Radiated Sound and Transmitted Vibration Following the Ball/Racket Impact of a Tennis Serve
Abstract
1. Introduction
2. Materials and Methods
2.1. Participants
2.2. Rackets
2.3. Experimental Procedure
2.4. Vibration Measurements
2.5. Acoustic Measurements
3. Analysis
3.1. Analysis of Vibratory Signals
3.2. Analysis of Acoustic Signals
3.3. Statistics
4. Results
4.1. Inter- and Intra-Player Variability
4.2. Acoustic and Vibratory Energy
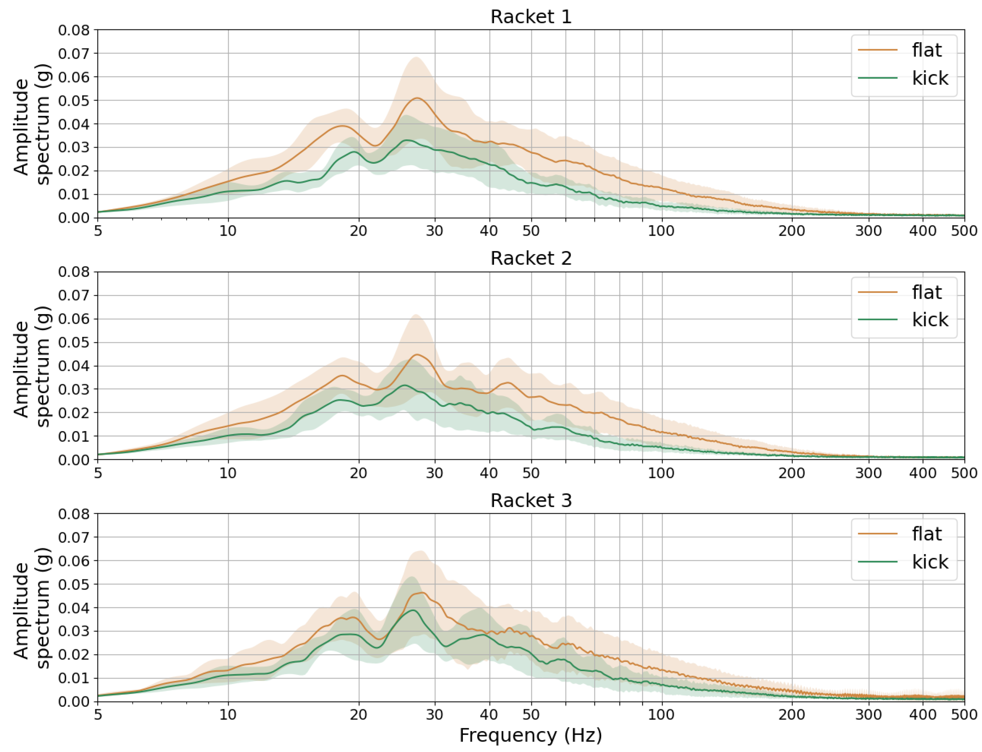
4.3. Spectral Features
4.4. Link between Acoustics and Vibration
5. Discussion
6. Conclusions
Author Contributions
Funding
Institutional Review Board Statement
Informed Consent Statement
Data Availability Statement
Acknowledgments
Conflicts of Interest
Abbreviations
References
- Hennig, E.; Rosenbaum, D.; Milani, T. Transfer of tennis racket vibrations onto the human forearm. Med. Sci. Sport. Exerc. 1992, 24, 1134–1140. [Google Scholar] [CrossRef]
- Yeh, I.-L.; Elangovan, N.; Feczer, R.; Khosravani, S.; Mahnan, A.; Konczak, J. Vibration-Damping technology in tennis racquets: Effects on vibration transfer to the arm, muscle fatigue and tennis performance. Sport. Med. Health Sci. 2019, 1, 49–58. [Google Scholar] [CrossRef] [PubMed]
- Taraborrelli, L.; Grant, R.; Sullivan, M.; Choppin, S.; Spurr, J.; Haake, S.; Allen, T. Materials Have Driven the Historical Development of the Tennis Racket. Appl. Sci. 2019, 9, 4352. [Google Scholar] [CrossRef]
- Rigozzi, C.J.; Vio, G.A.; Poronnik, P. Comparison of Grip Strength, Forearm Muscle Activity, and Shock Transmission between the Forehand Stroke Technique of Experienced and Recreational Tennis Players Using a Novel Wearable Device. Sensors 2023, 23, 5146. [Google Scholar] [CrossRef] [PubMed]
- Goislard de Monsabert, B.; Herbaut, A.; Cartier, T.; Vigouroux, L. Electromyography- informed musculoskeletal modeling provides new insight into hand tendon forces during tennis forehand. Scand. J. Med. Sci. Sport. 2023, 33, 1958–1975. [Google Scholar] [CrossRef]
- Chadefaux, D.; Rao, G.; Le Carrou, J.-L.; Berton, E.; Vigouroux, L. The effects of player grip on the dynamic behaviour of a tennis racket. J. Sport. Sci. 2016, 35, 1155–1164. [Google Scholar]
- Pedro, B.; Cabral, S.; Veloso, A.P. Concurrent validity of an inertial measurement system in tennis forehand drive. J. Biomech. 2021, 121, 110410. [Google Scholar] [CrossRef]
