Performance and Surface Modification of Cast Iron Corrosion Products by a Green Rust Converter (Mimosa tenuiflora Extract)
Abstract
1. Introduction
2. Materials and Methods
2.1. Materials
2.2. Methods
2.2.1. Hardness Assay and Microstructural Analysis
2.2.2. Polyphenol Quantification and Rust Converter Extraction
2.2.3. FTIR and Raman Spectroscopy Characterization
2.2.4. XRD Analysis
2.2.5. Water Contact Angle (WCA)
2.2.6. EIS Characterization
3. Results and Discussion
3.1. Metallographic Analysis and Hardness
3.2. Total Polyphenol Content
3.3. SEM-EDS of Corrosion Product with/without Rust Converter
Cross-Section of the Converted Layer
3.4. Spectroscopic Analysis
3.5. X-ray Diffraction
3.6. Contac Angle
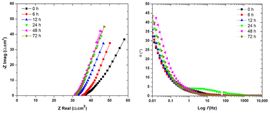
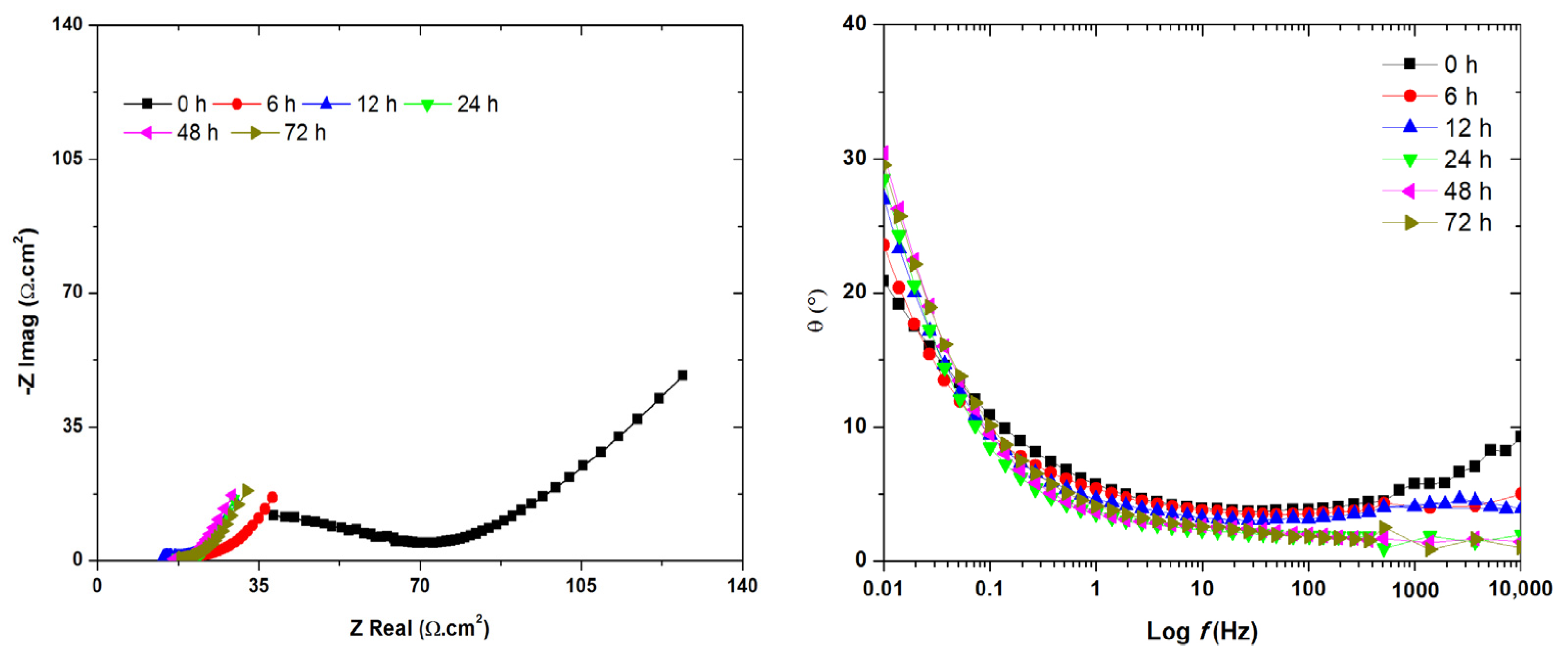
3.7. Electrochemical Characterization
4. Conclusions
Author Contributions
Funding
Institutional Review Board Statement
Informed Consent Statement
Data Availability Statement
Acknowledgments
Conflicts of Interest
References
- Huang, Y.; Qin, G.; Yang, M. A risk-based approach to inspection planning for pipelines considering the coupling effect of corrosion and dents. Process Saf. Environ. Prot. 2023, 180, 588–600. [Google Scholar] [CrossRef]
- Hussein Farh, H.M.; Ben Seghier, M.E.A.; Zayed, T. A comprehensive review of corrosion protection and control techniques for metallic pipelines. Eng. Fail. Anal. 2023, 143, 1350–6307. [Google Scholar] [CrossRef]
- Sliem, M.H.; Fayyad, E.M.; Abdullah, A.M.; Younan, N.A.; Al-Qahtani, N.; Nabhan, F.F.; Ramesh, A.; Laycock, N.; Ryan, M.P.; Maqbool, M.; et al. Monitoring of under deposit corrosion for the oil and gas industry: A review. J. Pet. Sci. Eng. 2021, 204, 108752. [Google Scholar] [CrossRef]
- Katunin, A.; Lis, K.; Joszko, K.; Żak, P.; Dragan, K. Quantification of hidden corrosion in aircraft structures using enhanced D-Sight NDT technique. Measurement 2023, 216, 112977. [Google Scholar] [CrossRef]
- Eslamian, H.; Javidi, M.; Zamani, M.R.; Dana, M.M.; Mansoori, E. Effect of pulsed current cathodic protection on pipeline steel API 5L X65 corrosion mitigation: An investigation and machine learning-assisted modeling. Corros. Commun. 2023, 12, 29–45. [Google Scholar] [CrossRef]
- Molina, M.T.; Cano, E.; Ramírez-Barat, B. Protective coatings for metallic heritage conservation: A review. J. Cult. Herit. 2023, 62, 99–113. [Google Scholar] [CrossRef]
