Thin Luminous Tracks of Particles Released from Electrodes with A Small Radius of Curvature in Pulsed Nanosecond Discharges in Air and Argon
Abstract
1. Introduction
2. Materials and Methods
3. Results
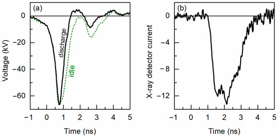
3.1. Measurement of Voltage, Discharge Current and X-ray Radiation
3.2. Radiation Characteristics of the Discharge Formed by Negative Voltage Pulses
3.3. Optical Parameters of Discharge Radiation Formed by Positive Voltage Pulses
4. Discussion
- TLTs are formed mainly from the part of the electrode surface with bright white spots appearing. The shape and number of the tracks vary from pulse to pulse and depend on the gas kind and pressure, as well as the voltage pulse amplitude.
- A decrease in the voltage pulse amplitude from the GIN-55-01 generator usually reduces the length of the TLTs, and their number. As the number of visible TLTs decreases with the gas pressure, while their apparent length shortens. At the pressure of 30 Torr, short TLTs were observed only at U0 = −18 kV. A decrease in the amplitude of the voltage pulse from the GIN-55-01 generator usually shortens the length of the TLTs and reduces their number. The number of visible TLTs also becomes smaller and their apparent length shortens at low gas pressure. At a pressure of 30 Torr and U0 = −18 kV, only short TLTs were observed.
- TLTs can change their direction of movement and to the opposite one.
- TLT can be connected to both high-voltage and grounded electrodes.
- Discharge constriction does not limit the appearance of TLTs.
5. Conclusions
Author Contributions
Funding
Data Availability Statement
Conflicts of Interest
References
- Tarasenko, V.F.; Baksht, E.K.; Burachenko, A.G.; Kostyrya, I.D.; Lomaev, M.I.; Rybka, D.V. Generation of supershort avalanche electron beams and formation of diffuse discharges in different gases at high pressure. Plasma Devices Oper. 2008, 16, 267–298. [Google Scholar] [CrossRef]
- Chng, T.L.; Brisset, A.; Jeanney, P.; Starikovskaia, S.M.; Adamovich, I.V.; Tardiveau, P. Electric field evolution in a diffuse ionization wave nanosecond pulse discharge in atmospheric pressure air. Plasma Sources Sci. Technol. 2019, 28, 9LT02. [Google Scholar] [CrossRef]
- Tarasenko, V.F. Runaway electrons in diffuse gas discharges. Plasma Sources Sci. Technol. 2020, 29, 34001. [Google Scholar] [CrossRef]
- Černák, M.; Hoder, T.; Bonaventura, Z. Streamer breakdown: Cathode spot formation, Trichel pulses and cathode-sheath instabilities. Plasma Sources Sci. Technol. 2019, 29, 13001. [Google Scholar] [CrossRef]
- Brisset, A.; Tardiveau, P.; Gazeli, K.; Bournonville, B.; Jeanney, P.; Ouaras, K.; Magne, L.; Pasquiers, S. Experimental study of the effect of water vapor on dynamics of a high electric field non-equilibrium diffuse discharge in air. J. Phys. D Appl. Phys. 2021, 54, 215204. [Google Scholar] [CrossRef]
- Huang, B.; Zhang, C.; Ren, C.; Shao, T. Guiding effect of runaway electrons in atmospheric pressure nanosecond pulsed discharge: Mode transition from diffuse discharge to streamer. Plasma Sources Sci. Technol. 2022, 31, 114002. [Google Scholar] [CrossRef]