- Martin, C. Biomechanics of the Tennis Serve. Tennis Med. 2018, 316. [Google Scholar] [CrossRef]
- Wei, S.-H.; Chiang, J.-Y.; Shiang, T.-Y.; Chang, H.-Y. Comparison of Shock Transmission and Forearm Electromyography Between Experienced and Recreational Tennis Players During Backhand Strokes. Clin. J. Sport Med. 2006, 16, 129–135. [Google Scholar] [CrossRef] [PubMed]
- Chadefaux, D.; Rao, G.; Androuet, P.; Berton, E.; Vigouroux, L. Active tuning of stroke-induced vibrations by tennis players. J. Sport. Sci. 2016, 35, 1643–1651. [Google Scholar] [CrossRef] [PubMed]
- Rogowski, I.; Creveaux, T.; Triquigneaux, S.; Macé, P.; Gauthier, F.; Sevrez, V. Tennis Racket Vibrations and Shock Transmission to the Wrist during Forehand Drive. PLoS ONE 2015, 10, e0132925. [Google Scholar] [CrossRef] [PubMed]
- Chung, K.C.; Lark, M.E. Upper Extremity Injuries in Tennis Players: Diagnosis, Treatment, and Management. Hand Clin. 2017, 33, 175–186. [Google Scholar] [CrossRef] [PubMed]
- Banwell, G.H.; Roberts, J.R.; Halkon, B.J.; Rothberg, S.J.; Mohr, S. Understanding the Dynamic Behaviour of a Tennis Racket under Play Conditions. Exp. Mech. 2014, 54, 527–537. [Google Scholar] [CrossRef]
- Manin, L.; Poggi, M.; Bertrand, C.; Havard, N. Vibro-acoustic of table tennis rackets. Influence of the plywood design parameters. Experimental and sensory analyses. Procedia Eng. 2014, 72, 374–379. [Google Scholar] [CrossRef]
- Sors, F.; Murgia, M.; Santoro, I.; Agostini, T. Audio-Based Interventions in Sport. Open Psychol. J. 2015, 8, 212–219. [Google Scholar] [CrossRef]
- Schaffert, N.; Braun Janzen, T.; Mattes, K.; Thaut, M.H. A Review on the Relationship Between Sound and Movement in Sports and Rehabilitation. Front. Psychol. 2019, 10, 244. [Google Scholar] [CrossRef]
- Roberts, J.R.; Jones, R.; Rothberg, S.J.; Mansfield, N.J.; Meyer, C. Influence of sound and vibration from sports impacts on players’ perceptions of equipment quality. J. Mater. Des. Appl. 2006, 220, 215–227. [Google Scholar] [CrossRef]
- Roberts, J.R.; Jones, R.; Mansfield, N.J.; Rothberg, S.J. Evaluation of vibrotactile sensations in the feel of a golf shot. J. Sound Vib. 2005, 285, 303–319. [Google Scholar] [CrossRef]
- Roberts, J.R.; Jones, R.; Mansfield, N.J.; Rothberg, S.J. Evaluation of impact sound of the ‘feel’ of a golf shot. J. Sound Vib. 2005, 287, 651–666. [Google Scholar] [CrossRef][Green Version]
