; Magliulo, G.; Pace, A.; Cocuzza, S.; et al. Neurocognitive performance improvement after obstructive sleep apnea treatment: State of the art. Behav. Sci. 2021, 11, 180. [Google Scholar] [CrossRef]
- Otake, M.; Miyata, S.; Noda, A.; Koike, Y.; Hara, Y.; Sugiura, M.; Minoshima, M.; Kojima, J.; Nakata, S.; Nakashima, T. Monitoring sleep-wake rhythm with actigraphy in patients on continuous positive airway pressure therapy. Respiration 2010, 82, 136–141. [Google Scholar] [CrossRef]
- Sparrow, D.; Aloia, M.S.; DeMolles, D.; Gottlieb, D.J. A telemedicine intervention to improve adherence to continuous positive airway pressure: A randomised controlled trial. Thorax 2010, 65, 1061–1066. [Google Scholar] [CrossRef]
- Kang, S.H.; Yoon, I.; Kim, T.I. Effects of continuous positive airway pressure treatment on cognitive functions in the korean elderly with obstructive sleep apnea. Sleep Med. Res. 2016, 7, 10–15. [Google Scholar] [CrossRef]
- Li, T.H.; Shen, Y.C.; Wang, H.M.; Chang, E.T.; Jan, H. Improvements in cognitive function after continuous positive airway pressure treatment for obstructive sleep apnea syndrome. Neuropsychiatry 2017, 07, 1000279. [Google Scholar] [CrossRef]
- Bucks, R.; Olaithe, M.; Eastwood, P. Neurocognitive function in obstructive sleep apnoea: A meta-review. Respirology 2012, 18, 61–70. [Google Scholar] [CrossRef] [PubMed]
- Gevers, W.; Deliens, G.; Hoffmann, S.; Notebaert, W.; Peigneux, P. Sleep deprivation selectively disrupts top-down adaptation to cognitive conflict in the Stroop test. J. Sleep Res. 2015, 24, 666–672. [Google Scholar] [CrossRef] [PubMed]
- Quan, S.; Budhiraja, R.; Kushida, C. Associations between sleep quality, sleep architecture and sleep disordered breathing and memory after continuous positive airway pressure in patients with obstructive sleep apnea in the apnea positive pressure long-term efficacy study (apples). Sleep Sci. 2018, 11, 231–238. [Google Scholar] [CrossRef] [PubMed]
- Jurić, J.Š. Influence of continuous positive airway pressure treatment on auditory event-related potentials p300. Acta Clin. Croat. 2022, 61, 373–378. [Google Scholar] [CrossRef]
- Rosenzweig, I.; Glasser, M.; Crum, W.R.; Kempton, M.J.; Milosevic, M.; McMillan, A.; Leschziner, G.D.; Kumari, V.; Goadsby, P.; Simonds, A.K.; et al. Changes in neurocognitive architecture in patients with obstructive sleep apnea treated with continuous positive airway pressure. EBioMedicine 2016, 7, 221–229. [Google Scholar] [CrossRef]
- Ashton, B.; Thornton, A.; Cauchoix, M.; Ridley, A. Long-term repeatability of cognitive performance. R. Soc. Open Sci. 2022, 9, 220069. [Google Scholar] [CrossRef]
- Kanbay, A.; Demir, N.C.; Tutar, N.; Köstek, O.; Şimşek, Z.; Buyukoglan, H.; Demir, R.; Parrino, L. The effect of cpap therapy on insulin-like growth factor and cognitive functions in obstructive sleep apnea patients. Clin. Respir. J. 2015, 11, 506–513. [Google Scholar] [CrossRef]
