Temperature Effects in the Initial Stages of Heteroepitaxial Film Growth
Abstract
1. Introduction
2. Model and Methods
2.1. Deposition Model
2.2. Model Justification and Dimensionless Parameters
2.3. Basic Quantities
2.4. Simulation Parameters
- (a)
- ;
- (b)
- , .
3. Results
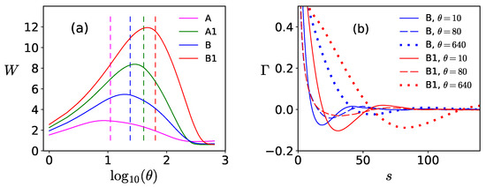
3.1. Growth with Negligible ES Barrier
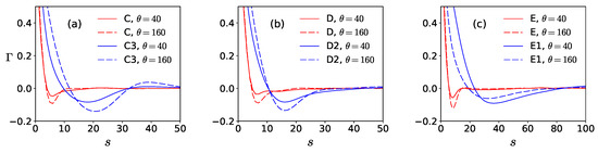
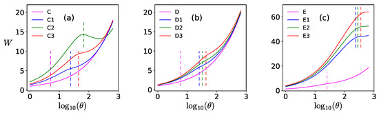
3.2. Growth with ES Barriers
4. Discussion
5. Conclusions
Author Contributions
Funding
Data Availability Statement
Conflicts of Interest
Abbreviations
| ES | Ehrlich-Schwöebel |
| NN | Nearest neighbor |
References
- Ohring, M. Materials Science of Thin Films—Deposition and Structure, 2nd ed.; Academic Press: New York, NY, USA, 2001. [Google Scholar]
- Michely, T.; Krug, J. Islands, Mounds, and Atoms; Springer: Berlin/Heidelberg, Germany, 2003. [Google Scholar]
- Pimpinelli, A.; Villain, J. Physics of Crystal Growth; Cambridge University Press: Cambridge, UK, 1998. [Google Scholar]
- Ratsch, C.; Venables, J.A. Nucleation theory and the early stages of thin film growth. J. Vacuum Sci. Technol. A 2003, 21, S96–S109. [Google Scholar] [CrossRef]
- Evans, J.W.; Thiel, P.A.; Bartelt, M.C. Morphological evolution during epitaxial thin film growth: Formation of 2D islands and 3D mounds. Surf. Sci. Rep. 2006, 61, 1–128. [Google Scholar] [CrossRef]
- Barabási, A.; Stanley, H.E. Fractal Concepts in Surface Growth; Cambridge University Press: New York, NY, USA, 1995. [Google Scholar]
- Krug, J. Origins of scale invariance in growth processes. Adv. Phys. 1997, 46, 139–282. [Google Scholar] [CrossRef]
- Schwöebel, R.L. Step motion on crystal surfaces II. J. Appl. Phys. 1969, 40, 614. [Google Scholar] [CrossRef]
- Kotrla, M.; Smilauer, P. Nonuniversality in models of epitaxial growth. Phys. Rev. B 1996, 53, 13777–13792. [Google Scholar] [CrossRef]
- Meng, B.; Weinberg, W.H. Dynamic Monte Carlo study of molecular beam epitaxial growth models: Interfacial scaling and morphology. Surf. Sci. 1996, 364, 151–163. [Google Scholar] [CrossRef]
- de Assis, T.A.; Aarão Reis, F.D.A. Dynamic scaling and temperature effects in thin film roughening. J. Stat. Mech. Theory Exp. 2015, 2015, P06023. [Google Scholar] [CrossRef][Green Version]
- Martynec, T.; Klapp, S.H.L. Modeling of nonequilibrium surface growth by a limited-mobility model with distributed diffusion length. Phys. Rev. E 2019, 100, 033307. [Google Scholar] [CrossRef]
- Elliot, W.C.; Miceli, P.F.; Tse, T.; Stephens, P.W. Temperature and orientation dependence of kinetic roughening during homoepitaxy: A quantitative X-ray-scattering study of Ag. Phys. Rev. B 1996, 54, 17938–17942. [Google Scholar] [CrossRef]
- Stoldt, C.R.; Caspersen, K.J.; Bartelt, M.C.; Jenks, C.J.; Evans, J.W.; Thiel, P.A. Using Temperature to Tune Film Roughness: Nonintuitive Behavior in a Simple System. Phys. Rev. Lett. 2000, 85, 800–803. [Google Scholar] [CrossRef]
- Costantini, G.; de Mongeot, F.B.; Boragno, C.; Valbusa, U. Temperature dependent reentrant smooth growth in Ag(001) homoepitaxy. Surf. Sci. 2000, 459, L487–L492. [Google Scholar] [CrossRef]
- Botez, C.E.; Miceli, P.F.; Stephens, P.W. Temperature dependence of surface roughening during homoepitaxial growth on Cu(001). Phys. Rev. B 2001, 64, 125427. [Google Scholar] [CrossRef]
- Caspersen, K.J.; Layson, A.R.; Stoldt, C.R.; Fournee, V.; Thiel, P.A.; Evans, J.W. Development and ordering of mounds during metal(100) homoepitaxy. Phys. Rev. B 2002, 65, 193407. [Google Scholar] [CrossRef]
- Leal, F.F.; Ferreira, S.C.; Ferreira, S.O. Modelling of epitaxial film growth with an Ehrlich-Schwöebel barrier dependent on the step height. J. Phys. Condens. Matter 2011, 23, 292201. [Google Scholar] [CrossRef]
