The Contribution of the Management of Landscape Features to Soil Organic Carbon Turnover among Farmlands
Abstract
1. Introduction
2. Materials and Methods
2.1. Case Studies
2.2. Natural and Agricultural Components Characteristics
- Agroforestry model (AGF): Organic rice and other crop production implementing conservation agriculture practices (minimum tillage, cover crops), crop rotations, with no chemical inputs (AGR_AGF); also encompassing the management of natural and semi-natural areas among farmland (hedgerows, small woody areas, wetlands, etc.) with different degrees of maturity (young (NAT_1) and mature (NAT_2) hedgerows, young (NAT_3) and mature (NAT_4) woody areas).
- Conventional model (CV): No semi-natural area management; farmland is composed only of agricultural land uses (crop fields, mainly conventional monoculture, with tillage, no cover crops, and intensive chemical inputs) (AGR_CV) and herbaceous field margins (periodically disturbed by herbicides and mowing) (NAT_CV).

2.3. Phytocoenoses Ecological Quality Classification
- Biological Territorial Capacity (BTC), a synthetic indicator that evaluates the metastability of the vegetated landscape mosaic, based on the resistance stability concept [83], the main vegetated ecosystems of the biosphere [84], and their metabolic data [60,61,62]. BTC evaluates the energetic flux that an ecological system must expend to maintain its level of organisation and metastability [Mcal/ha/yr] [61], and it is inversely related to anthropic disturbance. It can be considered an estimator of the maturity degree of phytocoenoses, and its mean values for land use types have already been estimated for the Northern Italy context (reference ranges for each main phytocoenosis type). In this study, we referred to Ingegnoli’s BTC unitary value ranges identified for the Po Plain context [61,62], which we attributed to each sampling site according to its actual state.
- Index of Vegetation Naturalness (IVN), an indicator that evaluates the landscape naturalness degree based on phytosociological syntaxa classification into degrees of naturalness, reflecting a decrease in human impact on vegetation types. In this study, we referred to IVN natural category values, as identified by Ferrari [63,85], which were attributed to each sampling site.
2.4. Soil Sampling and Organic Carbon Partitioning Analysis
2.5. Data Analysis
- The four pedological contexts (for the entire dataset, both NAT and AGR data (n = 36)), to identify possible significant differences that might be related to the different pedological contexts.Differences were investigated using ANOVA or non-parametric Kruskal-Wallis rank tests when the data distribution did not meet the assumption of normality. In cases of significant differences (p < 0.05), these were followed by Tukey’s pairwise test or Mann-Whitney pairwise test. In some cases, we applied BOX-COX transformation to obtain normally distributed data.
- AGR and NAT sites (n = 36), to report on the effect of arable fields (AGR: AGR_CV; AGR_AGF) on OC turnover and the role of LF management (NAT) in balancing possible negative patterns among farmlands (first research question). We first included and then excluded NAT_CV components (conventional herbaceous field margins) from NAT sites to separately compare all field margins case histories (both herbaceous and hedged margins) and then those related to agroforestry-based hedgerow management. TOC, DOC, and ROC relations were investigated for the entire dataset, and then for the separated NAT and AGR components, also through Ordinary Least Squares Regression with TOC as the independent variable and DOC and ROC as dependent variables.Differences between AGR and NAT groups were investigated with a t test for equal means (Monte Carlo permutation non-parametric test) and the Mann-Whitney U test for equal medians (non-parametric test). Tests were run on BOX-COX transformed data to get closer to normal distribution, which was not attained for all AGR and NAT sub-samples.Differences and OC turnover patterns were also investigated through correlation analysis (Spearman’s rs correlation coefficient) of TOC, DOC, and ROC content (all NAT and AGR data; n = 36) with:
- agricultural management (AGR);
- natural management (NAT), excluding NAT_CV;
- the different TOC fractions (TOC, DOC, ROC)
- Hedgerows (HED: NAT_1; NAT_2) and arable fields (AGR: AGR_CV; AGR_AGF) (n = 24), to specifically investigate the contribution of hedgerow management among crop field farmlands (second research question). We investigated differences between HED and AGR using a t test for equal means (Monte Carlo permutation non-parametric test) and the Mann-Whitney U test for equal medians (non-parametric test). Tests were run on BOX-COX transformed data to get closer to a normal distribution, which was not attained for all AGR and HED sub-samples.To investigate the relation between TOC, DOC, and ROC content and the different ecological quality degrees of the AGR and NAT components (BTC; IVN) (third research question), we conducted Spearman’s rs correlation analysis and Ordinary Least Squares Regression analysis with BTC and IVN as independent variables and TOC and ROC as dependent variables (BOX-COX transformed data).
3. Results
3.1. Entire Dataset
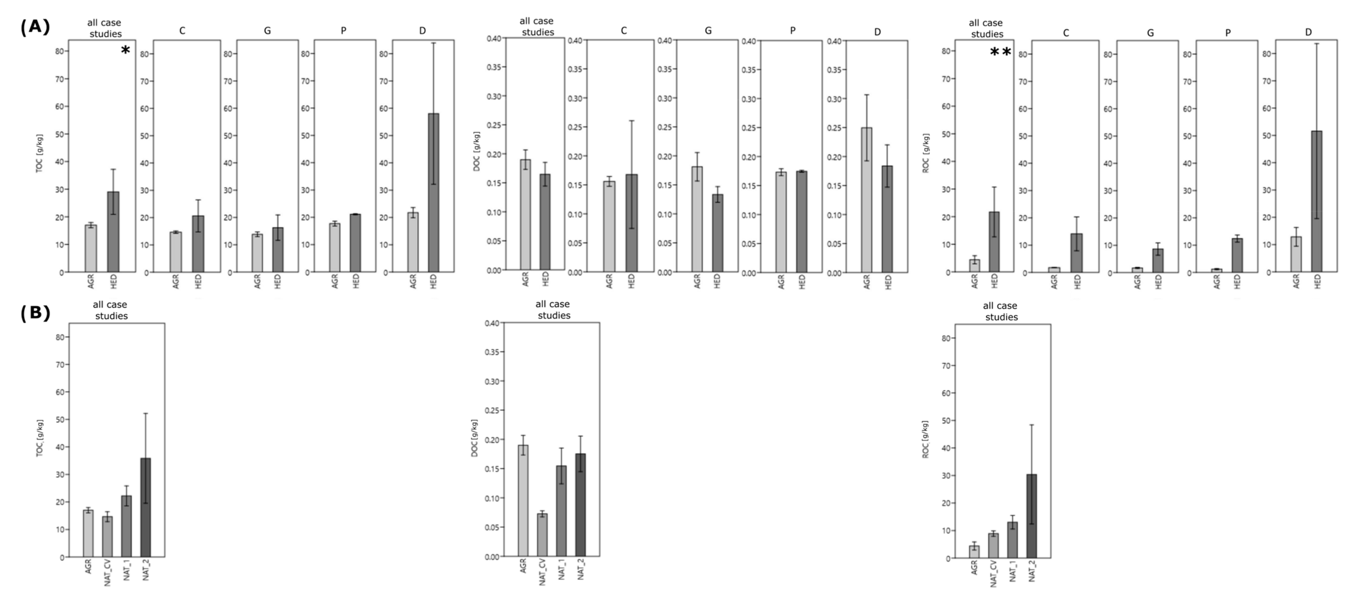
3.2. Differences between NAT and AGR Sites
3.3. Differences between Hedgerows and AGR Sites
3.4. Phytocoenoses Ecological Quality and SOC Turnover Behaviour
- A significant positive effect of both BTC and IVN on TOC values (Figure 7): the linear regression models are significant (p < 0.01 in both cases), even though they have limited descriptive capacity (respectively: r2 = 0.25; 0.23) (Appendix A, Table A5);
- A stronger positive effect of both BTC and IVN on ROC values (Figure 7; Appendix A, Table A5), with higher model significance and better performance of the IVN model (BTC: p < 0.0001; IVN: p < 0.000001). The IVN linear regression model showed higher descriptive capacity (BTC: r2 = 0.42; IVN: r2 = 0.56) (Appendix A, Table A5).
