Three-Dimensional Modeling and AI-Assisted Contextual Narratives in Digital Heritage Education: Course for Enhancing Design Skill, Cultural Awareness, and User Experience
Abstract
1. Introduction
1.1. Research Background
1.2. Research Questions
1.3. Research Significances and Objectives
2. Relevant Theories
2.1. Theoretical Framework
2.1.1. Norman’s Three-Layer Interaction Model
2.1.2. Ryan’s Contextual Narrative Theory
2.1.3. Falk and Dierking’s Museum Experience Model of Learning
2.2. Limitations of Related Research
3. Methods
3.1. Design Heritage Selection: Ancient Chinese Carriage
3.2. Objective and Scope of Research Method
3.3. Literature Research and Modeling
3.4. Three-Dimensional Modeling and Solutions to Technical Difficulties
3.5. Narrative Interaction Design
3.6. Application of Theoretical Models and Association with Research Questions
3.6.1. Incorporating Norman’s Model
3.6.2. Incorporating Ryan’s Theory
3.6.3. Incorporating Falk and Dierking’s Museum Learning Experience Model
4. Experimental Research
4.1. Participants and Classroom Tasks
Participants
4.2. Specific Study Cases
4.3. Experimental Steps
4.4. Research Tools and Expert Roles
5. Results and Analysis
5.1. Statistical Tests: One-Way ANOVA Results and Analysis
5.1.1. Knowledge Acquisition Data Analysis
Results of Knowledge Acquisition and ANOVA Analysis
Hypothesis Testing
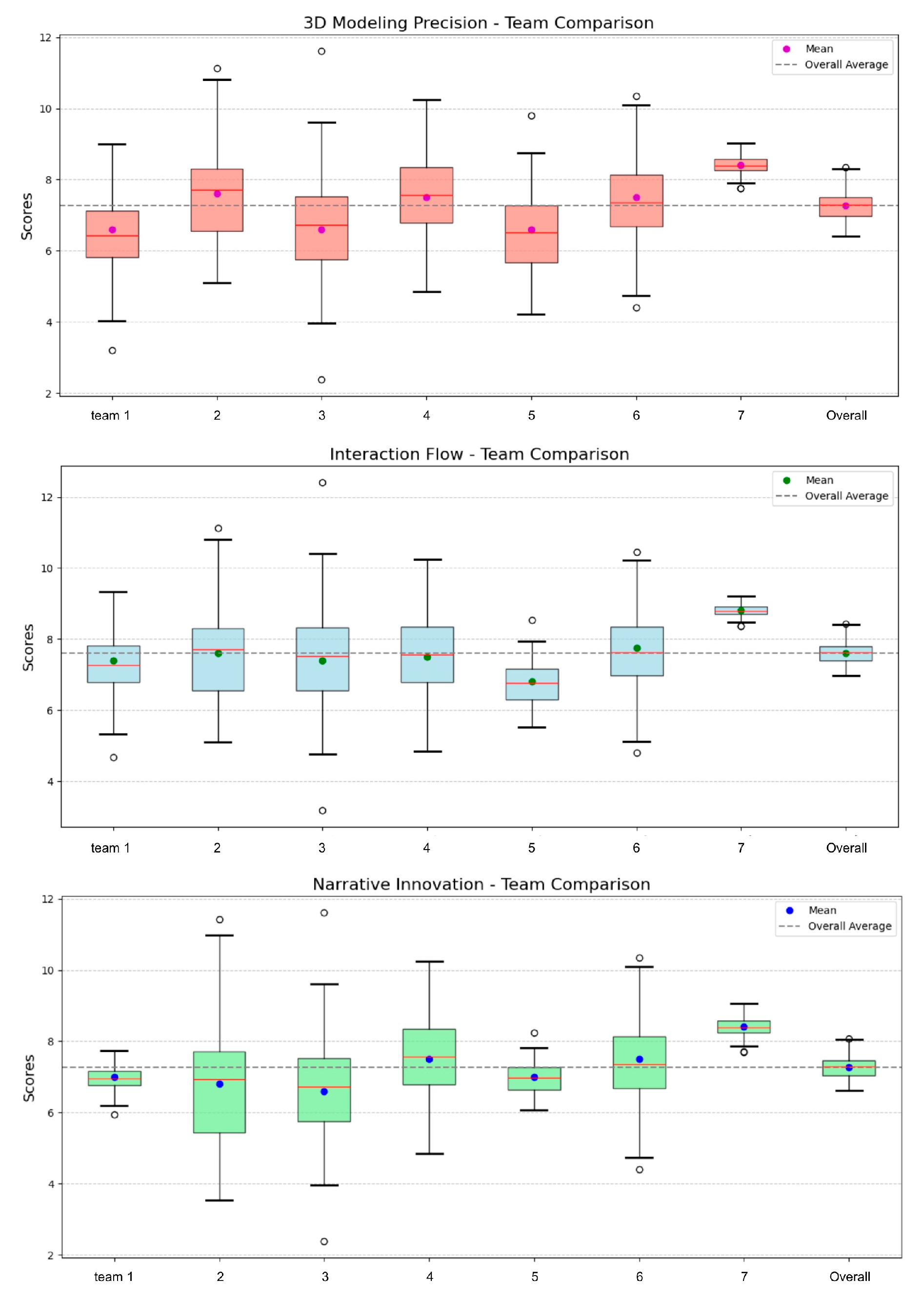
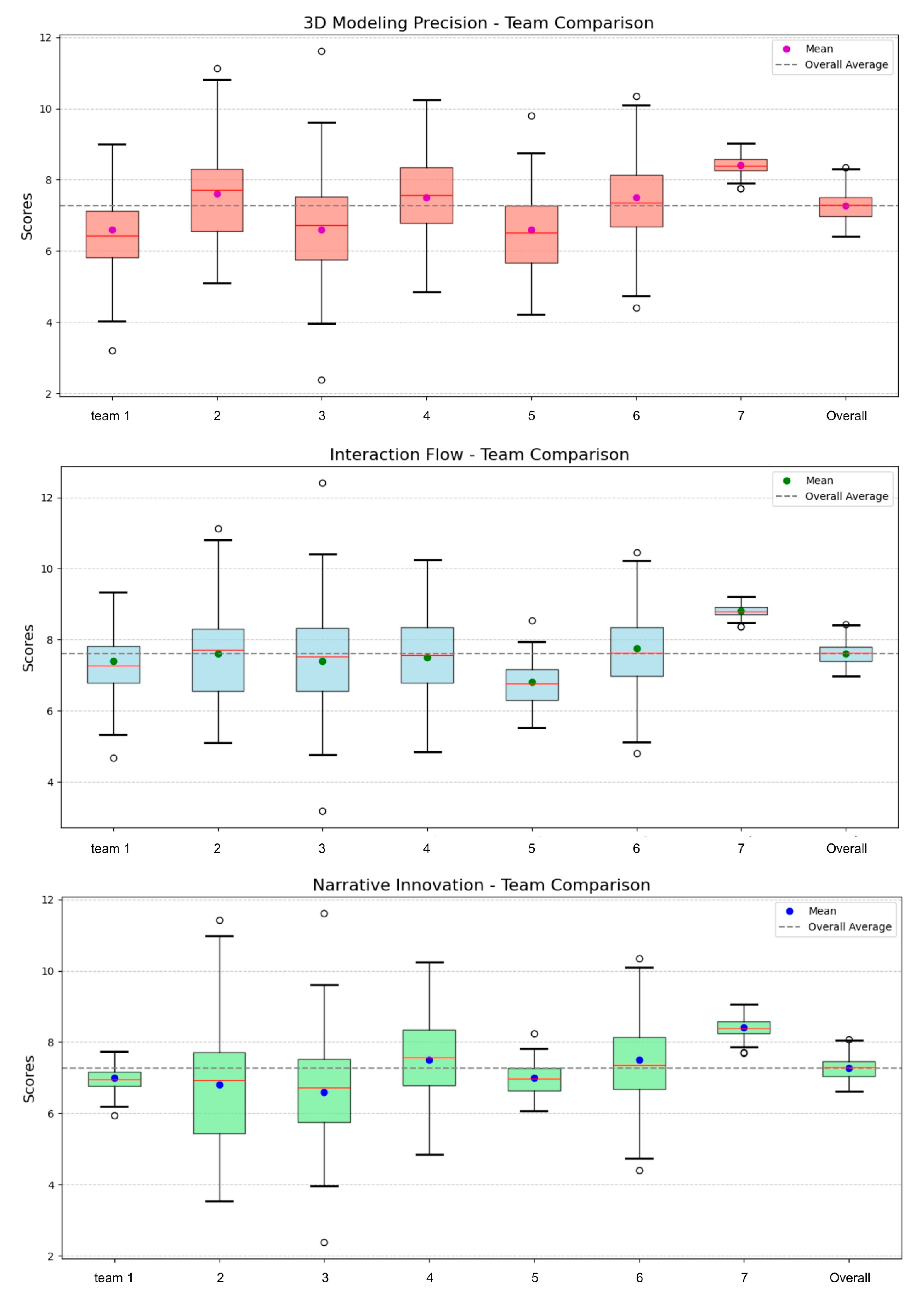
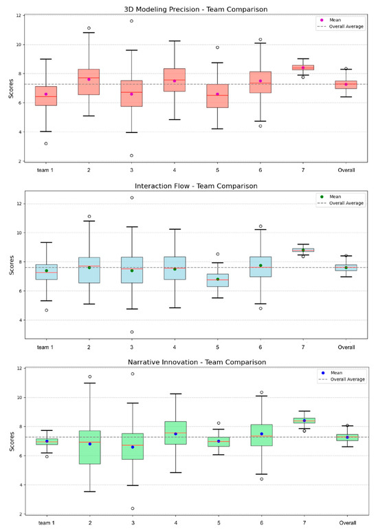
