Next Article in Journal
New Challenges in the Conservation of Fair-Faced Reinforced Concrete with Aesthetic Value: The Lessons from an Italian Brutalist Monument
Next Article in Special Issue
Desiccated Microclimates for Heritage Metals: Refining Procedures for Use of Silica Gel
Previous Article in Journal
From Bark to Dye—Ethnographic Black and Grey Alder Recipes from Finland and Estonia
Previous Article in Special Issue
Microclimate of the Natural History Museum, Vienna
 
 
Font Type:
Arial Georgia Verdana
Font Size:
Aa Aa Aa
Line Spacing:
Column Width:
Background:
Article

Interrogating the Preservation Performance and Reuse of Sealed Frame Packages for Transit and Display

by
Emma J. Richardson
1,*,
Meredith Sharps Noyes
2,
Marvin Cummings
1,
Al Carver-Kubik
2 and
Jennifer Jae Gutierrez
1
1
Image Permanence Institute, Rochester Institute of Technology, Rochester, NY 14623-5604, USA
2
Independent Researchers, Rochester, NY 14623-5604, USA
*
Author to whom correspondence should be addressed.
Heritage 2025, 8(5), 151; https://doi.org/10.3390/heritage8050151
Submission received: 23 January 2025 / Revised: 21 April 2025 / Accepted: 23 April 2025 / Published: 26 April 2025
(This article belongs to the Special Issue Microclimate in Heritage)

Abstract

Collecting institutions have a mandate to preserve and enable access to collections. Exhibition, which often involves object transit between cultural institutions, is an essential activity for many museums to achieve their missions. These activities introduce challenges for preservation, as objects are most susceptible to irreparable damage during these key time periods. Paper-based objects that are sensitive to changes in relative humidity (RH) are commonly enclosed in sealed frame packages (SFPs) to create microclimates. Twenty-six different SFP designs were investigated for their effectiveness at buffering against external RH changes. Following initial conditioning of paper-based objects and enclosure materials at 45% RH, data loggers were placed inside each SFP and exposed to 70% RH for 12 weeks. The internal responses of the SFPs to the external RH were quantitatively assessed, alongside qualitative assessments of material reusability. Results indicate that a polyethylene bag sealed around a frame package is a reusable alternative to SFPs. Bagging alone was capable of limiting the impact of high external RH from permeating to the object level for approximately three weeks. When exposure to elevated RH levels is expected to exceed three weeks, SFPs are effective microclimates under the proviso that they comprise glazing, a vapor-proof barrier, and a seal.

1. Introduction

Collecting institutions have a mandate to both preserve and enable access to collections. Public display of museum collections is the dominant form of access experienced by the general public either in an institution’s own spaces or via loans to other institutions. As such, exhibition is an essential activity for many museums to achieve their missions and to ensure current and future generations learn from and appreciate our shared cultural heritage. Display often involves travel, and both exhibition and travel introduce challenges for preservation, as it is during these key time periods when objects are most at risk and susceptible to irreparable damage. While vast numbers of museum objects travel annually for exhibition or other purposes, objects that respond to changes in relative humidity, such as manuscripts, documents, works of art on paper, and photographic prints—referred to collectively as paper-based objects—are of particular concern with regards to prolonged periods of high or low RH during transit, display, or in storage, as such conditions can lead to irreversible damage, such as cockling, warping, or cracking.
The majority of the published research focusing on microclimates for transit of objects was published in the 1990s and early 2000s, and since then, technology and techniques for collecting, analyzing, and interpreting preservation-related environmental data have advanced significantly. Packaging materials and travel methods, such as the use of climate-controlled trucks, have also changed significantly in the last two to three decades. Recent initiatives, such as the symposium Towards Art in Transit 2.0 held in Salt Lake City in 2024, and the Carbon Reduction and Art in Transit (CRAIT) consortium funded in 2024 by the Institute of Museum and Library Services, demonstrate a renewed interest in the safe transport of objects, with the added dimension of sustainability. The need to balance preservation risk during transit and display of objects, alongside a reduction in cost, carbon footprint, and waste of materials, is driving this resurgence in microclimate research within the preservation field.
Historically, research devoted to understanding risks associated with short-term travel environments has explored custom approaches to transporting unique objects. As such, the reported data pertain only to a unique situation and can prove difficult for most museums to apply to typical travel situations, different climate regions, and different types of collection objects. Research from the field of preservation has also largely focused on fine-art paintings and three-dimensional objects [1,2,3], with very little data relating to paper-based objects [4,5,6,7,8].
While research on crate travel environments has been limited, an empirical awareness and development of approaches to reduce risks associated with traveling paper-based collections has existed for decades. In the late 1980s, an increased awareness of condition changes associated with exhibition travel and display led to the practice of creating sealed frame packages (SFPs) to mitigate potential risks associated with changing relative humidity conditions during transit. Sealed frame packages are also frequently used for in-house exhibitions to mitigate potential changes in a museum’s own display environment [9]. During a separate strand of the work presented in this publication, the authors worked with ten partner institutions to track the internal and external temperature and RH conditions of crates transporting paper-based collection materials during 33 different transit trips across North America and Europe. The data gathered from both truck and air transit demonstrated that RH extremes at the object level inside the crates were not observed, even during peak winter and summer periods [10]; the implication being that well-sealed crates reduce the need for an additional microclimate (e.g., sealed frame package) at the individual object level.
That said, there are a wide variety of SFP designs currently being used for paper-based objects on open display and during transit; some designs are unique and some are variations on published designs [11,12,13,14,15]. The most common SFP designs include (i) glazing, (ii) an object supported by a back mat/mount (typically window-matted), (iii) a backing board, (iv) a vapor-proof barrier, and (v) a seal (archival pressure-sensitive tape or a metallic, heat-set laminate) (Figure 1). The first four components have the same length and width dimensions, are stacked from top to bottom in the order listed here and held, or sealed, together by the fifth component around all four edges to create a sealed frame package (SFP). In some instances, the corners are reinforced with additional seal material, as was the case in this project. This assembly can then be inserted into a frame for display purposes, or used for physical and environmental protection in storage without a frame.
The basic principles of each package are the same: they are designed so that little or no outside air or moisture can enter. However, there are numerous types and varying quantities of materials used in each design. The intent is to keep the moisture content of the collection object stable so that it does not expand or contract, causing mechanical damage, such as cockling, observed as disfiguring wrinkles, puckers, or ripples in the paper-based material. However, these packages are very expensive and time consuming to create. The vapor-proof materials are primarily plastics and cannot be reused or recycled in most instances, thus producing a significant amount of plastic waste when the objects are unframed after exhibition or loan.
Here, we report the results of laboratory-based performance tests for 26 different SFP designs informed by current practice in the field. Within this context, performance was evaluated in terms of the response of the SFP to changes in external relative humidity. In addition, a qualitative assessment of the material reusability of each design was conducted to balance performance against sustainability when deciding between different SFP designs.

2. Materials and Methods

2.1. Questionnaire

In November 2020, the Image Permanence Institute (IPI) distributed a structured online questionnaire to inform a current inventory of commonly used materials and designs for SFPs. The SFP questionnaire was designed in-house and developed by project team members with a range of preservation expertise, including conservation, research, and environmental management, in addition to a web and publications specialist. The link to the online questionnaire, created and analyzed using WUFOO software, was shared in IPI’s newsletter, website, and social media accounts, the American Institute for Conservation’s Global Conservation Forum (formerly the ConsDistList), and the Preparation, Art Handling, and Collections Care Information Network (PACCIN). As a result, the respondents were self-selecting and the findings may not constitute a full inventory of sealed frame package designs used for paper-based objects.
The questionnaire gathered responses from more than 100 individuals across institutions globally creating SFPs in their professional roles. Of the 109 respondents, 58% came from museums, 15% from archives, 10% from conservation centers or private practice, 5% from libraries, and the remaining 12% from other institution types. Respondents were located in North America (80%), Europe (17%), Oceania (2%), and Asia (1%).
The majority of respondents reported using glazing with multiple coatings. The most common was acrylic glazing with abrasion resistant, anti-reflective, anti-static, and UV coatings. The second most common was acrylic glazing with UV coating. The majority of respondents reported using aluminized nylon and polyethylene barrier film (Marvelseal®), corrugated plastic (Coroplast®), or polyester sheeting (Mylar®), or a combination of more than one of these as a vapor-proof barrier (see Table 1 for manufacturer details). The most common sealing technique used for the SFPs was pressure-sensitive tape around the perimeter (82%), while the remaining 18% of respondents used heat-set aluminized nylon and polyethylene barrier films wrapped and adhered to glazing. The complete set of results from this questionnaire were compiled into a summary report and can be downloaded from IPI’s website [16].
The results of the questionnaire directly informed the selection of materials for performance testing to provide experimental data for materials actively in use. Given the importance of using inert materials for preservation enclosures and the desire to evaluate readily accessible materials, commercially available examples from each sub-class of glazing, vapor-poof barrier, and seal were selected and pre-screened for potential material interactions with paper-based objects, following ISO 18902:2013 [17] and outlined in Section 2.3. Together, the ISO and performance testing results provide critical information to inform SFP material selections.

