Impact of Crop Residue, Nutrients, and Soil Moisture on Methane Emissions from Soil under Long-Term Conservation Tillage
Abstract
1. Introduction
2. Materials and Methods
2.1. Study Site
2.2. Incubation Experimental Detail
2.3. Greenhouse Gas Sampling and Measurements
2.4. Post Incubation Soil Analysis
2.5. Statistical Analysis
3. Results
3.1. Methane (CH4) Fluxes
3.1.1. At 80% FC Interactive Influence of Residue × Nutrient
3.1.2. At 60% FC Interactive Influence of Residue × Nutrient
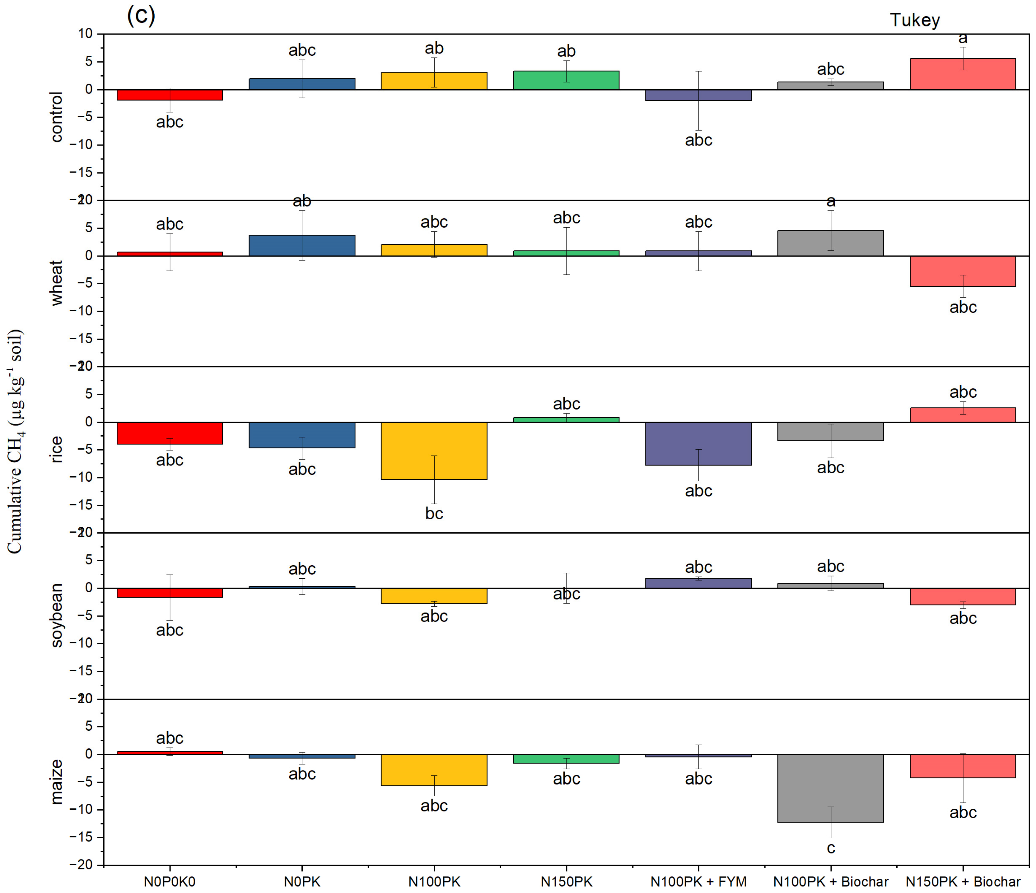
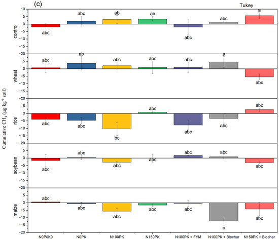
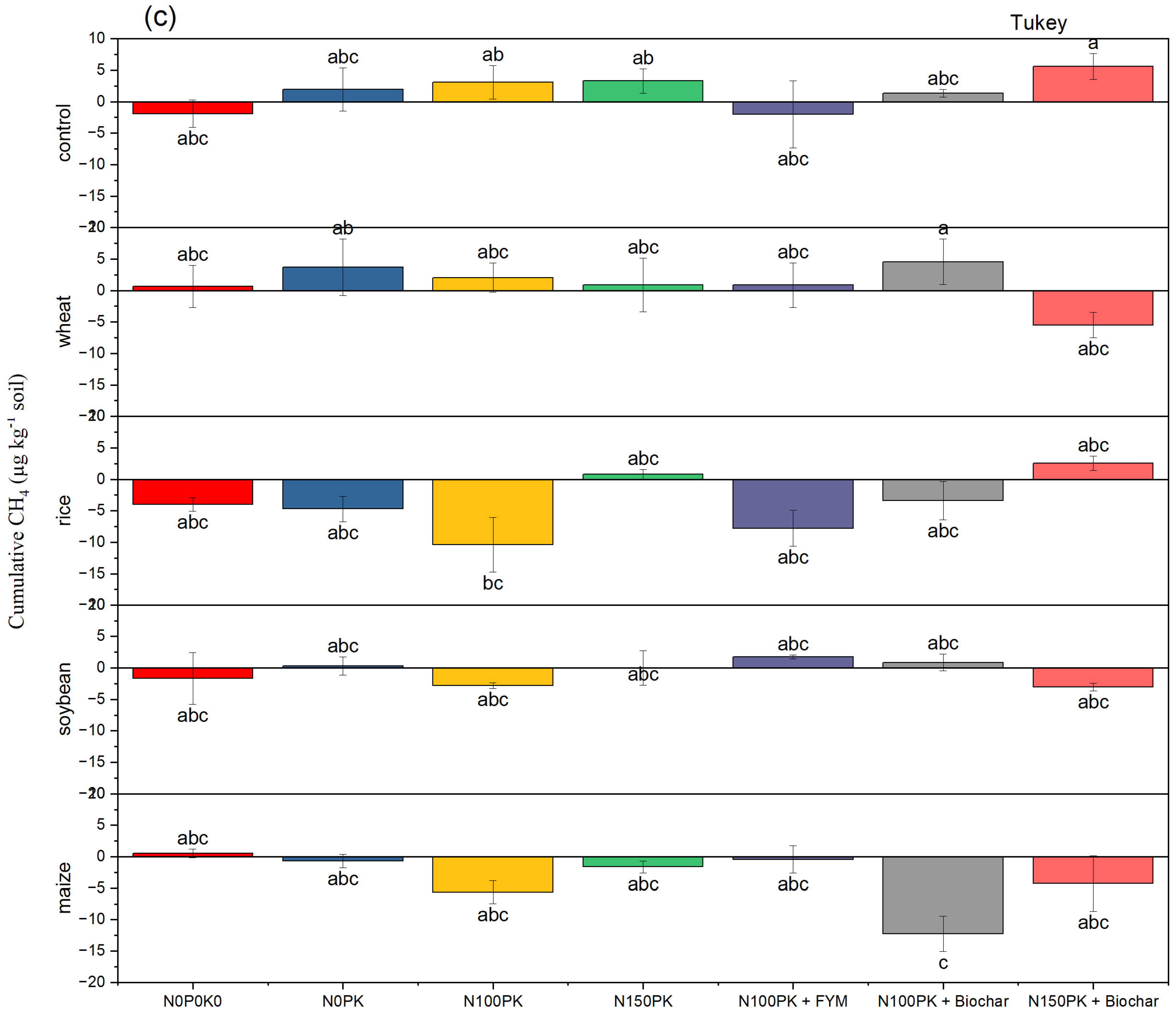
3.1.3. Interaction Effect
3.2. Apparent Residue C Mineralization
3.3. Correlation and Regression between CH4 Emission, Residue C Mineralization, and Measured Variables
4. Discussion
4.1. Apparent Residue C Mineralization
4.2. Methane Fluxes
5. Conclusions
Supplementary Materials
Author Contributions
Funding
Institutional Review Board Statement
Informed Consent Statement
Data Availability Statement
Acknowledgments
Conflicts of Interest
References
- Tian, H.; Chen, G.; Lu, C.; Xu, X.; Ren, W.; Zhang, B.; Banger, K.; Tao, B.; Pan, S.; Liu, M.; et al. Global methane and nitrous oxide emissions from terrestrial ecosystems due to multiple environmental changes. Ecosyst. Health Sustain. 2015, 1, 11878978. [Google Scholar] [CrossRef]
- Nabuurs, G.-J.; Mrabet, R.; Abu Hatab, A.; Bustamante, M.; Clark, H.; Havlík, P.; House, J.; Mbow, C.; Ninan, K.; Popp, A.; et al. IPCC Sixth Assessment Report. Mitigation of Climate Change, Chapter 7: Agriculture, Forestry and Other Land Uses; Cambridge University Press: Cambridge, UK; New York, NY, USA, 2022; ISBN 9781009157926. [Google Scholar] [CrossRef]
- Korres, N.E.; Singh, A.; Prasad, S. Agricultural Residues Management: Life Cycle Assessment Implications for Sustainable Agricultural Practices and Reduction of Greenhouse Gases Emissions, 1st ed.; Elsevier: Amsterdam, The Netherlands, 2023. [Google Scholar]
- Lenka, S.; Lenka, N.K.; Rao, A.S.; Raghuwanshi, J.; Singh, B.; Saha, J.K.; Patra, A.K. Tillage and nutrient management influence net global warming potential and greenhouse gas intensity in soybean-wheat cropping system. Indian J. Exp. Biol. 2022, 60, 207–214. [Google Scholar]
- Lenka, S.; Choudhary, R.; Lenka, N.K.; Saha, J.K.; Amat, D.; Patra, A.K.; Gami, V.; Singh, D. Nutrient Management Drives the Direction and Magnitude of Nitrous Oxide Flux in Crop Residue-Returned Soil Under Different Soil Moisture. Front. Environ. Sci. 2022, 10, 857233. [Google Scholar] [CrossRef]
- Singh, D.; Lenka, S.; Lenka, N.K.; Yadav, D.K.; Yadav, S.S.; Kanwar, R.S.; Sarkar, A.; Kushwaha, J. Residue Management and Nutrient Stoichiometry Control Greenhouse Gas and Global Warming Potential Responses in Alfisols. Sustainability 2024, 16, 3997. [Google Scholar] [CrossRef]
- Sainju, U.M.; Ghimire, R.; Dangi, S. Soil carbon dioxide and methane emissions and carbon balance with crop rotation and nitrogen fertilization. Sci. Total Environ. 2021, 775, 145902. [Google Scholar] [CrossRef]
- Wang, N.; Yu, J.G.; Zhao, Y.H.; Chang, Z.Z.; Shi, X.X.; Ma, L.Q.; Li, H.B. Straw enhanced CO2 and CH4 but decreased N2O emissions from flooded paddy soils: Changes in microbial community compositions. Atmos. Environ. 2018, 174, 171–179. [Google Scholar] [CrossRef]