- Cañal-Bruland, R.; Müller, F.; Lach, B.; Spence, C. Auditory contributions to visual anticipation in tennis. Psychol. Sport Exerc. 2018, 36, 100–103. [Google Scholar] [CrossRef]















| HIP | HOP | SIP | SOP | FA_d | FA_p | UA_d | UA_p | A | |||
|---|---|---|---|---|---|---|---|---|---|---|---|
| RMS | R | F(16,2) | 0.52 | 3.09 | 3.47 | 0.56 | 0.34 | 0.46 | 0.56 | 1.47 | 1.91 |
| p | 0.61 | 0.05 | 0.06 | 0.58 | 0.71 | 0.64 | 0.59 | 0.26 | 0.18 | ||
| S | F(8,1) | 0.10 | 1.77 | 18.32 | 34.22 | 5.65 | 71.93 | 9.58 | 7.11 | 7.83 | |
| p | 0.76 | 0.23 | 5 × 10−3 | 1.1 × 10−3 | 0.45 | 2.9 × 10−5 | 0.03 | 0.03 | 0.02 | ||
| SC | R | F(16,2) | 2.48 | 0.55 | 5.61 | 2.01 | 0.23 | 2.04 | 0.56 | 2.86 | 2.75 |
| p | 0.12 | 0.59 | 0.02 | 0.17 | 0.80 | 0.16 | 0.59 | 0.09 | 0.09 | ||
| S | F(8,1) | 10.69 | 9.51 | 12.13 | 3.01 | 1.09 | 4.00 | 0.97 | 1.76 | 2.81 | |
| p | 0.01 | 0.02 | 0.01 | 0.13 | 0.33 | 0.08 | 0.37 | 0.22 | 0.13 |
Disclaimer/Publisher’s Note: The statements, opinions and data contained in all publications are solely those of the individual author(s) and contributor(s) and not of MDPI and/or the editor(s). MDPI and/or the editor(s) disclaim responsibility for any injury to people or property resulting from any ideas, methods, instructions or products referred to in the content. |
© 2024 by the authors. Licensee MDPI, Basel, Switzerland. This article is an open access article distributed under the terms and conditions of the Creative Commons Attribution (CC BY) license (https://creativecommons.org/licenses/by/4.0/).
Share and Cite
Paté, A.; Petel, M.; Belhassen, N.; Chadefaux, D. Radiated Sound and Transmitted Vibration Following the Ball/Racket Impact of a Tennis Serve. Vibration 2024, 7, 894-911. https://doi.org/10.3390/vibration7040047
Paté A, Petel M, Belhassen N, Chadefaux D. Radiated Sound and Transmitted Vibration Following the Ball/Racket Impact of a Tennis Serve. Vibration. 2024; 7(4):894-911. https://doi.org/10.3390/vibration7040047
Chicago/Turabian StylePaté, Arthur, Maxime Petel, Nesrine Belhassen, and Delphine Chadefaux. 2024. "Radiated Sound and Transmitted Vibration Following the Ball/Racket Impact of a Tennis Serve" Vibration 7, no. 4: 894-911. https://doi.org/10.3390/vibration7040047
APA StylePaté, A., Petel, M., Belhassen, N., & Chadefaux, D. (2024). Radiated Sound and Transmitted Vibration Following the Ball/Racket Impact of a Tennis Serve. Vibration, 7(4), 894-911. https://doi.org/10.3390/vibration7040047

