Next Article in Journal
Evaluation of Soil Hydraulic Parameters Calculation Methods Using a Tension Infiltrometer
Previous Article in Journal
Reclamation of Salt-Affected Land: A Review
 
 
Font Type:
Arial Georgia Verdana
Font Size:
Aa Aa Aa
Line Spacing:
Column Width:
Background:
Article

Effects of Coarse Woody Debris on Soil Temperature and Water Content in Two Reconstructed Soils in Reclaimed Boreal Forest

Department of Renewable Resources, University of Alberta, 751 General Services Building, Edmonton, AB T6G 2H1, Canada
*
Author to whom correspondence should be addressed.
Soil Syst. 2022, 6(3), 62; https://doi.org/10.3390/soilsystems6030062
Submission received: 3 June 2022 / Revised: 16 July 2022 / Accepted: 21 July 2022 / Published: 23 July 2022

Abstract

:
Coarse woody debris (CWD) and cover soils are used to expedite ecological processes in reclaimed boreal forests after oil sands mining. Soil water content and soil temperature are considered key factors for revegetation during mine reclamation as they impact soil surface and atmosphere interactions and plant growth. However, the effects of CWD and cover soils on soil water content and temperature are not well studied. This study assessed the impact of CWD size (large, small) and type (spruce: Picea mariana, aspen: Populus tremuloides) on soil water content and temperature in two soils constructed with forest floor-mineral mix (FMM) and peat-mineral mix (PMM)) at oil sands reclamation sites. Annual and summer precipitation showed year-to-year variability; mean air temperature did not. Soil cover type had a greater impact on moderating soil water content than CWD, with PMM having a stronger influence on water content and temperature than FMM. Adding CWD increased soil water content more in FMM than PMM, and the effect on soil temperature was mostly observed during the summer months. In PMM, spruce small CWD was associated with greater water content, whereas there was no distinct differentiation between CWD size and type in FFM. This study suggests application of CWD in FMM would be more beneficial than in PMM for reclamation.

1. Introduction

Coarse woody debris (CWD), such as large branches, logs, standing dead trees, and dead coarse roots, plays an important ecological role in forest ecosystems by reducing soil erosion, adding organic matter, increasing spatial heterogeneity, and creating microsites to provide more favorable habitats for microorganisms and plants [1,2,3,4]. In natural forests CWD is a consequence of natural disturbances from small (single tree death) to large scale (fire where all or most of the trees on a site are killed); in anthropogenically impacted ecosystems such as mine reclamation sites, CWD results from purposeful placement as a reclamation treatment [2,3,5]. CWD contributes to the organic matter pool of forested ecosystems [6] and reduces evaporation by decoupling the soil surface from the atmosphere [7,8]. Given these important ecological roles, the use of CWD in land reclamation following oil sand mining is increasing [1,2,3,4]. Applying CWD can beneficially impact soil water content and temperature for revegetation as soil water and temperature play critical roles in developing flora and fauna communities after natural and anthropogenic disturbances in all types of ecosystems [9,10,11].
Soil water content and soil temperature are critical for land surface and atmosphere interactions. The soil water content helps to determine the proportion of rainfall partitioned into the runoff, surface storage, and infiltration [9,11,12]. It exhibits tremendous spatial and temporal heterogeneity [13] important to ecosystem reclamation [11,12,14]. Soil temperature is an important parameter to determine land surface heat and water balance. Surface soil temperature controls fluxes of outgoing longwave, sensible, and ground heat, and the magnitude of these fluxes determines latent heat flux (evapotranspiration by energy balance principle) [10]. Therefore, the role of soil water and temperature on soil biogeochemical processes and vegetation establishment in reclamation [10,11,12] are critical.
Reclamation of oil sand mine sites comprise several steps which include cover soil salvage and storage (stockpiling), landform construction, placement of cover soil, revegetation, monitoring, and certification [15,16,17,18]. The types of material mainly used for oil sands reclamation are peat-mineral soil mix (ratio of peat to mineral soil varies from 3:2 to 3:4 by volume) (PMM), and forest floor-mineral soil mix (upper layer of forest floor materials mixed with underlying mineral soil during salvaging with a ratio of 1:1 to 1:5) (FMM) [2,19,20]. Recently, FMM has been replacing PMM as an alternate cover soil [2,16,21] due to its association with better performance of plant cover, and native plant species richness and abundance [16,22]. Considering all the positive benefits of FMM over PMM, there is a lack of information regarding the response of soil temperature and water content after the application of CWD.
The use of woody debris in reclamation is a relatively new area of research; only a few short-term studies have evaluated the ecological effects of CWD on ecosystem recovery in oil sands reclamation sites [1,3,4] and no studies addressed the influence of CWD size and type on soil water content and temperature. The objective of this study was to determine the impact of different CWD sizes and types on soil temperature and water content in two reconstructed soils (FMM and PMM) in oil sand reclamation sites.