- Battaglia, M.L.; Thomason, W.E.; Fike, J.H.; Evanylo, G.K.; Stewart, R.D.; Gross, C.D.; Seleiman, M.; Babur, E.; Sadeghpour, A.; Harrison, M.T. Corn and Wheat Residue Management Effects on Greenhouse Emissions in the Mid-Atlantic USA. Land 2022, 11, 846. [Google Scholar] [CrossRef]
- Akiyama, H.; Yamamoto, A.; Uchida, Y.; Hoshino, Y.T.; Tago, K.; Wang, Y.; Hayatsu, M. Effect of low C/N crop residue input on N2O, NO, and CH4 fluxes from Andosol and Fluvisol fields. Sci. Total Environ. 2020, 713, 136677. [Google Scholar] [CrossRef]
- Weller, S.; Kraus, D.; Ayag, K.R.P.; Wassmann, R.; Alberto, M.C.R.; Butterbach-Bahl, K.; Kiese, R. Methane and nitrous oxide emissions from rice and maize production in diversified rice cropping systems. Nutr. Cycl. Agroecosyst. 2015, 101, 37–53. [Google Scholar] [CrossRef]
- Shaukat, M.; Samoy-Pascual, K.; Maas, E.D.v.L.; Ahmad, A. Simultaneous effects of biochar and nitrogen fertilization on nitrous oxide and methane emissions from paddy rice. J. Environ. Manag. 2019, 248, 109242. [Google Scholar] [CrossRef]
- Song, H.J.; Lee, J.H.; Jeong, H.C.; Choi, E.J.; Oh, T.K.; Hong, C.O.; Kim, P.J. Effect of straw incorporation on methane emission in rice paddy: Conversion factor and smart straw management. Appl. Biol. Chem. 2019, 62, 70. [Google Scholar] [CrossRef]
- Banger, K.; Tian, H.; Lu, C. Do nitrogen fertilizers stimulate or inhibit methane emissions from rice fields? Glob. Change Biol. 2012, 18, 3259–3267. [Google Scholar] [CrossRef]
- Anderson, C.R.; Condron, L.M.; Clough, T.J.; Fiers, M.; Stewart, A.; Hill, R.A.; Sherlock, R.R. Biochar induced soil microbial community change: Implications for biogeochemical cycling of carbon, nitrogen and phosphorus. Pedobiologia 2011, 54, 309–320. [Google Scholar] [CrossRef]
- Kong, D.; Li, S.; Jin, Y.; Wu, S.; Chen, J.; Hu, T.; Wang, H.; Liu, S.; Zou, J. Linking methane emissions to methanogenic and methanotrophic communities under different fertilization strategies in rice paddies. Geoderma 2019, 347, 233–243. [Google Scholar] [CrossRef]
- Lenka, S.; Malviya, S.K.; Lenka, N.K.; Sahoo, S.; Bhattacharjya, S.; Jain, R.C.; Saha, J.K.; Patra, A.K. Manure addition influences the effect of tillage on soil aggregation and aggregate associated carbon in a Vertisol of central India. J. Environ. Biol. 2021, 41, 1585–1593. [Google Scholar] [CrossRef]
- Zhou, X.; Smaill, S.J.; Gu, X.; Clinton, P.W. Manipulation of soil methane oxidation under drought stress. Sci. Total Environ. 2021, 757, 144089. [Google Scholar] [CrossRef]
- Lenka, S.; Lenka, N.K.; Singh, A.B.; Singh, B.; Raghuwanshi, J. Global warming potential and greenhouse gas emission under different soil nutrient management practices in soybean–wheat system of central India. Environ. Sci. Pollut. Res. 2017, 24, 4603–4612. [Google Scholar] [CrossRef] [PubMed]
- Zhou, X.; Zhang, M.; Krause, S.M.B.; Bu, X.; Gu, X.; Guo, Z.; Jia, Z.; Zhou, X.; Wang, X.; Chen, X.; et al. Soil aeration rather than methanotrophic community drives methane uptake under drought in a subtropical forest. Sci. Total Environ. 2021, 792, 148292. [Google Scholar] [CrossRef] [PubMed]