- Gaillard, V.; Barrouillet, P.; Jarrold, C.; Camos, V. Developmental differences in working memory: Where do they come from? J. Exp. Child Psychol. 2011, 110, 469–479. [Google Scholar] [CrossRef]
- Khadadah, S.; Kimoff, R.J.; Duquette, P.; Jobin, V.; Lapierre, Y.; Benedetti, A.; Johara, F.T.; Robinson, A.; Roger, E.; Bar-Or, A.; et al. Effect of continuous positive airway pressure treatment of obstructive sleep apnea-hypopnea in multiple sclerosis: A randomized, double-blind, placebo-controlled trial (sams-pap study). Mult. Scler. J. 2021, 28, 82–92. [Google Scholar] [CrossRef]
- Weaver, T.; Chasens, E. Continuous positive airway pressure treatment for sleep apnea in older adults. Sleep Med. Rev. 2007, 11, 99–111. [Google Scholar] [CrossRef]
- Norman, D.A.; Bobrow, D.G. On data-limited and resource-limited processes. Cogn. Psychol. 1975, 7, 44–64. [Google Scholar] [CrossRef]
- Ackerman, P.L.; Calderwood, C.; Conklin, E.M. Task characteristics and fatigue. In The Handbook of Operator Fatigue; CRC Press: Boca Raton, FL, USA, 2017; pp. 91–101. [Google Scholar]
- Budhiraja, R.; Kushida, C.; Nichols, D.; Walsh, J.; Simon, R.; Gottlieb, D.; Quan, S. Predictors of sleepiness in obstructive sleep apnoea at baseline and after 6 months of continuous positive airway pressure therapy. Eur. Respir. J. 2017, 50, 1700348. [Google Scholar] [CrossRef] [PubMed]
- Varandas, R.; Lima, R.; Badia, S.; Silva, H.; Gamboa, H. Automatic cognitive fatigue detection using wearable fnirs and machine learning. Sensors 2022, 22, 4010. [Google Scholar] [CrossRef] [PubMed]
- Seo, M.Y.; Lee, J.Y. Compliance with continuous positive airway pressure in patients with obstructive sleep apnea. Sleep Med. Res. 2020, 11, 7–14. [Google Scholar] [CrossRef]
- McEvoy, R.D.; Antic, N.A.; Heeley, E.; Luo, Y.; Ou, Q.; Zhang, X.; Mediano, O.; Chen, R.; Drager, L.F.; Liu, Z.; et al. CPAP for prevention of cardiovascular events in obstructive sleep apnea. N. Engl. J. Med. 2016, 375, 919–931. [Google Scholar] [CrossRef]
- Gaspar, L.S.; Hesse, J.; Yalçin, M.; Santos, B.; Carvalhas-Almeida, C.; Ferreira, M.; Moita, J.; Relógio, A.; Cavadas, C.; Álvaro, A.R. Long-term continuous positive airway pressure treatment ameliorates biological clock disruptions in obstructive sleep apnea. EBioMedicine 2021, 65, 103248. [Google Scholar] [CrossRef]
- Chernyak, Y. Improving cpap adherence for obstructive sleep apnea: A practical application primer on cpap desensitization. Mededportal 2020, 16, 10963. [Google Scholar] [CrossRef]
- Kreivi, H.; Maasilta, P.; Bachour, A. Persistence of upper-airway symptoms during cpap compromises adherence at 1 year. Respir. Care 2016, 61, 652–657. [Google Scholar] [CrossRef]
- Weaver, T.E.; Grunstein, R.R. Adherence to continuous positive airway pressure therapy: The challenge to effective treatment. Proc. Am. Thorac. Soc. 2008, 5, 173–178. [Google Scholar] [CrossRef]