2.2. Sealed Frame Package Construction

The primary components evaluated in each SFP design were a glazing, a backing board, a vapor-proof barrier (sometimes, the backing board served a dual purpose of backing board and vapor-proof barrier), and a seal (Figure 1). Variations in design were aimed at evaluating the comparative impact of certain materials on package performance when subject to changes in external environmental conditions. A full list of materials used in the SFPs, their manufacturers, and their identifying acronyms is given in Table 1. Unless otherwise stated, all test sample SFPs contained a fiber-based silver gelatin print in an overmatted window mat and back mat (mat package). The seal for all designs using tapes as the seal included reinforced corners and were created by one continuous strip/piece of seal material, with the exception of SFP12. That design’s seal consisted of 4 separate pieces of polyethylene tape with strips of Marvelseal® placed in the middle of each piece, one for each edge of the package. Reinforced corners were used, as previous research on daguerreotype packages [9] showed these to be critical components for sealed package performance.
The mat packages consisted of a white, 2-ply back mat and window mat hinged together along a long edge (overall dimensions were 20.3 × 25.4 cm). These mat packages were purchased assembled, with window dimensions of 15.2 × 20.3 cm. Twentieth century fiber-based silver gelatin prints, trimmed to slightly smaller than 20.3 × 25.4 cm, were sandwiched between the two mats (no other attachment was used).
Cavities were cut in both the photographic print and back mat of every package to accommodate the placement of an EasyLog temperature and relative humidity data logger (Lascar, USA) within each SFP (Figure 2). These loggers recorded environmental changes within the packages during performance testing. Performance comparisons were made between replicate designs and across different designs.
A total of 26 SFP designs were created for testing in the laboratory. Of these, five were control packages without vapor-proof barriers, and two were control packages containing a mat package wrapped in (i) Marvelseal® or (ii) a polyethylene bag. Initial testing comprised 19 designs constructed in triplicate. Following review of the temperature and RH data from those tests, 7 additional package designs were constructed and performance-tested, alongside selected repeat designs from the initial tests due to inconclusive results. Due to the range of materials used across the different SFP designs, the naming conventions in Table 2 are used to ensure each package can be uniquely identified.

2.3. Photo-Safe Testing According to ISO 18902:2013

All materials listed in Table 1 were assessed according to the specifications outlined in ISO 18902:2013 Imaging Materials—Processed Imaging Materials—Albums, Framing, and Storage Materials [17]. This standard provides guidance to assess the physical and chemical stability of different types of albums, framing, and storage materials that are used to house photographs such that they are considered “photo-safe”, meaning they will not accelerate the natural aging of photographic prints, films, or digitally printed images. The guidelines include passing the Photographic Activity Test (PAT) for all types of materials. Paper-based materials must meet specific requirements for pH, alkaline reserve, Kappa value, and colorant bleed. Writing and labeling materials must meet colorant bleed specifications, and adhesives must also meet specific pH requirements.
All paper-based materials used to construct the SFPs met the specifications of ISO 18902:2013 according to the distributor websites, which provided information on pH range, percent alkaline reserve, and Kappa value. However, all materials used, excluding glass, were tested using the PAT as part of this project. All adhesive materials were also tested to measure their pH values according to the test outlined in ISO 18902:2013, which is a modified cold extraction pH test based on TAPPI T509 [18]. In this test, 1.00 g ± 0.01 g of the adhesive material is placed in a beaker and soaked with 75 mL of ASTM Type I or II water for an hour. The resulting pH of the water is measured with a pH probe and compared to the pH of the reference water. Each sample is run in duplicate. To be considered acid-free, the average pH of the extract must be equal to or greater than the average pH of the reference water minus 0.5 and less than 10.0.

Photographic Activity Test

The PAT was performed on all materials listed in Table 1 using the protocol outlined in ISO 18916:2007 Imaging Materials—Processed Imaging Materials—Photographic Activity Test for Enclosure Materials [19]. In this test, colloidal silver image and gelatin stain detectors were incubated in contact with the materials being studied at 70 ᵒC and 86% RH for 15 days. The image interaction (I.I.) detector, comprised of colloidal silver dispersed in a thin hardened gelatin layer on a polyester base, is used to screen for oxidation and reduction reactions that can cause image fading, silver mirroring, and/or red/gold spots. The gelatin stain detector, a photographic paper processed to minimum density (paper white), is used to screen for reactions that produce chromophores and cause print yellowing. Both detectors are measured for potential changes using Status A blue densitometry and were measured on an X-rite 310TR photographic densitometer (X-rite, USA). To pass the PAT, the I.I. density must be no greater than ±20% of the change in density observed in the control and the stain must not be more than 0.08 D greater than the control. A third parameter, mottling, requires a visual assessment that looks for uneven change to the I.I. detector resulting in variable areas of light and dark. Mottling, while subjective to the person performing the test, must be easily recognized when viewing the detector at arm’s length through an even light source (such as on a light table). A material fails if results do not fall within the defined limits of any of the three criteria.

2.4. Laboratory Performance Testing

The performance tests of the SFPs were undertaken to assess the moisture barrier capacity of the SFPs when exposed to external RH changes. Temperature and relative humidity changes within the SFPs were monitored using data loggers placed within a cavity cutout from the middle of each mat package (Figure 2). All SFP materials were conditioned for a minimum of four weeks at 20 ᵒC and 45% relative humidity, prior to each silver gelatin print being enclosed and tested, to ensure full equilibration had been achieved. At the beginning of the relative humidity performance tests, the incubator temperature was increased from 20 °C to 25 °C over the course of eight hours, while maintaining 45% RH. Once the incubators had stabilized at 25 °C, the external relative humidity was increased to 70% and maintained continuously for 12 weeks. The length of testing was selected to represent typical display periods for light-sensitive paper-based objects. As a note, low RH levels were not investigated as part of this work.

2.4.1. Temperature and Relative Humidity Data Loggers

ACR Systems TRH-1000 temperature and RH data loggers (ACR Systems Inc., Canada) were used to record the external conditions within the climate-controlled incubators and EasyLog Ambient Pharma EL-CC-2-004 temperature and RH data loggers manufactured by Lascar Electronics were used inside each SFP to record conditions. Both loggers had a sampling resolution of 10 minutes. Data were downloaded using TrendReader 2 Express and EasyLog CC version 2.0.0.0, and exported as .CSV files for analysis using MATLAB version R2021a and Microsoft Excel Professional Plus 2016.

2.4.2. Incubators

Espec EPL-3H-3HW-3CA climate-controlled chambers calibrated (ESPEC, USA) to NIST-traceable standards were employed for controlling the environmental test profiles for performance testing of the SFPs.