- Verma, C.; Quraishi, M.A.; Alfantazi, A.; Rhee, K.Y. Biodegradable synthetic polymers in sustainable corrosion protection: Present and future scenarios. Adv. Ind. Eng. Polym. Res. 2023, 6, 407–435. [Google Scholar] [CrossRef]
- Zaher, A.; Aslam, R.; Lee, H.S.; Khafouri, A.; Boufellous, M.; Alrashdi, A.A.; El Aoufir, Y.; Lgaz, H.; Ouhssine, M. A combined computational & electrochemical exploration of the Ammi visnaga L. extract as a green corrosion inhibitor for carbon steel in HCl solution. Arab. J. Chem. 2022, 15, 103573. [Google Scholar] [CrossRef]
- Zakeri, A.; Bahmani, E.; Aghdam, A.S.R. Plant extracts as sustainable and green corrosion inhibitors for protection of ferrous metals in corrosive media: A mini review. Corros. Commun. 2022, 5, 25–38. [Google Scholar] [CrossRef]
- Njoku, C.N.; Enendu, B.N.; Okechukwu, S.J.; Igboko, N.; Anyikwa, S.O.; Ikeuba, A.I.; Onyeachu, I.B.; Etim, I.I.N.; Njoku, D.I. Review on anti-corrosion properties of expired antihypertensive drugs as benign corrosion inhibitors for metallic materials in various environments. Results Eng. 2023, 18, 101183. [Google Scholar] [CrossRef]
- Li, J.; Ge, S.; Wang, J.; Du, H.; Song, K.; Fei, Z.; Guo, Z. Water-based rust converter and its polymer composites for surface anticorrosion. Colloids Surf. A Physicochem. Eng. Asp. 2018, 537, 334–342. [Google Scholar] [CrossRef]
- Galván, J.C.; Simancas, J.; Morcillo, M.; Bastidas, J.M.; Almeida, E.; Feliu, S. Effect of treatment with tannic, gallic and phosphoric acids on the electrochemical behaviour of rusted steel. Electrochim. Acta 1992, 37, 1983–1985. [Google Scholar] [CrossRef]
- Barrero, C.A.; Ocampo, L.M.; Arroyave, C.E. Possible improvements in the action of some rust converters. Corros. Sci. 2001, 43, 1003–1018. [Google Scholar] [CrossRef]
- Ocampo, L.M.; Margarit, I.C.P.; Mattos, O.R.; Córdoba-de-Torresi, S.I.; Fragata, F.D.L. Performance of rust converter based in phosphoric and tannic acids. Corros. Sci. 2004, 46, 1515–1525. [Google Scholar] [CrossRef]
- Favre, M.; Landolt, D. The influence of gallic acid on the reduction of rust on painted steel surfaces. Corros. Sci. 1993, 34, 1481–1494. [Google Scholar] [CrossRef]
- Çakar, S.; Özacar, M. The pH dependent tannic acid and Fe-tannic acid complex dye for dye sensitized solar cell applications. J. Photochem. Photobiol. A 2019, 371, 282–291. [Google Scholar] [CrossRef]