2. Materials and Methods

2.1. Study Area

The study area was located in the Athabasca Oil Sands Region of Central Mixedwood boreal forest, approximately 30 km north of Fort McMurray, Alberta (Figure 1). The area is characterized by a continental climate with short, warm summers and long, cold winters. The mean annual temperature for the area is 0.7 °C, with a mean daily maximum of 23.2 °C in July and a minimum of −24 °C in January [23]. Mean annual precipitation is 431.9 mm, with 155.8 cm as snow. Topography is undulating with minor inclusions of hummocky uplands. Soils are dominated by organic mesisols with fibrisols, cryosols, and peaty orthic gleysols. The natural boreal mixedwood forests in this region are dominated by mixtures of Populus tremuloides Michx. (trembling aspen) and Picea glauca (Moench) Voss (white spruce) with components of Pinus banksiana L. (Jack pine), Populus balsamifera L. (balsam poplar), Betula papyrifera Marshall. (paper birch), and Abies balsamea (L.) Mill. (balsam fir) [4].

2.2. Reclamation Treatments and Experimental Design

The upland reclaimed study site was approximately three hectares in size; research plots were established on a southeast-facing mid-slope of 6–11% between November and February. Soils were reconstructed using overburden materials, including lean oil sands (<10% oil) and Pleistocene glacial deposits, with Cretaceous silts, shales, and sandstones. After landform construction, the area was divided into two blocks each with 18 plots 10 × 30 m in size (Figure 1). In total, 36 plots were established, and half the area had FFM applied at a depth of 20 cm, over 30 cm of B and C mix horizon subsoil, and 100 cm of clean overburden. The other half had PMM applied at a depth of 30 cm, over 100 cm of clean overburden. FFM was derived from upland forest soil and consisted of surface organic (LFH) layers mixed with underlying mineral soil (A horizons) and salvaged to a maximum depth of 30 cm. The FFM consisted of 51.4% sand, 35.7% silt, and 12.9% clay with 0.82 Mg m−3 bulk density [4]. PMM was derived from organic soils and consisted of a mix of peat and underlying mineral soil, salvaged at a 60:40 ratio of peat: mineral material. The PMM consisted of 50.1% sand, 31.5% silt, and 18.4% clay with 0.89 Mg m−3 bulk density [4]. At 10 cm depth FMM had 19.5–31.4% saturation, 18.1–25.4% field capacity, 3.7–10.1% wilting point and 12.6–16.6% water holding capacity; PMM had 25.2–46.4% saturation, 19.9–38.6% field capacity, 5.1–16.1% wilting point and 11.4–25.2% water holding capacity [1,16,24,25]. Plots were separated by 5 m and blocks by 10 m, with a 10 m buffer from the edge.
After cover soil placement for each block, three woody debris treatments consisted of woody debris from Picea mariana (Mill.) Britton, Sterns, and Poggenburg (black spruce), woody debris from Populus tremuloides (aspen), and no woody debris (control) were placed in a complete randomized block design with three replicates. Woody debris was collected from surrounding areas. For each cover soil type, six plots had pure Picea mariana woody debris, six had Populus tremuloides woody debris and six controls had no woody debris. All woody debris was placed to provide maximum contact with the soil surface. Mean woody debris cover after construction was 11% for Populus tremuloides and 20% for Picea mariana. The diameter of small and large woody debris was 2–4.9 cm and >15 cm.

2.3. Data Collection

The Honest Observer by Onset (hereafter HOBO), micro station data loggers (Model H21-002; Onset Computer Corporation, Bourne, MA, USA) with plug-in ECH2O soil volumetric water smart sensors and 12-bit temperature smart sensors were used to assess soil volumetric water content and soil temperature for each of the treatment plots at approximately 5–10 cm depth. The sensors were installed in controls (no CWD), under large and small woody debris of Picea mariana and Populus tremuloides treatments. HOBO sensors were installed in August on bottom row plots on relatively level ground and hourly data were collected from 30 May of year 1 to 27 August of year 5 of the study. Dates that had missing soil temperature and soil water data that resulted from equipment error were removed from the data set prior to the calculation of treatment means based on a reduced sample number. Negative values in water content data were replaced with zeros to calculate treatment means. An equation was used to calibrate HOBO data to accurately represent the PMM and FFM volumetric water content [1]. Air temperature and precipitation were recorded from the nearest weather station which was 13 km northwest of the research sites.

2.4. Statistical Analyses

Linear mixed-effects models were used to examine the effects of cover soils and CWD size and type on soil water content and summer months (June to August) temperature using the function lme from the package nlme in the R statistics system version 3.2.5 [26]. The cover soil treatment (FFM, PMM), CWD, and time since reclamation and their interaction were treated as fixed effects, and block was treated as a random effect. A continuous autoregressive correlation matrix was used to account for repeated measures of treatment units over time. Post hoc comparisons (α = 0.05) were conducted using the multicomp package v. 1.3-2 when treatment or treatment–year interaction (Trt × Yr) was significant in the overall model and treatment also had a significant effect in a reduced model for an individual year. Normality and homogeneity of variance were tested by examining the residuals versus the fitted plots and normal q–q plots of the models. Square root transformations were carried out for soil water and summer temperature to meet the normal distribution. For annual mean soil temperature, a nonparametric Kruskal–Wallis test was used because data failed tests for normality and homogeneity of variance.