4. Discussion
4.1. Natural/Semi-Natural Components Significantly Contribute to Medium-Long Term SOC Storage among Farmlands
- A clear separated SOC partitioning behaviour between arable fields (AGR) and LF (NAT), concerning long-term SOC fraction (ROC). This confirms previous literature experiences results (see Section 1 paragraph), showing how the management of LF among farmland (hedgerows, groves, and woodlands): i. significantly increases mean TOC values (+79%) compared to arable fields; ii. significantly contributes to medium-long term SOC turnover (mean ROC values; +409%), improving the SOC stock functions of farmlands over time. NAT and AGR land uses are mostly distinguished by long-term SOC partitioning processes (ROC), whereas the readily available SOC fraction (DOC) does not show significant differences. Nonetheless, DOC data show a general rising trend in arable fields (AGR) compared to LF (NAT), as AGR land uses are significantly negatively correlated with ROC values. The detected relation between arable fields and DOC values is coherent to the typical soil disturbance traits characterising AGR fields (if compared to more stable semi-natural and natural sites), which are related to the agricultural need for readily available, soluble organic compounds, easily degraded and acting as an energy source for soil biota. This is also coherent to the typical in-field spontaneous phytocoenoses ecological traits, as highlighted in a recent study conducted in three of the four case studies presented here [90]. The detected in-field weed communities show medium to high soil nutrient content needs and are dominated by therophytes, which have short life cycle strategies (in temperate agricultural contexts, they are generally related to frequent soil disturbance traits and readily available soil nutrients).
- TOC values were a robust predictor of ROC values when considering the entire dataset (NAT and AGR sites;r2 = 0.95), with the highest descriptive capacity when considering the LF subset (NAT sites; r2 = 0.98), and lower, but still consistent, descriptive capacity when considering the arable fields subset (AGR sites; r2 = 0.70). In the studied contexts, TOC value assessment could be considered a proxy for long-term organic carbon stocking capacity (ROC), especially for NAT sites showing medium-to-high TOC values (>20 g/kg). Lower predictability could be attained on AGR sites, especially for sites with uncommonly high TOC values (>18 g/kg).
4.2. Hedgerows Promote Higher Medium-Long Term SOC Storage among Farmland by Age
- Significant differences between TOC and ROC values in hedgerows (HED), compared to arable fields (AGR), are in line with pre-existing studies in other temperate regions. Hedgerow TOC was +71% higher than that in arable fields: these differences were higher than those registered in previous studies (Drexler’s meta-analysis reported a 15–51% range in temperate case studies (95% confidence interval)) [18]. ROC differences between hedgerows and arable fields were particularly high: +395% ROC values in hedgerows. ROC differences with arable fields were significant for both young and mature hedgerows. Arable fields showed the highest DOC values, which were significantly higher than those in herbaceous conventional field margins. This could be explained by typical temporal variations in soil DOC values due to soil management and the sampling period. For example, Al-Graiti et al. [91] detected higher DOC concentrations in spring. Embacher et al. [92] reported that DOM exhibited seasonal fluctuations in several soil types, although limited information is available on how DOM properties in arable soils respond to the combined effects of sampling dates and agrotechnical effects. Furthermore, soil tillage can accelerate organic matter decomposition. This may explain why arable fields showed the highest DOC values.
- A positive gradient of TOC values was observed, increasing from arable fields to young hedgerows to mature ones.
4.3. Landscape Features of Higher Ecological Quality Promote Higher Medium-Long Term SOC Storage among Farmland
- The two selected indicators representing the LF phytocoenoses ecological quality (BTC, IVN) showed significant positive relations with TOC values, and even more so with ROC values. That means, that the ecological status of AGF phytocoenoses, their stability over time, and their degree of naturalness (here intended as the different degrees of anthropic disturbance influencing spontaneous phytocoenoses dynamic trends) are strictly positively related to higher SOC stock capacity and, specifically, to higher long-term SOC turnover processes. The linear models built for the three ecological quality selected indicators showed good performance, with the best ones in IVN influences on ROC values (r2 = 0.56).