- Ross, T.K.; Francis, R.A. The treatment of rusted steel with mimosa tannin. Corros. Sci. 1978, 18, 351–361. [Google Scholar] [CrossRef]
- Matamala, G.; Smeltzer, W.; Droguett, G. Use of tannin anticorrosive reaction primer to improve traditional coating systems. Corrosion 1994, 50, 270–275. [Google Scholar] [CrossRef]
- Ostovari, A.; Hoseinieh, S.M.; Peikari, M.; Shadizadeh, S.R.; Hashemi, S.J. Corrosion inhibition of mild steel in 1 M HCl solution by henna extract: A comparative study of the inhibition by henna and its constituents (Lawsone, Gallic acid, Œ±-d-Glucose and Tannic acid). Corros. Sci. 2009, 51, 1935–1949. [Google Scholar] [CrossRef]
- Martinez, S.; Štagljar, I. Correlation between the molecular structure and the corrosion inhibition efficiency of chestnut tannin in acidic solutions. J. Mol. Struct. 2003, 640, 167–174. [Google Scholar] [CrossRef]
- Zhao, X.D.; Cheng, Y.F.; Fan, W.; Vladimir, C.; Volha, V.; Alla, T. Inhibitive performance of a rust converter on corrosion of mild steel. J. Mater. Eng. Perform. 2014, 23, 4102–4108. [Google Scholar] [CrossRef]
- Feng, Y.; Ge, S.; Li, J.; Li, S.; Zhang, H.; Chen, Y.; Guo, Z. Synthesis of 3, 4, 5-trihydroxy-2-[(hydroxyimino) methyl] benzoic acid as a novel rust converter. Green Chem. Lett. Rev. 2017, 10, 455–461. [Google Scholar] [CrossRef]
- Collazo, A.; Nóvoa, X.R.; Pérez, C.; Puga, B. EIS study of the rust converter effectiveness under different conditions. Electrochim. Acta 2008, 53, 7565–7757. [Google Scholar] [CrossRef]
- Xu, W.; Han, E.H.; Wang, Z. Effect of tannic acid on corrosion behavior of carbon steel in NaCl solution. J. Mater. Sci. Technol. 2019, 35, 64–75. [Google Scholar] [CrossRef]
- Martel, S.A.; Olivas, I.; Alvarado, M.L.; Urquizo-Monrreal, P. Mimosa Tenuiflora: Redefinición de concepto durante el ciclo de vida del producto. Acad. J. 2014, 6, 478–483. [Google Scholar]
- Camargo, S.L.; Grether, R. Germinación, dispersión y establecimiento de plántulas de Mimosa tenuiflora (Leguminosae) en México. Rev. Biol. Trop. 1998, 46, 543–554. [Google Scholar] [CrossRef]
- Morteo, A.O.; Galván, R.; Fernández, I.; Orozco, R. Assessing Mimosa Tenuiflora Extract as Rust Converter on Iron Corrosion Products. ECS Trans. 2018, 84, 341–348. [Google Scholar] [CrossRef]
- ASTM G1-03; Standard Practice for Preparing, Cleaning, and Evaluating Corrosion Test Specimens. American Society for Testing and Materials International: West Conshohocken, PA, USA, 2012; pp. 1–9.