5.1.2. Technique Application Data Analysis
Dimension 1: 3D Modeling Accuracy
Dimension 2: Interaction Flow
Dimension 3: Narrative Innovation
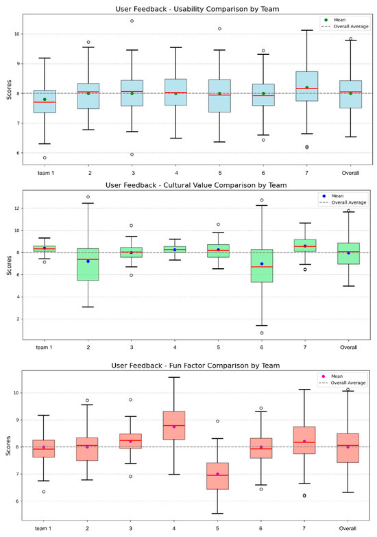
5.1.3. User Feedback Data Analysis
Dimension 1: Usability
Dimension 2: Culture Value
Dimension 3: Fun Factor
5.2. Semi-Structured Interviews and Qualitative Analysis
5.3. Summary of Experimental Research
6. Discussion and Limitations
6.1. Respond to Research Questions
6.2. The “Integration” of the Norman/Ryan/Falk and Dierking Model Forms a New Framework
6.3. Limitations and Future Directions
6.3.1. Technical Limitations and Difficulties in Replication
6.3.2. Possible Insufficient Sample Representation
6.3.3. Cultural Sensitivity and Adaptation
6.3.4. Educational Policies and Promotion Constraints
6.3.5. Insufficient Narrative Complexity
6.3.6. The Possibility of Expansion to People with Disabilities or Groups with Special Needs
7. Conclusions
Author Contributions
Funding
Data Availability Statement
Acknowledgments
Conflicts of Interest
Abbreviations
| AI | Artificial Intelligence |
| AIGC | Artificial Intelligence-Generated Content |
| 3D | Three-Dimensional |
| AR | Augmented Reality |
Appendix A
Appendix A.1. Test Questionnaire Summary Design
Appendix A.1.1. Background Information
- -
- A. 18–25- B. 26–35- C. 36–45- D. 46 and aboveYour educational background:
- -
- A. History/Culture Major- B. Art/Design- C. Engineering/Technology- D. Other majorsHow much do you know about pre-Qin culture (including ancient carriages)?