- Erofeev, M.; Lomaev, M.; Ripenko, V.; Shulepov, M.; Sorokin, D.; Tarasenko, V. Generators of Atmospheric Pressure Diffuse Discharge Plasma and Their Use for Surface Modification. Plasma 2019, 2, 27–38. [Google Scholar] [CrossRef]
- Korolev, I.D.; Kuzmin, V.A.; Mesiats, G.A. Nanosecond Gas Discharge in an Inhomogeneous Field with Explosive Processes on the Electrodes. Sov. Phys. Technol. Phys. 1980, 25, 418–420. [Google Scholar]
- Kostyrya, I.D.; Tarasenko, V.F. Formation of a volume discharge in air at atmospheric pressure upon application of nanosecond high-voltage pulses. Russ. Phys. J. 2004, 47, 1314–1316. [Google Scholar] [CrossRef]
- Rep’ev, A.G.; Repin, P.B.; Pokrovskiĭ, V.S. Microstructure of the current channel of an atmospheric-pressure diffuse discharge in a rod-plane air gap. Technol. Phys. 2007, 52, 52–58. [Google Scholar] [CrossRef]
- Almazova, K.I.; Belonogov, A.N.; Borovkov, V.V.; Kurbanismailov, V.S.; Khalikova, Z.R.; Omarova, P.K.; Ragimkhanov, G.B.; Tereshonok, D.V.; Trenkin, A.A. Investigation of the microchannel structure in the initial phase of the discharge in air at atmospheric pressure in the “pin (anode)-plane” gap. Phys. Plasmas 2020, 27, 123507. [Google Scholar] [CrossRef]
- Almazova, K.I.; Belonogov, A.N.; Borovkov, V.V.; Khalikova, Z.R.; Ragimkhanov, G.B.; Tereshonok, D.; Trenkin, A. Investigation of plasma properties in the phase of the radial expansion of a spark channel in the ‘pin-to-plate’ geometry. Plasma Sources Sci. Technol. 2021, 30, 95020. [Google Scholar] [CrossRef]
- Almazova, K.I.; Belonogov, A.N.; Borovkov, V.V.; Kurbanismailov, V.S.; Ragimkhanov, G.B.; Tren’kin, A.A.; Tereshonok, D.V.; Khalikova, Z.R. Plasma and Gas-Dynamic Near-Electrode Processes in the Initial Phase of a Microstructured Spark Discharge in Air. Technol. Phys. Lett. 2020, 46, 737–740. [Google Scholar] [CrossRef]
- Parkevich, E.V.; Ivanenkov, G.V.; Medvedev, M.A.; Khirianova, A.I.; Selyukov, A.S.; Agafonov, A.V.; Mingaleev, A.R.; Shelkovenko, T.A.; Pikuz, S.A. Mechanisms responsible for the initiation of a fast breakdown in an atmospheric discharge. Plasma Sources Sci. Technol. 2018, 27, 11LT01. [Google Scholar] [CrossRef]
- Parkevich, E.; Medvedev, M.; Khirianova, A.; Ivanenkov, G.; Selyukov, A.; Agafonov, A.; Shpakov, K.V.; Oginov, A. Extremely fast formation of anode spots in an atmospheric discharge points to a fundamental ultrafast breakdown mechanism. Plasma Sources Sci. Technol. 2019, 28, 125007. [Google Scholar] [CrossRef]
- Smaznova, K.; Khirianova, A.; Parkevich, E.; Medvedev, M.; Varaksina, E.; Khirianov, T.; Oginov, A.; Selyukov, A. Precise optical registration of fine-structured electrical sparks and related challenges. Opt. Express 2021, 29, 35806–35819. [Google Scholar] [CrossRef]
- Tarasenko, V.F.; Lomaev, M.I.; Sorokin, D.A.; Kozyrev, A.V.; Baksht, E.K. Spark discharge formation in an inhomogeneous electric field under conditions of runaway electron generation. J. Appl. Phys. 2012, 111, 23304. [Google Scholar] [CrossRef]