- ISO16859-1; Metallic Materials—Leeb Hardness Test Part 1: Test Method. International Organization for Standardization: Geneva, Switzerland, 2015.
- ASTM A956-06; Standard Test Method for Leeb Hardness Testing of Steel Products. ASTM: West Conshohocken, PA, USA, 2006; pp. 1–6.
- Hamidon, T.S.; Qiang, T.Z.; Hussin, M.H. Anticorrosive performance of AA6061 aluminium alloy treated with sol-gel coatings doped with mangrove bark tannins in 3.5 wt% NaCl. Mater. Res. Express 2019, 6, 096417. [Google Scholar] [CrossRef]
- ASTM G-106-89; Standard Practice for Verification of Algorithm and Equipment for Electrochemical Impedance Measurements. ASTM: West Conshohocken, PA, USA, 2015; pp. 89–106.
- A48/A48M-03; Standard Specification for Gray Iron Castings. ASTM: West Conshohocken, PA, USA, 2012; pp. 1–6.
- Davis, J.R. ASM Specialty Handbook: Cast Irons, 1st ed.; ASM International: Materials Park, OH, USA, 1996; p. 494. [Google Scholar]
- Elliott, R. Cast Iron Technology, 1st ed.; Butterworth-Heinemann: Toronto, ON, Canada, 1988; p. 244. [Google Scholar]
- Angus, H.T. Cast Iron: Physical and Engineering Properties, 2nd ed.; Butterworths: London, UK, 2013; p. 554. [Google Scholar]
- Scott, D.A. Metallography and Microstructure in Ancient and Historic Metals; Getty Publications: Singapore, 1992; p. 176. [Google Scholar] [CrossRef]
- Vander, G.F.; Lampman, S.R.; Sanders, B.R.; Anton, G.J.; Polakowski, C.; Kinson, J.; Scott, W.W., Jr. ASM Handbook: Metallography and Microstructures; ASM International: Materials Park, OH, USA, 2004; Volume 9, p. 775. ISSN 08170379. Available online: http://books.google.com.hk/books?id=eC-Zt1J4oCgC (accessed on 29 January 2024).
- Reyes Trujeque, J.; Villegas, P. Conservación del Patrimonio Cultural-Una Mirada Multidisciplinaria, 1st ed.; Editorial Morevalladolid: Michoacán, México, 2008; p. 209. ISBN 978-607-424-100-6. [Google Scholar]
- Singh, R. Applied Welding Engineering: Processes, Codes, and Standards; Butterworth-Heinemann: Oxford, UK, 2012; p. 334. [Google Scholar] [CrossRef]
- Ashkenazi, D.; Nusbaum, I.; Shacham-Diamand, Y.; Cvikel, D.; Kahanov, Y.; Inberg, A. A method of conserving ancient iron artefacts retrieved from shipwrecks using a combination of silane self-assembled monolayers and wax coating. Corros. Sci. 2017, 123, 88–102. [Google Scholar] [CrossRef]
- Hamidon, T.S.; Hussin, M.H. Susceptibility of hybrid sol-gel (TEOS-APTES) doped with caffeine as potent corrosion protective coatings for mild steel in 3.5 wt.% NaCl. Prog. Org. Coat. 2020, 140, 105478. [Google Scholar] [CrossRef]
- Lamuela-Raventós, R.M. Folin-Ciocalteu method for the measurement of total phenolic content and antioxidant capacity. In Measurement of Antioxidant Activity & Capacity Recent Trends and Applications, 1st ed.; Apak, R., Capanoglu, E., Shahidi, F., Eds.; John Wiley & Sons Ltd.: New York, NY, USA, 2017; pp. 107–117. [Google Scholar] [CrossRef]
- De la Fuente, D.; Alcántara, J.; Chico, B.; Díaz, I.; Jiménez, J.A.; Morcillo, M. Characterisation of rust surfaces formed on mild steel exposed to marine atmospheres using XRD and SEM/Micro-Raman techniques. Corros. Sci. 2016, 110, 253–264. [Google Scholar] [CrossRef]