5. Conclusions
Author Contributions
Funding
Institutional Review Board Statement
Informed Consent Statement
Data Availability Statement
Conflicts of Interest
Appendix A


| TOC | DOC | ROC | ||||
| g/kg | % | g/kg | % | g/kg | % | |
| N | 36 | 36 | 36 | 36 | 36 | 36 |
| Min | 10.49 | 1.05 | 0.06 | 0.16 | 0.69 | 3.86 |
| Max | 83.96 | 8.40 | 0.38 | 1.94 | 83.66 | 99.65 |
| Sum | 817.79 | 81.77 | 5.85 | 30.66 | 462.63 | 1642.56 |
| Mean | 22.72 | 2.27 | 0.16 | 0.85 | 12.85 | 45.63 |
| Std. error | 2.60 | 0.26 | 0.01 | 0.06 | 2.88 | 4.70 |
| Variance | 243.75 | 2.44 | 0.00 | 0.14 | 298.95 | 794.08 |
| Stand. dev | 15.61 | 1.56 | 0.06 | 0.37 | 17.29 | 28.18 |
| Median | 18.02 | 1.81 | 0.16 | 0.86 | 9.26 | 54.43 |
| 25 percentil | 14.75 | 1.48 | 0.12 | 0.56 | 1.81 | 12.48 |
| 75 percentil | 24.60 | 2.46 | 0.19 | 1.06 | 16.30 | 66.73 |
| Skewness | 3.06 | 3.06 | 1.18 | 0.44 | 3.03 | −0.19 |
| Kurtosis | 9.92 | 9.91 | 2.63 | 0.94 | 10.14 | −1.31 |
| Coeff. var | 68.73 | 68.78 | 39.74 | 43.78 | 134.55 | 61.76 |
| NAT + AGR data | NAT data | AGR data | |||
| TOC-DOC | TOC-ROC | TOC-ROC | TOC-ROC | ||
| REGRESSION | Slope a: | −0.00478 | 1.0788 | 1.0209 | 1.306 |
| Std. error a: | 0.000894 | 0.042943 | 0.037987 | 0.2273 | |
| Intercept b: | 0 | −12 | −8 | −18 | |
| Std. error b: | 0.24896 | 1.1784 | 1.2677 | 3.9514 | |
| t: | 0 | 25 | 27 | 6 | |
| p(slope): | 0.72898 | 1.55 × 10−23 | 5.58 × 10−16 | 5.06 × 10−5 | |
| CORRELATION | r2: | 0.003577 | 0.94888 | 0.97568 | 0.70221 |
| p(uncorr.): | 0.72898 | 1.55 × 10−23 | 5.58 × 10−16 | 5.06 × 10−5 | |
| RESIDUALS | p(no pos. Autocorr.) | 0.14615 | 0.22735 | 0.97731 | 0.3962 |
| p(homoskedasticity) | 0.98696 | 0.59042 | 0.066902 | 0.1845 | |
| Shapiro-Wilk W | 0.9198 | 0.9802 | 0.9857 | 0.9544 | |
| p(normal) | 0.01243 | 0.7523 | 0.9856 | 0.5616 | |
| Including NAT_CV | Excluding NAT_CV | |||||||||||
| TOC g/kg | DOC g/kg | ROC g/kg | TOC g/kg | DOC g/kg | ROC g/kg | |||||||
| LAND USE | Mean | SE | Mean | SE | Mean | SE | Mean | SE | Mean | SE | Mean | SE |
| AGR | 16.99 | 0.95 | 0.19 | 0.02 | 4.38 | 1.48 | 16.99 | 0.95 | 0.19 | 0.02 | 4.38 | 1.48 |
| NAT | 27.30 | 4.40 | 0.14 | 0.01 | 19.63 | 4.55 | 30.46 | 5.22 | 0.16 | 0.01 | 22.31 | 5.51 |
| t TEST | t TEST | t TEST | t TEST | t TEST | t TEST | |||||||
| p(same mean) Monte Carlo permutation | 0.0292 | * | 0.0111 | * | 0.0001 | *** | 0.0036 | ** | 0.1032 | 0.0001 | *** | |
| Mann-Whitney Test | Mann-Whitney Test | Mann-Whitney Test | Mann-Whitney Test | Mann-Whitney Test | Mann-Whitney Test | |||||||
| p(same median) | 0.058195 | 0.037048 | * | 0.00010971 | *** | 0.007044 | ** | 0.20674 | 0.0001306 | *** | ||
| TOC g/kg | DOC g/kg | ROC g/kg | ||||
| (A) | Mean | SE | Mean | SE | Mean | SE |
| AGR | 16.99 | 0.95 | 0.19 | 0.02 | 4.38 | 1.48 |
| HED | 29.02 | 8.16 | 0.16 | 0.02 | 21.70 | 9.03 |
| t TEST | t TEST | t TEST | ||||
| p(same mean) Monte Carlo permutation | 0.0217 | * | 0.2982 | 0.002 | ** | |
| Mann-Whitney Test | Mann-Whitney Test | Mann-Whitney Test | ||||
| p(same median) | 0.07084 | 0.6027 | 0.002436 | ** | ||
| (B) | Mean | SE | Mean | SE | Mean | SE |
| AGR | 16.99 | 0.95 | 0.19 | 0.02 | 4.38 | 1.48 |
| NAT_CV | 14.65 | 1.80 | 0.07 | 0.01 | 8.90 | 0.99 |
| NAT_1 | 22.19 | 3.63 | 0.15 | 0.03 | 13.01 | 2.47 |
| NAT_2 | 35.85 | 16.33 | 0.18 | 0.03 | 30.38 | 18.00 |
| Kruskal-Wallis | Kruskal-Wallis | Kruskal-Wallis | ||||
| p(same) | 0.1472 | 0.02373 | * | 0.009528 | ** | |
| Mann-Whitney | Mann-Whitney | Mann-Whitney | ||||
| p value AGR-NAT_CV | 0.002916 | ** | 0.06539 | |||
| p value AGR-NAT_1 | 0.6707 | 0.02638 | * | |||
| p value AGR-NAT_2 | 0.7409 | 0.01597 | * | |||
| p value NAT_CV-NAT_1 | 0.1124 | 0.1939 | ||||
| p value NAT_CV-NAT_2 | 0.03038 | * | 0.3123 | |||
| p value NAT_1-NAT_2 | 0.8852 | 0.665 | ||||
| BTC-TOC | BTC-ROC | IVN-TOC | IVN-ROC | ||
| REGRESSION | Slope a: | 0.13918 | 0.72596 | 0.15921 | 1.0244 |
| Std. error a: | 0.73279 | 1.7575 | 0.72202 | 1.933) | |
| Intercept b: | 3 | 1 | 3 | −1 | |
| Std. error b: | 3.4605 | 1.7855 | 3.5169 | 0.81433 | |
| t: | 3 | 5 | 3 | 7 | |
| p(slope): | 0.0018829 | 0.000016966 | 0.0029317 | 1.30 × 10−7 | |
| CORRELATION | r2: | 0.25041 | 0.42413 | 0.23206 | 0.56431 |
| p(uncorr.): | 0.0018829 | 0.000016966 | 2.93 × 10−3 | 1.30 × 10−7 | |
| RESIDUALS | p(no pos. Autocorr.) | 0.043962 | 0.020288 | 0.049096 | 0.0491 |
| p(homoskedasticity) | 0.056663 | 0.22153 | 0.043679 | 0.61232 | |
| Shapiro-Wilk W | 0.9017 | 0.9343 | 0.8987 | 0.8133 | |
| p(normal) | 3.79 × 10−3 | 3.39 × 10−2 | 3.15 × 10−3 | 3.03 × 10−5 |
References
- van Zanten, B.T.; Verburg, P.H.; Espinosa, M.; Gomez-y-Paloma, S.; Galimberti, G.; Kantelhardt, J.; Kapfer, M.; Lefebvre, M.; Manrique, R.; Piorr, A.; et al. European agricultural landscapes, common agricultural policy and ecosystem services: A review. Agron. Sustain. Dev. 2014, 34, 309–325. [Google Scholar] [CrossRef]
- Kay, S.; Rega, C.; Moreno, G.; den Herder, M.; Palma, J.H.N.; Borek, R.; Crous-Duran, J.; Freese, D.; Giannitsopoulos, M.; Graves, A.; et al. Agroforestry creates carbon sinks whilst enhancing the environment in agricultural landscapes in Europe. Land Use Policy 2019, 83, 581–593. [Google Scholar] [CrossRef]