2.5. Hygrometric Half-Life and K-Value Calculations

Hygrometric half-life is a form of exponential decay and is defined as the time required for the RH of a given environment (e.g., microclimate of a chamber, cabinet enclosure) to change by half of the difference between the initial RH and the final RH in the new environment. Hygrometric half-life is expressed in time units, such as minutes, hours, days, weeks, or even months, depending on the rate of the equilibration process. The hygrometric half-life concept has been used in a number of earlier studies [20,21]. Previous studies conducted at IPI have indicated that the hygrometric half-life can vary widely in magnitude depending on the characteristics of the individual materials and on the enclosures in which they are stored [22]. In this study, the hygrometric half-life was used to characterize and assess the performance of each SFP design, by calculating the constant of exponential decay, k, from RH data collected at the interior of each SFP. The hygrometric half-life values calculated here equate to an internal RH of 57.5% (half the difference between 45% RH and 70% RH).
Each set of RH data was first transformed into a percentage of full equilibration (also expressed as the rate at which the RH of the SFPs approached the RH of the chamber) as defined by the ratio on the right-hand side of Equation (1) below [23]. This approach allows the hygrometric half-life (t1/2) values to be determined as the midpoint (50% equilibration) between the initial RH and the final RH for each SFP. For each dataset, the natural logarithm of the percent equilibration was calculated and the slope of the transformed curve was used to determine the k-value. As a result, the hygrometric half-life can then be found utilizing the following equation:
e k t = ( R H S F P R H c h a m b e r ) ( R H I S F P R H c h a m b e r )
where RHchamber is defined as the external RH within the chamber, RHSFP is the measured RH inside the SFP at some time (t), and RHISFP is the initial RH inside the SFP once the internal conditions stabilized at 25 °C (t = 0). The k-value is the exponential decay rate constant established for the SFP, and t is the time. Once a k-value is calculated from the RH data, the t1/2 can be taken as the time ( t ) at which e−kt = ½, which establishes the time required for each SFP to reach 50% equilibration.
This approach enables characterization and comparison of the performance of the SFP designs tested based upon hygrometric half-life values expressed in days. Low t1/2 values indicate an SFP with a fast moisture equilibration rate, corresponding to a shorter time required for RH conditions within the package to match the external environment. High t1/2 values point to a SFP design characterized by a slow moisture equilibration rate, corresponding to a longer time required for RH condition within the package to match the external environment. For SFPs in which the RH reached the 50% equilibration mark during the test period, the actual t1/2 was compared to the calculated t1/2.
While many of the SFP designs could be fit to an exponential decay curve with an R2 > 0.99, some displayed a delayed response, or induction period, prior to initiation of moisture diffusion into the package. In these cases, the data were treated in two ways: one which included the induction period and one which did not. In the first method, most fits still had an R2 > 0.97 when the induction period was included. Including this delayed response considers the performance of the package as a whole, even if the linear fit was less accurate. In the second method, the induction period was removed because it impacted the slope of the curve. As such, for the k-value calculations, the straight line was fit to the data ascribed to moisture diffusion only and not the earlier induction period. The two methods still yielded very similar results, and k-values from each are included in Appendix A, Table A1 for reference.
In the case of control packages SFP22 to SFP26, RH data did not fit to an exponential decay curve and it was not possible to calculate t1/2 values. In these cases, equilibration of the packages happened within a matter of hours, and the time to 50% equilibration was found directly from the data for comparison to other t1/2 values.
An additional method, time-to-threshold, was investigated as a means of determining the time taken to reach a critical internal condition. Due to small variation between the environmental conditions of separate incubators, cross-comparisons using the time-to-threshold could not be confidently determined and therefore, the method was not used for performance assessment. However, the method will be of interest to the field of cultural heritage and is outlined in Appendix A. The results of the time-to-threshold analysis are included in Appendix A, Table A1 alongside the hygrometric half-life and k-value, for reference.

3. Results and Discussion

3.1. Cold Extraction pH Results

Table 3 contains the results from the cold extraction pH test for each adhesive element of the pressure-sensitive tapes used in the SFP designs tested. The TAPPI cold extraction pH value is listed, along with the measured pH of the ASTM Type I/II reference water. According to ISO 18902:2013 [17], an adhesive is considered ‘acid-free’ if it falls between the value of the reference water minus 0.5 and 10.0, in this case between 5.7 and 10.0. Two tapes, J-Lar® and the Metalized Film Tape, fell below 5.7, while the other tapes fell within a passing range. The Frame-Sealing Tape had the highest measured pH value. This high pH is likely due to the paper carrier on this tape, which is purported to be an acid-free, lignin-free paper. The cold extraction pH value measured here is capturing the pH value of the paper rather than the adhesive alone. Further discussion regarding the limitations of the cold extraction test method and the determination of ‘acid-free’ is included in Appendix B.
It is worth noting that the use of pressure-sensitive tapes for the construction of SFPs is as a seal on the outside of the package, and the adhesives do not come into close contact with the paper-based object inside. Both the J-Lar® and Metalized Film Tape also passed the Photographic Activity Test (see results section below), suggesting that even if the tapes did come into close (not direct) contact with the object inside, they would not cause chemical damage to the image or binder.

3.2. Photographic Activity Test Results

Table 1 contains the results from the PAT material testing for each component used to construct the SFPs. Where samples have different materials on each face, such as an adhesive on a carrier support, materials were tested with each side facing the detector. Of the 16 materials tested, only one sample failed the Photographic Activity Test; 3MTM double-sided tape 415 fell outside of the 20% limit for oxidation of the image interaction detector, at 22%. Given the prevalence of this material in the conservation field, the tape was tested a second time at a location further into the roll. The tape passed the second test, but still fell at the limit of oxidation for the image interaction detector, at 20%.
Further PATs were undertaken to identify the cause of the chemical interaction: 3MTM adhesive tape 465, which is the same adhesive as 3MTM double-sided tape 415 without the carrier support (3MTM acrylic adhesive 400), was tested to determine whether the oxidation of the image interaction detector was caused by the adhesive layer or the carrier. Table 1 shows that 3MTM adhesive tape 465 passed the PAT, at 13%. The 3MTM 415 tape is a 0.1 mm double-sided adhesive with a polyester carrier, while 3MTM 465 is a 0.05 mm transfer tape with no carrier. While differences in batch number and changes in formulations need to be considered as a potential factor, the results suggest that the chemical interaction induced by 3MTM double-sided tape 415 may have been caused by either the carrier layer or the amount of adhesive present (0.1 mm thickness in the case of 415 and 0.05 mm thickness in the case of 465).
A further report from the Canadian Conservation Institute in 2020 performed an analysis on 3MTM double-sided tape 415 after conservators at the Canadian Centre for Architecture noticed changes in mechanical performance over time [24]. They analyzed rolls of tape purchased between 2015 and 2019 using Fourier-transform infrared spectroscopy and pyrolysis gas chromatography–mass spectroscopy and found that the 2019 tapes contained a rosin ester tackifier, suggesting that the adhesive formulation had changed. Therefore, differences in formulation may also account for the PAT results presented here.

3.3. Sealed Frame Package Test Variable: Glazing

The impact of glazing on performance was assessed by altering the glazing and maintaining constant the backing board, vapor-proof barrier, and seal during testing of the following SFP designs: SFP01, SFP02, SFP03, and SFP04 (Table 2).

3.3.1. Hygrometric Half-Life: Glazing

Figure 3 shows that the length of time (in days) for the glass-glazed SFPs (SFP01) to reach 50% equilibration, with the external relative humidity conditions of the chamber set to 70% RH, is significantly greater than for those packages glazed with acrylic (SFP02, 03, and 04). The average t1/2 for glass glazing is double the average t1/2 for acrylic glazing. The glass glazing also displays greater variance around the mean value compared to the acrylic glazing, potentially indicating inconsistency in the production of these SFPs, influencing consistency in performance. That said, the large variance around the mean may also be influenced by the degree of forward extrapolation required to calculate the half-life value for this package design, which was a function of the slow rate of change experienced by the SFP01 samples over the course of the 12-week test period.
Interestingly, SFP05, which had glass glazing and an acrylic vapor-proof barrier rather than Marvelseal®, does not perform as well as SFP01. Therefore, the presence of Marvelseal® as the vapor-proof barrier significantly influenced performance.
Based on the t1/2 values, all of the glazing materials tested performed well. While glass outperformed acrylic in moisture equilibration terms, the mean t1/2 values for all acrylic glazing exceeded 180 days (six months), making this material a suitable option for environmental control during transit and beyond, with the additional benefit of its high-impact strength [25].

3.3.2. Ease of Use and Deconstruction for Reuse: Glazing

The high t1/2 variability of the glass-glazing replicates (SFP01) is potentially influenced by the physical properties of the glass and the challenges creating a continuous seal using a pressure-sensitive tape on a brittle material. By comparison, the high-impact strength of acrylic makes it easier to apply pressure to the edges of the glazing, enabling a closer bond with the seal, which likely influences the repeatability of performance.
Deconstruction of the glazing packages sealed with aluminum foil tape proved difficult for the glass-glazed SFP, with significant adhesive remaining on the surface1. By contrast, the aluminum foil tape was easily removed from the acrylic-glazed SFP, leaving minimal adhesive residue. While acrylic glazing shows high potential for reuse, acrylic surfaces are known to readily abrade [26], making the reuse of acrylic as a glazing material finite. However, once acrylic sheets no longer have the necessary clarity required for glazing purposes, the material can be reused as a vapor-proof barrier at the back of a SFP (see Table 2 and Figure 3, SFP05).