- Sawyer, A.M.; Deatrick, J.A.; Kuna, S.T.; Weaver, T.E. Differences in perceptions of the diagnosis and treatment of obstructive sleep apnea and continuous positive airway pressure therapy among adherers and nonadherers. Qual. Health Res. 2010, 20, 873–892. [Google Scholar] [CrossRef]
- Shapiro, A.; Olson, J.; Shafique, S.; Piamjariyakul, U. Cpap-saver follow-up study to determine long-term adherence and associated factors. J. Am. Assoc. Nurse Pract. 2021, 34, 261–269. [Google Scholar] [CrossRef] [PubMed]
- Kakkar, R.; Berry, R. Positive airway pressure treatment for obstructive sleep apnea. Chest J. 2007, 132, 1057–1072. [Google Scholar] [CrossRef] [PubMed]
- Bogan, R.; Wells, C. A randomized crossover trial of a pressure relief technology (sensawake™) in continuous positive airway pressure to treat obstructive sleep apnea. Sleep Disord. 2017, 2017, 3978073. [Google Scholar] [CrossRef] [PubMed]
- Borriboon, C.; Chaiard, J.; Tachaudomdach, C.; Turale, S. Continuous positive airway pressure adherence in people with obstructive sleep apnoea. J. Clin. Nurs. 2021, 31, 3477–3484. [Google Scholar] [CrossRef]
- Watach, A.J.; Hwang, D.; Sawyer, A.M. Personalized and patient-centered strategies to improve positive airway pressure adherence in patients with obstructive sleep apnea. Patient Prefer. Adherence 2021, 15, 1557–1570. [Google Scholar]
- Nadi, F.; Ismail, A.; Izadi-Avanji, F. Impact of continuous positive airway pressure (cpap) masks on arterial blood gas parameters and pulmonary side effects after open-heart surgery. J. Vessel. Circ. 2020, 1, 1–7. [Google Scholar] [CrossRef]
- Alemohammad, Z.B.; Sadeghniiat-Haghighi, K.; Fazlipanah, M.M.P.; Rahimi-Golkhandan, A. The effects of cpap therapy on metabolic profile and subjective sleep parameters in patients with osa: A prospective trial study. Sleep Sci. 2022, 15, 196–200. [Google Scholar] [CrossRef]
- Hong, Y.; Shen, Y.; Chang, E.; Kung, S. Cpap improved daytime sleepiness and memory function in patients with obstructive sleep apnea syndrome. Res. Sq. 2021, preprint. [Google Scholar] [CrossRef]
- Ipekci, T.; Cetintas, G.; Çelik, O.; Ekin, R.G.; Tunçkıran, A.; İlbey, Y., Ö. Continuous positive airway pressure therapy is associated with improvement in overactive bladder symptoms in women with obstructive sleep apnea syndrome. Cent. Eur. J. Urol. 2016, 69, 78–82. [Google Scholar] [CrossRef]
- Balcan, B.; Thunström, E.; Strollo, P.; Peker, Y. Continuous positive airway pressure treatment and depression in adults with coronary artery disease and nonsleepy obstructive sleep apnea. a secondary analysis of the riccadsa trial. Ann. Am. Thorac. Soc. 2019, 16, 62–70. [Google Scholar] [CrossRef]
- Aro, M.; Anttalainen, U.; Polo, O.; Saaresranta, T. Mood, sleepiness, and weight gain after three years on cpap therapy for sleep apnoea. Eur. Clin. Respir. J. 2021, 8, 1888394. [Google Scholar] [CrossRef] [PubMed]