- Mosquera-Losada, M.R.; Prabhu, R. Agroforerstry for Sustainable Agriculture; Burleigh Dodds Science Publishing: Cambridge, UK, 2019; Volume 55. [Google Scholar]
- Udawatta, R.P.; Jose, S. Agroforestry and Ecosystem Services; Springer: Cham, Switzerland, 2021; p. XI. 510p. [Google Scholar]
- Jose, S. Agroforestry for ecosystem services and environmental benefits: An overview. Agrofor. Syst. 2009, 76, 1–10. [Google Scholar] [CrossRef]
- Castle, S.E.; Miller, D.C.; Merten, N.; Ordonez, P.J.; Baylis, K. Evidence for the impacts of agroforestry on ecosystem services and human well-being in high-income countries: A systematic map. Environ. Evid. 2022, 11, 10. [Google Scholar] [CrossRef]
- Torralba, M.; Fagerholm, N.; Burgess, P.J.; Moreno, G.; Plieninger, T. Do European agroforestry systems enhance biodiversity and ecosystem services? A meta-analysis. Agric. Ecosyst. Environ. 2016, 230, 150–161. [Google Scholar] [CrossRef]
- European Commission. Communication from the Commission to the European Parliament, the Council, the European Economic and Social Committee and the Committee of the Regions—EU Biodiversity Strategy for 2030—Bringing Nature Back into Our Lives; 20.5.2020 COM(2020) 380 final; European Commission: Brussels, Belgium, 2020. [Google Scholar]
- European Commission. Proposal for a Regulation of the European Parliament and of the Council on Nature Restoration; COM(2022) 304 Final 2022/0195 (COD) 22.6.2022; European Commission: Brussels, Belgium, 2022. [Google Scholar]
- European Commission. Approved 28 CAP Strategic Plans (2023–2027), Summary Overview for 27 Member States, Facts and Figures; European Commission: Brussels, Belgium, 2023. [Google Scholar]
- Lorenz, K.; Lal, R. Soil organic carbon sequestration in agroforestry systems. A review. Agron. Sustain. Dev. 2014, 34, 443–454. [Google Scholar] [CrossRef]
- Amelung, W.; Bossio, D.; de Vries, W.; Kögel-Knabner, I.; Lehmann, J.; Amundson, R.; Bol, R.; Collins, C.; Lal, R.; Leifeld, J.; et al. Towards a global-scale soil climate mitigation strategy. Nat. Commun. 2020, 11, 5427. [Google Scholar] [CrossRef]
- Paustian, K.; Lehmann, J.; Ogle, S.; Reay, D.; Robertson, G.P.; Smith, P. Climate-smart soils. Nature 2016, 532, 49–57. [Google Scholar] [CrossRef]
- Paustian, K.; Collier, S.; Baldock, J.; Burgess, R.; Creque, J.; DeLonge, M.; Dungait, J.; Ellert, B.; Frank, S.; Goddard, T.; et al. Quantifying carbon for agricultural soil management: From the current status toward a global soil information system. Carbon Manag. 2019, 10, 1–21. [Google Scholar] [CrossRef]
- Aguilera, E.; Lassaletta, L.; Gattinger, A.; Gimeno, B. Managing soil carbon for climate change mitigation and adaptation in Mediterranean cropping systems: A meta-analysis. Agric. Ecosyst. Environ. 2013, 168, 25–36. [Google Scholar] [CrossRef]
- Schoeneberger, M. Agroforestry: Working trees for sequestering carbon on agricultural lands. Agrofor. Syst. 2009, 75, 27–37. [Google Scholar] [CrossRef]
- Falloon, P.; Powlson, D.; Smith, P. Managing field margins for biodiversity and carbon sequestration: A Great Britain case study. Soil Use Manag. 2006, 20, 240–247. [Google Scholar] [CrossRef]
- Drexler, S.; Gensior, A.; Don, A. Carbon sequestration in hedgerow biomass and soil in the temperate climate zone. Reg. Environ. Change 2021, 21, 74. [Google Scholar] [CrossRef]
- Holden, J.; Grayson, R.P.; Berdeni, D.; Bird, S.; Chapman, P.J.; Edmondson, J.L.; Firbank, L.G.; Helgason, T.; Hodson, M.E.; Hunt, S.F.P.; et al. The role of hedgerows in soil functioning within agricultural landscapes. Agric. Ecosyst. Environ. 2019, 273, 1–12. [Google Scholar] [CrossRef]
- Sitzia, T.; Pizzeghello, D.; Dainese, M.; Ertani, A.; Carletti, P.; Semenzato, P.; Nardi, S.; Dina, C. Topsoil organic matter properties in contrasted hedgerow vegetation types. Plant Soil 2014, 383, 337–348. [Google Scholar] [CrossRef]
- Viaud, V.; Künnemann, T. Additional soil organic carbon stocks in hedgerows in crop-livestock areas of western France. Agric. Ecosyst. Environ. 2021, 305, 107174. [Google Scholar] [CrossRef]
- Gregg, R.; Elias, J.; Alonso, I.; Crosher, I.; Muto, P.; Morecroft, M. Carbon Storage and Sequestration by Habitat: A Review of the Evidence, 2nd ed.; Natural England: York, UK, 2021; Volume NERR094 V2.1. [Google Scholar]
- Follain, S.; Walter, C.; Bonté, P.; Marguerie, D.; Lefevre, I. A-horizon dynamics in a historical hedged landscape. Geoderma 2009, 150, 334–343. [Google Scholar] [CrossRef]
- Wenzel, W.W.; Philipsen, F.N.; Herold, L.; Kingsland-Mengi, A.; Laux, M.; Golestanifard, A.; Strobel, B.W.; Duboc, O. Carbon sequestration potential and fractionation in soils after conversion of cultivated land to hedgerows. Geoderma 2023, 435, 116501. [Google Scholar] [CrossRef]
- Mayer, S.; Wiesmeier, M.; Sakamoto, E.; Hübner, R.; Cardinael, R.; Kühnel, A.; Kögel-Knabner, I. Soil organic carbon sequestration in temperate agroforestry systems—A meta-analysis. Agric. Ecosyst. Environ. 2022, 323, 107689. [Google Scholar] [CrossRef]