3.4. Sealed Frame Package Test Variable: Vapor-Proof Barrier and Backing Board

The impact of vapor-proof barriers on the performance of a SFP was assessed by altering the vapor-proof barrier and maintaining the materials used for the glazing, backing board, and seal as constant. To assess the influence of the backing board, SFP06 and SFP09 were constructed without blue board.

3.4.1. Hygrometric Half-Life: Vapor-Proof Barrier and Backing Board

Figure 4 shows that the length of time required for the Marvelseal® packages (SFP01) to reach 50% equilibration with the external relative humidity set to 70% RH was between 2–3 times greater than the other vapor-proof barriers. While the variance is high for the packages constructed using Marvelseal®, the average t1/2 value equates to 450 days (15 months), illustrating that this is a high performing material as a moisture barrier.
As discussed above, the acrylic glazing was repurposed as a vapor-proof barrier on the back of package SFP05 and is shown to be the second highest performing barrier with an average t1/2 of 309 days (10 months).
Coroplast® (SFP06) and Coroplast® with blue board (SFP10) show similar t1/2 responses to each other, although there are no replicate data available for SFP10, so the variation in performance cannot be assessed. Similarly, polycarbonate (SFP09) and polycarbonate with blue board (SFP11) display similar behavior. While blue board is not required for structural integrity when Coroplast® and polycarbonate materials are present, there are potential advantages to including blue board, as it can aid internal moisture buffering during changes in temperature, although these advantages are limited.
Interestingly, aluminum foil (SFP08) performed equally as well as a vapor-proof barrier compared to the Coroplast® packages, with a mean t1/2 of 179 days (6 months). Aluminum foil is a low-cost, readily available material, but does have the disadvantage of being easily damaged. Additional performance tests aimed at identifying suitable protection for the aluminum foil from puncture were unsuccessful due to failure of the incubators. Further investigations should be undertaken to assess appropriate methods for puncture prevention of this low-cost material.
Mylar® (SFP07) displayed the lowest performance as a vapor-proof barrier with an average t1/2 of 54 days (less than 2 months). It is worth remembering that the performance tests subjected each package to persistent, extreme external RH levels of approximately 70%. Exposure to continuous high RH conditions would be unusual for paper-based objects during transit and display. Therefore, the test results need to be considered within the context of (i) the expected use and (ii) the environmental conditions that an SFP will have to perform at within a given institution.

3.4.2. Ease of Use and Deconstruction for Reuse: Vapor-Proof Barrier and Backing Board

Blue board backings covered with Marvelseal® vapor-proof barriers have the potential to be reused because the tape seal does not come into direct contact with the board. However, separating the Marvelseal® vapor-proof barrier from the tape seal is very time consuming with unsatisfactory results. For the reuse of Marvelseal®, the edges can be removed and the remaining portion reused.
Removing the tape seal from the Coroplast® backing board was easy, readily enabling reuse. No adhesive residue remained from the tape seal, which was seen to leave significant residue on the glass glazing. In general, tape seals could be removed from Mylar® vapor-proof barrier layers, although care was needed. Where removal resulted in damaged or dirty edges, these could be trimmed to allow for reuse of the remaining material for smaller packages.

3.5. Sealed Frame Package Test Variable: Seal

The impact of different types of external seal on the performance of a SFP was assessed by altering the seal type and maintaining constant the glazing, vapor-proof barrier, and backing board materials.

3.5.1. Hygroscopic Half-Life: Seals

The performance tests of the seal components displayed the greatest variability across the SFP packages (Figure 5). Three types of metalized tapes were used, namely aluminum foil tape (SFP01, SFP18, SFP19), metalized film tape (SFP13), and frame-sealing tape (SFP17). Where the SFPs had reinforced corners, the performance of the aluminum foil tape (AFT) was 2–3 times greater than the metalized film tape (MFT) and frame-sealing tape (FST) packages. The high degree of variability in SFP01 was discussed previously (see Section 3.3.1). For the SFPs displaying low to moderate rates of equilibration, the variance around the average t1/2 values are attributed to the physical construction of the tapes and their handling properties. Aluminum foil tape and metalized film tape are both composites comprising continuous metal layers with adhesive backing (in the case of MFT, the metal is on a polymer substrate), whereas frame-sealing tape is a discontinuous metal deposit on an adhesive paper carrier. The lack of a continuous metal layer means the FST is somewhat permeable to moisture, displaying the lowest t1/2 value of the metal tape seals (Figure 5).
SFP12 and SFP14 used Marvelseal® to seal along the edges of the packages, held in place using polypropylene tape in the case of SFP12 and double-sided adhesive tape in the case of SFP14 (see Section 2.2). In this latter case, the Marvelseal® was a continuous sheet wrapped around the mat package, acting as a vapor-proof barrier in addition to a seal. While SFP14 showed some degree of variance across the replicate packages, SFP12 displayed large deviations around the mean t1/2 value, ranging from 43 days to 288 days. SFP12 was sealed using four separate pieces of J-Lar® cut to lengths slightly longer than the sides of the package with reinforced corners. This inconsistent behavior is attributed to the use of four separate strips of tape around the edges of the packages, which performs more poorly than a continuous seal.
Hot melt glue with Marvelseal® was a consistently poor-performing seal (SFP15), attributed to its poor handling properties.
Comparing SFP16 with SFP12 (Figure 5), it is shown that the introduction of Marvelseal® along with J-Lar® tape increases the mean t1/2, but also displays greater variability. As cited above, this is attributed to the use of individual strips along the edges of the package. Therefore, if consistency and predictability in performance are critical, continuous J-Lar® seals should be the preferred method. Similarly, comparing SFP01 and SFP19 demonstrates that reinforced corners have a material impact on the performance of the packages.

3.5.2. Ease of Use and Deconstruction for Reuse: Seals

The frame-sealing tape had the best working properties of the pressure-sensitive tapes tested. It is flexible and appeared to have good adhesion to all package elements (Table 4), butwas shown to display poorer performance compared to the other metalized tapes.
The aluminum foil tape is rigid and was difficult to handle during package construction. It required significant pressure to secure in place and flatten, although it visually appeared to have good adhesion to all package materials. It was prone to creasing and bulging and subsequently difficult to remove and re-position. The metalized film tape is thin and flexible and was the most difficult to handle for creating SFPs. It also appeared to have weak adhesion.
The J-Lar® was easy to handle, but prone to tearing and appeared to have weak adhesion to itself. This was evident as repeated peeling of edges on reinforced corners frequently occurred.
Heat was required in two designs, SFP14 and SFP15, and a tacking iron was used to attach a Marvelseal® wrapper to the front of the glazing. SFP14 used double-sided tape along the top edges of the glazing and was easier to create, while SFP15 used hot melt glue applied to the top edges of the glazing. A visual assessment of the overall adhesion in both cases was challenging. These were the most difficult and time-consuming package designs to construct, with each package taking more than 30 minutes to assemble (not including material preparation).
During deconstruction, cutting the seal between the glazing and mat package layers was the easiest method of removal, but presented the potential for damaging the window mat. On the other hand, cutting between the backing board and mat package restricted surface damage to the back side of the mat package only. All of the designs using tape seals left some amount of adhesive residue on the edges of the mat packages. An isolating layer is recommended if the display package is intended to be used as a storage package afterwards (SFP18). Regardless of the mode of removal from the packages, none of the tape seals could be reused or repurposed.
SFP17 using frame-sealing tape was prone to separation of layers during the removal process and left a significant amount of residue. The aluminum foil tape was difficult to remove from the glass glazing, with significant adhesive residue left on the surface. J-Lar® frequently tore during the removal process and also left a notable amount of adhesive residue on the glass. SFP12, with J-Lar® combined with strips of Marvelseal® to separate the adhesive from the mat package, was easier to reverse than J-Lar® in isolation. The Marvelseal® appears to have reduced the tendency to tear and the amount of adhesive residue on the glass. The metalized film tape used in SFP13 was easy to slice through to open the package, and easy to remove from Marvelseal® vapor-proof barriers, leaving minimal adhesive residue on the glass. However, it is prone to tearing and was laborious to remove from the glass.
In the packages using double-sided tape attaching Marvelseal® to the glazing (SFP14), it was easy to remove the Marvelseal® and the top adhesive layer and tape carrier. However, the bottom adhesive layer remained firmly adhered to the glazing and would take effort to remove. Manually removing the hot melt glue from the glazing was possible (SFP15), albeit time consuming. Future tests should investigate whether the remaining adhesive could be successfully reactivated on the glazing surface if the glazing is reused in packages. Additional removal techniques were not tested.
The only seal used with the acrylic glazing was aluminum foil tape. This was easy to remove from the museum acrylic (Table 4), leaving minimal adhesive residue. Therefore, there is a high potential for reuse. This behavior was consistent for the coated acrylic as well.