- Leal, F.F.; Oliveira, T.J.; Ferreira, S.C. Kinetic modelling of epitaxial film growth with up- and downward step barriers. J. Stat. Mech. Theory Exp. 2011, 2011, P09018. [Google Scholar] [CrossRef][Green Version]
- Gedda, M.; Subbarao, N.V.V.; Goswami, D.K. Local Diffusion Induced Roughening in Cobalt Phthalocyanine Thin Film Growth. Langmuir 2014, 30, 8735–8740. [Google Scholar] [CrossRef]
- Parveen, S.; Obaidulla, S.M.; Giri, P. Growth kinetics of hybrid perovskite thin films on different substrates at elevated temperature and its direct correlation with the microstructure and optical properties. Appl. Surf. Sci. 2020, 530, 147224. [Google Scholar] [CrossRef]
- Almeida, R.A.L.; Ferreira, S.O.; Ribeiro, I.R.B.; Oliveira, T.J. Temperature effect on (2+1) experimental Kardar-Parisi-Zhang growth. Europhys. Lett. 2015, 109, 46003. [Google Scholar] [CrossRef]
- Warrender, J.M.; Aziz, M.J. Effect of deposition rate on morphology evolution of metal-on-insulator films grown by pulsed laser deposition. Phys. Rev. B 2007, 76, 045414. [Google Scholar] [CrossRef]
- Elofsson, V.; Lü, B.; Magnfält, D.; Münger, E.P.; Sarakinos, K. Unravelling the physical mechanisms that determine microstructural evolution of ultrathin Volmer-Weber films. J. Appl. Phys. 2014, 116, 044302. [Google Scholar] [CrossRef]
- Appy, D.; Lei, H.; Wang, C.Z.; Tringides, M.C.; Liu, D.J.; Evans, J.W.; Thiel, P.A. Transition metals on the (0001) surface of graphite: Fundamental aspects of adsorption, diffusion, and morphology. Prog. Surf. Sci. 2014, 89, 219–238. [Google Scholar] [CrossRef]
- Lü, B.; Almyras, G.A.; Gervilla, V.; Greene, J.E.; Sarakinos, K. Formation and morphological evolution of self-similar 3D nanostructures on weakly interacting substrates. Phys. Rev. Mater. 2018, 2, 063401. [Google Scholar] [CrossRef]
- Gervilla, V.; Almyras, G.A.; Thunström, F.; Greene, J.E.; Sarakinos, K. Dynamics of 3D-island growth on weakly-interacting substrates. Appl. Surf. Sci. 2019, 488, 383–390. [Google Scholar] [CrossRef]
- Gervilla, V.; Almyras, G.A.; Lu, B.; Sarakinos, K. Coalescence dynamics of 3D islands on weakly-interacting substrates. Sci. Rep. 2020, 10, 2031. [Google Scholar] [CrossRef]
- Empting, E.; Klopotek, M.; Hinderhofer, A.; Schreiber, F.; Oettel, M. Lattice gas study of thin-film growth scenarios and transitions between them: Role of substrate. Phys. Rev. E 2021, 103, 023302. [Google Scholar] [CrossRef]
- To, T.B.T.; Almeida, R.; Ferreira, S.O.; Aarão Reis, F.D.A. Roughness and correlations in the transition from island to film growth: Simulations and application to CdTe deposition. Appl. Surf. Sci. 2021, 560, 149946. [Google Scholar] [CrossRef]
- Bommel, S.; Kleppmann, N.; Weber, C.; Spranger, H.; Schäfer, P.; Novak, J.; Roth, S.V.; Schreiber, F.; Klapp, S.H.L.; Kowarik, S. Unravelling the multilayer growth of the fullerene C60 in real time. Nat. Commun. 2014, 5, 5388. [Google Scholar] [CrossRef]
- Kleppmann, N.; Klapp, S.H.L. Particle-resolved dynamics during multilayer growth of C60. Phys. Rev. B 2015, 91, 045436. [Google Scholar] [CrossRef]
- Liu, Y.; Zhou, T.; Sun, M.; Zhao, D.; Wei, Q.; Sun, Y.; Wang, R.; Jin, F.; Niu, Q.; Su, Z. Scaling behavior and morphology evolution of CH3NH3PbI3 perovskite thin films grown by thermal evaporation. Mater. Res. Express 2017, 4, 075510. [Google Scholar] [CrossRef]
- Yang, J.J.; Tang, J.; Liu, N.; Ma, F.; Tang, W.; Xu, K.W. Unstable kinetic roughening during the island coalescence stage of sputtered tantalum films. J. Appl. Phys. 2012, 111, 104303. [Google Scholar] [CrossRef]