3. Results

3.1. Air Temperature and Precipitation

Relative to the long-term normal (1961–2008), the mean study period air temperature was slightly lower, being highest in year 3 and lowest in year 1; summer temperatures (June–August) increased slightly by 1–3 °C with the highest in year 5 and lowest in year 2 (Figure 2a). When annual mean and summer month precipitation were compared to long-term normal data, variable mixed results were observed (Figure 2b).

3.2. Soil Water Content

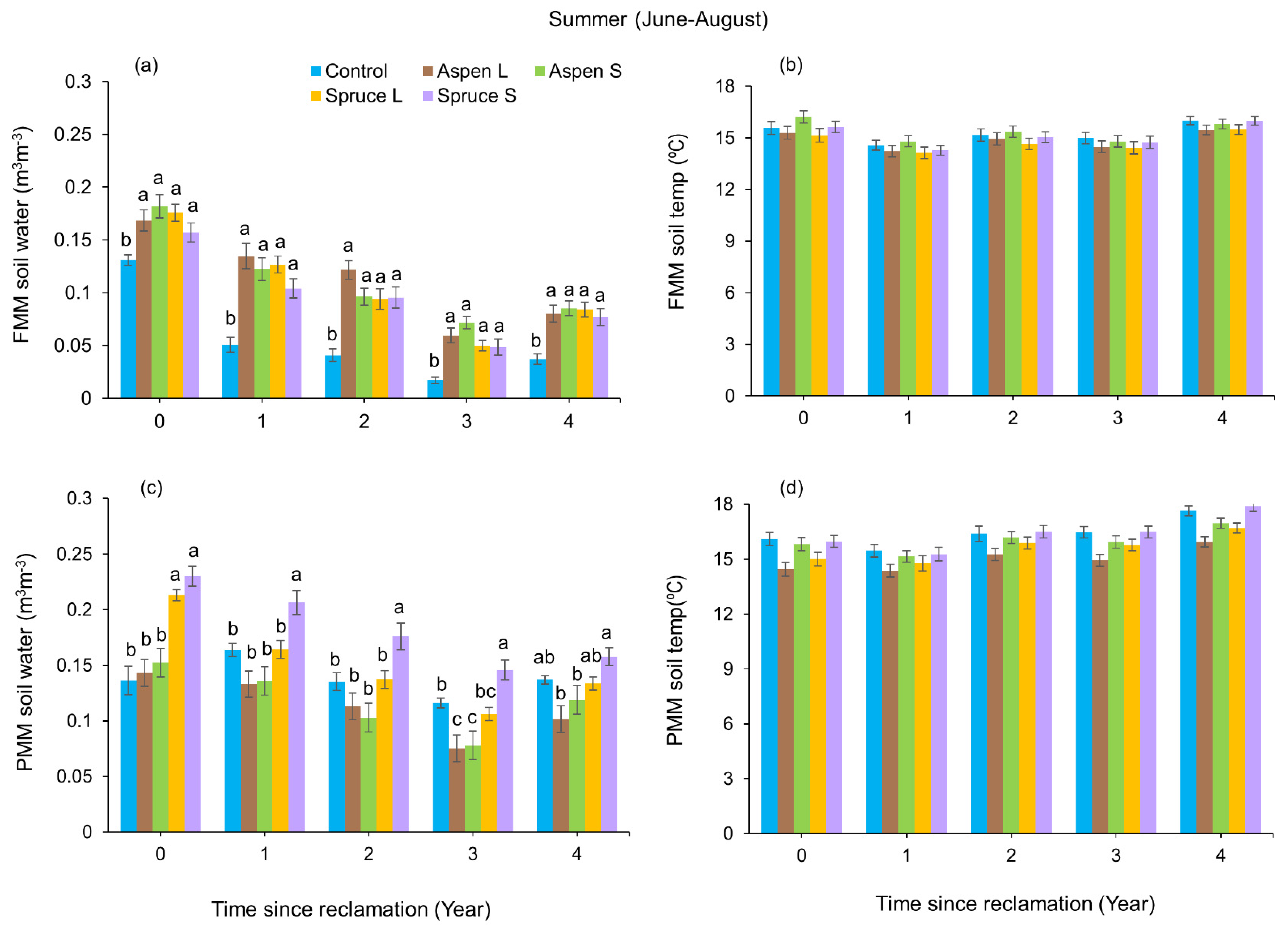
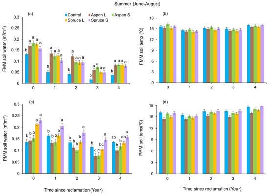
A significant cover soil × year and CWD × year effect (Trt × Yr) was observed for annual (p = 0.002 and p = 0.011) and summer (p < 0.001 and p = 0.007) soil water content. Annual and summer soil water content in PMM was higher than in FFM, with a difference of 0.028–0.039 m3m−3 for annual and 0.012–0.057 for summer months (Figure 3a,c). The relationship between precipitation and soil water content was stronger in FMM than in PMM. The FFM control (without CWD) had the lowest annual and summer soil water content throughout the study and was significantly (post hoc comparisons, α = 0.05) lower than other CWD treatments; which was not the case for PMM (Figure 4a,c and Figure 5a,c). When considering size and type of CWD, soil water content significantly differed only in PMM for annual (p = 0.015 and p < 0.001) and summer months (p = 0.012 and p < 0.001). Spruce (Picea mariana) small CWD had greater annual and summer water content throughout the study in PMM; the difference became significant in years whereas no distinct differentiation among CWD size and type was found in FFM (Figure 4a,c and Figure 5a,c).