- Al-Kaisi, M.M.; Kwaw-Mensah, D.; Ci, E. Effect of nitrogen fertilizer application on corn residue decomposition in Iowa. Agron. J. 2017, 109, 2415–2427. [Google Scholar] [CrossRef]
- Wu, G.; Ling, J.; Xu, Y.P.; Zhao, D.Q.; Liu, Z.X.; Wen, Y.; Zhou, S.L. Effects of soil warming and straw return on soil organic matter and greenhouse gas fluxes in winter wheat seasons in the North China Plain. J. Clean. Prod. 2022, 356, 131810. [Google Scholar] [CrossRef]
- Wang, X.-g.; Luo, Y. Crop residue incorporation and nitrogen fertilizer effects on greenhouse gas emissions from a subtropical rice system in Southwest China. J. Mt. Sci. 2018, 15, 1972–1986. [Google Scholar] [CrossRef]
- Wang, C.; Shen, J.; Liu, J.; Qin, H.; Yuan, Q.; Fan, F.; Hu, Y.; Wang, J.; Wei, W.; Li, Y.; et al. Microbial mechanisms in the reduction of CH4 emission from double rice cropping system amended by biochar: A four-year study. Soil Biol. Biochem. 2019, 135, 251–263. [Google Scholar] [CrossRef]
- Oertel, C.; Matschullat, J.; Zurba, K.; Zimmermann, F.; Erasmi, S. Greenhouse gas emissions from soils—A review. Chemie der Erde 2016, 76, 327–352. [Google Scholar] [CrossRef]
- Zhang, H.; Liang, Q.; Peng, Z.; Zhao, Y.; Tan, Y.; Zhang, X.; Bol, R. Response of greenhouse gases emissions and yields to irrigation and straw practices in wheat-maize cropping system. Agric. Water Manag. 2023, 282, 108281. [Google Scholar] [CrossRef]
- Jiang, Y.; Qian, H.; Huang, S.; Zhang, X.; Wang, L.; Zhang, L.; Shen, M.; Xiao, X.; Chen, F.; Zhang, H.; et al. Acclimation of methane emissions from rice paddy fields to straw addition. Sci. Adv. 2019, 5, eaau9038. [Google Scholar] [CrossRef] [PubMed]
- Nguyen, B.T.; Trinh, N.N.; Bach, Q.V. Methane emissions and associated microbial activities from paddy salt-affected soil as influenced by biochar and cow manure addition. Appl. Soil Ecol. 2020, 152, 103531. [Google Scholar] [CrossRef]
- Jin, Z.; Shah, T.; Zhang, L.; Liu, H.; Peng, S.; Nie, L. Effect of straw returning on soil organic carbon in rice–wheat rotation system: A review. Food Energy Secur. 2020, 9, e200. [Google Scholar] [CrossRef]
- Shakoor, A.; Shakoor, S.; Rehman, A.; Ashraf, F.; Abdullah, M.; Shahzad, S.M.; Farooq, T.H.; Ashraf, M.; Manzoor, M.A.; Altaf, M.M.; et al. Effect of animal manure, crop type, climate zone, and soil attributes on greenhouse gas emissions from agricultural soils—A global meta-analysis. J. Clean. Prod. 2021, 278, 124019. [Google Scholar] [CrossRef]
- Kaleeem Abbasi, M.; Mahmood Tahir, M.; Sabir, N.; Khurshid, M. Impact of the addition of different plant residues on nitrogen mineralization-immobilization turnover and carbon content of a soil incubated under laboratory conditions. Solid Earth 2015, 6, 197–205. [Google Scholar] [CrossRef]
- Liu, L.; Estiarte, M.; Peñuelas, J. Soil moisture as the key factor of atmospheric CH4 uptake in forest soils under environmental change. Geoderma 2019, 355, 113920. [Google Scholar] [CrossRef]
- Anandakumar, S.; Bakhoum, N.; Chinnadurai, C.; Malarkodi, M.; Arulmozhiselvan, K.; Karthikeyan, S.; Balachandar, D. Impact of long-term nutrient management on sequestration and dynamics of soil organic carbon in a semi-arid tropical Alfisol of India. Appl. Soil Ecol. 2022, 177, 104549. [Google Scholar] [CrossRef]