- Cardinael, R.; Chevallier, T.; Cambou, A.; Béral, C.; Barthès, B.G.; Dupraz, C.; Durand, C.; Kouakoua, E.; Chenu, C. Increased soil organic carbon stocks under agroforestry: A survey of six different sites in France. Agric. Ecosyst. Environ. 2017, 236, 243–255. [Google Scholar] [CrossRef]
- Juvinyà, C.; LotfiParsa, H.; Sauras-Yera, T.; Rovira, P. Carbon sequestration in Mediterranean soils following afforestation of abandoned crops: Biases due to changes in soil compaction and carbonate stocks. Land Degrad. Dev. 2021, 32, 4300–4312. [Google Scholar] [CrossRef]
- Seitz, B.; Carrard, E.; Burgos, S.; Tatti, D.; Herzog, F.; Jager, M.; Sereke, F. Increased humus stocks in a seven-year-old agroforestry system in Central Switzerland (in German). Agrar. Schweiz 2017, 8, 318–323. [Google Scholar]
- Chiartas, J.L.; Jackson, L.E.; Long, R.F.; Margenot, A.J.; Geen, A.T. Hedgerows on Crop Field Edges Increase Soil Carbon to a Depth of 1 meter. Sustainability 2022, 14, 12901. [Google Scholar] [CrossRef]
- Chatterjee, N.; Nair, P.; Chakraborty, S.; Nair, V. Changes in soil carbon stocks across the Forest-Agroforest-Agriculture/Pasture continuum in various agroecological regions: A meta-analysis. Agric. Ecosyst. Environ. 2018, 266, 55–67. [Google Scholar] [CrossRef]
- Pardon, P.; Reubens, B.; Reheul, D.; Mertens, J.; De Frenne, P.; Coussement, T.; Janssens, P.; Verheyen, K. Trees increase soil organic carbon and nutrient availability in temperate agroforestry systems. Agric. Ecosyst. Environ. 2017, 247, 98–111. [Google Scholar] [CrossRef]
- Cardinael, R.; Guenet, B.; Chevallier, T.; Dupraz, C.; Cozzi, T.; Chenu, C. High organic inputs explain shallow and deep SOC storage in a long-term agroforestry system—Combining experimental and modeling approaches. Biogeosciences 2018, 15, 297–317. [Google Scholar] [CrossRef]
- Follain, S.; Walter, C.; Legout, A.; Lemercier, B.; Dutin, G. Induced effects of hedgerow network on soil organic carbon storage within an agricultural landscape. Geoderma 2007, 142, 80–95. [Google Scholar] [CrossRef]
- Ford, H.; Healey, J.; Webb, B.; Pagella, T.; Smith, A. How do hedgerows influence soil organic carbon stock in livestock-grazed pasture? Soil Use Manag. 2019, 35, 576–584. [Google Scholar] [CrossRef]
- Biffi, S.; Chapman, P.J.; Grayson, R.P.; Ziv, G. Soil carbon sequestration potential of planting hedgerows in agricultural landscapes. J. Environ. Manag. 2022, 307, 114484. [Google Scholar] [CrossRef]
- LaganiÈRe, J.; Angers, D.A.; ParÉ, D. Carbon accumulation in agricultural soils after afforestation: A meta-analysis. Glob. Change Biol. 2010, 16, 439–453. [Google Scholar] [CrossRef]
- Del Galdo, I.; Six, J.; Peressotti, A.; Cotrufo, F.M. Assessing the impact of land-use change on soil C sequestration in agricultural soils by means of organic matter fractionation and stable C isotopes. Glob. Change Biol. 2003, 9, 1204–1213. [Google Scholar] [CrossRef]
- Kögel-Knabner, I.; Guggenberger, G.; Kleber, M.; Kandeler, E.; Kalbitz, K.; Scheu, S.; Eusterhues, K.; Leinweber, P. Organo-mineral associations in temperate soils: Integrating biology, mineralogy, and organic matter chemistry. J. Plant Nutr. Soil Sci. 2008, 171, 61–82. [Google Scholar] [CrossRef]
- Six, J.; Elliott, E.T.; Paustian, K. Soil macroaggregate turnover and microaggregate formation: A mechanism for C sequestration under no-tillage agriculture. Soil Biol. Biochem. 2000, 32, 2099–2103. [Google Scholar] [CrossRef]
- Sainepo, B.; Gachene, C.; Karuma, A. Assessment of soil organic carbon fractions and carbon management index under different land use types in Olesharo Catchment, Narok County, Kenya. Carbon Balance Manag. 2018, 13, 4. [Google Scholar] [CrossRef] [PubMed]
- Berhe, A.A.; Harden, J.W.; Torn, M.S.; Kleber, M.; Burton, S.D.; Harte, J. Persistence of soil organic matter in eroding versus depositional landform positions. J. Geophys. Res. Biogeosci. 2012, 117, 16. [Google Scholar] [CrossRef]
- Vieira, F.C.B.; Bayer, C.; Zanatta, J.A.; Dieckow, J.; Mielniczuk, J.; He, Z.L. Carbon management index based on physical fractionation of soil organic matter in an Acrisol under long-term no-till cropping systems. Soil Tillage Res. 2007, 96, 195–204. [Google Scholar] [CrossRef]
- Chantigny, M.H. Dissolved and water-extractable organic matter in soils: A review on the influence of land use and management practices. Geoderma 2003, 113, 357–380. [Google Scholar] [CrossRef]
- Pizzeghello, D.; Nicolini, G.; Nardi, S. Hormone-like activities of humic substances in different forest ecosystems. New Phytol. 2002, 155, 393–402. [Google Scholar] [CrossRef]
- Spielvogel, S.; Prietzel, J.; Kögel-Knabner, I. Soil Organic Matter Changes in a Spruce Ecosystem 25 Years after Disturbance. Soil Sci. Soc. Am. J. 2006, 70, 2130–2145. [Google Scholar] [CrossRef]
- Lavallee, J.M.; Soong, J.L.; Cotrufo, M.F. Conceptualizing soil organic matter into particulate and mineral-associated forms to address global change in the 21st century. Glob. Change Biol. 2020, 26, 261–273. [Google Scholar] [CrossRef]