3.3. Soil Temperature

The nonparametric Kruskal–Wallis test indicated that cover soil type, time since reclamation, and CWD size and type had no significant impacts on annual soil temperature. Soil temperature in PMM (6.1–7.4 °C) was slightly higher than in FFM (5.5–6.6 °C), except in year one (5.1 °C in PMM, 5.4 °C in FFM); the difference in soil temperature between soil type slightly increased with time, but a more prominent difference was observed in summer soil temperature (Figure 3b,d). Other than the increasing trend, CWD size and type did not vary significantly among treatments for FFM and PMM (Figure 4b,d). Although CWD did not influence summer soil temperature, the size and type of CWD showed some distinct trends where spruce (Picea mariana) and aspen (Populus tremuloides) large CWD were associated with the lowest temperature throughout the study with an average of 1.5 °C in PMM, 0.5 °C in FFM than control. Smaller CWD of spruce (Picea mariana) and aspen (Populus tremuloides) had similar temperature fluctuations to the control (Figure 5b,d).

4. Discussion

The greater soil water content and temperature in PMM than FMM throughout the study might be due to the inherent physical properties of the peat source material. PMM generally has higher organic matter and organic carbon content and lower bulk density (0.06–0.18 Mgm−3) than FMM (0.10 Mgm−3) [1,2,3,16,27]. During the study period, total organic matter (10.5–11.8% in FFM, 14.5–12.7% in PMM) and organic carbon (5.2–7.3% in FFM, 6.6–7.3% in PMM) were greater in PMM [1,4]. High organic matter and organic carbon are directly correlated with increased soil water retention through their own ability to absorb water and indirect effects on soil structure [28,29,30]. MacKenzie and Quideau [27] reported that high organic matter is the reason for higher overall water content in PMM than FFM. Similarly Brown and Naeth [1] found higher volumetric water content and temperature in PMM than in FMM. Pinno and Das Gupta [3] found that PMM had 14% more water content and 5% higher temperatures than FMM. Higher organic matter and lower bulk density soils are associated with increased pore space and higher water retention capacities associated with capillary action. Lower fluctuations of volumetric water content suggest FMM is more stable than PMM.
The greater soil water content with CWD justifies previous conclusions [1,2,3,31,32] that the application of CWD can increase soil water content, specifically with FMM. Parkhurst et al. [32] found CWD significantly increased soil water content, and Goldin and Hutchinson [31] found soil water content decreased with increasing distance from CWD. Among CWD types, smaller spruce (Picea mariana) had more beneficial effects than larger CWD in PMM, which might be due to direct and indirect interactions with soil surface physical and biogeochemical functions and their complex processes and feedbacks. Small debris can better divert water run-off, providing a protective surface layer that reduces evaporation and loss of soil water, erosion, and mineral leaching [33,34,35]. Woody debris likely acted as a barrier between the snow and the soil surface, reducing infiltration under logs and snow as it melted more slowly [1,2,3,4]. These changes to water and temperature can facilitate further changes in soil physical, chemical, and biological processes such as increased organic matter and organic carbon content in the soil, which in turn, can result in reduced compaction, altered soil structure and texture, carbon and nutrient cycling [1,3,32,36,37,38]. Such improvement of soil’s physical and chemical conditions can positively influence vegetation establishment and growth, enhance soil microbial activity, woody debris decomposition rates, and soil invertebrate activities [36,39,40], which could have positive effects on overall reclamation success. Fekete et al. [40] mentioned that fine and CWD can maintain a stable microclimate by reducing fluctuations of soil water and soil surface temperatures.
Smaller fluctuations in soil temperature with CWD than without are likely a result of relatively more uniform microsites created by shade and insulation of soil provided by CWD. Larger CWD (FFM ~0.5 °C, PMM ~1.5 °C) had a slightly greater impact on summer (June–August) soil temperature moderation than small woody debris (FFM ~0.4 °C, PMM ~1 °C), with lower values than Brown and Naeth [1] who found soil temperature under large CWD was up to 3 °C less than the control (no CWD) two years after reclamation. The persistent difference might be due to large CWD being better able to control soil temperature right after application than small CWD. Large CWD is associated with a better buffering capacity to change site conditions and protect the soil surface from rain, sun exposure, or extreme temperate at the early stages of reclamation and create favorable conditions for plant community development [6,41]. Brown and Naeth [1] reported that vascular and non-vascular plant growth was greatest close to woody debris. Although small CWD can provide greater cover which could increase the ability of woody debris to protect against rain and sun (water evaporation from the soil surface, increased soil temperatures), it could cause other undesirable effects, such as reduced space for plant propagule emergence at early stages of reclamation [1,32,36,40]. Less control and almost similar temperature fluctuations to the controls imply small CWD contributes relatively little to moderating site conditions that aid in the initial establishment of early successional plant species [1,32,37]. Early successional sites often have extreme fluctuations in soil temperature and intense radiation, increasing evaporation, and drying soil [1,38].
This study suggests adding woody debris in FMM cover soil will more strongly influence soil water content than PMM, thus the benefits of CWD are directly linked with the type of cover soils used in reclamation. If a site is being reclaimed with FMM cover soil, then the use of CWD is highly recommended irrespective of its size and type. However, with PMM covering soil, the use of spruce (Picea mariana) CWD may have greater benefits in controlling soil water content. Although this study clearly showed that CWD had positive impacts on managing reclaimed soil water content, further study is recommended to determine how long this CWD influence persists in the field.

