Natural and Anthropogenic Sources of Cadmium in Cacao Crop Soils of Santander, Colombia
Abstract
1. Introduction

2. Materials and Methods
2.1. Study Area
2.2. Sample Collection
2.3. Petrographic Analysis
2.4. Soil Analysis
2.5. X-ray Fluorescence (XRF) Measurements
2.6. Statistical Analysis
3. Results
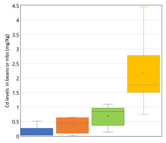
3.1. Cadmium Concentrations
3.2. Petrographic Analysis
4. Discussion
4.1. Cadmium Levels in the Study Area

4.2. Natural Cadmium Sources
4.3. Anthropogenic Cadmium Input
4.4. Soil Factors Affecting Cadmium Bioavailability
4.5. Suggested Mitigation Strategies
5. Conclusions
Supplementary Materials
Author Contributions
Funding
Data Availability Statement
Acknowledgments
Conflicts of Interest
References
- Das, S.C.; Al-Naemi, H.A. Cadmium Toxicity: Oxidative Stress, Inflammation and Tissue Injury. Occup. Dis. Environ. Med. 2019, 7, 144–163. [Google Scholar] [CrossRef]
- Kabata-Pendias, A.; Szteke, B. Trace Elements in Abiotic and Biotic Environments; Kabata-Pendias, A., Szteke, B., Eds.; Taylor & Francis: Boca Raton, FL, USA, 2015. [Google Scholar] [CrossRef]
- Kabata-Pendias, A. Trace Elements in Soils and Plants, 4th ed.; Kabata-Pendias, A., Szteke, B., Eds.; CRC Press: Boca Raton, FL, USA, 2010. [Google Scholar] [CrossRef]
- Mortensen, L.H.; Rønn, R.; Vestergård, M. Bioaccumulation of cadmium in soil organisms—With focus on wood ash application. Ecotoxicol. Environ. Saf. 2018, 156, 452–462. [Google Scholar] [CrossRef]
- Nordberg, G.F. Historical perspectives on cadmium toxicology. Toxicol. Appl. Pharmacol. 2009, 238, 192–200. [Google Scholar] [CrossRef]
- Engbersen, N.; Gramlich, A.; Lopez, M.; Schwarz, G.; Hattendorf, B.; Gutierrez, O.; Schulin, R. Cadmium accumulation and allocation in different cacao cultivars. Sci. Total Environ. 2019, 678, 660–670. [Google Scholar] [CrossRef]
- Chavez, E.; He, Z.L.; Stoffella, P.J.; Mylavarapu, R.S.; Li, Y.C.; Moyano, B.; Baligar, V.C. Concentration of cadmium in cacao beans and its relationship with soil cadmium in southern Ecuador. Sci. Total Environ. 2015, 533, 205–214. [Google Scholar] [CrossRef]
- Chavez, E.; He, Z.L.; Stoffella, P.J.; Mylavarapu, R.S.; Li, Y.C.; Baligar, V.C. Chemical speciation of cadmium: An approach to evaluate plant-available cadmium in Ecuadorian soils under cacao production. Chemosphere 2016, 150, 57–62. [Google Scholar] [CrossRef] [PubMed]
- Argüello, D.; Chavez, E.; Lauryssen, F.; Vanderschueren, R.; Smolders, E.; Montalvo, D. Soil properties and agronomic factors affecting cadmium concentrations in cacao beans: A nationwide survey in Ecuador. Sci. Total Environ. 2019, 649, 120–127. [Google Scholar] [CrossRef]
- Meter, A.; Atkinson, R.J.; Laliberte, B. Cadmium in Cacao from Latin America and The Caribbean. A Review of Research and Potential Mitigation Solutions; Development Bank of Latin America: Caracas, Venezuela, 2019; Available online: http://scioteca.caf.com/handle/123456789/1506 (accessed on 28 November 2022).
- The European Commission. Commission Regulation (EU) no 488/2014 of 12 may 2014 amending regulation (EC) no 1881/2006 as regards maximum levels of cadmium in foodstuffs. Off. J. Eur. Union 2014, 488, 75–79. [Google Scholar]
- Abbott, P.C.; Benjamin, T.J.; Burniske, G.R.; Croft, M.M.; Fenton, M.; Kelly, C.R.; Lundy, M.; Camayo, F.R.; Wilcox, M.D. An Analysis of the Supply Chain of Cacao in Colombia. Technical Report. In Purdue University International Center for Tropical Agriculture (CIAT). 2018. Available online: https://pdf.usaid.gov/pdf_docs/PA00W4KG.pdf (accessed on 27 November 2022).