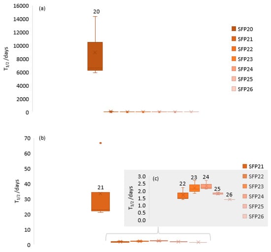
3.6. Control Test Packages

A series of control packages (SFP22, 23, 24, 25, and 26) were tested to understand the rate of moisture equilibration without the primary barrier materials (e.g., glazing, vapor-proof barrier, seal). Two additional control package designs were tested to assess the use of Marvelseal® (SFP20) and polyethylene (SFP21) bags as barriers to moisture. In these two latter cases, the aim was to assess the potential of forming simple microclimates for transit, rather than producing a frame package intended for display purposes.
Figure 6 shows the mean t1/2 values and deviations for all control packages. The use of a double-layer of Marvelseal® (SFP20) displayed the greatest performance of all of the control package constructions tested in this study, with an average predicted t1/2 of 8929 days (298 months). While these values are derived from forwards extrapolation of the moisture equilibration data, they serve to illustrate that Marvelseal® can be successfully used as a microclimate for controlling the object-level environment during transit. By comparison, SFP21, comprising a 0.04 mm polyethylene bag folded and wrapped around the object package (total thickness of polyethylene 0.12 mm), equilibrates relatively rapidly, with an average t1/2 of 33 days (1 month). While the performance is significantly lower than the SFPs discussed previously, the RH conditions within transit crates have been shown to be relatively stable where significant quantities of hygroscopic materials have been used to pack the internal spaces of transit crates [10]. In the same study, it was shown that in the majority of cases, the duration of exhibition travel typically takes less than 72 h (≤3 days) in total, with some continental truck travel approximating ten days. Therefore, the creation of microclimates for RH control during transit only, excluding exhibition display, need only perform over the course of a few days rather than weeks or months. Hence, if a low-cost, reusable solution is needed for protecting a framed or unframed paper-based object during transit, the use of polyethylene bags is a viable option.
The control frame packages without vapor-proof barriers (SFP22, 23, 24, 25, and 26) equilibrated with the external RH in a matter of days and clearly demonstrate that this is a critical component of SFPs to control internal moisture and prevent diffusion into the packages. Blue board and simple framing alone are not enough to maintain internal relative humidity levels when exposed to high external RH.

3.7. Estimated Greenhouse Gas Emissions for the Recommended Sealed Frame Package Designs

Based on the data, the best-performing design for transport and display use, factoring in material safety during travel, product availability, and cost, are designs based on SFP03 and SFP05, incorporating acrylic glazing, aluminum foil tape or metalized film tape as the seal, and an acrylic vapor-proof barrier. Table 5 provides an estimate of the greenhouse gas (GHG) emissions for the two recommended sealed frame package designs, SFP03 and SFP05, and the polyethylene microclimate SFP21. Where short-term RH control during transit periods alone is needed, polyethylene provides a low-cost, low-emission, and reusable solution when in combination with a mat package.

4. Conclusions

Exhibition is an essential activity for many museums to achieve their missions and to ensure current and future generations learn from and appreciate our shared cultural heritage. While vast numbers of museum objects travel annually for exhibition or other purposes, paper-based objects are of concern to the field due to potential risks associated with any large environmental fluctuations experienced during transit or display that may lead to irreversible damage. That said, field data recently collected during the transit of objects have demonstrated that RH extremes at the object level are not observed inside well-sealed crates. Therefore, the creation of microclimates for RH control during transit, excluding exhibition display, may only be required for very sensitive paper-based objects and need only perform over the course of a few days rather than weeks or months. Where microclimates are required for tight RH control during both transit and exhibition display and may be desired for sensitive objects, the continuing performance of sealed frame packages may be required over a number of months.
The results from the study presented here have demonstrated that SFPs are not needed when paper-based objects travel in well-sealed crates. A polyethylene bag, folded, wrapped around a mat package and taped closed, is a reusable alternative to SFPs that can limit the impact of any unforeseen excursions in high RH for approximately three weeks. Where exposure to elevated RH levels is expected to exceed this timeframe, and recommended RH ranges for a given object type, SFPs are effective microclimates under the proviso that they include glazing, a vapor-proof barrier, and a seal. Each of these components are required to control the RH levels around the object; framing paper-based objects without a vapor-proof barrier is not sufficient to prevent rapid moisture ingress and equilibration with external conditions. Low RH levels were not investigated as part of this work.
All of the SFP designs tested are capable of providing protection from short-term, hourly or daily RH fluctuations, and many would also maintain RH during seasons of high humidity. It is worth highlighting that the hygrometric half-life values calculated in this study equate to an internal RH of 57.5%. For the majority of SFP designs studied here, the primary determiner for the half-life performance was the type of seal. However, in the case of SFP designs using aluminum foil tape and metalized film tape as the seal, the resulting performance of a package was significantly influenced by the type of glazing and vapor-proof barrier selected.
Some materials used to create single-use SFPs showed potential for reuse. Acrylic can be reused as a vapor-proof barrier when it is no longer in suitable condition to serve as a glazing. Blue board (backing boards) can be reused with new vapor-proof barrier materials when carefully removed from a package, and the following vapor-proof barriers, Marvelseal®, acrylic, Coroplast®, and polycarbonate, can each be reused.
Based on the data, the best-performing design for transport and display use, factoring in material safety during travel, product availability, and cost, are designs based on SFP03 and SFP05, incorporating acrylic glazing, aluminum foil tape or metalized film tape seal with reinforced corners, and an acrylic vapor-proof barrier. For long-term storage and display, SFP01, incorporating glass glazing, aluminum foil tape seal with reinforced corners, and Marvelseal® vapor-proof barrier, can provide years of protection.

Author Contributions

Conceptualization, A.C-K., J.J.G.; methodology, M.S.N., A.C.-K., J.J.G.; Formal analysis, E.J.R., M.S.N., M.C.; investigation, E.J.R., M.S.N., A.C.-K., J.J.G.; writing—original draft preparation, E.J.R. and J.J.G.; writing—review and editing, E.J.R., M.S.N., M.C., A.C.-K., J.J.G.; project administration, E.J.R., A.C.-K.; All authors have read and agreed to the published version of the manuscript.

Funding

This research was funded by the Institute of Museum and Library Services, National Leadership Grants—Museums (Grant Number MG-245427-OMS-20).

Data Availability Statement

The raw data supporting the conclusions of this article will be made available by the authors on request.

Acknowledgments

We are grateful to our colleague Changfeng Ge from the Department of Packaging Science, RIT, who participated in discussions concerning the analysis of the equilibration data and suggested the use of the time-to-threshold calculations. We are also grateful to Christopher Cameron and Lauren Parish who supported the early planning of this research project.

Conflicts of Interest

The authors declare no conflicts of interest.