5. Conclusions

This study provided some valuable insight into the effect of cover soils and CWD on soil water content and temperature in boreal forest reclamation. Soil cover types played a greater role in moderating soil water content than CWD, with PMM having inherently greater water content and temperature than FMM. Adding CWD increased soil water content more in FMM than PMM; the effect on soil temperature was mostly observed during the summer months. In PMM, small spruce (Picea mariana) CWD was associated with greater annual and summer soil water content throughout the study, whereas there was no distinct differentiation between CWD size and type in the FFM. The application of CWD in FMM would be more beneficial than in PMM for reclamation.

Author Contributions

K.B.C.F. worked to collect data, did preliminary analyses, and wrote a thesis; A.D. analyzed data, and prepared, reviewed, and edited the manuscript; M.A.N. conceptualized the research, developed the experimental design, supervised all the work, and reviewed and edited the manuscript. All authors have read and agreed to the published version of the manuscript.

Funding

This research was funded by the Canadian Oil Sands Network for Research and Development, Environmental and Reclamation Group (CONRAD ERRG), and the Helmholtz Alberta Initiative (HAI) under grant numbers G800001150 and RES0006398.

Institutional Review Board Statement

Not applicable.

Informed Consent Statement

Not applicable.

Data Availability Statement

The data presented in this study may be available on request from the corresponding author. The data are not publicly available due to copyright issues.

Acknowledgments

We thank Sarah Wilkinson, Stacy Campbell, and Robyn Brown for technical and administrative support.

Conflicts of Interest

The authors declare no conflict of interest.