- Ruf, T.; Emmerling, C. The effects of periodically stagnant soil water conditions on biomass and methane yields of Silphium perfoliatum. Biomass Bioenergy 2022, 160, 106438. [Google Scholar] [CrossRef]
- Du, C.; Liu, Y.; Guo, J.; Zhang, W.; Xu, R.; Zhou, B.; Xiao, X.; Zhang, Z.; Gao, Z.; Zhang, Y.; et al. Novel annual nitrogen management strategy improves crop yield and reduces greenhouse gas emissions in wheat-maize rotation systems under limited irrigation. J. Environ. Manag. 2024, 353, 120236. [Google Scholar] [CrossRef] [PubMed]
- Korkiakoski, M.; Määttä, T.; Peltoniemi, K.; Penttilä, T.; Lohila, A. Excess soil moisture and fresh carbon input are prerequisites for methane production in podzolic soil. Biogeosciences 2022, 19, 2025–2041. [Google Scholar] [CrossRef]
- Nwokolo, N.L.; Enebe, M.C. Methane production and oxidation—A review on the pmoA and mcrA genes abundance for understanding the functional potentials of the agricultural soil. Pedosphere 2024, in press. [Google Scholar] [CrossRef]
- Brenzinger, K.; Drost, S.M.; Korthals, G.; Bodelier, P.L.E. Organic residue amendments to modulate greenhouse gas emissions from agricultural soils. Front. Microbiol. 2018, 9, 3035. [Google Scholar] [CrossRef] [PubMed]
- Sun, B.F.; Zhao, H.; Lü, Y.Z.; Lu, F.; Wang, X.K. The effects of nitrogen fertilizer application on methane and nitrous oxide emission/uptake in Chinese croplands. J. Integr. Agric. 2016, 15, 440–450. [Google Scholar] [CrossRef]
- Qi, L.; Pokharel, P.; Chang, S.X.; Zhou, P.; Niu, H.; He, X.; Wang, Z.; Gao, M. Biochar application increased methane emission, soil carbon storage and net ecosystem carbon budget in a 2-year vegetable–rice rotation. Agric. Ecosyst. Environ. 2020, 292, 106831. [Google Scholar] [CrossRef]
- Barrow, C.J. Biochar: Potential for countering land degradation and for improving agriculture. Appl. Geogr. 2012, 34, 21–28. [Google Scholar] [CrossRef]
- Han, J.; Zhang, A.; Kang, Y.; Han, J.; Yang, B.; Hussain, Q.; Wang, X.; Zhang, M.; Khan, M.A. Biochar promotes soil organic carbon sequestration and reduces net global warming potential in apple orchard: A two-year study in the Loess Plateau of China. Sci. Total Environ. 2022, 803, 150035. [Google Scholar] [CrossRef]
- Han, X.; Sun, X.; Wang, C.; Wu, M.; Dong, D.; Zhong, T.; Thies, J.E.; Wu, W. Mitigating methane emission from paddy soil with rice-straw biochar amendment under projected climate change. Sci. Rep. 2016, 6, 24731. [Google Scholar] [CrossRef]
- Nan, Q.; Xin, L.; Qin, Y.; Waqas, M.; Wu, W. Exploring long-term effects of biochar on mitigating methane emissions from paddy soil: A review. Biochar 2021, 3, 125–134. [Google Scholar] [CrossRef]
- Bhoi, T.K.; Samal, I.; Saraswat, A.; Hombegowda, H.C.; Samal, S.K.; Dash, A.K.; Sharma, S.; Lawate, P.; Vyas, V.; Raza, M.B. Biochar as a soil amendment: Effects on microbial communities and soil health. In Biochar Production for Green Economy; Academic Press: Cambridge, MA, USA, 2024; ISBN 9780443155062. [Google Scholar]
- Li, H.; Lin, L.; Peng, Y.; Hao, Y.; Li, Z.; Li, J.; Yu, M.; Li, X.; Lu, Y.; Gu, W.; et al. Biochar’s dual role in greenhouse gas emissions: Nitrogen fertilization dependency and mitigation potential. Sci. Total Environ. 2024, 917, 170293. [Google Scholar] [CrossRef]