- -
- A. Not at all- B. Somewhat- C. Quite familiar- D. Very familiarDo you have any of the following related experiences? (Multiple choice)
- -
- A. used VR/AR technology- B. been exposed to digital displays of cultural heritage- C. Participated in interactive cultural and educational experiences- D. No relevant experience
Appendix A.1.2. Cultural Awareness (Test Questions)
- I.
- Single-Choice Questions
- 1.
- What type of axle-wheel connection was usually used in the carriages of the pre-Qin period?
A. Single pivot. B. Double-pivot connection. C. Iron pin fixing. D. Wooden wedge fixing.- 2.
- Typical proportions of pre-Qin chariot carriages were designed primarily to meet what need?
A. Beauty. B. To increase load-carrying performance. C. To achieve high-speed maneuverability. D. To expand crew capacity.- 3.
- Which of the following was not a primary function of the chariots in tactical applications?
A. Charging from a position. B. Covering infantry. C. Commanding and ordering. D. Long-range firing.- 4.
- Which of the following standard designs was usually used for the number of spokes in the wheels of ancient chariots?
A. Odd distribution. B. Even distribution. C. Adjusted according to the weight of the carriage. D. Any choice.- 5.
- In the ceremonial application of the ancient carriage, which element best reflects status and position?
A. Wheel diameter. B. Carriage decoration. C. Axle length. D. Number of horses.- 6.
- Which of the following was the main function of the yamen in ancient Chinese carriages?
A. A base to support the carriage. B. A traction part to connect the animals. C. An axle to fix the wheels. D. A decorative part.- 7.
- What was the main purpose of the “covered wagon” in the Han Dynasty?
- 8.
- A. War Charge. B. Imperial Ceremony. C. Civilian Transport. D. Noble Women’s Traveling.
In 3D modeling, what is the main function of “UV expansion”?A. Optimizing the number of model faces. B. Adding bone bindings to the model. C. Assigning texture map coordinates to the model. D. Generating animation keyframes for the model.- 9.
- Which of the following is the principle of “player autonomy” in narrative interaction design?
A. Linear plot forced advancement. B. User choice affects story ending. C. Fixed viewpoint restricts operation. D. Preset dialogue text without branching.- 10.
- What is the core difference between “immersion” and “immersion” in narrative interaction design?
- II.
- Multiple Choice Questions
- 11.
- The following descriptions are correct in the traction system of the pre-Qin ancient carts:
A. Two horses were mainly used to drive together. B. The combination of leather and metal enhanced traction performance. C. The traction bar was fixed directly to the axle. D. The number of horses could be increased for high-level carriages.- 12.
- Which of the following features characterized the design of the wheels of pre-Qin chariots:
A. Large shape. B. The spokes were mostly even to ensure symmetrical balance. C. The outer rim was usually wrapped in iron to increase durability. D. The height of the wheels was fixed in proportion to the size of the wagon.- 13.
- Which of the following descriptions of the restoration process of pre-Qin ancient chariots is correct?
A. Repair the carriages first. B. Damaged axles can be reinforced with metal hoops. C. Restoration of carriages is usually carried out by specialized personnel. D. Restored carriages could no longer be used in battle.- 14.
- The social and cultural characteristics embodied in the design of ancient carriages in the Tang Dynasty include the following:
A. Western elements brought by the Silk Road. B. Literati aesthetics under the imperial examination system. C. Decorative patterns influenced by the spread of Buddhism. D. Simple style under the policy of emphasizing agriculture and suppressing commerce- 15.
- Which of the following 3D modeling methods is the most suitable for restoring the complex decorations of bronze carriages and horses?
A. Polygonal modeling. B. Surface modeling. C. Carving modeling. D. Parametric modeling.Cultural Functions- 16.
- The improvement of the design of the “Peaceful Chariot” in the Song Dynasty mainly reflected the needs of which area at that time?
A. Military expeditions. B. Commercial transport efficiency. C. Court rituals. D. Literary pleasure.Theoretical Analysis
- III.
- Fill-in-the-blank
- 17.
- In relation to the functions of axles, compartments, and traction systems, analyze the different applications of pre-Qin ancient carriages in military and ceremonial contexts and their design logic.
Answer: The pre-Qin ancient carriages were mainly used for tactical applications in the military, designed to highlight the high-speed mobility and the flexible connection of axles, with limited compartments to adapt to rapid combat scenarios; the traction system usually used to two horses drive together to ensure speed. On ceremonial occasions, the ancient car was more decorative and symbolic, the carriages were elaborately decorated and made of sophisticated materials, and the number of horses in traction and decorative elements directly reflected the identity and status of the rider.- 18.