References

  1. Brown, R.L.; Naeth, M.A. Woody debris amendment enhances reclamation after oil sands mining in Alberta, Canada. Restor. Ecol. 2014, 22, 40–48. [Google Scholar] [CrossRef]
  2. Dhar, A.; Comeau, P.G.; Karst, J.; Pinno, B.; Chang, S.; Naeth, M.A.; Vassov, R.; Bampfylde, C. Plant community development following reclamation of oil sands mine sites in the boreal forest: A review. Environ. Rev. 2018, 26, 286–298. [Google Scholar] [CrossRef]
  3. Pinno, B.D.; Das Gupta, S. Coarse woody debris as a land reclamation amendment at an oil sands mining operation in boreal Alberta, Canada. Sustainability 2018, 10, 1640. [Google Scholar] [CrossRef] [Green Version]
  4. Forsch, K.B.C.; Dhar, A.; Naeth, M.A. Effects of woody debris and cover soil types on soil properties and vegetation 4-5 years after oil sands reclamation. Restor. Ecol. 2021, 29, e13420. [Google Scholar] [CrossRef]
  5. Kwak, J.H.; Chang, S.X.; Naeth, M.A.; Schaaf, W. Coarse woody debris increases microbial community functional diversity but not enzyme activities in reclaimed oil sands soils. PLoS ONE 2015, 10, e0143857. [Google Scholar] [CrossRef]
  6. Harmon, M.E.; Franklin, J.F.; Swanson, F.J.; Sollins, P.; Gregory, S.V.; Lattin, J.D.; Anderson, N.H.; Cline, S.P.; Aumen, N.G.; Sedell, J.R.; et al. Ecology of coarse woody debris in temperate ecosystems. Adv. Ecol. Res. 1986, 15, 133–302. [Google Scholar] [CrossRef]
  7. Pettit, N.E.; Naiman, R.J. Flood-deposited wood debris and its contribution to heterogeneity and regeneration in a semi-arid riparian landscape. Oecologia 2005, 145, 434–444. [Google Scholar] [CrossRef]
  8. Law, D.J.; Kolb, P.F. The effects of forest residual debris disposal on perennial grass emergence, growth, and survival in a ponderosa pine ecotone. Rangel. Ecol. Manag. 2007, 60, 632–643. [Google Scholar] [CrossRef]
  9. Niu, C.Y.; Musa, A.; Liu, Y. Analysis of soil moisture condition under different land uses in the arid region of Horqin sandy land, northern China. Solid Earth 2015, 6, 1157–1167. [Google Scholar] [CrossRef] [Green Version]
  10. Lakshmi, V.; Jackson, T.; Zehrfuhs, D. Soil moisture–temperature relationships: Results from two field experiments. Hydrol. Process. 2003, 17, 3041–3057. [Google Scholar] [CrossRef]
  11. Dhar, A.; Miller, V.S.; Wilkinson, S.R.; Naeth, M.A. 2022. Substrate and topsoil impact on soil water and soil temperature in Arctic diamond mine reclamation. Soil Syst. 2022, 6, 12. [Google Scholar] [CrossRef]
  12. Brevik, E.C.; Cerdà, A.; Mataix-Solera, J.; Pereg, L.; Quinton, J.N.; Six, J.; Van Oost, K. The interdisciplinary nature of Soil. Soil 2015, 1, 117–129. [Google Scholar] [CrossRef] [Green Version]
  13. Gomez-Plaza, A.; Alvarez-Rogel, J.; Albaladejo, J.; Castillo, V.M. Spatial patterns and temporal stability of soil moisture across a range of scales in a semi-arid environment. Hydrol. Process. 2000, 14, 1261–1277. [Google Scholar] [CrossRef]
  14. Yu, Y.; Wei, W.; Chen, L.D.; Jia, F.Y.; Yang, L.; Zhang, H.D.; Feng, T.J. Responses of vertical soil moisture to rainfall pulses and land uses in a typical loess hilly area, China. Solid Earth 2015, 6, 595–608. [Google Scholar] [CrossRef] [Green Version]
  15. Rowland, S.M.; Prescott, C.E.; Grayston, S.J.; Quideau, S.A.; Bradfield, G. Recreating a functioning forest soil in reclaimed oil sands in northern Alberta: An approach for measuring success in ecological restoration. J. Environ. Qual. 2009, 38, 1580–1590. [Google Scholar] [CrossRef] [PubMed] [Green Version]
  16. Mackenzie, D.D.; Naeth, M.A. The role of the forest soil propagule bank in assisted natural recovery after oil sands mining. Restor. Ecol. 2010, 18, 418–427. [Google Scholar] [CrossRef]
  17. Dhar, A.; Comeau, P.G.; Vassov, R. Effects of cover soil stockpiling on plant community development following reclamation of oil sands sites in Alberta. Restor. Ecol. 2019, 27, 352–360. [Google Scholar] [CrossRef]
  18. Dhar, A.; Comeau, P.G.; Naeth, M.A.; Pinno, B.; Vassov, R. Plant community development following reclamation of oil sands mines using four cover soil types in northern Alberta. Restor. Ecol. 2020, 28, 82–92. [Google Scholar] [CrossRef]
  19. Alberta Environment and Water. Best Management Practices for Conservation of Reclamation Materials in the Mineable Oil Sands Region of Alberta. Province of Alberta, Edmonton, Alberta, Canada. 2012. Available online: https://open.alberta.ca/publications/9781460100486 (accessed on 16 May 2022).
  20. Mackenzie, D.D.; Naeth, M.A. Native seed, soil and atmosphere respond to boreal forest topsoil (LFH) storage. PLoS ONE 2019, 14, e0220367. [Google Scholar] [CrossRef] [Green Version]
  21. Shaughnessy, B.E.; Dhar, A.; Naeth, M.A. Natural recovery of vegetation on reclamation stockpiles after 26 to 34 years. Ecoscience 2022, 29, 55–67. [Google Scholar] [CrossRef]
  22. Dhar, A.; Comeau, P.G.; Naeth, M.A.; Vassov, R. Early boreal forest understory plant community development in reclaimed oil sands. Ecol. Eng. 2020, 158, 106014. [Google Scholar] [CrossRef]
  23. Environment Canada. Canadian Climate Normals 1981–2010 Station Data. 2022. Available online: http://climate.weather.gc.ca/climate_normals/results_1981_2010_e.html?searchType=stnName&txtStationName=Fort+McMurray&searchMethod=contains&txtCentralLatMin=0&txtCentralLatSec=0&txtCentralLongMin=0&txtCentraLongSec=0&stnID=2519&dispBack=1 (accessed on 12 May 2022).
  24. Mackenzie, D.D. Oil Sands Mine Reclamation Using Boreal Forest Surface Soil (LFH) in Northern Alberta. Ph.D. Dissertation, Department of Renewable Resources, University of Alberta, Edmonton, AB, Canada, 2012; 232p. [Google Scholar] [CrossRef]
  25. Archibald, H.A. Early Ecosystem Genesis Using LFH and Peat Cover Soils in Athabasca Oil Sands Reclamation. Master’s Thesis, Department of Renewable Resources, University of Alberta, Edmonton, AB, Canada, 2014. [Google Scholar] [CrossRef]
  26. R Core Team. R: A Language and Environment for Statistical Computing. R Foundation for Statistical Computing, Vienna, Austria. 2021. Available online: http://www.Rproject.org/ (accessed on 2 May 2021).
  27. Mackenzie, M.D.; Quideau, S.A. Laboratory-based nitrogen mineralization and biogeochemistry of two soils used in oil sands reclamation. Can. J. Soil Sci. 2012, 92, 131–142. [Google Scholar] [CrossRef]
  28. Ohu, J.O.; Raghavan, G.S.V.; Prasher, S.; Mehuys, G. Prediction of water retention characteristics from soil compaction data and organic matter content. J. Agric. Eng. Res. 1987, 38, 27–35. [Google Scholar] [CrossRef]