- Raul, C.; Bharti, V.S.; Dar Jaffer, Y.; Lenka, S.; Krishna, G. Sugarcane bagasse biochar: Suitable amendment for inland aquaculture soils. Aquac. Res. 2021, 52, 643–654. [Google Scholar] [CrossRef]
- Kempers, A.J. Determination of sub-microquantities of ammonium and nitrates in soils with phenol, sodium nitroprusside and hypochlorite. Geoderma 1974, 12, 201–206. [Google Scholar] [CrossRef]
- Klein, D.A.; Loh, T.C.; Goulding, R.L. A rapid procedure to evaluate the dehydrogenase activity of soils low in organic matter. Soil Biol. Biochem. 1971, 3, 385–387. [Google Scholar] [CrossRef]
- Blair, G.J.; Lefroy, R.D.; Lisle, L. Soil carbon fractions based on their degree of oxidation, and the development of a carbon management index for agricultural systems. Aust. J. Agric. Res. 1995, 46, 1459–1466. [Google Scholar] [CrossRef]
- Islam, K.R.; Stine, M.A.; Gruver, J.B.; Samson-Liebig, S.E.; Weil, R.R. Estimating active carbon for soil quality assessment: A simplified method for laboratory and field use. Am. J. Altern. Agric. 2003, 18, 3–17. [Google Scholar] [CrossRef]
- Hadas, A.; Kautsky, L.; Goek, M.; Kara, E.E. Rates of decomposition of plant residues and available nitrogen in soil, related to residue composition through simulation of carbon and nitrogen turnover. Soil Biol. Biochem. 2004, 36, 255–266. [Google Scholar] [CrossRef]
- Trinsoutrot, I.; Recous, S.; Bentz, B.; Linères, M.; Chèneby, D.; Nicolardot, B. Biochemical Quality of Crop Residues and Carbon and Nitrogen Mineralization Kinetics under Nonlimiting Nitrogen Conditions. Soil Sci. Soc. Am. J. 2000, 64, 918–926. [Google Scholar] [CrossRef]
- Malhi, S.S.; Lemke, R.; Wang, Z.; Chhabra, B.S. Tillage, nitrogen and crop residue effects on crop yield, nutrient uptake, soil quality, and greenhouse gas emissions. Soil Tillage Res. 2006, 90, 171–183. [Google Scholar] [CrossRef]
- Yang, L.; Muhammad, I.; Chi, Y.X.; Liu, Y.X.; Wang, G.Y.; Wang, Y.; Zhou, X.B. Straw return and nitrogen fertilization regulate soil greenhouse gas emissions and global warming potential in dual maize cropping system. Sci. Total Environ. 2022, 853, 158370. [Google Scholar] [CrossRef]
- Guntiñas, M.E.; Gil-Sotres, F.; Leirós, M.C.; Trasar-Cepeda, C. Sensitivity of soil respiration to moisture and temperature. J. Soil Sci. Plant Nutr. 2013, 13, 445–461. [Google Scholar] [CrossRef]
- Zhou, W.; Hui, D.; Shen, W. Effects of soil moisture on the temperature sensitivity of soil heterotrophic respiration: A laboratory incubation study. PLoS ONE 2014, 9, e92531. [Google Scholar] [CrossRef] [PubMed]
- Liu, Y.; Zang, H.; Ge, T.; Bai, J.; Lu, S.; Zhou, P.; Peng, P.; Shibistova, O.; Zhu, Z.; Wu, J.; et al. Intensive fertilization (N, P, K, Ca, and S) decreases organic matter decomposition in paddy soil. Appl. Soil Ecol. 2018, 127, 51–57. [Google Scholar] [CrossRef]
- Muhammad, W.; Vaughan, S.M.; Dalal, R.C.; Menzies, N.W. Crop residues and fertilizer nitrogen influence residue decomposition and nitrous oxide emission from a Vertisol. Biol. Fertil. Soils 2011, 47, 15–23. [Google Scholar] [CrossRef]