- Vanek, J.; Prasko, J.; Genzor, S.; Belohradova, K.; Visnovsky, J.; Mizera, J.; Bocek, J.; Sova, M.; Ociskova, M. Cognitive functions, depressive and anxiety symptoms after one year of cpap treatment in obstructive sleep apnea. Psychol. Res. Behav. Manag. 2023, 16, 2253–2266. [Google Scholar] [CrossRef] [PubMed]
- Tomfohr, L.; Ancoli-Israel, S.; Loredo, J.; Dimsdale, J. Effects of continuous positive airway pressure on fatigue and sleepiness in patients with obstructive sleep apnea: Data from a randomized controlled trial. Sleep 2011, 34, 121–126. [Google Scholar] [CrossRef] [PubMed]
- Arachchige, M.A.; Steier, J. Beyond usual care: A multidisciplinary approach towards the treatment of obstructive sleep apnoea. Front. Cardiovasc. Med. 2022, 8, 747495. [Google Scholar] [CrossRef]
- Wilckens, K.; Jeon, B.; Morris, J.; Buysse, D.; Chasens, E. Effects of continuous positive airway pressure treatment on sleep architecture in adults with obstructive sleep apnea and type 2 diabetes. Front. Hum. Neurosci. 2022, 16, 924069. [Google Scholar] [CrossRef]
- Zheng, D.; Xu, Y.; You, S.; Hackett, M.L.; Woodman, R.J.; Li, Q.; Woodward, M.; Loffler, K.A.; Rodgers, A.; Drager, L.F.; et al. Effects of continuous positive airway pressure on depression and anxiety symptoms in patients with obstructive sleep apnoea: Results from the sleep apnoea cardiovascular endpoint randomised trial and meta-analysis. EClinicalMedicine 2019, 11, 89–96. [Google Scholar] [CrossRef]
- Lundetræ, R.S.; Saxvig, I.W.; Lehmann, S.; Bjorvatn, B. Effect of continuous positive airway pressure on symptoms of anxiety and depression in patients with obstructive sleep apnea. Sleep Breath. 2020, 25, 1277–1283. [Google Scholar] [CrossRef]
- Hereford, V.; Gilbert, B.; Platt, S.; Haque, S. Does treatment of obstructive sleep apnea improve depression symptoms? Evid.-Based Pract. 2020, 24, 11–12. [Google Scholar] [CrossRef]
- EL-sherbini, A.; Bediwy, A.; El-Mitwalli, A. Association between obstructive sleep apnea (osa) and depression and the effect of continuous positive airway pressure (cpap) treatment. Neuropsychiatry Dis. Treat. 2011, 7, 715–721. [Google Scholar] [CrossRef]





| 95% CI | Post-Hocs | |||||||||
|---|---|---|---|---|---|---|---|---|---|---|
| Measure | LMM | Session | Estimate | SE | Lower | Upper | Comparison | t | p | |
| F | p | |||||||||
| PSQI | 8.49 | 0.001 *** | 1 | 8.27 | 0.64 | 7.01 | 9.53 | S1–S2 | 3.42 | 0.005 ** |
| 2 | 5.67 | 0.64 | 4.41 | 6.93 | S1–S3 | 3.18 | 0.007 ** | |||
| 3 | 5.28 | 0.68 | 3.96 | 6.61 | S2–S3 | 0.59 | 0.57 | |||
| BFS (Mental) | 15.14 | <0.001 *** | 1 | 5.67 | 0.65 | 4.39 | 6.96 | S1–S2 | 4.76 | <0.001 *** |
| 2 | 3.48 | 0.66 | 2.20 | 4.77 | S1–S3 | 4.75 | <0.001 *** | |||
| 3 | 3.04 | 0.68 | 1.71 | 4.37 | S2–S3 | 0.67 | 0.51 | |||
| BFS (Physical) | 6.10 | 0.007 ** | 1 | 5.10 | 0.59 | 3.95 | 6.25 | S1–S2 | 2.70 | 0.02 * |