  29. Rawls, W.J.; Pachepsky, Y.A.; Ritchie, J.C.; Sobecki, T.M.; Bloodworth, H. Effect of soil organic carbon on water retention. Geoderma 2003, 116, 61–76. [Google Scholar] [CrossRef]
  30. Brais, S.; Sadi, F.; Bergeron, Y.; Grenier, Y. Coarse woody debris dynamics in a post-fire jack pine chronosequence and its relation with site productivity. For. Ecol. Manag. 2005, 220, 216–226. [Google Scholar] [CrossRef]
  31. Goldin, S.R.; Hutchinson, M.F. Coarse woody debris reduces the rate of moisture loss from surface soils of cleared temperate Australian woodlands. Soil Res. 2014, 52, 637–644. [Google Scholar] [CrossRef]
  32. Prkhurst, T.; Prober, S.; Farrell, M.; Standish, R. Responses of soil, herbaceous vegetation and ants to woody debris additions in restored old fields in a multi-site Before-After-Control-Impact experiment. Authorea 2022. [Google Scholar] [CrossRef]
  33. Bowman, A.S.; Facelli, J.M. Fallen logs as sources of patchiness in chenopod shrublands of South Australia. J. Arid Environ. 2013, 97, 66–72. [Google Scholar] [CrossRef]
  34. Lindenmayer, D.; Claridge, A.; Gilmore, A.; Michael, D.; Lindenmayer, B.D. The ecological roles of logs in Australian forests and the potential impacts of harvesting intensification on log-using biota. Pac. Conserv. Biol. 2002, 8, 121–140. [Google Scholar] [CrossRef]
  35. Xu, S.; Liu, L.; Sayer, E. Variability of aboveground litter inputs alters soil physicochemical and biological processes: A meta-analysis of litterfall-manipulation experiments. Biogeosciences 2013, 10, 7423–7433. [Google Scholar] [CrossRef] [Green Version]
  36. Colloff, M.J.; Pullen, K.R.; Cunningham, S.A. Restoration of an ecosystem function to revegetation communities: The role of invertebrate macropores in enhancing soil water infiltration. Restor. Ecol. 2010, 18, 65–72. [Google Scholar] [CrossRef]
  37. Prober, S.; Stol, J.; Piper, M.; Gupta, V.V.S.R.; Cunningham, S. Enhancing soil biophysical condition for climate-resilient restoration in mesic woodlands. Ecol. Eng. 2014, 71, 246–255. [Google Scholar] [CrossRef]
  38. Manning, A.D.; Cunningham, R.B.; Lindenmayer, D.B. Bringing forward the benefits of coarse woody debris in ecosystem recovery under different levels of grazing and vegetation density. Biol. Conserv. 2013, 157, 204–214. [Google Scholar] [CrossRef]
  39. Snyder, B.A.; Hendrix, P.F. Current and potential roles of soil macroinvertebrates (earthworms, millipedes, and isopods) in ecological restoration. Restor. Ecol. 2008, 16, 629–636. [Google Scholar] [CrossRef]
  40. Fekete, I.; Varga, C.; Biró, B.; Tóth, J.A.; Várbíró, G.; Lajtha, K.; Szabó, G.; Kotroczó, Z. The effects of litter production and litter depth on soil microclimate in a central European deciduous forest. Plant Soil 2016, 398, 291–300. [Google Scholar] [CrossRef] [Green Version]
  41. Vinge, T.; Pyper, M. Managing Woody Materials on Industrial Sites: Meeting Economic, Ecological and Forest Health Goals Through a Collaborative Approach; Report; Department of Renewable Resources, University of Alberta: Edmonton, AB, Canada, 2012; 47p. [Google Scholar] [CrossRef]
Figure 1. Location of research sites. Yellow plots have LFH mineral soil mix cover and green plots have peat mineral soil mix cover. Plots without lines or dots were control or no CWD, plots with dots were Populus tremuloides woody debris, and plots with horizontal lines were Picea mariana woody debris.
Figure 1. Location of research sites. Yellow plots have LFH mineral soil mix cover and green plots have peat mineral soil mix cover. Plots without lines or dots were control or no CWD, plots with dots were Populus tremuloides woody debris, and plots with horizontal lines were Picea mariana woody debris.
Soilsystems 06 00062 g001
Figure 2. Annual and summer (June–August) (a) ambient temperature and (b) precipitation from years 1 to 5 at the research sites. LTN = long-term average 1980–2010. Dotted lines indicate the long-term mean of 1980–2010.
Figure 2. Annual and summer (June–August) (a) ambient temperature and (b) precipitation from years 1 to 5 at the research sites. LTN = long-term average 1980–2010. Dotted lines indicate the long-term mean of 1980–2010.
Soilsystems 06 00062 g002
Figure 3. (ad) Mean annual and summer soil water content and temperature by cover soil type, at the research sites including precipitation and air temperature. Different letters indicate significant differences at p = 0.05 in the Tukey HSD post hoc comparisons. FFM = forest floor mineral soil mix; PMM = peat minerals soil mix, pptn = precipitation, temp = temperature.
Figure 3. (ad) Mean annual and summer soil water content and temperature by cover soil type, at the research sites including precipitation and air temperature. Different letters indicate significant differences at p = 0.05 in the Tukey HSD post hoc comparisons. FFM = forest floor mineral soil mix; PMM = peat minerals soil mix, pptn = precipitation, temp = temperature.
Soilsystems 06 00062 g003
Figure 4. (ad) Mean annual soil water content and temperature by cover soil type at the research sites. Different letters indicate significant differences at p = 0.05 in Tukey HSD post hoc comparisons. FFM = forest floor mineral soil mix; PMM = peat minerals soil mix; L = large diameter (>15 cm); S = small diameter (2–4.9 cm).
Figure 4. (ad) Mean annual soil water content and temperature by cover soil type at the research sites. Different letters indicate significant differences at p = 0.05 in Tukey HSD post hoc comparisons. FFM = forest floor mineral soil mix; PMM = peat minerals soil mix; L = large diameter (>15 cm); S = small diameter (2–4.9 cm).
Soilsystems 06 00062 g004
Figure 5. (ad) Mean summer soil water content and temperature by cover soil type at the research sites. Different letters indicate significant differences at p = 0.05 in Tukey HSD post hoc comparisons. FFM = forest floor mineral soil mix; PMM = peat minerals soil mix; L = large diameter (>15 cm); S = small diameter (2–4.9 cm).
Figure 5. (ad) Mean summer soil water content and temperature by cover soil type at the research sites. Different letters indicate significant differences at p = 0.05 in Tukey HSD post hoc comparisons. FFM = forest floor mineral soil mix; PMM = peat minerals soil mix; L = large diameter (>15 cm); S = small diameter (2–4.9 cm).
Soilsystems 06 00062 g005
Publisher’s Note: MDPI stays neutral with regard to jurisdictional claims in published maps and institutional affiliations.