- Please explain how the ancient carriage culture reflected the combination of culture and technology in historical warfare through their structural design.
Answer: The structural design of carriage integrated the technology and culture of the time. The wedge-shaped connection between the axle and the wheels ensured flexibility on the battlefield, while the symmetrical distribution of the spokes of the wheels reflected the principle of mechanical equilibrium; the proportional design of the compartments not only optimized the space for carrying people but also demonstrated the hierarchical sense of the culture through the decorations. These designs show that the chariot is not only a military tool, but also a cultural symbol, behind which there is a fusion of craftsmanship, military needs, and social values.- 19.
- From the perspective of narrative interaction design theory, tell us how to make users understand the cultural connotation of “Han Dynasty’s carriage hierarchy” through the interface interaction design of the 3D system of ancient carriages. Further inquiry depends on the answers.
Appendix A.1.3. Skills Application Dimension Assessment Tool (Quantitative Rating Scale for Works, 6 Core Indicators)
| Assessment Dimension | Segmentation Indicators | Scoring Criteria (1–5 Points) | Purpose of Data |
| 3D modeling accuracy | Proportion of parts, degree of reproduction, degree of finish | 1 = serious deviation from historical sources; 3 = basically consistent with the documentary record; 5 = highly accurate restoration of archaeological objects | Calculation of M-values, s-values, one-way ANOVA |
| Material texture fidelity | Rendering finish, degree of harmonization with the environment | 1 = material confusion (e.g., wooden parts mistakenly textured with metal); 3 = basic material differentiation; 5 = texture details fitting historical craftsmanship | |
| Interactive logic fluency | Interaction design | 1 = single operation; 3 = routine operation; 5 = rich operation | |
| Scene interaction design | Naturalness of scene switching | 1 = scene breaks or loading errors; 3 = smooth transitions; 5 = natural articulation through narrative logic (e.g., dynastic change triggers scene switching) | |
| Innovative narrative design | Novelty of historical and cultural integration | 1 = simple text stacking; 3 = story line combined with ancient carriage features; 5 = revealing cultural metaphors through interactive plots | |
| User immersion | User immersion creation | 1 = no guiding cues; 3 = basic interaction feedback; 5 = multi-sensory stimulation (sound effects, visual narrative with manipulation feedback) |
Appendix A.2. Design Notes
- -
- Knowledge acquisition, skill application, and user experience dimensions are scored using a 5-point Likert scale/numerical scoring, directly generating M-values and s-values, and supporting one-way ANOVA (control group or pre-test data need to be set up);
- -
- Open-ended questions are thematically coded through software such as NVivo to extract high-frequency keywords (e.g., “cultural relevance”, “technical difficulties”).
Appendix B
Appendix B.1. Semi-Structured Interview
Appendix B.1.1. Self-Assessment and Team Evaluation (Semi-Structured Interview Outline)
- (i)
- Student self-reflection (interview questions)
- In the course, the most core 3D modeling skill you have acquired is ______, how has it enhanced the quality of your work?
- In teamwork, the main role you assumed is ______. What do you think are your strengths and weaknesses in the division of labor?
- From the perspective of knowledge application, how well do you think the theoretical course content matches the production of your work? Which parts need to be optimized?
- (ii)
- Team mutual evaluation (interview questions)
- Who do you think has contributed the most to the “Historical and Cultural Research” part of the team? Who do you think has contributed the most to the “Historical and Cultural Research” section?
- Was there any confusion in the division of labor? How was this resolved?
- Describe your overall feelings about teamwork in three key words and explain why: ______, ______, ______.
Appendix B.1.2. External Assessment (3-Week Sustained Effect Semi-Structured Interview Outline)
- A.
- Background questions:
- How much do you know about the history?
- Have you previously experienced narrative interactions or other interactive historical and cultural experiences?
- What history- and culture-related activities do you engage in in your daily life, such as visiting museums or playing history-based games?
- B.
- About narrative and character interaction:
- 4.
- During this experience, did you find the storyline easy to understand?
- 5.
- Did you feel the importance of your role in the story?
- 6.
- What kind of character interaction did you prefer as the story progressed?
- 7.
- Were your decisions in the story willing to influence the direction of the plot? Were you satisfied with this?
- 8.
- Which parts of the story did you find emotionally resonant? Was it the use of the ancient chariots, the character interactions, or the historical context?
- C.
- The interactive experience about the ancient chariot:
- 9.
- Do you feel that the experience of the ancient chariots needed to be realistic? Is it possible to feel the difference in how the ancient chariot traveled on different terrains?
- 10.
- Do you think it is important to give the user the opportunity to design the handling of the chariot? If it has to be included, what are your reasons?
- 11.
- When using the chariot in battle, do you feel that the operation is simple and clear? Did it feel tense and strategic?
- 12.
- How do you feel about the design details of the carriage? Do the details of the wheels, axles, and other parts of the chariot arouse your interest?
- D.
- About the interaction between scenes and props.
- 13.
- Do you think the virtual scene design is immersive enough? Did it make you feel the historical atmosphere of the time?
- 14.
- During the interaction, were you able to understand the historical background and use of the ancient carriage by looking at the details in the virtual environment?
- 15.
- Do you think there are other elements related to the antique car that you would like to be able to interact with or explore?
- E.
- Regarding the narrative line and decision-making:
- 16.
- During the experience, do you feel that you acted instinctively or thoughtfully?
- 17.
- Which narrative structure do you prefer? Is it a linear plot progression or a branching, multiple ending story experience?
- 18.
- Did you feel confused or uncertain when choosing between different strategies? Is there a desire for more feedback to help with decision-making?
- F.