- Sancy, M.; Gourbeyre, Y.; Sutter, E.M.; Tribollet, B. Mechanism of corrosion of cast iron covered by aged corrosion products: Application of electrochemical impedance spectrometry. Corros. Sci. 2010, 52, 1222–1227. [Google Scholar] [CrossRef]
- Raman, A.; Nasrazadani, S.; Sharma, L. Morphology of rust phases formed on weathering steels in various laboratory corrosion tests. Metallography 1989, 22, 79–96. [Google Scholar] [CrossRef]
- Alcántara, J.; Chico, B.; Díaz, I.; De la Fuente, D.; Morcillo, M. Airborne chloride deposit and its effect on marine atmospheric corrosion of mild steel. Corros. Sci. 2015, 97, 74–88. [Google Scholar] [CrossRef]
- Zise, W.; Chunchun, X.; Xia, C.A.; Ben, X. The morphology, phase composition and effect of corrosion product on simulated archaeological iron. Chin. J. Chem. Eng. 2007, 15, 433–438. [Google Scholar] [CrossRef]
- Božović, S.; Gvozdanović, T.; Kraš, A.; Grudić, V.; Kurajica, S.; Martinez, S. Rust layer growth and modification by a tannin-based mixture for lowering steel corrosion rates in neutral saline solution. Corros. Eng. Sci. 2020, 55, 372–380. [Google Scholar] [CrossRef]
- De Faria, D.L.; Venâcio, S.; De Oliveira, S.M. Raman microspectroscopy of some iron oxides and oxyhydroxides. J. Raman Spectrosc. 1997, 28, 873–878. [Google Scholar] [CrossRef]
- Legodi, M.A.; de Waal, D. The preparation of magnetite, goethite, hematite and maghemite of pigment quality from mill scale iron waste. Dye. Pigment. 2010, 74, 161–168. [Google Scholar] [CrossRef]
- Ramanaidou, E.; Wells, M.; Lau, I.; Laukamp, C. Characterization of iron ore by visible and infrared reflectance and, Raman spectroscopies, In Iron Ore: Mineralogy, Processing, and Environmental Sustainability; Lu, L., Ed.; Woodhead Publishing: Cambridge, UK, 2015; pp. 191–228. [Google Scholar] [CrossRef]
- Zhang, X.; Xiao, K.; Dong, C.; Wu, J.; Li, X.; Huang, Y. In situ Raman spectroscopy study of corrosion products on the surface of carbon steel in solution containing Cl− and SO42−. Eng. Fail. Anal. 2011, 18, 1981–1989. [Google Scholar] [CrossRef]
- Criado, M.; Martínez, S.; Bastidas, J.M. A Raman spectroscopy study of steel corrosion products in activated fly ash mortar containing chlorides. Constr. Build. Mater. 2015, 96, 383–390. [Google Scholar] [CrossRef]
- Giurginca, M.; Badea, N.; Miu, L.; Meghea, L.A. Spectral technics for identifying tanning agents in the heritage leather items. Rev. Chim. 2007, 58, 923–928. [Google Scholar]
- Gehring, A.U.; Hofmeister, A.M. The transformation of lepidocrocite during heating: A magnetic and spectroscopic study. Clays Clay Miner. 1994, 42, 409–415. [Google Scholar] [CrossRef]
- Jaén, J.A.; de Araque, L. Caracterización de los productos de corrosión de aceros al carbono en el clima tropical marino de Sherman (provincia de Colón, Panamá). Tecnociencia 2006, 8, 49–63. Available online: https://revistas.up.ac.pa/index.php/tecnociencia/article/view/715 (accessed on 18 January 2024).