- Van der Horst, R.M.; Verreycken, T.; van Veldhuizen, E.M.; Bruggeman, P.J. Time-resolved optical emission spectroscopy of nanosecond pulsed discharges in atmospheric-pressure N2 and N2/H2O mixtures. J. Phys. D Appl. Phys. 2012, 45, 345201. [Google Scholar] [CrossRef]
- Patel, K.; Saha, A.; Zhou, T.; Meyer, T.R.; Bane, S.; Satija, A. Spectrally filtered ps–ns emission dynamics of atmospheric-pressure nanosecond pulsed plasmas. Appl. Phys. Lett. 2022, 120, 14101. [Google Scholar] [CrossRef]
- Beilis, I. Plasma and Spot Phenomena in Electrical Arcs; Springer Series on Atomic, Optical and Plasma Physiscs; Springer: Cham, Switzerland, 2020; Volume 113, pp. 255–283. [Google Scholar] [CrossRef]
- Syrovatka, R.A.; Lipaev, A.M.; Naumkin, V.N.; Klumov, B.A. Plasma Crystal in (3 + 1) Dimensions. JETP Lett. 2022, 116, 834–869. [Google Scholar] [CrossRef]
- Tarasenko, V.; Vinogradov, N.; Beloplotov, D.; Burachenko, A.; Lomaev, M.; Sorokin, D. Influence of Nanoparticles and Metal Vapors on the Color of Laboratory and Atmospheric Discharges. Nanomaterials 2022, 12, 652. [Google Scholar] [CrossRef] [PubMed]
- Lomaev, M.; Tarasenko, V.; Shulepov, M.; Beloplotov, D.; Sorokin, D. Nano-and Microparticles of Carbon as a Tool for Determining the Uniformity of a Diffuse Discharge Exposure. Surfaces 2023, 6, 40–52. [Google Scholar] [CrossRef]
- Panchenko, A.N.; Beloplotov, D.V.; Kozevnikov, V.V.; Sorokin, D.A.; Tarasenko, V.F. Wide Emission Bands of Plasma of a Sub-Nanosecond Discharge in Xenon and Inaccuracies in Their Measurements. IEEE Trans. Plasma Sci. 2021, 49, 1614–1620. [Google Scholar] [CrossRef]
- Efanov, V.M.; Efanov, M.V.; Komashko, A.V.; Kriklenko, A.V.; Yarin, P.M.; Zazoulin, S.V. Ultra-Wideband, Short Pulse Electromagnetics; Springer: New York, NY, USA, 2010; pp. 301–305. [Google Scholar] [CrossRef]
- Chsherbakov, I.; Lozinskaya, A.; Mihaylov, T.; Novikov, V.; Shemeryankina, A.; Tolbanov, O.; Tyazhev, A.; Zarubin, A.; Beloplotov, D.; Tarasenko, V. Response of HR-GaAs:Cr sensors to subnanosecond X- and β-ray pulses. J. Instrum. 2019, 14, C12016. [Google Scholar] [CrossRef]
- Korolev, Y.D.; Mesyats, G.A. Field-Emission and Explosive Processes in Gas Discharges; Nauka: Novosibirsk, Russia, 1982; 255p. (In Russian) [Google Scholar]
- Tarasova, L.V.; Khudyakova, L.N.; Loiko, T.V.; Tsukerman, V.A. Fast Electrons and X-ray from Nanosecond Gas Discharges at Pressures 0.1–760 Torr. Sov. Phys. Technol. Phys. 1974, 19, 351–355. [Google Scholar]
- Babich, L.P. High-Energy Phenomena in Electric Discharges in Dense Gases: Theory, Experiment, and Natural Phenomena; ISTC Science and Technology Series; Futurepast Incorporated: Arlington, TX, USA, 2003; Volume 2, 358p. [Google Scholar]
- Beloplotov, D.V.; Genin, D.E.; Pechenitsin, D.S. The polarity effect of nanosecond voltage pulses on the propagation of streamers in a point-to-plane gap filled with air. Jpn. J. Appl. Phys. 2020, 59, SHHC06. [Google Scholar] [CrossRef]
- Tarasenko, V.F.; Beloplotov, D.V.; Lomaev, M.I. Colored Diffuse Mini Jets in Runaway Electrons Preionized Diffuse Discharges. IEEE Trans. Plasma Sci. 2016, 44, 386–392. [Google Scholar] [CrossRef]