- de Dieu Nzila, J.; Bouillet, J.-P.; Laclau, J.-P.; Ranger, J. The effects of slash management on nutrient cycling and tree growth in Eucalyptus plantations in the Congo. For. Ecol. Manag. 2002, 171, 209–221. [Google Scholar] [CrossRef]
- Bronick, C.J.; Lal, R. Manuring and rotation effects on soil organic carbon concentration for different aggregate size fractions on two soils in northeastern Ohio, USA. Soil Tillage Res. 2005, 81, 239–252. [Google Scholar] [CrossRef]
- Arevalo, C.B.M.; Bhatti, J.S.; Chang, S.X.; Sidders, D. Ecosystem carbon stocks and distribution under different land-uses in north central Alberta, Canada. For. Ecol. Manag. 2009, 257, 1776–1785. [Google Scholar] [CrossRef]
- Baah-Acheamfour, M.; Carlyle, C.N.; Bork, E.W.; Chang, S.X. Trees increase soil carbon and its stability in three agroforestry systems in central Alberta, Canada. For. Ecol. Manag. 2014, 328, 131–139. [Google Scholar] [CrossRef]
- Rebele, F. Urban Ecology and Special Features of Urban Ecosystems. Glob. Ecol. Biogeogr. Lett. 1994, 4, 173–187. [Google Scholar] [CrossRef]
- Biondi, E. Phytosociology today: Methodological and conceptual evolution. Plant Biosyst. 2011, 145, 19–29. [Google Scholar] [CrossRef]
- Ramos, M.B.; Maciel, M.G.R.; Cunha, S.S.d.; de Souza, S.M.; Pedrosa, K.M.; de Souza, J.J.L.L.; González, E.J.; Meave, J.A.; Lopes, S.d.F. The role of chronic anthropogenic disturbances in plant community assembly along a water availability gradient in Brazil’s semiarid Caatinga region. For. Ecol. Manag. 2023, 538, 120980. [Google Scholar] [CrossRef]
- Sotelo-Caro, O.; Valencia-Díaz, S.; Infante-Mata, D.M.; Castillo-Campos, G.; Flores-Palacios, A. The effect of chronic disturbance on the woody plant diversity in a tropical dry forest of Central Mexico. Flora 2023, 306, 152352. [Google Scholar] [CrossRef]
- Ribeiro, E.M.S.; Arroyo-Rodríguez, V.; Santos, B.A.; Tabarelli, M.; Leal, I.R. Chronic anthropogenic disturbance drives the biological impoverishment of the Brazilian Caatinga vegetation. J. Appl. Ecol. 2015, 52, 611–620. [Google Scholar] [CrossRef]
- Machado, A. An index of naturalness. J. Nat. Conserv. 2004, 12, 95–110. [Google Scholar] [CrossRef]
- Viciani, D.; Vidali, M.; Gigante, D.; Bolpagni, R.; Villani, M.; Acosta, A.; Adorni, M.; Aleffi, M.; Allegrezza, M.; Angiolini, C.; et al. A first checklist of the alien-dominated vegetation in Italy. Plant Sociol. 2020, 57, 29–54. [Google Scholar] [CrossRef]
- Costanza, R.; Norton, B.G.; Haskell, B.D. Ecosystem Health; Island Press: Washington, DC, USA, 1992. [Google Scholar]
- Sukopp, H.; Heiny, S.; Kowarik, I. Urban Ecology. Plants and Plant Communities in Urban Environment; SPB Academic Publishing: The Hague, The Netherlands, 1990. [Google Scholar]
- Ingegnoli, V. The study of vegetation for a diagnostical evaluation of agricultural landscapes, some examples fom Lombardy. Ann. Bot. Nuova Ser. 2006, VI, 112–119. [Google Scholar] [CrossRef]
- Ingegnoli, V. Landscape Bionomics: Biological-Integrated Lanscape Ecology; Springer: Milan, Italy, 2015. [Google Scholar]
- Ingegnoli, V.; Giglio, E. Proposal of a synthetic indicator to control ecological dynamics at an ecological mosaic scale. Ann. Bot. 1999, LVII, 182–190. [Google Scholar] [CrossRef]
- Ferrari, C.; Pezzi, G.; Diani, L.; Corazza, M. Evaluating landscape quality with vegetation naturalness maps: An index and some inferences. Appl. Veg. Sci. 2009, 11, 243–250. [Google Scholar] [CrossRef]
- Taffetani, F.; Rismondo, M. Bioindicators system for the evaluation of the environment quality of agro-ecosystems. Fitosociologia 2009, 46, 3–22. [Google Scholar]
- Taffetani, F.; Rismondo, M.; Lancioni, A. Environmental Evaluation and Monitoring of Agro-Ecosystems Biodiversity. In Ecosystems Biodiversity; Venora, O.G.a.G., Ed.; InTech: London, UK, 2011; pp. 333–370. [Google Scholar]
- Giupponi, L.; Bischetti, G.B.; Giorgi, A. Ecological index of maturity to evaluate the vegetation disturbance of areas affected by restoration work: A practical example of its application in an area of the Southern Alps. Restor. Ecol. 2015, 23, 635–644. [Google Scholar] [CrossRef]
- Thiel, B.; Smukler, S.; Krzic, M.; Gergel, S.; Terpsma, C. Using hedgerow biodiversity to enhance the carbon storage of farmland in the Fraser River delta of British Columbia. J. Soil Water Conserv. 2015, 70, 247–256. [Google Scholar] [CrossRef]
- Vagge, I.; Chiaffarelli, G. Validating the Contribution of Nature-Based Farming Solutions (NBFS) to Agrobiodiversity Values through a Multi-Scale Landscape Approach. Agronomy 2023, 13, 233. [Google Scholar] [CrossRef]
- Vagge, I.; Sgalippa, N.; Chiaffarelli, G. Agricultural Landscapes: A Pattern-Process-Design Approach to Enhance Their Ecological Quality and Ecosystem Services through Agroforestry. Diversity 2024, 16, 431. [Google Scholar] [CrossRef]
- Vagge, I.; Sgalippa, N.; Chiaffarelli, G. The role of agroforestry in solving the agricultural landscapes vulnerabilities in the Po Plain district. Community Ecol. 2024. [Google Scholar] [CrossRef]
- ARPA Lombardia Archivio Agrometeo. Available online: https://www.arpalombardia.it/Pages/Meteorologia/Archivio-agrometeo.aspx (accessed on 21 October 2022).