- Berrones, M.D.; Lascano, L. Síntesis de nanopartículas de hematita por el método de precipitación controlada. Rev. Politécnica 2009, 30, 91–99. [Google Scholar]
- Gómez, P.G.; González, V.A.; Garza, M.A.; Esquivel, R. Síntesis y caracterización de nanocompósitos de óxido de hierro en un polímero semiconductor. Ingenierías 2011, 14, 9–16. Available online: http://eprints.uanl.mx/10454/1/50_Sintesis_y_caracterizacion.pdf (accessed on 29 January 2024).
- Jaén, J.A.; Adames, O.; Iglesias, J.; Hernández, C. Caracterización de la pátina protectora del acero patinable ASTM A709 HPS 70W del puente Centenario. Tecnociencia 2011, 13, 81–99. Available online: https://revistas.up.ac.pa/index.php/tecnociencia/article/view/936 (accessed on 18 January 2024).
- Song, J.; Jia, S.Y.; Yu, B.; Wu, S.H.; Han, X. Formation of iron (hydr) oxides during the abiotic oxidation of Fe (II) in the presence of arsenate. J. Hazard. Mater. 2015, 294, 70–79. [Google Scholar] [CrossRef]
- Karimzadeh, I.; Dizaji, H.R.; Aghazadeh, M. Development of a facile and effective electrochemical strategy for preparation of iron oxides (Fe3O4 and γ-Fe2O3) nanoparticles from aqueous and ethanol mediums and in situ PVC coating of Fe3O4 superparamagnetic nanoparticles for biomedical applications. J. Magn. 2016, 416, 81–88. [Google Scholar] [CrossRef]
- Nasrazadani, S. The application of infrared spectroscopy to a study of phosphoric and tannic acids interactions with magnetite (Fe3O4), goethite (α-FeOOH) and lepidocrocite (γ-FeOOH). Corros. Sci. 1997, 39, 1845–1859. [Google Scholar] [CrossRef]
- Jaramillo, A.F.; Montoya, L.F.; Prabhakar, J.M.; Sanhueza, J.P.; Fernández, K.; Rohwerder, M.; Melendrez, M.F. Formulation of a multifunctional coating based on polyphenols extracted from the Pine radiata bark and functionalized zinc oxide nanoparticles: Evaluation of hydrophobic and anticorrosive properties. Prog. Org. Coat. 2019, 135, 191–204. [Google Scholar] [CrossRef]
- Kreislova, K.; Knotkova, D.; Geiplova, H. Atmospheric corrosion of historical industrial structures. In Corrosion and Conservation of Cultural Heritage Metallic Artefacts; Dillman, P., Watkinson, D., Angellini, E., Adriaens, A., Eds.; Woodhead Publishing: Sawston, Reino Unido, 2013; pp. 311–343. [Google Scholar] [CrossRef]
- Dillmann, P.; Mazaudier, F.; Hœrlé, S. Advances in understanding atmospheric corrosion of iron. I. Rust characterization of ancient ferrous artefacts exposed to indoor atmospheric corrosion. Corros. Sci. 2004, 46, 1401–1429. [Google Scholar] [CrossRef]
- Contreras, E.; Galindez, Y.; Rodas, M.A.; Bejarano, G.; Gómez, M.A. CrVN/TiN nanoscale multilayer coatings deposited by DC unbalanced magnetron sputtering. Surf. Coat. Technol. 2017, 332, 214–222. [Google Scholar] [CrossRef]
- Hernández, M.; Hernández-Escampa, M.; Abreu, C.; Uruchurtu, J.; Bethencourt, M.; Covelo, A. Caracterización de una bala de cañón histórica de la Fortaleza de San Juan de Ulúa expuesta a un medio marino. Arqueometría 2016, 58, 610–623. [Google Scholar]