Share and Cite

MDPI and ACS Style

Dhar, A.; Forsch, K.B.C.; Naeth, M.A. Effects of Coarse Woody Debris on Soil Temperature and Water Content in Two Reconstructed Soils in Reclaimed Boreal Forest. Soil Syst. 2022, 6, 62. https://doi.org/10.3390/soilsystems6030062

AMA Style

Dhar A, Forsch KBC, Naeth MA. Effects of Coarse Woody Debris on Soil Temperature and Water Content in Two Reconstructed Soils in Reclaimed Boreal Forest. Soil Systems. 2022; 6(3):62. https://doi.org/10.3390/soilsystems6030062

Chicago/Turabian Style

Dhar, Amalesh, Katryna B. C. Forsch, and M. Anne Naeth. 2022. "Effects of Coarse Woody Debris on Soil Temperature and Water Content in Two Reconstructed Soils in Reclaimed Boreal Forest" Soil Systems 6, no. 3: 62. https://doi.org/10.3390/soilsystems6030062

APA Style

Dhar, A., Forsch, K. B. C., & Naeth, M. A. (2022). Effects of Coarse Woody Debris on Soil Temperature and Water Content in Two Reconstructed Soils in Reclaimed Boreal Forest. Soil Systems, 6(3), 62. https://doi.org/10.3390/soilsystems6030062

Article Metrics

Back to TopTop