- Fernández-Niño, M.; Rodríguez-Cubillos, M.J.; Herrera-Rocha, F.; Anzola, J.M.; Cepeda-Hernández, M.L.; Mejía, J.L.A.; Chica, M.J.; Olarte, H.H.; Rodríguez-López, C.; Calderón, D.; et al. Dissecting industrial fermentations of fine flavour cocoa through metagenomic analysis. Sci. Rep. 2021, 11, 8638. [Google Scholar] [CrossRef] [PubMed]
- de Walque, B.; Boeckx, P.; Dewettinck, K. Biophysical Control on Cocoa Quality in Santander, Colombia, 2017–2018. Ph.D. Thesis, Univeristy of Ghent, Ghent, Belgium, August 2018. Available online: https://lib.ugent.be/fulltxt/RUG01/002/509/472/RUG01-002509472_2018_0001_AC.pdf (accessed on 28 November 2022).
- Smolders, E. Cadmium uptake by plants. Int. J. Occup. Med. Environ. Health 2001, 14, 177–183. [Google Scholar] [PubMed]
- Liu, Y.; Xiao, T.; Perkins, R.B.; Zhu, J.; Zhu, Z.; Xiong, Y.; Ning, Z. Geogenic cadmium pollution and potential health risks, with emphasis on black shale. J. Geochem. Explor. 2017, 176, 42–49. [Google Scholar] [CrossRef]
- Aflizar; Aprisal; Alarima, C.I.; Masunaga, T. Effect of soil erosion and topography on distribution of cadmium (Cd) in Sumani watershed, west Sumatra, Indonesia. MATEC Web Conf. 2018, 229, 03001. [Google Scholar] [CrossRef]
- Page, A.L.; Chang, A.C.; El-Amamy, M. Cadmium levels in soils and crops in the United States. In Lead, Mercury, Cadmium and Arsenic in the Environment; John Wiley and Sons: New York, NY, USA, 1987; pp. 119–146. [Google Scholar]
- Carrillo-González, R.; Šimůnek, J.; Sauvé, S.; Adriano, D. Mechanisms and pathways of trace element mobility in soils. Adv. Agron. 2006, 91, 111–178. [Google Scholar]
- Smolders, E.; Mertens, J. Cadmium. In Heavy Metals in Soils: Trace Metals and Metalloids in Soils and Their Bioavailability; Alloway, B.J., Ed.; Springer Science & Business Media: Berlin/Heidelberg, Germany, 2013; Volume 22, pp. 283–312. [Google Scholar]
- He, S.; He, Z.; Yang, X.; Stoffella, P.J.; Baligar, V.C. Soil biogeochemistry, plant physiology, and phytoremediation of cadmium-contaminated soils. Adv. Agron. 2015, 134, 135–225. [Google Scholar]
- Marowsky, G.; Wedepohl, K.H. General trends in the behavior of Cd, Hg, Tl and Bi in some major rock forming processes. Geochim. Cosmochim. Acta 1971, 35, 1255–1267. [Google Scholar] [CrossRef]
- Johnson, D.L.; Watson-Stegner, D. Evolution model of pedogenesis. Soil Sci. 1987, 143, 349–366. [Google Scholar] [CrossRef]
- Xia, X.; Ji, J.; Yang, Z.; Han, H.; Huang, C.; Li, Y.; Zhang, W. Cadmium risk in the soil-plant system caused by weathering of carbonate bedrock. Chemosphere 2020, 254, 126799. [Google Scholar] [CrossRef]
- Gramlich, A.; Tandy, S.; Gauggel, C.; López, M.; Perla, D.; Gonzalez, V.; Schulin, R. Soil cadmium uptake by cocoa in Honduras. Sci. Total Environ. 2018, 612, 370–378. [Google Scholar] [CrossRef] [PubMed]
- Federación Nacional de Cacaoteros. Available online: https://www.fedecacao.com.co/ (accessed on 10 October 2022).