- Rahim, A.A.; Kassim, M.J.; Rocca, E.; Steinmetz, J. Mangrove (Rhizophora apiculata) tannins: An eco-friendly rust converter. Corros. Eng. Sci. 2011, 46, 425–431. [Google Scholar] [CrossRef]
- Pérez, C.; Collazo, A.; Izquierdo, M.; Merino, P.; Novoa, X. Electrochemical Impedance Spectroscopy Study of the Corrosion Process on Coated Galvanized Steel in a Salt Spray Fog Chamber. Corrosion 2000, 56, 1220–1232. [Google Scholar] [CrossRef]
- Díaz, B.; Nóvoa, X.; Pérez, C.; Morgado, M. Influence of Graphene Oxide Additions on the Corrosion Resistance of a Rust Converter Primer. Coatings 2022, 12, 345. [Google Scholar] [CrossRef]
- Watkinson, D. Preservation of Metallic Cultural Heritage; Cottis, R.A., Ed.; Elsevier: Amsterdam, The Netherlands, 2010. [Google Scholar] [CrossRef]
- Feliu, S.; Galván, J.; Feliu Jr, S.; Bastidas, J.; Simancas, J.; Morcillo, M.; Almeida, E. An electrochemical impedance study of the behaviour of some pretreatments applied to rusted steel surfaces. Corros. Sci. 1993, 35, 1351–1358. [Google Scholar] [CrossRef]
- Rocca, E.; Faiz, H.; Dillmann, P.; Neff, D.; Mirambet, F. Electrochemical behavior of thick rust layers on steel artefact: Mechanism of corrosion inhibition. Electrochim. Acta 2019, 316, 219–227. [Google Scholar] [CrossRef]
- Brug, G.; Van Den Eeden, A.; Sluyters, M.; Sluyters, J.H. The analysis of electrode impedances complicated by the presence of a constant phase element. J. Electroanal. Chem. 1984, 176, 275–295. [Google Scholar] [CrossRef]
- Amirudin, A.; Thierry, D. Application of electrochemical impedance spectroscopy to study the degradation of polymer-coated metals. Prog. Org. Coat. 1995, 26, 1–28. [Google Scholar] [CrossRef]
- Muralidharan, V. Warburg impedance-basics revisited. Anti-Corros 1997, 44, 26–29. [Google Scholar] [CrossRef]
- Vedalakshmi, R.; Saraswathy, V.; Son, H.; Palaniswamy, N. Determination of diffusion coefficient of chloride in concrete using Warburg diffusion coefficient. Corros. Sci. 2009, 51, 1299–1307. [Google Scholar] [CrossRef]
- Skale, S.; Dolecek, V.; Slemnik, M. Substitution of the constant phase element by Warburg impedance for protective coatings. Corros. Sci. 2007, 49, 1045–1055. [Google Scholar] [CrossRef]



















| Cast Iron | Element (wt.%) | ||||||||
|---|---|---|---|---|---|---|---|---|---|
| C | O | Na | Si | S | Cl | Ca | Mn | Fe | |
| Graphite flake (dark zone) | 12.55 | 24.76 | 0.65 | 1.92 | 0.34 | 0.23 | 0.81 | 0.36 | 58.39 |
| Metal base (gray zone) | 3.63 | - | - | 2.22 | - | - | - | - | 93.59 |
| Element (wt.%) | |||||||
|---|---|---|---|---|---|---|---|
| Sample | C | O | Na | S | Cl | K | Fe |
| Corrosion products | 4.60 | 27.00 | - | 0.24 | 3.06 | 0.56 | 65.10 |
| Rust converter | 64.63 | 33.76 | 0.69 | - | - | 0.09 | 0.82 |
| Time | Rs (Ω.cm2) | Ccp (F/cm2) | Rcp (Ω.cm2) | Cdl (F/cm2) | n | Rct (Ω.cm2) | Zw (S.s−5) | Chi2 | |
|---|---|---|---|---|---|---|---|---|---|
| Corrosion products | 0 | 37.06 | 1.67 × 10−2 | 4.91 | 0.196 | 0.48 | 22.31 | 6.33 × 10−3 | 2.50 × 10−4 |