Appendix A. Time-to-Threshold

Time-to-threshold is a similar concept to that of the hygrometric half-life, as both methods can be used to determine the time taken to reach a critical condition. In the case of time-to-threshold, the critical condition is a user-defined, context appropriate limit, which for paper-based materials was defined to be 60% RH in this current study. Starting with another useful form of the Arrhenius Equation (A1), given as follows:
l n R H @ c r i t L i m i t = l n ( R H c r i t L i m i t R H c h a m b e r ) ( R H I S F P R H c h a m b e r ) = k t + C
When we set the RH of the sealed-frame package at some time, t, to a critical limit of 60% (RHSFP = RHcritLimit = 60%), and once we have calculated the exponential decay constant values, k, and the constant, C, (approximated from linear curve fits of RH data from each SFP design), we can now solve the above Arrhenius Equation (A1) for the time (t) needed to reach the critical RH limit, RHcritLimit = 60%. This yields the following linear relation (A2):
t = l n R H @ c r i t L i m i t C k
While the advantage of this method stems from the ability to define any threshold limit, and subsequently, from the method’s ability to predict the time needed to reach that newly defined threshold limit, comparing performance across different SFP designs must be approached with care, as the initial RH and final RH conditions of each SFP design will impact the time to reach the threshold. Cross-comparisons of the time-to-threshold are appropriate only when the SFP designs are tested under the same RH conditions, i.e., for each SFP design, SFPi, the initial RH (RHchamber(i) = RHc) and final RH (RHISFP(i) = RHI) conditions must be the same or have negligible differences, where i = 1,…,n represents each individual SFPi design tested. During this study, the small deviations that inevitably occur between different incubation chambers and individual SFPs translated to small, but negligible differences in RH conditions during testing.
In this particular case, the use of the time-to-threshold method served as a good validation step and cross-comparison for the half-life calculations. Given that the half-life calculations equated to an internal RH of 57.5% (half the difference between 45% RH and 70% RH), the time-to-threshold values were less conservative in terms of potential moisture risk to the paper-based objects, although they were considered in line with expectations. Time-to-threshold data are included in Table A1 for reference.
Table A1. comparison of hygrometric half-life, k-value, and time-to-threshold results.
Table A1. comparison of hygrometric half-life, k-value, and time-to-threshold results.
SFP
Sample No.
SFP IdentifierAverage T1/2 with Induction Period (Days)StDev.Average T1/2 without Induction Period
(Days)
StDev.Average Time to 60% Threshold
(Days)
StDev.
SFP01G_BB_MS_AFT503206571263577165
SFP02A_BB_MS_AFT232442533623540
SFP03CA_BB_MS_AFT25582743227918
SFP04MA_BB_MS_AFT22452322124634
SFP05G_BB_A_AFT309n/a
SFP01G_BB_MS_AFT503206571263577165
SFP05G_BB_A_AFT309n/a
SFP06G_NA_C_AFT138521616215162
SFP07G_BB_PET_AFT546674454
SFP08G_BB_AlF_AFT179442075321255
SFP09G_NA_PC_AFT117221342112120
SFP10G_BB_C_AFT182n/a181n/a276n/a
SFP11G_BB_PC_AFT113n/a
SFP 01G_BB_MS_AFT503206571263577165
SFP12G_BB_MS_JMS159106168102197149
SFP13G_BB_MS_MFT244472794825743
SFP14G_BB_MS_DST214134246161217148
SFP15G_BB_MS_HMG502662304838
SFP16G_BB_MS_J115441224514982
SFP17G_BB_MS_FST1237713996135101
SFP18G_BB_MS_AFT_P90464n/a461n/a591n/a
SFP19G_BB_MS_AFT_NRC166n/a165n/a241n/a
SFP21G_BB_BaggedPE_NA33225021114

Appendix B. Cold Extraction pH

While the J-Lar® and Metalized Film Tape are not considered ‘acid-free’ by definition of the standard, it is worth expanding on the specific limitations of the test method as it is currently laid out in the ISO 18902 [17].
The ASTM Type I/II reference water is considered ultrapure, which means there are very few conductive ions in the water. It is extremely difficult, and generally not recommended, to measure the pH of ultrapure water with an ion probe, the method through which the standard specifies. A standard pH probe requires some conductivity in the water to create a junction between the glass electrode and the reference electrode in order to make an accurate measurement of the H+ ions present in the water. Ultrapure water does not contain enough conductive ions for this junction to be established. If this junction does not exist, then the reference concentration will not be stable, and the pH measurement will drift and be erroneous.
The rationale for specifying ASTM Type I/II water in the standard is to ensure that the pH measurements acquired following the cold extraction of water-soluble components from each material result from the material itself rather than the ions already present in the water. This works well in the case of paper materials, where there are many components that can leach into the water, but adhesives tend to have fewer of these water-soluble components, again leading to problems associated with trying to measure the pH of a low-ionic-strength solution. The cause of failure, then, for the two materials that did not pass the cold extraction pH test, may well be low ionic strength and drifting measurements (both in the case of the reference water and the extracts), as opposed to actual acidity of the adhesives themselves.