- Pesaresi, S.; Biondi, E.; Casavecchia, S. Bioclimates of Italy. J. Maps 2017, 13, 955–960. [Google Scholar] [CrossRef]
- Pesaresi, S.; Galdenzi, D.; Biondi, E.; Casavecchia, S. Bioclimate of Italy: Application of the worldwide bioclimatic classification system. J. Maps 2014, 10, 538–553. [Google Scholar] [CrossRef]
- Geoportale Piemonte. Available online: www.geoportale.piemonte.it/cms/ (accessed on 10 October 2022).
- Geoportale Regione Lombardia. Available online: www.geoportale.regione.lombardia.it (accessed on 10 October 2022).
- ERSAF. Regional Soil Database LOSAN Lombardy Region. Available online: https://losan.ersaflombardia.it/ (accessed on 20 August 2024).
- IPLA. Pedology Information System Piedmont Region. Available online: https://suolo.ipla.org (accessed on 20 August 2024).
- Blasi, C. La Vegetazione d’Italia con Carta delle Serie di Vegetazione Scala 1:500 000; Palombi Editori: Rome, Italy, 2010; p. 539. [Google Scholar]
- Camerano, P.; Terzuolo, P.G.; Siniscalco, C. I boschi planiziali del Piemonte. Nat. Brescia. Ann. Mus. Civ. Stor. Nat. 2009, 36, 185–189. [Google Scholar]
- Vagge, I. Le foreste di farnia e carpino bianco della pianura lombarda. In Bosco: Biodiversità, Diritti e Culture dal Medioevo al Nostro Tempo. (I libri di Viella; 411); Viella: Rome, Italy, 2022. [Google Scholar]
- Biondi, E.; Blasi, C.; Allegrezza, M.; Anzellotti, I.; Azzella, M.M.; Carli, E.; Casavecchia, S.; Copiz, R.; Del Vico, E.; Facioni, L.; et al. Plant communities of Italy: The Vegetation Prodrome. Plant Biosyst. Int. J. Deal. All Asp. Plant Biol. 2014, 148, 728–814. [Google Scholar] [CrossRef]
- Castelli, M. Paesaggio, Vegetazione e Flora del Piemonte Sud Orientale; Il Piviere: Gavi, Italy, 2022. [Google Scholar]
- Odum, E.P.; Barrett, G.W. Fundamentals of Ecology, 5th ed.; Co, B.C.P., Ed.; Wiley: Hoboken, NJ, USA, 2004; p. 624. [Google Scholar]
- Whittaker, R.H. Communities and Ecosystems, 2nd ed.; Macmillan Publishing Co. Collier Macmillan Publishers: New York, NY, USA; London, UK, 1975. [Google Scholar]
- Ferrari, C. Biodiversita: Dal Genoma al Paesaggio, 2nd ed.; Zanichelli: Bologna, Italy, 2010. [Google Scholar]
- ERSAF. Available online: https://www.ersaf.lombardia.it/ (accessed on 16 March 2024).
- Sharma, P.; Laor, Y.; Raviv, M.; Medina, S.; Saadi, I.; Krasnovsky, A.; Vager, M.; Levy, G.J.; Bar-tal, A.; Borisover, M. Compositional characteristics of organic matter and its water-extractable components across a profile of organically managed soil. Geoderma 2017, 286, 73–82. [Google Scholar] [CrossRef]
- Springer, U.; Klee, J. Pru¨fung der Leistungsfa¨higkeit von einigen wichtigen Verfahren zur Bestimmung des Kohlenstoffs mittels Chromschwefelsaure sowie Vorschlag einer neuen Schnellmethode. J. Plant Nutr. Soil Sci. 1954, 64, 1–26. [Google Scholar]
- IPLA. U0685. Available online: https://suolo.ipla.org/s_v_unita_x_web.php?operation=view&pk0=U0685 (accessed on 20 August 2024).