| 2 | 3.66 | 0.59 | 2.51 | 4.81 | S1–S3 | 2.76 | 0.02 * | |||
| 3 | 3.53 | 0.62 | 2.31 | 4.75 | S2–S3 | 0.19 | 0.86 | |||
| FSS | 6.51 | 0.004 ** | 1 | 4.74 | 0.36 | 4.04 | 5.44 | S1–S2 | 1.98 | 0.07 |
| 2 | 3.94 | 0.36 | 3.23 | 4.65 | S1–S3 | 3.16 | 0.007 ** | |||
| 3 | 3.44 | 0.38 | 2.71 | 4.18 | S2–S3 | 1.32 | 0.37 | |||
| CHQ-Behavioral rhythms | 2.25 | 0.12 | 1 | 20.50 | 1.92 | 16.73 | 24.27 | S1–S2 | 0.65 | 0.53 |
| 2 | 18.13 | 1.92 | 14.36 | 21.90 | S1–S3 | 2.24 | 0.09 | |||
| 3 | 15.57 | 1.99 | 12.66 | 20.47 | S2–S3 | 1.23 | 0.24 | |||
| CHQ-Distinctness | 11.48 | <0.001 *** | 1 | 22.30 | 1.28 | 19.79 | 24.81 | S1–S2 | 3.35 | 0.004 ** |
| 2 | 17.81 | 1.28 | 15.31 | 20.32 | S1–S3 | 3.06 | 0.009 ** | |||
| 3 | 17.15 | 1.32 | 14.56 | 19.74 | S2–S3 | 0.43 | 0.67 | |||
| HADRS-Depression | 3.78 | 0.03 * | 1 | 7.63 | 1.16 | 5.35 | 9.90 | S1–S2 | 2.70 | 0.02 * |
| 2 | 4.30 | 1.19 | 1.97 | 6.64 | S1–S3 | 1.66 | 0.12 | |||
| 3 | 4.18 | 1.22 | 1.78 | 6.57 | S2–S3 | 0.00 | 1.00 | |||
| HADRS-Anxiety | 9.71 | <0.001 *** | 1 | 11.76 | 1.43 | 8.96 | 14.56 | S1–S2 | 2.06 | 0.05 * |
| 2 | 7.27 | 1.46 | 4.41 | 10.14 | S1–S3 | 3.53 | 0.004 ** | |||
| 3 | 4.36 | 1.50 | 1.43 | 7.93 | S2–S3 | 1.63 | 0.13 | |||
| Session 1 | Session 2 | Session 3 | Statistics | ||||
|---|---|---|---|---|---|---|---|
| Mean | 95%CI [Lower; Upper] | Mean | 95% CI [Lower; Upper] | Mean | 95% CI [Lower; Upper] | ||
| Practical constraints | 0.20 | 0.03; 0.72 | 0.04 | 0.002; 0.50 | 0.02 | 5.38 × 10−4; 0.53 | = 5.09, p = 0.08 |
| Mask discomfort | 0.92 | 0.67; 0.99 | 0.53 | 0.29; 0.76 | 0.42 | 0.18; 0.70 | = 11.69, p = 0.003 |
| Spouse inconvenience | 1.09 × 10−4 | 2.66 × 10−7; 0.04 | 5.34 × 10−7 | 2.22 × 10−16; 0.86 | 5.93 × 10−5 | 8.52 × 10−80.04 | = 3.50, p = 0.17 |
| Keeping the mask | 0.39 | 0.09; 0.80 | 0.21 | 0.04; 0.65 | 0.25 | 0.04; 0.73 | = 0.93, p = 0.63 |
| CPAP continuous use | 0.40 | 0.20; 0.64 | 0.47 | 0.26; 0.70 | 0.50 | 0.25; 0.75 | = 0.40, p = 0.82 |
| Mask back | 0.66 | 0.34; 0.88 | 0.41 | 0.17; 0.70 | 0.60 | 0.27; 0.86 | = 1.86, p = 0.40 |
| Occasional abandonment | 0.31 | 0.12; 0.60 | 0.24 | 0.08; 0.52 | 0.15 | 0.03; 0.46 | = 1.25, p = 0.54 |
| Frequent abandonment | 0.10 | 0.02; 0.35 | 0.24 | 0.09; 0.49 | 0.31 | 0.13; 0.58 | = 2.74, p = 0.25 |
| Full night with the mask | 0.003 | 0.003; 0.003 | 6.23 × 10−4 | 6.19 × 10−4; 6.27 × 10−4 | 3.80 × 10−4 | 3.77 × 10−4; 3.82 × 10−4 | = 1.49, p = 0.48 |
| Bouts of fatigue | 0.67 | 0.33; 0.89 | 0.92 | 0.61; 0.99 | 0.61 | 0.26; 0.88 | = 5.47, p = 0.06 |
| Mood | 0.22 | 0.08; 0.50 | 0.73 | 0.45; 0.90 | 0.63 | 0.34; 0.84 | = 10.02, p= 0.007 |
| Concentration | 0.19 | 0.05; 0.51 | 0.43 | 0.17; 0.74 | 0.34 | 0.10; 0.71 | = 2.25, p = 0.32 |
| Migraines | 0.49 | 0.05; 0.95 | 0.59 | 0.07; 0.96 | 0.91 | 0.16; 1.00 | = 2.61, p = 0.27 |
| Variables | Pearson’s r | p-Value | |
|---|---|---|---|