- Fang, Y.; Nazaries, L.; Singh, B.K.; Singh, B.P. Microbial mechanisms of carbon priming effects revealed during the interaction of crop residue and nutrient inputs in contrasting soils. Glob. Change Biol. 2018, 24, 2775–2790. [Google Scholar] [CrossRef] [PubMed]
- Nottingham, A.T.; Turner, B.L.; Stott, A.W.; Tanner, E.V.J. Nitrogen and phosphorus constrain labile and stable carbon turnover in lowland tropical forest soils. Soil Biol. Biochem. 2015, 80, 26–33. [Google Scholar] [CrossRef]
- Ji, D.; Ding, F.; Dijkstra, F.A.; Jia, Z.; Li, S.; Wang, J. Crop residue decomposition and nutrient release are independently affected by nitrogen fertilization, plastic film mulching, and residue type. Eur. J. Agron. 2022, 138, 126535. [Google Scholar] [CrossRef]
- Liang, X.; Yuan, J.; Yang, E.; Meng, J. Responses of soil organic carbon decomposition and microbial community to the addition of plant residues with different C:N ratio. Eur. J. Soil Biol. 2017, 82, 50–55. [Google Scholar] [CrossRef]
- Yao, Z.; Zheng, X.; Wang, R.; Xie, B.; Butterbach-Bahl, K.; Zhu, J. Nitrous oxide and methane fluxes from a rice-wheat crop rotation under wheat residue incorporation and no-tillage practices. Atmos. Environ. 2013, 79, 641–649. [Google Scholar] [CrossRef]
- Yin, X.; Peñuelas, J.; Sardans, J.; Xu, X.; Chen, Y.; Fang, Y.; Wu, L.; Singh, B.P.; Tavakkoli, E.; Wang, W. Effects of nitrogen-enriched biochar on rice growth and yield, iron dynamics, and soil carbon storage and emissions: A tool to improve sustainable rice cultivation. Environ. Pollut. 2021, 287, 117565. [Google Scholar] [CrossRef]
- Feng, J.; Zhu, B. Global patterns and associated drivers of priming effect in response to nutrient addition. Soil Biol. Biochem. 2021, 153, 108118. [Google Scholar] [CrossRef]
- Abhishek, K.; Shrivastava, A.; Vimal, V.; Gupta, A.K.; Bhujbal, S.K.; Biswas, J.K.; Singh, L.; Ghosh, P.; Pandey, A.; Sharma, P.; et al. Biochar application for greenhouse gas mitigation, contaminants immobilization and soil fertility enhancement: A state-of-the-art review. Sci. Total Environ. 2022, 853, 158562. [Google Scholar] [CrossRef] [PubMed]
- Omonode, R.A.; Vyn, T.J.; Smith, D.R.; Hegymegi, P.; Gál, A. Soil carbon dioxide and methane fluxes from long-term tillage systems in continuous corn and corn-soybean rotations. Soil Tillage Res. 2007, 95, 182–195. [Google Scholar] [CrossRef]
- Jin, X.; Wu, F.; Wu, Q.; Heděnec, P.; Peng, Y.; Wang, Z.; Yue, K. Effects of drying-rewetting cycles on the fluxes of soil greenhouse gases. Heliyon 2023, 9, e12984. [Google Scholar] [CrossRef] [PubMed]
- da Silva Cardoso, A.; Junqueira, J.B.; Reis, R.A.; Ruggieri, A.C. How do greenhouse gas emissions vary with biofertilizer type and soil temperature and moisture in a tropical grassland? Pedosphere 2020, 30, 607–617. [Google Scholar] [CrossRef]
- Yue, P.; Zuo, X.; Li, K.; Li, X.; Wang, S.; Misselbrook, T. Precipitation changes regulate the annual methane uptake in a temperate desert steppe. Sci. Total Environ. 2022, 804, 150172. [Google Scholar] [CrossRef] [PubMed]
- Le Mer, J.; Roger, P. Production, oxidation, emission and consumption of methane by soils: A review. Eur. J. Soil Biol. 2001, 37, 25–50. [Google Scholar] [CrossRef]