- About emotion and immersion:
- 19.
- Did you feel immersed during the experience, as if you were in real history?
- 20.
- Did your interactions with the virtual characters give you an emotional connection? If so, which interactions made you feel most immersed?
- G.
- Regarding user feedback:
- 21.
- What form of feedback would you like to receive during this interaction? Was it immediate visual feedback or feedback through the development of the storyline?
- 22.
- Would you have liked to experience a more complex mode of interaction, or did you feel that the current pace of the narrative was more appropriate?
- 23.
- Do you feel a strong emotional connection to the historical setting or virtual character? Is there anything that would enhance that feeling?
- H.
- Summary questions:
- 24.
- If you were asked to suggest improvements to the experience, what do you think needs to be optimized the most?
- 25.
- Overall, do you think this experience enhanced your understanding of ancient carriages?
- 26.
- Do you think this type of immersive historical experience contributes to a better communication and understanding of history and culture?
- 27.
- Would you like to experience a similar virtual reality historical and cultural programmed again? Why?
Appendix B.2. Design Notes
- -
- Semi-structured interviews retain room for follow-up questions (e.g., “Can you give me an example?”) to ensure team collaboration and long-term user experience. The semi-structured interviews retain room for follow-up questions (e.g., “Can you explain?”), ensuring the richness of subjective evaluations such as teamwork and long-term user experience.
- -
- External assessments are set at 3-week intervals, focusing on “learning transfer” (e.g., active exploration of cultural knowledge) to avoid immediate feedback bias.
Appendix C
Appendix C.1. Data Protection Statement (Required at the Beginning of the Questionnaire/Interview)
- -
- All information is anonymized and processed for academic analysis only, with no personal identifiers involved;
- -
- Data is stored in a password-encrypted OneDrive folder with access restricted to the research team;
- -
- Data destruction will be carried out as agreed in the participant consent form and the researcher can be contacted at any time if data withdrawal is required.
Appendix C.2. Ethical Compliance
Appendix D




| 1 | The titles of these literary works were translated from Chinese into English. |
| 2 | The titles of these literary works were translated from Chinese into English. |
| 3 | The titles of these literary works were translated from Chinese into English. |
| 4 | The titles of these literary works were translated from Chinese into English. |
| 5 | The titles of these literary works were translated from Chinese into English. |
| 6 | The titles of these literary works were translated from Chinese into English. |
| 7 | The titles of these literary works were translated from Chinese into English. |
| 8 | The titles of these literary works were translated from Chinese into English. |
| 9 | The titles of these literary works were translated from Chinese into English. |
References
- Benardou, A.; Champion, E.; Dallas, C.; Hughes, L.M. (Eds.) Cultural Heritage Infrastructures in Digital Humanities, 1st ed.; Routledge: Abingdon, UK, 2017. [Google Scholar] [CrossRef]
- Windhager, F.; Federico, P.; Schreder, G.; Glinka, K.; Dork, M.; Miksch, S.; Mayr, E. Visualization of Cultural Heritage Collection Data: State of the Art and Future Challenges. IEEE Trans. Vis. Comput. Graph. 2019, 25, 2311–2330. [Google Scholar] [CrossRef] [PubMed]
- Eve, S. Augmenting Phenomenology: Using Augmented Reality to Aid Archaeological Phenomenology in the Landscape. J. Archaeol. Method Theory 2012, 19, 582–600. [Google Scholar] [CrossRef]
- Sylaiou, S.; Mania, K.; Karoulis, A.; White, M. Exploring the relationship between presence and enjoyment in a virtual museum. Int. J. Hum.-Comput. Stud. 2010, 68, 243–253. [Google Scholar] [CrossRef]
- Daniela, L. Virtual Museums as Learning Agents. Sustainability 2020, 12, 2698. [Google Scholar] [CrossRef]
- Loaiza Carvajal, D.A.; Morita, M.M.; Bilmes, G.M. Virtual museums. Captured reality and 3D modeling. J. Cult. Herit. 2020, 45, 234–239. [Google Scholar] [CrossRef]
- Sylaiou, S.; Kasapakis, V.; Gavalas, D.; Dzardanova, E. Avatars as storytellers: Affective narratives in virtual museums. Pers. Ubiquitous Comput. 2020, 24, 829–841. [Google Scholar] [CrossRef]
- Roussou, M.; Kavalieratou, E.; Doulgeridis, M. Children designers in the museum: Applying participatory design for the development of an art education program. In Proceedings of the 6th International Conference on Interaction Design and Children, Aalborg, Denmark, 6–8 June 2007; ACM: New York, NY, USA, 2007; pp. 77–80. [Google Scholar] [CrossRef]
- Champion, E.M. (Ed.) Virtual Heritage: A Concise Guide; Ubiquity Press: London, UK, 2021. [Google Scholar] [CrossRef]