| Average CPAP Utilization (hours) | CPAP Treatment Follow-up and Improvements in Quality of Life | 0.01 | 0.92 |
| Average CPAP Utilization (hours) | Usage Patterns and Adherence Issues | −0.52 | <0.001 *** |
| Average CPAP Utilization (hours) | CPAP-Related Discomfort and Constraints | −0.01 | 0.92 |
| Average CPAP Utilization (hours) | Sleep Continuity | −0.09 | 0.50 |
| Sleep Continuity | CPAP-Related Discomfort and Constraints | 0.33 | 0.02 * |
| Session 1 | Session 2 | Session 3 | Statistics | |
|---|---|---|---|---|
| RLS 15-RM | 12.38 (5.70) | 12.98 (0.92) | 13.66 (0.53) | F(2,39.07) = 0.67, p = 0.52 |
| RLS 15-%RLTC | 73.66 (23.06) | 98.11 (38.74) | 90.56 (9.19) | F(2,36.01) = 6.29, p = 0.005 ** |
| RLS 15-RD | 13.08 (2.57) | 14.39 (1.20) | 14.93 (0.27) | F(2,31.15) = 7.09, p = 0.003 ** |
| Stroop-DenoTI | 31.29 (6.00) | 29.28 (5.18) | 30.00 (7.05) | F(2,32.33) = 6.51, p = 0.004 ** |
| Stroop-InterTI | 55.82 (15.55) | 46.44 (9.82) | 46.57 (12.85) | F(2,33.68) = 13.97, p < 0.001 *** |
| Stroop-InterTT | 110.39 (28.53) | 96.50 (18.55) | 98.29 (27.63) | F(2,34.63) = 6.55, p = 0.004 ** |
| Stroop-Inter-DenoT | 45.96 (21.55) | 33.44 (11.92) | 35.92 (20.07) | F(2,35.83) = 3.25, p = 0.05 * |
| Digit span (in order) | 5.75 (1.03) | 6.32 (1.16) | 6.43 (1.16) | F(2,35.85) = 3.35, p = 0.05 * |
| Digit span (in reverse) | 4.42 (1.28) | 5.16 (1.34) | 4.79 (1.31) | F(2,36.27) = 7.92, p = 0.002 ** |
| Phonological fluency | 21.83 (7.99) | 23.00 (7.86) | 25.36 (9.31) | F(2,35.39) = 2.00, p = 0.15 |
| Semantic fluency | 28.79 (8.99) | 32.53 (7.98) | 34.36 (9.72) | F(2,36.23) = 7.41, p = 0.002 ** |
| Variable | Correlation Coefficient (r) | p-Value | Interpretation |
|---|---|---|---|
| Delta Scores | r= −0.268 | p = 0.044 | Suggests more stable cognitive performance across task blocks with higher CPAP adherence. |
| Phonological Fluency | r = 0.331 | p = 0.012 | Greater CPAP use associated with improved lexical access and word generation. |
| Semantic Fluency | r = 0.385 | p = 0.003 | CPAP adherence linked to enhanced semantic processing. |
| Stroop Denomination Time (Deno_Tl) | r = −0.271 | p = 0.049 | Higher CPAP use facilitating the automatic processing required for rapid word naming. |
| Session 1 | Session 2 | Session 3 | ||||
|---|---|---|---|---|---|---|
| Pre-Task | Post-Task | Pre-Task | Post-Task | Pre-Task | Post-Task | |
| Sleepiness | 2.37 (2.20) | 3.75 (3.10) | 1.75 (1.99) | 2.99 (2.63) | 2.10 (2.21) | 2.73 (2.67) |
| Cognitive Fatigue | 3.95 (2.34) | 5.33 (2.79) | 2.69 (2.57) | 3.98 (2.56) | 2.83 (2.42) | 4.24 (2.48) |
| Stress | 2.49 (2.11) | 4.71 (2.30) | 1.45 (1.94) | 3.14 (2.29) | 1.11 (1.31) | 3.43 (2.57) |
| Motivation | 6.83 (2.15) | 5.66 (2.20) | 6.72 (2.62) | 5.36 (2.12) | 7.04 (2.36) | 5.13 (2.61) |
| Factor | Eigenvalue | Description | Variables | Explained Variance |
|---|---|---|---|---|