Notes

1
Cleaning methods to remove the adhesive were not tested.

References

  1. Mervin, R.; Mecklenburg, M.F.; Merrill, R.M. Art in Transit: Handbook for Packing and Transporting Paintings; National Gallery of Art: Washington, DC, USA, 1991. [Google Scholar]
  2. Marcon, P. Features of Effective Packaging and Transport for Artwork. CCI Tech. Bull. 2020, 34, 1–116. [Google Scholar]
  3. Stolow, N. Conservation and Exhibitions: Packing, Transport, Storage, and Environmental Considerations; Butterworths: London, UK, 1987. [Google Scholar]
  4. Hackney, S. The Evolution of a Conservation Framing Policy at Tate. In Proceedings of the Museum Microclimates; Padfield, T., Borchersen, K., Eds.; The National Museum of Denmark: Copenhagen, Denmark, 2007. [Google Scholar]
  5. Beltran, V.; Gomez, R. Measuring Environmental, Shock and Vibration Performance of Crates. In Proceedings of the PACCIN Preparators Conference, Fort Worth, TX, USA, 7–8 April 2017. [Google Scholar]
  6. Bauer, E. Crating Museum Objects for Shipment. Natl. Park Serv. Conserv. 1993, 17. Available online: www.nps.gov/museum/publications/conserveogram/17-02.pdf (accessed on 23 April 2025).
  7. Cannon-Brookes, P. The Transportation by Sea From Southampton to Cape Town of Oil Paintings in a Container with Environmental Monitoring. In Proceedings of the COM Committee for Conservation 9th Triennial; ICOM-CC: Dresden, Germany, 1990; pp. 401–404. [Google Scholar]
  8. Pietro, G.D.; Ligterink, F. Prediction of the Relative Humidity Response of Backboard-Protected Canvas Paintings. Stud. Conserv. 1999, 44, 269–277. [Google Scholar] [CrossRef]
  9. Murata, H. Investigation of Historical and Modern Conservation Daguerreotype Housings, George Eastman House; Advanced Residency Program in Photograph Conservation: Rochester, NY, USA, 2003. [Google Scholar]
  10. Cummings, M.; Gutierrez, J.; Carver-Kubik, A.; Noyes, M.; Richardson, E. Interrogating the Preservation Performance of Crates in Transit: Environmental Monitoring of Crates During Land and Air Transit to Assess Thermal Insulation and Moisture Buffering Capabilities of Different Crate Design and Materials. PACCIN Crating Pack Sustinability 2023. Available online: https://www.paccin.org/content.php?443-Call-for-Speaker-Presentation-Submissions (accessed on 10 January 2025).
  11. Andrews, K. Recommended Best Practices for the Sealed Package Mitigating Ambient Environmental Conditions with a Framed Microclimate for the Preservation of Paper-Based Collections; Northumbria University: Newcastle upon Tyne, UK, 2009; pp. 1–88. [Google Scholar]
  12. Blyth-Hill, V. Passepartout: Stabilized Humidity Control Package; The American Institute for Conservation: Washington, DC, USA, 1991; Available online: https://cool.culturalheritage.org/coolaic/sg/bpg/annual/v10/bp10-03.html (accessed on 23 April 2025).
  13. Thickett, D. Print frame microclimates. In Art on Paper: Mounting and Housing; Judith, R., Kosek, J.M., Christensen, B., Eds.; Archetype Publications and The British Museum: London, UK, 2005. [Google Scholar]
  14. Phipps, H. Microenclosures for Framed Collections. Exhibitionist 2001, 20, 37–40. [Google Scholar]
  15. Phibbs, H.; Booth, J. Innovations in Sealed Packages Crib Sheet; Tru Vue: Countryside, IL, USA. 2015; Available online: https://tru-vue.com/2015/08/innovations-in-sealed-packages-hugh-phibbs-presentation-crib-sheet/ (accessed on 2 January 2018).
  16. Carver-Kubik, A.; Noyes, M.; Gutierrez, J.J. Image Permanence Institute Sealed Frame Package Questionnaire; Rochester, NY, USA. 2021. Available online: https://www.rit.edu/ipi/sites/rit.edu.ipi/files/documents/sealed_frame_package_questionnaire_results.pdf (accessed on 23 April 2025).
  17. ISO 18902:2013; Imaging Materials—Processed Imaging Materials—Albums, Framing, and Storage Materials. ISO: Geneva, Switzerland, 2013.
  18. ANSI TAPPI T 509 om-06: Hydrogen Ion Concentration (PH) Of Paper Extracts (Cold Extraction Method); Technical Association of Pulp and Paper Industry: Danvers, MA, USA, 2006.
  19. ISO 18916:2007; Imaging Materials—Processed Imaging Materials—Photographic Activity Test for Enclosure Materials. ISO: Geneva, Switzerland, 2007.
  20. Daniel, V.; Maekawa, S. Hygrometric Half-Lives of Museum Cases. Restaurator 1993, 14, 30–44. [Google Scholar] [CrossRef]
  21. Weintraub, S. Report on the Environmental Performance of Solander Boxes; Los Angeles, LA, USA, 1987. [Google Scholar]
  22. Bigourdan, J.-L.; Reilly, J.M.; Santoro, K.A. Effects of Fluctuating Environments on Library and Archives Materials; Washington, DC, USA, 2003. [Google Scholar]
  23. Thompson, G. Stabilization of RH in Exhibition Cases: Hygrometric Half-Time. Stud. Conserv. 1977, 22, 85–102. [Google Scholar] [CrossRef]
  24. Helwig, K.; Poulin, J. Analysis of 3M 415 Pressure-Sensitive Adhesive Tape; Montreal, Canada, 2020. [Google Scholar]
  25. Brydson, J. Plastics Materials, 7th ed.; Butterworth-Heinemann: Oxford, UK, 1999. [Google Scholar]
  26. Kavda, S.; Golfomitsou, S.; Richardson, E. Effects of selected solvents on PMMA after prolonged exposure: Unilateral NMR and ATR-FTIR investigations. Herit. Sci. 2023, 11, 63. [Google Scholar] [CrossRef]
  27. Nunberg, S.; Eckleman, M.; Sutton, S.; Sanchez, S. STiCH: Tools for Informed Sustainable Choices. Available online: https://stich.culturalheritage.org/ (accessed on 23 April 2025).
Figure 1. Cross-sectional schematic of the primary sealed frame package components, excluding the object.
Figure 1. Cross-sectional schematic of the primary sealed frame package components, excluding the object.
Heritage 08 00151 g001
Figure 2. Image showing the central recess (dashed circle) cutout of each mat package to incorporate a data logger.
Figure 2. Image showing the central recess (dashed circle) cutout of each mat package to incorporate a data logger.
Heritage 08 00151 g002
Figure 3. Box and whisker plots showing the hygrometric half-life for the glazing comparison. The boxes represent the 25th and 75th percentile for each dataset, with the whiskers representing minimum and maximum values. The interior line is the median value and the cross marker is the calculated mean value.
Figure 3. Box and whisker plots showing the hygrometric half-life for the glazing comparison. The boxes represent the 25th and 75th percentile for each dataset, with the whiskers representing minimum and maximum values. The interior line is the median value and the cross marker is the calculated mean value.
Heritage 08 00151 g003
Figure 4. Box and whisker plots showing the hygrometric half-life for the vapor-proof barrier comparison. The boxes represent the 25th and 75th percentile for each dataset, with the whiskers representing minimum and maximum values. The interior line is the median value and the cross marker is the calculated mean value.
Figure 4. Box and whisker plots showing the hygrometric half-life for the vapor-proof barrier comparison. The boxes represent the 25th and 75th percentile for each dataset, with the whiskers representing minimum and maximum values. The interior line is the median value and the cross marker is the calculated mean value.
Heritage 08 00151 g004
Figure 5. Box and whisker plots showing the hygrometric half-life for the seal comparison. The boxes represent the 25th and 75th percentile for each dataset, with the whiskers representing minimum and maximum values. The interior line is the median value, the cross marker is the calculated mean value, and the dots represent outliers.
Figure 5. Box and whisker plots showing the hygrometric half-life for the seal comparison. The boxes represent the 25th and 75th percentile for each dataset, with the whiskers representing minimum and maximum values. The interior line is the median value, the cross marker is the calculated mean value, and the dots represent outliers.
Heritage 08 00151 g005
Figure 6. Box and whisker plots showing the hygrometric half-life for the control packages: (a) data relating to all control packages; (b) control data excluding SFP20 (G_BB_BaggedMS_NA); (c) inset showing details of control data excluding SFP20 and SFP21 (G_BB_BaggedPE_NA), demonstrating rapid rates of equilibration. The boxes represent the 25th and 75th percentile for each dataset, with the whiskers representing minimum and maximum values. The interior line is the median value, the cross marker is the calculated mean value, and the dots represent outliers.
Figure 6. Box and whisker plots showing the hygrometric half-life for the control packages: (a) data relating to all control packages; (b) control data excluding SFP20 (G_BB_BaggedMS_NA); (c) inset showing details of control data excluding SFP20 and SFP21 (G_BB_BaggedPE_NA), demonstrating rapid rates of equilibration. The boxes represent the 25th and 75th percentile for each dataset, with the whiskers representing minimum and maximum values. The interior line is the median value, the cross marker is the calculated mean value, and the dots represent outliers.
Heritage 08 00151 g006
Table 1. Component materials used to construct the sealed frame packages, their unique identifier, and summary of the PAT material testing results for each component. Not applicable (N/A) denotes that the PAT test is not applicable for this material type. The image interaction (I.I.) detector comprises colloidal silver dispersed in a thin hardened gelatin layer on a polyester base. I.I detector is used to screen for oxidation and reduction reactions that can cause image fading, silver mirroring, and/or red/gold spots, also known as mottling. The gelatin stain detector is a photographic paper processed to minimum density. The stain detector is used to screen for reactions that produce chromophores and cause print yellowing.
Table 1. Component materials used to construct the sealed frame packages, their unique identifier, and summary of the PAT material testing results for each component. Not applicable (N/A) denotes that the PAT test is not applicable for this material type. The image interaction (I.I.) detector comprises colloidal silver dispersed in a thin hardened gelatin layer on a polyester base. I.I detector is used to screen for oxidation and reduction reactions that can cause image fading, silver mirroring, and/or red/gold spots, also known as mottling. The gelatin stain detector is a photographic paper processed to minimum density. The stain detector is used to screen for reactions that produce chromophores and cause print yellowing.
UseAcronym Identifier DescriptionManufacturerPAT Contact SideI.I. ControlI.I.Image Interaction %
(−20% ≤ Pass ≤ 20%)
Red (−); Ox (+)
Stain Detector ControlStain DetectorStain Detector P/FMottlingOverall
Glazing GGlass, uncoatedLumiere, USA N/AN/AN/AN/AN/AN/AN/AN/A
AAcrylic, uncoatedAcrylite®, Sanford, ME, USA −0.93−1.007%0.130.13PassPassPass
CAConservation acrylic, UV-coated Tru Vue, McCook, IL USA −0.93−0.941%0.130.14PassPassPass
MAMuseum acrylic, anti-reflective coatingTru Vue, McCook, IL USA −0.93−0.941%0.130.15PassPassPass
Backing BoardBB
Blue Board, paper boardTalas, Brooklyn, NY USABlue Side−0.87−0.9610%0.130.16PassPassPass
Blue Board, paper board White Side−0.87−1.0016%0.130.18PassPassPass
Vapor-Proof BarrierAlFAluminum Foil, food gradeWegmans, Rochester, NY, USA −0.93−0.930%0.130.13PassPassPass
CCoroplast®, polypropylene corrugated plasticCoroplast, Vanceburg, KT, USA −0.93−0.87−6%0.130.13PassPassPass
MSMarvelseal® 360, aluminized nylon and polyethyleneIMPAK Corporation, Sebastian, FL, USAInside−0.87−0.82−6%0.130.13PassPassPass
Marvelseal® 360, aluminized nylon and polyethyleneOutside−0.87−0.926%0.130.13PassPassPass
PCPolycarbonatePolymershapes, Rochester, NY, USA −0.93−0.953%0.130.13PassPassPass
PETMylar® sheeting, polyester Mylar Speciality Films, Tyngsboro, MA, USA −0.87−0.870%0.130.13PassPassPass
SealAFTAluminum foil tape, 425, aluminum foil and acrylic adhesive3M, St. Paul, MN, USAAdhesive−0.87−0.9610%0.130.13PassPassPass
Aluminum foil tape, 425, aluminum foil and acrylic adhesiveCarrier−0.87−0.9510%0.130.13PassPassPass
JJ-LAR® Tape, Polypropylene and pressure-sensitive adhesiveShurtape Technologies,, Hickory, NC, USAAdhesive−0.87−0.915%0.130.14PassPassPass
J-LAR® Tape, Polypropylene and pressure-sensitive adhesive Carrier−0.87−0.84−3%0.130.13PassPassPass
FSTFrame-Sealing Tape, Metal, paper carrier and acrylic adhesiveLineco, Holyoke, MA, USAAdhesive−0.87−0.9510%0.130.14PassPassPass
Frame-Sealing Tape, Metal, paper carrier and acrylic adhesive Carrier−0.87−0.9914%0.130.18PassPassPass
MFTMetalized Film Tape, 850, Metalized polyester and pressure-sensitive adhesive3M, St. Paul, MN, USAAdhesive−0.87−1.0116%0.130.18PassPassPass
Metalized Film Tape, 850, Metalized polyester and pressure-sensitive adhesiveCarrier−0.87−0.84−4%0.130.13PassPassPass
HMGHot Melt Glue, Ethylene-vinyl acetate adhesive Infinity Bond, Eden Prairie, MN, USA −0.87−0.948%0.130.13PassPassPass
DSTDouble-sided Tape, 415, polyester with 3MTM acrylic adhesive 400 3M, St. Paul, MN, USATest 1−0.87−1.0622%0.130.15PassPassFail
DSTDouble-sided Tape, 415, polyester with 3MTM acrylic adhesive 400 Test 2−0.94−1.1320%0.110.10PassPassPass
AA3MTM acrylic adhesive 400 without Carrier, 465 3M, St. Paul, MN, USAAdhesive −0.95−1.0813%0.110.13PassPassPass
Table 2. Numerical identifiers (Sample No.) and unique SFP identifiers for each SFP design. The unique identifier refers to each package component in the following order: Glazing_Backing Board_Vapor-proof Barrier_Seal. Where not applicable (NA), this is indicated within the unique identifier. See Table 1 for description of each acronym. The color code in the table indicates the SFP component being tested: glazing (green), vapor-proof barrier (blue), seal (purple), control experiments (orange).
Table 2. Numerical identifiers (Sample No.) and unique SFP identifiers for each SFP design. The unique identifier refers to each package component in the following order: Glazing_Backing Board_Vapor-proof Barrier_Seal. Where not applicable (NA), this is indicated within the unique identifier. See Table 1 for description of each acronym. The color code in the table indicates the SFP component being tested: glazing (green), vapor-proof barrier (blue), seal (purple), control experiments (orange).
SFP Sample No.SFP Identifier/GlazingSFP Identifier/
Backing
SFP Identifier/
Vapor-Proof Barrier
SFP
Identifier/Seal
No. of
Replicates
Notes
01GBBMSAFT4
02ABBMSAFT3
03CABBMSAFT3
04MABBMSAFT3
05GBBAAFT2
06GNACAFT3
07GBBPETAFT3
08GBBAlFAFT3
09GNAPCAFT3
10GBBCAFT1
11GBBPCAFT2
12GBBMSJMS5
13GBBMSMFT3
14GBBMSDST3
15GBBMSHMG3
16GBBMSJ5
17GBBMSFST5
18GBBMSAFT_P901
19GBBMSNRC1No reinforced corners
20GBBBaggedMSNA3Control
21GBBBagged PENA4Control
22GBBNANA3Control
23GBBNAMetalframe3Control
24GBBNAWoodenframe3Control
25GBBNAAFT3Control
26GBBNAWoodenframe2Control
Table 3. Results from the cold extraction pH test for each adhesive.
Table 3. Results from the cold extraction pH test for each adhesive.
IdentifierDescriptionTAPPI Cold Extraction pH Value
(ASTM Type I/II pH = 6.2)
AFTAluminum foil tape, 3MTM 4255.9
JJ-Lar® Tape5.2
FSTFrame-Sealing Tape8.9
MFTMetalized Film Tape, 3MTM 8505.3
DSTDouble-sided Tape, 3MTM 4155.9
Table 4. Quantified summary of ease of construction and deconstruction of the frame package seal materials tested.
Table 4. Quantified summary of ease of construction and deconstruction of the frame package seal materials tested.
Seal MaterialEase of Use During Construction
(1 Easy—5 Difficult)
Ease of Reversibility with Glass
(1 Easy—5 Difficult)
Ease of Reversibility with Acrylic
(1 Easy—5 Difficult)
Frame-Sealing Tape Gray, 1.25 in. × 85 ft; Lineco14Not tested
Aluminum Foil Tape 425 DWB, 1.5 in. wide; 3MTM332
J-Lar® 2.0 in. wide; ShurtapeAlone: 2
With Marvelseal: 3
Alone: 4
With Marvelseal: 3
Not tested
Metalized Film Tape 850 SL, 2 in. wide; 3MTM45Not tested
Marvelseal® with 3MTM double-sided tape 415; 415 was 0.25 in. wideTape application: 1
Heat sealing: 4
1Not tested
Marvelseal® with hot meltHot melt application: 3
Heat sealing: 4
1Not tested
Table 5. Estimated greenhouse gas emissions for the three microclimates recommended for transit and display or transit alone. The greenhouse gas (GHG) values were derived from data published on the STiCH Carbon Calculator and through personal communication with the creators of the STiCH platform [27].
Table 5. Estimated greenhouse gas emissions for the three microclimates recommended for transit and display or transit alone. The greenhouse gas (GHG) values were derived from data published on the STiCH Carbon Calculator and through personal communication with the creators of the STiCH platform [27].
SFP Sample NoSFP IdentifierMaterialGHG Unit/kgCO2/kg
¥ kgCO2/m2
Approximate Quantity Used/kg
m2
Estimated GHG
Emission
Total Estimated GHG Emission for SFP
03CA_BB_MS_AFAcrylic8.290.141.18
Blue Board0.940.030.03
Marvelseal®0.42 ¥0.06 0.03
Aluminum Foil Tape3.920.010.041.28
05G_BB_A_AFTGlass1.030.280.29
Blue Board0.940.030.03
Acrylic8.290.0141.18
Aluminum Foil Tape3.920.010.041.54
21G_BB_BaggedPE_NAGlass1.030.280.29
Blue Board0.940.030.03
Polyethylene2.840.0280.080.40
Disclaimer/Publisher’s Note: The statements, opinions and data contained in all publications are solely those of the individual author(s) and contributor(s) and not of MDPI and/or the editor(s). MDPI and/or the editor(s) disclaim responsibility for any injury to people or property resulting from any ideas, methods, instructions or products referred to in the content.