| 6 | 35.42 | 1.01 × 10−2 | 2.11 | 0.129 | 0.48 | 8.14 | 6.38 × 10−3 | 1.54 × 10−4 | |
| 12 | 32.89 | 5.45 × 10−2 | 3.65 | 0.154 | 0.51 | 4.10 | 7.12 × 10−3 | 1.70 × 10−4 | |
| 24 | 31.23 | 6.37 × 10−3 | 1.76 | 0.130 | 0.52 | 5.65 | 7.45 × 10−3 | 1.11 × 10−5 | |
| 48 | 31.24 | 6.89 × 10−2 | 1.73 | 0.133 | 0.55 | 5.56 | 8.34 × 10−3 | 3.66 × 10−4 | |
| 72 | 30.68 | 1.63 × 10−2 | 3.88 | 0.146 | 0.55 | 3.29 | 8.72 × 10−3 | 8.69 × 10−4 | |
| Rust converter | 0 | 22.89 | 3.81 × 10−6 | 49.04 | 2.86 × 10−5 | 0.37 | 81.15 | 4.36 × 10−3 | 1.86 × 10−4 |
| 6 | 17.94 | 2.68 × 10−5 | 18.12 | 6.11 × 10−4 | 0.44 | 23.11 | 5.30 × 10−3 | 5.64 × 10−5 | |
| 12 | 15.78 | 1.42 × 10−4 | 1.35 | 1.28 × 10−3 | 0.44 | 12.14 | 5.72 × 10−3 | 9.71 × 10−5 | |
| 24 | 18.67 | 3.99 × 10−2 | 1.16 | 3.78 × 10−2 | 0.49 | 9.23 | 6.65 × 10−3 | 8.46 × 10−5 | |
| 48 | 17.58 | 2.88 × 10−2 | 1.49 | 0.121 | 0.55 | 7.98 | 6.78 × 10−3 | 8.34 × 10−5 | |
| 72 | 19.20 | 3.78 × 10−2 | 1.41 | 0.116 | 0.56 | 7.34 | 6.89 × 10−3 | 5.76 × 10−5 |
Disclaimer/Publisher’s Note: The statements, opinions and data contained in all publications are solely those of the individual author(s) and contributor(s) and not of MDPI and/or the editor(s). MDPI and/or the editor(s) disclaim responsibility for any injury to people or property resulting from any ideas, methods, instructions or products referred to in the content. |
© 2024 by the authors. Licensee MDPI, Basel, Switzerland. This article is an open access article distributed under the terms and conditions of the Creative Commons Attribution (CC BY) license (https://creativecommons.org/licenses/by/4.0/).
Share and Cite
Arceo-Gómez, D.E.; Reyes-Trujeque, J.; Balderas-Hernández, P.; Carmona-Hernández, A.; Espinoza-Vázquez, A.; Galván-Martínez, R.; Orozco-Cruz, R. Performance and Surface Modification of Cast Iron Corrosion Products by a Green Rust Converter (Mimosa tenuiflora Extract). Surfaces 2024, 7, 143-163. https://doi.org/10.3390/surfaces7010010
Arceo-Gómez DE, Reyes-Trujeque J, Balderas-Hernández P, Carmona-Hernández A, Espinoza-Vázquez A, Galván-Martínez R, Orozco-Cruz R. Performance and Surface Modification of Cast Iron Corrosion Products by a Green Rust Converter (Mimosa tenuiflora Extract). Surfaces. 2024; 7(1):143-163. https://doi.org/10.3390/surfaces7010010
Chicago/Turabian StyleArceo-Gómez, David Enrique, Javier Reyes-Trujeque, Patricia Balderas-Hernández, Andrés Carmona-Hernández, Araceli Espinoza-Vázquez, Ricardo Galván-Martínez, and Ricardo Orozco-Cruz. 2024. "Performance and Surface Modification of Cast Iron Corrosion Products by a Green Rust Converter (Mimosa tenuiflora Extract)" Surfaces 7, no. 1: 143-163. https://doi.org/10.3390/surfaces7010010
APA StyleArceo-Gómez, D. E., Reyes-Trujeque, J., Balderas-Hernández, P., Carmona-Hernández, A., Espinoza-Vázquez, A., Galván-Martínez, R., & Orozco-Cruz, R. (2024). Performance and Surface Modification of Cast Iron Corrosion Products by a Green Rust Converter (Mimosa tenuiflora Extract). Surfaces, 7(1), 143-163. https://doi.org/10.3390/surfaces7010010