- Beloplotov, D.V.; Lomaev, M.I.; Sorokin, D.A.; Tarasenko, V.F. Blue and green jets in laboratory discharges initiated by runaway electrons. J. Phys. Conf. Ser. 2015, 652, 012012. [Google Scholar] [CrossRef]
- Nefedtsev, E.V.; Onischenko, S.A. Position of erosion marks on the surface of single-crystal and coarse-grained cathodes after a short-pulse vacuum spark. In Proceedings of the 2020 29th International Symposium on Discharges and Electrical Insulation in Vacuum (ISDEIV), Padova, Italy, 26–30 September 2021; pp. 23–26. [Google Scholar] [CrossRef]
- Yakovlev, E.V.; Petrov, V.I.; Onischenko, S.A.; Nefedtsev, E.V. Short-pulse breakdown of near-cathode sheath in the presence of a local magnetic field. In Proceedings of the 2020 29th International Symposium on Discharges and Electrical Insulation in Vacuum (ISDEIV), Padova, Italy, 26–30 September 2021; pp. 81–84. [Google Scholar] [CrossRef]
- Korsbäck, A.; Djurabekova, F.; Wuensch, W. Statistics of vacuum electrical breakdown clustering and the induction of follow-up breakdowns. AIP Adv. 2022, 12, 115317. [Google Scholar] [CrossRef]
- Nefedtsev, E.V.; Onischenko, S.A. Modification of the Cathode Material around the Explosive Electron Emission Centers in the Spark Stage of Vacuum Breakdown. Technol. Phys. Lett. 2022, 48, 69–71. [Google Scholar] [CrossRef]








Disclaimer/Publisher’s Note: The statements, opinions and data contained in all publications are solely those of the individual author(s) and contributor(s) and not of MDPI and/or the editor(s). MDPI and/or the editor(s) disclaim responsibility for any injury to people or property resulting from any ideas, methods, instructions or products referred to in the content. |
© 2023 by the authors. Licensee MDPI, Basel, Switzerland. This article is an open access article distributed under the terms and conditions of the Creative Commons Attribution (CC BY) license (https://creativecommons.org/licenses/by/4.0/).
Share and Cite
Tarasenko, V.F.; Beloplotov, D.V.; Panchenko, A.N.; Sorokin, D.A. Thin Luminous Tracks of Particles Released from Electrodes with A Small Radius of Curvature in Pulsed Nanosecond Discharges in Air and Argon. Surfaces 2023, 6, 214-226. https://doi.org/10.3390/surfaces6020014
Tarasenko VF, Beloplotov DV, Panchenko AN, Sorokin DA. Thin Luminous Tracks of Particles Released from Electrodes with A Small Radius of Curvature in Pulsed Nanosecond Discharges in Air and Argon. Surfaces. 2023; 6(2):214-226. https://doi.org/10.3390/surfaces6020014
Chicago/Turabian StyleTarasenko, Victor F., Dmitry V. Beloplotov, Alexei N. Panchenko, and Dmitry A. Sorokin. 2023. "Thin Luminous Tracks of Particles Released from Electrodes with A Small Radius of Curvature in Pulsed Nanosecond Discharges in Air and Argon" Surfaces 6, no. 2: 214-226. https://doi.org/10.3390/surfaces6020014
APA StyleTarasenko, V. F., Beloplotov, D. V., Panchenko, A. N., & Sorokin, D. A. (2023). Thin Luminous Tracks of Particles Released from Electrodes with A Small Radius of Curvature in Pulsed Nanosecond Discharges in Air and Argon. Surfaces, 6(2), 214-226. https://doi.org/10.3390/surfaces6020014