| Factor 1: CPAP Treatment Follow-up and Quality of Life Improvements | 3.24 | Reflects the positive impact of CPAP on daily life and well-being. | - Impact of diagnosis and treatment on daily life | 19.05% |
| - Mood improvement | ||||
| - Reduced daytime fatigue | ||||
| - Enhanced concentration and memory | ||||
| - Reduction in headaches | ||||
| - Mask-related discomfort | ||||
| Factor 2: Usage Patterns and Adherence Issues | 2.79 | Represents challenges with adherence and usage patterns. | - Never using the mask for a full night | 16.39% |
| - Frequent abandonment of the mask | ||||
| - Difficulty maintaining the mask | ||||
| - Continuous use of CPAP most nights | ||||
| - Reduction in headaches | 13.76% | |||
| Factor 3: CPAP-Related Discomfort and Constraints | 2.34 | Captures discomfort and constraints related to CPAP. | - Discomfort for the partner | |
| - Practical constraints of CPAP | ||||
| - Occasional abandonment of the mask | ||||
| - Perception that the machine prevents sleep | ||||
| Factor 4: Sleep Continuity | 1.64 | Indicates improved sleep continuity with CPAP. | - Continuous CPAP use most nights | 9.66% |
| - Occasional abandonment of the mask | ||||
| - Fewer nighttime awakenings to urinate | ||||
| - Reapplying the mask after each awakening |
Disclaimer/Publisher’s Note: The statements, opinions and data contained in all publications are solely those of the individual author(s) and contributor(s) and not of MDPI and/or the editor(s). MDPI and/or the editor(s) disclaim responsibility for any injury to people or property resulting from any ideas, methods, instructions or products referred to in the content. |
© 2024 by the authors. Licensee MDPI, Basel, Switzerland. This article is an open access article distributed under the terms and conditions of the Creative Commons Attribution (CC BY) license (https://creativecommons.org/licenses/by/4.0/).
Share and Cite
Benkirane, O.; Mairesse, O.; Peigneux, P. Impact of CPAP Therapy on Cognition and Fatigue in Patients with Moderate to Severe Sleep Apnea: A Longitudinal Observational Study. Clocks & Sleep 2024, 6, 789-816. https://doi.org/10.3390/clockssleep6040051
Benkirane O, Mairesse O, Peigneux P. Impact of CPAP Therapy on Cognition and Fatigue in Patients with Moderate to Severe Sleep Apnea: A Longitudinal Observational Study. Clocks & Sleep. 2024; 6(4):789-816. https://doi.org/10.3390/clockssleep6040051
Chicago/Turabian StyleBenkirane, Oumaïma, Olivier Mairesse, and Philippe Peigneux. 2024. "Impact of CPAP Therapy on Cognition and Fatigue in Patients with Moderate to Severe Sleep Apnea: A Longitudinal Observational Study" Clocks & Sleep 6, no. 4: 789-816. https://doi.org/10.3390/clockssleep6040051
APA StyleBenkirane, O., Mairesse, O., & Peigneux, P. (2024). Impact of CPAP Therapy on Cognition and Fatigue in Patients with Moderate to Severe Sleep Apnea: A Longitudinal Observational Study. Clocks & Sleep, 6(4), 789-816. https://doi.org/10.3390/clockssleep6040051