- Xu, X.; Xia, Z.; Liu, Y.; Liu, E.; Müller, K.; Wang, H.; Luo, J.; Wu, X.; Beiyuan, J.; Fang, Z.; et al. Interactions between methanotrophs and ammonia oxidizers modulate the response of in situ methane emissions to simulated climate change and its legacy in an acidic soil. Sci. Total Environ. 2021, 752, 142225. [Google Scholar] [CrossRef]
- Chai, L.L.; Hernandez-Ramirez, G.; Hik, D.S.; Barrio, I.C.; Frost, C.M.; Chinchilla Soto, C.; Esquivel-Hernández, G. A methane sink in the Central American high elevation páramo: Topographic, soil moisture and vegetation effects. Geoderma 2020, 362, 114092. [Google Scholar] [CrossRef]
- Liu, W.; Yuan, W.; Xu, S.; Shao, C.; Hou, L.; Xu, W.; Shi, H.; Pan, Q.; Li, L.; Kardol, P. Spatiotemporal patterns and drivers of methane uptake across a climate transect in Inner Mongolia Steppe. Sci. Total Environ. 2021, 757, 143768. [Google Scholar] [CrossRef] [PubMed]



| Source of Variation | Degrees of Freedom | CH4 Emission | Degrees of Freedom | Residue C Mineralization |
|---|---|---|---|---|
| Residue | 4 | <0.001 | 3 | <0.001 |
| Nutrient | 6 | 0.002 | 6 | <0.001 |
| Moisture | 1 | <0.001 | 1 | <0.001 |
| Residue × Nutrient | 24 | <0.001 | 18 | 0.066 |
| Residue × Moisture | 4 | <0.001 | 3 | 0.002 |
| Nutrient × Moisture | 6 | 0.003 | 6 | 0.001 |
| Residue × Nutrient × Moisture | 24 | <0.001 | 18 | 0.124 |
| Error | 140 | 112 | ||
| Total | 210 | 168 | ||
| Corrected Total | 209 | 167 |
| CH4 | NO3 | NO2 | NH4 | DHA | Labile C | CO2 | TC: TN | Soil Moisture | Lignin/TN | Cellulose/lignin | Cellulose/TC | Res C min | Res. TC | Res. TN | Lignin | Cellulose | |
|---|---|---|---|---|---|---|---|---|---|---|---|---|---|---|---|---|---|
| CH4 | 1 | 0.083 | 0.160 * | 0.330 ** | 0.143 | 0.222 ** | 0.450 ** | 0.270 ** | 0.511 ** | 0.274 ** | −0.004 | 0.148 | 0.387 ** | 0.174 * | −0.254 ** | 0.131 | 0.186 * |
| NO3 | 0.083 | 1 | 0.511 ** | 0.270 ** | 0.642 ** | 0.276 ** | 0.199 ** | −0.038 | 0.158 * | −0.029 | 0.047 | −0.079 | 0.058 | 0.276 ** | 0.076 | 0.127 | −0.026 |
| NO2 | 0.160 * | 0.511 ** | 1 | 0.269 ** | 0.599 ** | 0.368 ** | 0.437 ** | 0.110 | 0.369 ** | 0.028 | 0.016 | 0.171 * | 0.332 ** | 0.182 * | −0.106 | −0.077 | 0.190 * |
| NH4 | 0.330 ** | 0.270 ** | 0.269 ** | 1 | 0.370 ** | 0.722 ** | 0.739 ** | −0.072 | 0.373 ** | −0.054 | −0.038 | −0.072 | 0.601 ** | −0.022 | 0.075 | 0.015 | −0.073 |
| DHA | 0.143 | 0.642 ** | 0.599 ** | 0.370 ** | 1 | 0.380 ** | 0.410 ** | 0.083 | 0.270 ** | 0.098 | 0.005 | 0.039 | 0.298 ** | −0.043 | −0.088 | 0.028 | 0.035 |
| Labile C | 0.222 ** | 0.276 ** | 0.368 ** | 0.722 ** | 0.380 ** | 1 | 0.687 ** | 0.052 | 0.336 ** | 0.045 | −0.101 | 0.046 | 0.501 ** | −0.010 | −0.056 | −0.009 | 0.044 |
| CO2 | 0.450 ** | 0.199 ** | 0.437 ** | 0.739 ** | 0.410 ** | 0.687 ** | 1 | 0.105 | 0.488 ** | 0.054 | −0.041 | 0.156 * | 0.866 ** | −0.049 | −0.125 | −0.110 | 0.138 |
| TC: TN | 0.270 ** | −0.038 | 0.110 | −0.072 | 0.083 | 0.052 | 0.105 | 1 | 0.472 ** | 0.903 ** | 0.048 | 0.747 ** | 0.096 | 0.455 ** | −0.989 ** | 0.169 * | 0.828 ** |
| Soil moisture | 0.511 ** | 0.158 * | 0.369 ** | 0.373 ** | 0.270 ** | 0.336 ** | 0.488 ** | 0.472 ** | 1 | 0.517 ** | −0.057 | 0.182 * | 0.332 ** | 0.450 ** | −0.419 ** | 0.368 ** | 0.281 ** |
| Lignin/TN | 0.274 ** | −0.029 | 0.028 | −0.054 | 0.098 | 0.045 | 0.054 | 0.903 ** | 0.517 ** | 1 | −0.012 | 0.396 ** | 0.031 | 0.425 ** | −0.856 ** | 0.544 ** | 0.508 ** |