- Majda, A.; Zalewska-Puchała, J.; Bodys-Cupak, I.; Kurowska, A.; Barzykowski, K. Evaluating the Effectiveness of Cultural Education Training: Cultural Competence and Cultural Intelligence Development among Nursing Students. Int. J. Environ. Res. Public Health 2021, 18, 4002. [Google Scholar] [CrossRef] [PubMed]
- Ott, M.; Pozzi, F. ICT and Cultural Heritage Education: Which Added Value? In Emerging Technologies and Information Systems for the Knowledge Society; Lytras, M.D., Carroll, J.M., Damiani, E., Tennyson, R.D., Eds.; Springer: Berlin/Heidelberg, Germany, 2008; Volume 5288, pp. 131–138. [Google Scholar] [CrossRef]
- Mayer, R.E. Where is the learning in mobile technologies for learning? Contemp. Educ. Psychol. 2020, 60, 101824. [Google Scholar] [CrossRef]
- Sweller, J. Cognitive load theory and educational technology. Educ. Technol. Res. Dev. 2020, 68, 1–16. [Google Scholar] [CrossRef]
- Parry, R. Recoding the Museum: Digital Heritage and the Technologies of Change; Routledge: Abingdon, UK, 2007. [Google Scholar] [CrossRef]
- Tan, L. The participatory museum. Mus. Manag. Curatorship 2012, 27, 197–201. [Google Scholar] [CrossRef]
- Bec, A.; Moyle, B.; Timms, K.; Schaffer, V.; Skavronskaya, L.; Little, C. Management of immersive heritage tourism experiences: A conceptual model. Tour. Manag. 2019, 72, 117–120. [Google Scholar] [CrossRef]
- Rahimi, F.B.; Boyd, J.E.; Levy, R.M.; Eiserman, J. New Media and Space: An Empirical Study of Learning and Enjoyment Through Museum Hybrid Space. IEEE Trans. Vis. Comput. Graph. 2022, 28, 3013–3021. [Google Scholar] [CrossRef] [PubMed]
- Dede, C. Immersive Interfaces for Engagement and Learning. Science 2009, 323, 66–69. [Google Scholar] [CrossRef] [PubMed]
- Muller, M.J.; Kuhn, S. Participatory design. Commun. ACM 1993, 36, 24–28. [Google Scholar] [CrossRef]
- Ryan, M.-L. Narrative as Virtual Reality: Immersion and Interactivity in Literature and Electronic Media; Hopkins University Press: Baltimore, MD, USA, 2010. [Google Scholar]
- Norman, D.A. Emotional design. Ubiquity 2004, 2004, 1. [Google Scholar] [CrossRef]
- Falk, J.H.; Dierking, L.D. The Museum Experience Revisited; Routledge: New York, NY, USA, 2016. [Google Scholar] [CrossRef]
- Haugstvedt, A.-C.; Krogstie, J. Mobile augmented reality for cultural heritage: A technology acceptance study. In Proceedings of the 2012 IEEE International Symposium on Mixed and Augmented Reality (ISMAR), Atlanta, GA, USA, 5–8 November 2012; IEEE: New York, NY, USA, 2012; pp. 247–255. [Google Scholar] [CrossRef]
- Yu, Y.; Phillips, M. IMARISS: Story Creation Tools—Inspiration Mobile Augmented Reality Interactive Story System. In Design, User Experience, and Usability; Marcus, A., Rosenzweig, E., Soares, M.M., Eds.; Lecture Notes in Computer Science; Springer Nature: Cham, Switzerland, 2024; Volume 14715, pp. 98–117. [Google Scholar] [CrossRef]
- Zhou, W.; Hu, X.; Que, Y.; Wei, W. Immersive Interface Design for Cultural Heritage Learning Experience: An Exploration with Multimodal Learning Analytics. In Proceedings of the 2024 IEEE International Conference on Advanced Learning Technologies (ICALT), Nicosia, North Cyprus, Cyprus, 1–4 July 2024; IEEE: New York, NY, USA, 2024; pp. 269–271. [Google Scholar] [CrossRef]
- Ranieri, M.; Raffaghelli, J.E.; Bruni, I. Game-based student response system: Revisiting its potentials and criticalities in large-size classes. Act. Learn. High. Educ. 2021, 22, 129–142. [Google Scholar] [CrossRef]
- Sun, M.Y. Ancient Transportation Methods Demonstrated the Remarkable Creativity of the Chinese People. Pop. Sci. 2024, Z1, 52–55. [Google Scholar]
- Major, J.S.; Cook, C.A. Ancient China; Routledge: London, UK, 2016. [Google Scholar] [CrossRef]
- Hu, W.F.; Zhao, J.H. Analysis of the Functional Characteristics of Ancient Chinese Vehicles. Decorate 2008, 4, 30–33. [Google Scholar] [CrossRef]
- Novozhenov, V. Chariots on the Central Asian Rocks: The Dating Problem. In Chariots in Antiquity. Essays in Honour of Joost Crouwel; Raulwing, P., Burmeister, S., Brownrigg, G., Linduff, K.M., Eds.; BAR International Series 31597; BAR Publishing: Oxford, UK, 2023; pp. 179–199. ISBN 978-1-4073-6117-8/978-1-4073-6118-5. Available online: https://www.academia.edu/115372717/Chariots_on_the_Central_Asian_Rocks_The_Dating_Problem_In_Chariots_in_Antiquity_Essays_in_Honour_of_Joost_Crouwel_Ed_by_Peter_Raulwing_Stefan_Burmeister_Gail_Brownrigg_and_Katheryn_M_Linduff_BAR_international_series_31597_Oxford_BAR_Publishing_2023_pp_179_199 (accessed on 9 December 2024).
- Yates, F.A. Classical Philology. In The Art of Memory; Routledge: Abingdon, UK, 2000; Volume 63, Available online: https://www.journals.uchicago.edu/doi/abs/10.1086/365425 (accessed on 9 December 2024).
- Artisans in Early Imperial China|Semantic Scholar. Available online: https://www.semanticscholar.org/paper/Artisans-in-Early-Imperial-China-Barbieri-Low/c1713c33965c14770400cab275c2705d2b0f3f14 (accessed on 9 December 2024).