- Bravo, D.; Leon-Moreno, C.; Martínez, C.A.; Varón-Ramírez, V.M.; Araujo-Carrillo, G.A.; Vargas, R.; Quiroga-Mateus, R.; Zamora, A.; Rodríguez, E.A.G. The First National Survey of Cadmium in Cacao Farm Soil in Colombia. Agronomy 2021, 11, 761. [Google Scholar] [CrossRef]
- Vanderschueren, R.; Argüello, D.; Blommaert, H.; Montalvo, D.; Barraza, F.; Maurice, L.; Schreck, E.; Schulin, R.; Lewis, C.; Vazquez, J.L.; et al. Mitigating the level of cadmium in cacao products: Reviewing the transfer of cadmium from soil to chocolate bar. Sci. Total Environ. 2021, 781, 146779. [Google Scholar] [CrossRef]
- Moreno, G.; Sarmiento, G. Estratigrafía Cuantitativa de las Formaciones Tablazo y Simití en las localidades de Sáchica (Boyacá) y Barichara—San Gil (Santander), Colombia. Geología Colomb. 2002, 27, 51–74. [Google Scholar]
- Gómez, J.; Nivia, Á.; Montes, N.E.; Almanza, M.F.; Alcárcel, F.A.; Madrid, C.A. Notas Explicativas: Mapa Geológico de Colombia; Gómez, J., Almanza, M.F., Eds.; Compilando la geología de Colombia: Una visión a 2015. Servicio Geológico Colombiano; Publicaciones Geológicas Especiales: Bogotá, Colombia, 2015; pp. 9–33. [Google Scholar]
- Nelson, D.W.; Sommers, L.E. Total carbon, organic carbon, and organic matter. In Methods of Soil Analysis: Part 2 Chemical and Microbiological Properties; Page, A.L., Ed.; Soil Science Society of America and American Society of Agronomy: Madison, WI, USA, 1983; pp. 539–579. [Google Scholar] [CrossRef]
- Oxford Instruments Ltd. Manual de operador X-MET 7500. Industrial Analysis. 2012. Available online: https://fccid.io/ANATEL/02758-12-08305/Manual-X-MET-7500/B28832EF-BF4A-4C25-817D-C8675B600D4E (accessed on 1 October 2022).
- Imanishi, Y.; Bando, A.; Komatani, S.; Wada, S.I.; Tsuji, K. Experimental parameters for XRF analysis of soils. Powder Diffr. 2010, 53, 248–255. [Google Scholar]
- Bortolotti, M.; Lutterotti, L.; Pepponi, G. Combining XRD and XRF analysis in one Rietveld-like fitting. Powder Diffr. 2017, 32, S225–S230. [Google Scholar] [CrossRef]
- Hammer, Ø.; Harper, D.A.; Ryan, P.D. PAST: Paleontological statistics software package for education and data analysis. Palaeo Electron. 2001, 4, 9. [Google Scholar]
- Brus, D.J.; de Gruijter, J.J.; Walvoort, D.J.J.; de Vries, F.; Bronswijk, J.J.B.; Römkens, P.F.A.M.; de Vries, W. Mapping the Probability of Exceeding Critical Thresholds for Cadmium Concentrations in Soils in the Netherlands. J. Environ. Qual. 2002, 31, 1875–1884. [Google Scholar] [CrossRef]
- United States Environmental Protection Agency. Regional Screening Levels (RSLs)—User’s Guide. Available online: https://www.epa.gov/risk/regional-screening-levels-rsls-users-guide (accessed on 10 October 2022).
- Albarrcín, H.S.R.; Contreras, A.E.D.; Henao, M.C. Spatial regression modeling of soils with high cadmium content in a cocoa producing area of Central Colombia. Geoderma Reg. 2019, 16, e00214. [Google Scholar] [CrossRef]
- Atlas Geoquímico de Colombia. Available online: https://srvags.sgc.gov.co/JSViewer/Atlas_geoquimico_2018/ (accessed on 10 October 2022).
- Shirvani, M.; Kalbasi, M.; Shariatmadari, H.; Nourbakhsh, F.; Najafi, B. Sorption—desorption of cadmium in aqueous palygorskite, sepiolite, and calcite suspensions: Isotherm hysteresis. Chemosphere 2006, 65, 2178–2184. [Google Scholar] [CrossRef]
- Pivovarov, S. Adsorption of cadmium onto hematite: Temperature dependence. J. Colloid Interface Sci. 2001, 234, 1–8. [Google Scholar] [CrossRef]
- Lu, Q.; Xu, Z.; Xu, X.; Liu, L.; Liang, L.; Chen, Z.; Dong, X.; Li, C.; Wang, Y.; Qiu, G. Cadmium contamination in a soil-rice system and the associated health risk: An addressing concern caused by barium mining. Ecotoxicol. Environ. Saf. 2019, 183, 109590. [Google Scholar] [CrossRef]
- Marini, M.; Caro, D.; Thomsen, M. The new fertilizer regulation: A starting point for cadmium control in European arable soils? Sci. Total Environ. 2020, 745, 140876. [Google Scholar] [CrossRef] [PubMed]
- Roberts, T.L. Cadmium and phosphorous fertilizers: The issues and the science. Procedia Eng. 2014, 83, 52–59. [Google Scholar] [CrossRef]
- News European Parliament. Available online: https://www.europarl.europa.eu/news/en/press-room/20181119IPR19407/fertilisers-cadmium-parliament-and-council-negotiators-reach-provisional-deal (accessed on 10 October 2022).