- Lü, B.; Souqui, L.; Elofsson, V.; Sarakinos, K. Scaling of elongation transition thickness during thin-film growth on weakly-interacting substrates. Appl. Phys. Lett. 2017, 111, 084101. [Google Scholar] [CrossRef]
- Zhao, Y.; Wang, G.; Lu, T. Characterization of Amorphous and Crystalline Rough Surface: Principles and Applications; Academic Press: San Diego, CA, USA, 2001. [Google Scholar]
- To, T.B.T.; Aarão Reis, F.D.A. Domain formation in the deposition of thin films of two-component mixtures. J. Alloys Compd. 2020, 835, 155093. [Google Scholar] [CrossRef]
- Aarão Reis, F.D.A. Dynamic scaling in thin-film growth with irreversible step-edge attachment. Phys. Rev. E 2010, 81, 041605. [Google Scholar] [CrossRef] [PubMed]
- Jacobsen, J.; Jacobsen, K.W.; Stoltze, P.; Norskov, J.K. Island Shape-Induced Transition from 2D to 3D Growth for Pt/Pt(111). Phys. Rev. Lett. 1995, 74, 2295–2298. [Google Scholar] [CrossRef] [PubMed]
- Bartelt, M.C.; Evans, J.W. Temperature dependence of kinetic roughening during metal(100) homoepitaxy: Transition between ‘mounding’ and smooth growth. Surf. Sci. 1999, 423, 189–207. [Google Scholar] [CrossRef]
- Amar, J.G.; Family, F. Effects of crystalline microstructure on epitaxial growth. Phys. Rev. Lett. 1996, 54, 14742–14745. [Google Scholar] [CrossRef] [PubMed]
- Ratsch, C.; Smilauer, P.; Zangwill, A.; Vedensky, D.D. Submonolayer epitaxy without a critical nucleus. Surf. Sci. Lett. 1995, 329, L599–L604. [Google Scholar] [CrossRef][Green Version]
- Oliveira, T.J.; Aarão Reis, F.D.A. Scaling in reversible submonolayer deposition. Phys. Rev. B 2013, 87, 235430. [Google Scholar] [CrossRef]
- Kairaitis, G.; Galdikas, A. Modelling of Phase Structure and Surface Morphology Evolution during Compound Thin Film Deposition. Coatings 2020, 10, 1077. [Google Scholar] [CrossRef]
- de Assis, T.A.; Aarão Reis, F.D.A. Thin film deposition with time-varying temperature. J. Stat. Mech. Theory Exp. 2013, 2013, P10008. [Google Scholar] [CrossRef][Green Version]








| Set | (K) | (eV) | (eV) | (eV) | (eV) | |
|---|---|---|---|---|---|---|
| A → A1 | 0 | |||||
| B → B1 | 0 | |||||
| C → C1 | ||||||
| C → C2 | ||||||
| C → C3 | ||||||
| D → D1 | ||||||
| D → D2 | ||||||
| D → D3 | ||||||
| E → E1 | ||||||
| E → E2 | ||||||
| E → E3 |
| Set | P | |||
|---|---|---|---|---|
| A | 1 | |||
| A1 | 1 | |||
| B | 1 | |||
| B1 | 1 | |||
| C | ||||
| C1 | ||||
| C2 | ||||
| C3 | ||||
| C | ||||
| D | ||||
| D1 | ||||
| D2 | ||||
| D3 | ||||
| E | ||||
| E1 | ||||
| E2 | ||||
| E3 |
Publisher’s Note: MDPI stays neutral with regard to jurisdictional claims in published maps and institutional affiliations. |
© 2022 by the authors. Licensee MDPI, Basel, Switzerland. This article is an open access article distributed under the terms and conditions of the Creative Commons Attribution (CC BY) license (https://creativecommons.org/licenses/by/4.0/).
Share and Cite
To, T.B.T.; Aarão Reis, F.D.A. Temperature Effects in the Initial Stages of Heteroepitaxial Film Growth. Surfaces 2022, 5, 251-264. https://doi.org/10.3390/surfaces5020018
To TBT, Aarão Reis FDA. Temperature Effects in the Initial Stages of Heteroepitaxial Film Growth. Surfaces. 2022; 5(2):251-264. https://doi.org/10.3390/surfaces5020018
Chicago/Turabian StyleTo, Tung B. T., and Fábio D. A. Aarão Reis. 2022. "Temperature Effects in the Initial Stages of Heteroepitaxial Film Growth" Surfaces 5, no. 2: 251-264. https://doi.org/10.3390/surfaces5020018
APA StyleTo, T. B. T., & Aarão Reis, F. D. A. (2022). Temperature Effects in the Initial Stages of Heteroepitaxial Film Growth. Surfaces, 5(2), 251-264. https://doi.org/10.3390/surfaces5020018