- Vagge, I.; Chiaffarelli, G. The Alien Plant Species Impact in Rice Crops in Northwestern Italy. Plants 2023, 12, 2012. [Google Scholar] [CrossRef]
- Al-Graiti, T.; Jakab, G.; Ujházy, N.; Vancsik, A.; Fodor, N.; Árendás, T.; Madarász, B.; Barcza, Z.; Márialigeti, K.; Szalai, Z. The Composition of Dissolved Organic Matter in Arable Lands: Does Soil Management Practice Matter? Agronomy 2022, 12, 2797. [Google Scholar] [CrossRef]
- Embacher, A.; Zsolnay, A.; Gattinger, A.; Munch, J. The dynamics of water extractable organic matter (WEOM) in common arable topsoils: I. Quantity, quality and function over a three year period. Geoderma 2007, 139, 11–22. [Google Scholar] [CrossRef]
- Chiaffarelli, G.; Vagge, I. Cities vs countryside: An example of a science-based Peri-urban Landscape Features rehabilitation in Milan (Italy). Urban For. Urban Green. 2023, 86, 128002. [Google Scholar] [CrossRef]






| CASE STUDIES | |||||
| C | G | P | D | ||
| PEDOLOGY | ST/WRB classes | Luvisols; Arenosols | Alfisols (ancient terraces); Inceptisols | Inceptisols; Entisols | Inceptisols |
| Geomorphology | Fluvial terrace | Riss alluvial terrace | Fluvial deposits | Fluvial terrace | |
| Main soil texture | Loamy-sand; Sandy-loam | Fine silty | Loamy-coarse; Loamy-sand | Loamy-skeletal | |
| Development | Medium pedogenesis | Intense pedogenesis | Low pedogenesis | Low pedogenesis | |
| Permeability | Medium-low permeability | Surface hydromorphy | Medium permeability | High permeability | |
| pH | Sub-Acid [5.5–6.5] | Acid [4.6–5.4] | Sub-alkaline to alkaline [7.4–8.4] | Acid to Sub-acid [5.3–6.3] | |
| Land use capacity | IIw (waterlog) | III (oxygen availability) | II (oxygen availability) | III (stoniness) | |
| Specific traits | Dark epipedon | ||||
| CLIMATE [1990–2022 data] | Annual rainfall [mm] | 668 | 872 | 737 | 973 |
| Annual mean Temperature [°C] | 13.1 | 12.3 | 13.2 | 11.8 | |
| Average Maximum Temperature [°C] | 18.6 | 18.9 | 18.8 | 17.9 | |
| Average Minimum Temperature [°C] | 8.19 | 7.0 | 8.5 | 6.4 | |
| BIOCLIMATE [1990–2022 data] | Bioclimate (variant) | Temperate oceanic (submediterranean) | Temperate continental (steppic) | Temperate continental (steppic) | Temperate continental |
| Bioclimatic belt | Upper mesotemperate Low humid | Upper mesotemperate Upper subhumid | Upper mesotemperate Low subhumid | Upper mesotemperate Low humid | |
| TOC g/kg | DOC g/kg | ROC g/kg | ||||
| SITE | Mean | Std. error | Mean | Std. error | Mean | Std. error |
| C | 16.22 | 1.38 | 0.15 | 0.02 | 7.11 | 2.07 |
| D | 37.02 | 8.46 | 0.19 | 0.03 | 28.29 | 9.33 |
| G | 17.17 | 2.51 | 0.16 | 0.02 | 7.52 | 2.52 |
| P | 20.45 | 1.86 | 0.16 | 0.01 | 8.49 | 2.80 |
| Anova | Kruskal-Wallis | Kruskal-Wallis | ||||
| p(same) | 0.001326 | ** | 0.6965 | 0.02546 | * | |
| df | 3 | |||||
| F | 6.615 | |||||
| Leven’s test p(same) | 0.1288 | |||||
| Residuals p(normal) | 0.6242 | |||||
| Tukey’s | Mann-Whitney | Mann-Whitney | ||||
| p value D-C | 0.004785 | ** | 0.5365 | 0.01044 | * | |
| p value D-G | 0.002146 | ** | 0.7911 | 0.01342 | * | |
| p value D-P | 0.2116 | 0.9296 | 0.02728 | * | ||
| p value C-G | 0.9907 | 0.7239 | 1 | |||
| p value C-P | 0.3589 | 0.2164 | 0.9296 | |||
| p value G-P | 0.2238 | 0.4268 | 1 | |||
| NAT | AGR | TOC g/kg | DOC g/kg | ROC g/kg | |
| NAT | −1 | 0.49 | −0.23 | 0.69 | |
| AGR | 0 | −0.49 | 0.23 | −0.69 | |
| TOC g/kg | 0.00467 | 0.00467 | 0.24 | 0.78 | |
| DOC g/kg | 0.20508 | 0.20508 | 0.18014 | 0.02 | |
| ROC g/kg | 1.22 × 10−5 | 1.22 × 10−5 | 1.08 × 10−7 | 0.92544 |
| BTC | IVN | ||||
| LAND USE | Mean [Mcal/ha/yr] | SE | Mean | SE | |
| AGR_CV | Arable fields: conventional agriculture | 1.025 | 0.075 | 2 | 0.000 |
| AGR_AGF | Arable fields: organic, conservation agriculture | 1.25 | 0.050 | 2 | 0.000 |
| NAT_CV | herbaceous field margin | 1.6 | 0.058 | 5 | 0.000 |
| NAT_1 | young hedgerow | 2.675 | 0.125 | 7 | 0.000 |
| NAT_2 | mature hedgerow | 3.45 | 0.096 | 7 | 0.000 |
| NAT_3 | young small woody area | 4.475 | 0.048 | 8 | 0.000 |
| NAT_4 | mature woody area | 7.975 | 0.125 | 11.25 | 0.479 |
| BTC | IVN | TOC (g/kg) | DOC (g/kg) | ROC (g/kg) | |
| BTC | 0.96 | 0.37 | −0.26 | 0.58 | |
| IVN | 1.27 × 10−19 | 0.47 | −0.22 | 0.70 | |
| TOC (g/kg) | 0.02652 | 0.00412 | 0.34 | 0.75 | |
| DOC (g/kg) | 0.13295 | 0.19329 | 0.04017 | 0.02 | |
| ROC(g/kg) | 0.00018 | 1.69 × 10−6 | 1.37 × 10−7 | 0.89567 |
Disclaimer/Publisher’s Note: The statements, opinions and data contained in all publications are solely those of the individual author(s) and contributor(s) and not of MDPI and/or the editor(s). MDPI and/or the editor(s) disclaim responsibility for any injury to people or property resulting from any ideas, methods, instructions or products referred to in the content. |
© 2024 by the authors. Licensee MDPI, Basel, Switzerland. This article is an open access article distributed under the terms and conditions of the Creative Commons Attribution (CC BY) license (https://creativecommons.org/licenses/by/4.0/).
Share and Cite
Chiaffarelli, G.; Tambone, F.; Vagge, I. The Contribution of the Management of Landscape Features to Soil Organic Carbon Turnover among Farmlands. Soil Syst. 2024, 8, 95. https://doi.org/10.3390/soilsystems8030095
Chiaffarelli G, Tambone F, Vagge I. The Contribution of the Management of Landscape Features to Soil Organic Carbon Turnover among Farmlands. Soil Systems. 2024; 8(3):95. https://doi.org/10.3390/soilsystems8030095
Chicago/Turabian StyleChiaffarelli, Gemma, Fulvia Tambone, and Ilda Vagge. 2024. "The Contribution of the Management of Landscape Features to Soil Organic Carbon Turnover among Farmlands" Soil Systems 8, no. 3: 95. https://doi.org/10.3390/soilsystems8030095
APA StyleChiaffarelli, G., Tambone, F., & Vagge, I. (2024). The Contribution of the Management of Landscape Features to Soil Organic Carbon Turnover among Farmlands. Soil Systems, 8(3), 95. https://doi.org/10.3390/soilsystems8030095