- Barraza, F.; Moore, R.E.T.; Rehkämper, M.; Schreck, E.; Lefeuvre, G.; Kreissig, K.; Coles, B.J.; Maurice, L. Cadmium isotope fractionation in the soil–cacao systems of Ecuador: A pilot field study. RSC Adv. 2019, 9, 34011–34022. [Google Scholar] [CrossRef]
- Dong, J.; Mao, W.H.; Zhang, G.P.; Wu, F.B.; Cai, Y. Root excretion and plant tolerance to cadmium toxicity—A review. Plant Soil Environ. 2007, 53, 193–200. [Google Scholar] [CrossRef]
- Zug, K.L.M.; Yupanqui, H.A.H.; Meyberg, F.; Cierjacks, J.S.; Cierjacks, A. Cadmium Accumulation in Peruvian Cacao (Theobroma cacao L.) and Opportunities for Mitigation. Water Air Soil Pollut. 2019, 230, 72. [Google Scholar] [CrossRef]
- Khan, M.A.; Khan, S.; Khan, A.; Alam, M. Soil contamination with cadmium, consequences and remediation using organic amendments. Sci. Total Environ. 2017, 601–602, 1591–1605. [Google Scholar] [CrossRef]
- Topcu, A.; Bulat, T. Removal of cadmium and lead from aqueous solution by Enterococcus faecium strains. J. Food Sci. 2010, 75, 13–17. [Google Scholar] [CrossRef] [PubMed]
- Bravo, D.; Pardo-Díaz, S.; Benavides-Erazo, J.; Rengifo-Estrada, G.; Braissant, O.; Leon-Moreno, C. Cadmium and cadmium-tolerant soil bacteria in cacao crops from northeastern Colombia. J. Appl. Microbiol. 2018, 124, 1175–1194. [Google Scholar] [CrossRef] [PubMed]
- Liu, J.; Hue, N.V. Amending subsoil acidity by surface applications of gypsum, lime, and composts. Commun. Soil Sci. Plant Anal. 2001, 32, 2117–2132. [Google Scholar] [CrossRef]
- Dermont, G.; Bergeron, M.; Mercier, G.; Richer-Laflèche, M. Soil washing for metal removal: A review of physical/chemical technologies and field applications. J. Hazard. Mater. 2008, 152, 1–31. [Google Scholar] [CrossRef]
- Torres, L.G.; Lopez, R.B.; Beltran, M. Removal of As, Cd, Cu, Ni, Pb, and Zn from a highly contaminated industrial soil using surfactant enhanced soil washing. Phys. Chem. Earth 2012, 37–39, 30–36. [Google Scholar] [CrossRef]





Disclaimer/Publisher’s Note: The statements, opinions and data contained in all publications are solely those of the individual author(s) and contributor(s) and not of MDPI and/or the editor(s). MDPI and/or the editor(s) disclaim responsibility for any injury to people or property resulting from any ideas, methods, instructions or products referred to in the content. |
© 2023 by the authors. Licensee MDPI, Basel, Switzerland. This article is an open access article distributed under the terms and conditions of the Creative Commons Attribution (CC BY) license (https://creativecommons.org/licenses/by/4.0/).
Share and Cite
Joya-Barrero, V.; Huguet, C.; Pearse, J. Natural and Anthropogenic Sources of Cadmium in Cacao Crop Soils of Santander, Colombia. Soil Syst. 2023, 7, 12. https://doi.org/10.3390/soilsystems7010012
Joya-Barrero V, Huguet C, Pearse J. Natural and Anthropogenic Sources of Cadmium in Cacao Crop Soils of Santander, Colombia. Soil Systems. 2023; 7(1):12. https://doi.org/10.3390/soilsystems7010012
Chicago/Turabian StyleJoya-Barrero, Valentina, Carme Huguet, and Jillian Pearse. 2023. "Natural and Anthropogenic Sources of Cadmium in Cacao Crop Soils of Santander, Colombia" Soil Systems 7, no. 1: 12. https://doi.org/10.3390/soilsystems7010012
APA StyleJoya-Barrero, V., Huguet, C., & Pearse, J. (2023). Natural and Anthropogenic Sources of Cadmium in Cacao Crop Soils of Santander, Colombia. Soil Systems, 7(1), 12. https://doi.org/10.3390/soilsystems7010012