- Slater, M.; Sanchez-Vives, M.V. Enhancing Our Lives with Immersive Virtual Reality. Front. Robot. AI 2016, 3, 74. [Google Scholar] [CrossRef]
- Dave, B. Virtual Heritage: Mediating space, time and perspectives. In New Heritage; Routledge: London, UK, 2007; pp. 56–68. [Google Scholar] [CrossRef]
- Allison, J. History educators and the challenge of immersive pasts: A critical review of virtual reality ‘tools’ and history pedagogy. Learn. Media Technol. 2008, 33, 343–352. [Google Scholar] [CrossRef]
- Liu, Y.H. Preface to “Ancient Chinese Vehicles, Rugs and Horse Equipment”. Drama 2000, 4, 44–48. [Google Scholar] [CrossRef]
- Dell’Unto, N. The Use of 3D Models for Intra-Site Investigation in Archaeology; Archaeopress: Oxford, UK, 2014; Volume 2598. [Google Scholar]
- Kersten, T.P.; Tschirschwitz, F.; Deggim, S.; Lindstaedt, M. Virtual Reality for Cultural Heritage Monuments-From 3D Data Recording to Immersive Visualisation. In Digital Heritage. Progress in Cultural Heritage: Documentation, Preservation, and Protection; Ioannides, M., Fink, E., Brumana, R., Patias, P., Doulamis, A., Martins, J., Wallace, M., Eds.; Springer International Publishing: Cham, Switzerland, 2018; Volume 11197, pp. 74–83. [Google Scholar] [CrossRef]
- Dewey, J. How We Think; D C Heath: Lexington, MA, USA, 1910. [Google Scholar] [CrossRef]
- Hill, J.; West, H. Improving the student learning experience through dialogic feed-forward assessment. Assess. Eval. High. Educ. 2020, 45, 82–97. [Google Scholar] [CrossRef]
- Li, Y.; Huang, J.; Tian, F.; Wang, H.-A.; Dai, G.-Z. Gesture interaction in virtual reality. Virtual Real. Intell. Hardw. 2019, 1, 84–112. [Google Scholar] [CrossRef]
- Gavgiotaki, D.; Ntoa, S.; Margetis, G.; Apostolakis, K.C.; Stephanidis, C. Gesture-based Interaction for AR Systems: A Short Review. In Proceedings of the 16th International Conference on PErvasive Technologies Related to Assistive Environments, Corfu, Greece, 5–7 July 2023; ACM: New York, NY, USA, 2023; pp. 284–292. [Google Scholar] [CrossRef]
- Li, X.; Yin, K.; Shan, Y.; Wang, X.; Geng, W. Effects of User Interface Orientation on Sense of Immersion in Augmented Reality. Int. J. Hum.–Comput. Interact. 2024, 41, 4685–4699. [Google Scholar] [CrossRef]
- Malegiannaki, I.A.; Daradoumis, T.; Retalis, S. Teaching Cultural Heritage through a Narrative-based Game. J. Comput. Cult. Herit. 2020, 13, 1–28. [Google Scholar] [CrossRef]
- Wong, K.M. A design framework for enhancing engagement in student-centered learning: Own it, learn it, and share it’ by Lee and Hannafin (2016): An international perspective. Educ. Technol. Res. Dev. 2021, 69, 93–96. [Google Scholar] [CrossRef] [PubMed]
- Economou, M. Heritage in the Digital Age. In A Companion to Heritage Studies, 1st ed.; Logan, W., Craith, M.N., Kockel, U., Eds.; Wiley: Hoboken, NJ, USA, 2015; pp. 215–228. [Google Scholar] [CrossRef]
- Bandura, A. Social Foundations of Thought and Action. In The Health Psychology Reader; SAGE Publications Ltd.: London, UK, 2002; pp. 94–106. [Google Scholar] [CrossRef]












| Descriptive Information | |
|---|---|
| Age | 20–30 |
| Gender | 17 males, 16 females |
| Occupation | All “postgraduate students researching ancient Chinese carriages—design major students” |
| Understanding of ancient Chinese carriages’ history Understanding of 3D modeling | Rich (6), relative (4), average (8), none (15) All 33 design student have learned 3D modeling technique. |
| Team (n) | Score Mean | Variance of Scores-s2 |
|---|---|---|
| 1 (5) | 89.6 | 1.84 |
| 2 (5) | 89.8 | 2.56 |
| 3 (5) | 89.6 | 1.84 |
| 4 (4) | 91 | 2.5 |
| 5 (5) | 86.6 | 1.04 |
| 6 (4) | 86.5 | 1.25 |
| 7 (5) | 94 | 4.4 |
| overall | 89.59 | (Ave. between-group) 2.33 |
| (Ave. within-group) 2.08 |
| Source of Variation | SS (Sum of Squares) | Df (Degrees of Freedom) | MS | F-Value | p-Value |
|---|---|---|---|---|---|
| Between-group variation | 12.56 | 6 | 2.23 | 1.07 | 0.39 |
| Within-group variation | 54.08 | 26 | 2.08 | ||
| Total variation | 66.64 | 32 |
| Team (n) | 3D Modeling Precision | Interaction Flow | Narrative Innovation |
|---|---|---|---|
| 1 (5) | M = 6.6; s2 = 1.3 | M = 7.4; s2 = 1.04 | M = 7; s2 = 0.4 |
| 2 (5) | M = 7.6; s2 = 1.3 | M = 7.6; s2 = 1.3 | M = 6.8; s2 = 1.7 |
| 3 (5) | M = 6.6; s2 = 1.3 | M = 7.4; s2 = 1.3 | M = 6.6; s2 = 1.3 |