| Cellulose/lignin | −0.004 | 0.047 | 0.016 | −0.038 | 0.005 | −0.101 | −0.041 | 0.048 | −0.057 | −0.012 | 1 | 0.123 | 0.004 | 0.002 | −0.062 | −0.116 | 0.112 |
| Cellulose/TC | 0.148 | −0.079 | 0.171 * | −0.072 | 0.039 | 0.046 | 0.156 * | 0.747 ** | 0.182 * | 0.396 ** | 0.123 | 1 | 0.186 * | 0.202 ** | −0.813 ** | −0.517 ** | 0.979 ** |
| Res C min | 0.387 ** | 0.058 | 0.332 ** | 0.601 ** | 0.298 ** | 0.501 ** | 0.866 ** | 0.096 | 0.332 ** | 0.031 | 0.004 | 0.186 * | 1 | −0.155 * | −0.132 | −0.185 * | 0.146 |
| Res. TC | 0.174 * | 0.276 ** | 0.182 * | −0.022 | −0.043 | −0.010 | −0.049 | 0.455 ** | 0.450 ** | 0.425 ** | 0.002 | 0.202 ** | −0.155 * | 1 | −0.346 ** | 0.438 ** | 0.390 ** |
| Res. TN | −0.254 ** | 0.076 | −0.106 | 0.075 | −0.088 | −0.056 | −0.125 | −0.989 ** | −0.419 ** | −0.856 ** | −0.062 | −0.813 ** | −0.132 | −0.346 ** | 1 | −0.043 | −0.865 ** |
| Lignin | 0.131 | 0.127 | −0.077 | 0.015 | 0.028 | −0.009 | −0.110 | 0.169 * | 0.368 ** | 0.544 ** | −0.116 | −0.517 ** | −0.185 * | 0.438 ** | −0.043 | 1 | −0.358 ** |
| Cellulose | 0.186 * | −0.026 | 0.190 * | −0.073 | 0.035 | 0.044 | 0.138 | 0.828 ** | 0.281 ** | 0.508 ** | 0.112 | 0.979 ** | 0.146 | 0.390 ** | −0.865 ** | −0.358 ** | 1 |
Disclaimer/Publisher’s Note: The statements, opinions and data contained in all publications are solely those of the individual author(s) and contributor(s) and not of MDPI and/or the editor(s). MDPI and/or the editor(s) disclaim responsibility for any injury to people or property resulting from any ideas, methods, instructions or products referred to in the content. |
© 2024 by the authors. Licensee MDPI, Basel, Switzerland. This article is an open access article distributed under the terms and conditions of the Creative Commons Attribution (CC BY) license (https://creativecommons.org/licenses/by/4.0/).
Share and Cite
Choudhary, R.; Lenka, S.; Yadav, D.K.; Lenka, N.K.; Kanwar, R.S.; Sarkar, A.; Saha, M.; Singh, D.; Adhikari, T. Impact of Crop Residue, Nutrients, and Soil Moisture on Methane Emissions from Soil under Long-Term Conservation Tillage. Soil Syst. 2024, 8, 88. https://doi.org/10.3390/soilsystems8030088
Choudhary R, Lenka S, Yadav DK, Lenka NK, Kanwar RS, Sarkar A, Saha M, Singh D, Adhikari T. Impact of Crop Residue, Nutrients, and Soil Moisture on Methane Emissions from Soil under Long-Term Conservation Tillage. Soil Systems. 2024; 8(3):88. https://doi.org/10.3390/soilsystems8030088
Chicago/Turabian StyleChoudhary, Rajesh, Sangeeta Lenka, Dinesh Kumar Yadav, Narendra Kumar Lenka, Rameshwar S. Kanwar, Abhijit Sarkar, Madhumonti Saha, Dharmendra Singh, and Tapan Adhikari. 2024. "Impact of Crop Residue, Nutrients, and Soil Moisture on Methane Emissions from Soil under Long-Term Conservation Tillage" Soil Systems 8, no. 3: 88. https://doi.org/10.3390/soilsystems8030088
APA StyleChoudhary, R., Lenka, S., Yadav, D. K., Lenka, N. K., Kanwar, R. S., Sarkar, A., Saha, M., Singh, D., & Adhikari, T. (2024). Impact of Crop Residue, Nutrients, and Soil Moisture on Methane Emissions from Soil under Long-Term Conservation Tillage. Soil Systems, 8(3), 88. https://doi.org/10.3390/soilsystems8030088