Share and Cite

MDPI and ACS Style

Richardson, E.J.; Sharps Noyes, M.; Cummings, M.; Carver-Kubik, A.; Gutierrez, J.J. Interrogating the Preservation Performance and Reuse of Sealed Frame Packages for Transit and Display. Heritage 2025, 8, 151. https://doi.org/10.3390/heritage8050151

AMA Style

Richardson EJ, Sharps Noyes M, Cummings M, Carver-Kubik A, Gutierrez JJ. Interrogating the Preservation Performance and Reuse of Sealed Frame Packages for Transit and Display. Heritage. 2025; 8(5):151. https://doi.org/10.3390/heritage8050151

Chicago/Turabian Style

Richardson, Emma J., Meredith Sharps Noyes, Marvin Cummings, Al Carver-Kubik, and Jennifer Jae Gutierrez. 2025. "Interrogating the Preservation Performance and Reuse of Sealed Frame Packages for Transit and Display" Heritage 8, no. 5: 151. https://doi.org/10.3390/heritage8050151

APA Style

Richardson, E. J., Sharps Noyes, M., Cummings, M., Carver-Kubik, A., & Gutierrez, J. J. (2025). Interrogating the Preservation Performance and Reuse of Sealed Frame Packages for Transit and Display. Heritage, 8(5), 151. https://doi.org/10.3390/heritage8050151

Article Metrics

Back to TopTop