| 4 (4) | M = 7.5; s2 = 1.25 | M = 7.5; s2 = 1.25 | M = 7.5; s2 = 1.25 |
| 5 (5) | M = 6.6; s2 = 1.04 | M = 6.8; s2 = 0.56 | M = 7; s2 = 0.4 |
| 6 (4) | M = 7.5; s2 = 1.25 | M = 7.75; s2 = 1.19 | M = 7.5; s2 = 1.25 |
| 7 (5) | M = 8.4; s2 = 0.24 | M = 8.8; s2 = 0.16 | M = 8.4; s2 = 0.26 |
| Over | M = 7.26; s2 = 0.41 | M = 7.61; s2 = 0.31 | M = 7.26; s2 = 0.31 |
| Source of Variation | SS (Sum of Squares) | Df (Degrees of Freedom) | MS | F-Value | p-Value |
|---|---|---|---|---|---|
| Between-group Variation | 25.89 | 6 | 4.32 | 3.67 | 0.01 |
| Within-group Variation | 30.38 | 26 | 1.17 | ||
| Total Variation | 56.27 | 32 |
| Source of Variation | SS (Sum of Squares) | Df (Degrees of Freedom) | MS | F-Value | p-Value |
|---|---|---|---|---|---|
| Between-group variation | 10.96 | 6 | 1.83 | 1.98 | 0.10 |
| Within-group variation | 24.29 | 26 | 0.93 | ||
| Total variation | 35.25 | 32 |
| Source of Variation | SS (Sum of Squares) | Df (Degrees of Freedom) | MS | F-Value | p-Value |
|---|---|---|---|---|---|
| Between-group variation | 10.99 | 6 | 1.83 | 1.97 | 0.10 |
| Within-group variation | 24.18 | 26 | 0.93 | ||
| Total variation | 35.17 | 32 |
| Team (n) | Usability | Culture Value | Fun Factor |
|---|---|---|---|
| 1 (5) | M = 7.8; s2 = 0.56 | M = 8.4; s2 = 0.50 | M = 8; s2 = 0.4 |
| 2 (5) | M = 8; s2 = 0.4 | M = 7.2; s2 = 1.00 | M = 8; s2 = 0.4 |
| 3 (5) | M = 8; s2 = 0.4 | M = 8.0; s2 = 0.50 | M = 8.2; s2 = 0.16 |
| 4 (4) | M = 8; s2 = 0.5 | M = 8.25; s2 = 0.50 | M = 8.75; s2 = 0.69 |
| 5 (5) | M = 8; s2 = 0.5 | M = 8.25; s2 = 0.56 | M = 7; s2 = 0.4 |
| 6 (4) | M = 8; s2 = 0.4 | M = 7.0; s2 = 1.00 | M = 8; s2 = 0.4 |
| 7 (5) | M = 8.2; s2 = 0.56 | M = 8.6; s2 = 0.50 | M = 8.2; s2 = 0.56 |
| Overall | M = 8 s2 = 0.49 | M = 7.98; s2 = 0.95 | M = 8; s2 = 0.65 |
| Source of Variation | SS (Sum of Squares) | Df (Degrees of Freedom) | MS | F-Value | p-Value |
|---|---|---|---|---|---|
| Between-group variation | 0.40 | 6 | 0.07 | 0.14 | 0.99 |
| Within-group variation | 13.28 | 26 | 0.51 | ||
| Total variation | 13.68 | 32 |
| Source of Variation | SS (Sum of Squares) | Df (Degrees of Freedom) | MS | F-Value | p-Value |
|---|---|---|---|---|---|
| Between-group variation | 10.34 | 6 | 1.72 | 3.18 | 0.01 |
| Within-group variation | 13.92 | 26 | 0.54 | ||
| Total variation | 24.26 | 32 |
| Source of Variation | SS (Sum of Squares) | Df (Degrees of Freedom) | MS | F-Value | p-Value |
|---|---|---|---|---|---|
| Between-group variation | 8.21 | 6 | 1.38 | 3.18 | 0.01 |
| Within-group variation | 12.04 | 26 | 0.46 | ||
| Total variation | 20.25 | 32 |
Disclaimer/Publisher’s Note: The statements, opinions and data contained in all publications are solely those of the individual author(s) and contributor(s) and not of MDPI and/or the editor(s). MDPI and/or the editor(s) disclaim responsibility for any injury to people or property resulting from any ideas, methods, instructions or products referred to in the content. |
© 2025 by the authors. Licensee MDPI, Basel, Switzerland. This article is an open access article distributed under the terms and conditions of the Creative Commons Attribution (CC BY) license (https://creativecommons.org/licenses/by/4.0/).
Share and Cite
Yu, Y.; Hu, W. Three-Dimensional Modeling and AI-Assisted Contextual Narratives in Digital Heritage Education: Course for Enhancing Design Skill, Cultural Awareness, and User Experience. Heritage 2025, 8, 280. https://doi.org/10.3390/heritage8070280
Yu Y, Hu W. Three-Dimensional Modeling and AI-Assisted Contextual Narratives in Digital Heritage Education: Course for Enhancing Design Skill, Cultural Awareness, and User Experience. Heritage. 2025; 8(7):280. https://doi.org/10.3390/heritage8070280
Chicago/Turabian StyleYu, Yaojiong, and Weifeng Hu. 2025. "Three-Dimensional Modeling and AI-Assisted Contextual Narratives in Digital Heritage Education: Course for Enhancing Design Skill, Cultural Awareness, and User Experience" Heritage 8, no. 7: 280. https://doi.org/10.3390/heritage8070280
APA StyleYu, Y., & Hu, W. (2025). Three-Dimensional Modeling and AI-Assisted Contextual Narratives in Digital Heritage Education: Course for Enhancing Design Skill, Cultural Awareness, and User Experience. Heritage, 8(7), 280. https://doi.org/10.3390/heritage8070280

