Oxidation Mechanisms of Electrolyte and Fire Gas Generation Laws During a Lithium-Ion Battery Thermal Runaway
Abstract
1. Introduction
2. Computational Details
2.1. Computational Contents
2.2. Computational Methods
2.3. Transition State Search and Intrinsic Reaction Coordinate Pathway Analysis
3. Results and Discussion
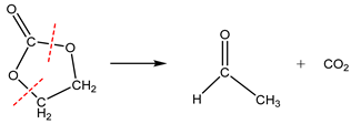
3.1. EC Thermal Decomposition with Oxidation
3.2. EC Oxidation
3.3. DMC Oxidation
3.4. DEC Oxidation
3.5. Main Mechanism of Gas Generation in LIB Fire
4. Conclusions
5. Research Prospects
Supplementary Materials
Author Contributions
Funding
Data Availability Statement
Acknowledgments
Conflicts of Interest
Symbols and Abbreviations
| Symbol | Meaning | Unit |
| ∆G | Gibbs free energy | kJ/mol |
| E | Electronic energy at M06-2X/def2tzvp level | kJ/mol |
| G(corr) | Gibbs free energy correction factor at the B3LYP/6-311++G(d,p) level | kJ/mol |
| ∆GR | Reaction Gibbs free energy of the reaction | kJ/mol |
| ∆GRea | Gibbs free energy of the reactants | kJ/mol |
| ∆GPro | Gibbs free energy of the products | kJ/mol |
| Abbreviations | Full Term | |
| LIB | Lithium-ion battery | |
| EC | Ethylene carbonate | |
| DMC | Dimethyl carbonate | |
| DEC | Diethyl carbonate | |
| DFT | Density Functional Theory | |
| TS | Transition state | |
| IRC | Intrinsic Reaction Coordinate | |
References
- Ministry of Industry and Information Technology of the People’s Republic of China. Operating Conditions of the National Lithium-Ion Battery Industry in 2024. Available online: https://wap.miit.gov.cn/gxsj/tjfx/dzxx/art/2025/art_f59c26cfa29d41e299f875c46f66aaff.html (accessed on 27 February 2025).
- EVTank. Global New Energy Vehicle Sales Reached 18.236 Million in 2024, with China Accounting for Over 70%. Available online: http://www.evtank.cn/DownloadDetail.aspx?ID=596 (accessed on 15 January 2025).
- China.com.cn. The National Fire and Rescue Bureau Held a Press Conference on the Fire Safety Situation and Special Operations Since This Year. Available online: http://www.china.com.cn/app/template/amucsite/web/webLive.html#3558 (accessed on 30 May 2024).
- Wang, Q.; Jiang, L.; Yu, Y.; Sun, J. Progress of enhancing the safety of lithium ion battery from the electrolyte aspect. Nano Energy 2019, 55, 93–114. [Google Scholar] [CrossRef]
- Sun, P.; Bisschop, R.; Niu, H.; Huang, X. Correction to: A Review of Battery Fires in Electric Vehicles. Fire Technol. 2020, 56, 1411. [Google Scholar] [CrossRef]
- Feng, X.; Ouyang, M.; Liu, X.; Lu, L.; Xia, Y.; He, X. Thermal runaway mechanism of lithium ion battery for electric vehicles: A review. Energy Storage Mater. 2018, 10, 246–267. [Google Scholar] [CrossRef]
- Liu, K.; Liu, Y.; Lin, D.; Pei, A.; Cui, Y. Materials for lithium-ion battery safety. Sci. Adv. 2018, 4, eaas9820. [Google Scholar] [CrossRef] [PubMed]
- Yao, Q.; Kollmeyer, P.; Chen, J.; Panchal, S.; Gross, O.; Emadi, A. Study of High-Power and High-Energy Lithium-ion Batteries: From Parameter Analysis to Physical Modeling and Experimental Validation SAE Technical Paper. 2025. Available online: https://www.sae.org/publications/technical-papers/content/2025-01-8372 (accessed on 15 January 2025).
- Vashisht, S.; Rakshit, D.; Panchal, S.; Fowler, M.; Fraser, R. Experimental estimation of heat generating parameters for battery module using inverse prediction method. Int. Commun. Heat Mass Transf. 2025, 162, 108539. [Google Scholar] [CrossRef]
- Liu, Q.; Liu, F.; Liu, S.; Wang, Y. Improved performance of Li-ion battery thermal management system by ternary hybrid nanofluid. J. Energy Storage 2025, 109, 115234. [Google Scholar] [CrossRef]
- Yousefi, E.; Talele, V.; Morali, U.; Mishra, D.; Ramasamy, D.; Kadirgama, K.; Najafi, H.; Kanthale, S. Liquid immersion cooling with enhanced Al2O3 nanofluid for large-format prismatic battery pack: Numerical and statistical investigation. J. Therm. Anal. Calorim. 2025, 3, 1–19. [Google Scholar] [CrossRef]
- Shabeer, Y.; Madani, S.S.; Panchal, S.; Fowler, M.; Mousavi, M. Different Metal-Air Batteries as Range Extenders for the Electric Vehicle Market: A Comparative Study. Batteries 2025, 11, 35. [Google Scholar] [CrossRef]
- Liu, S.; Wang, Y.; Liu, Q.; Panchal, S.; Zhao, J.; Fowler, M.; Fraser, R.; Yuan, J. Thermal equalization design for the battery energy storage system (BESS) of a fully electric ship. Energy 2024, 312, 133611. [Google Scholar] [CrossRef]
- Li, W.; Xie, Y.; Hu, X.; Zhang, B.; Fowler, M.; Panchal, S.; Fraser, R.; Zhang, Y. An efficient two-stage heating strategy for embedded heat pipe system considering power and energy requirements from battery. Appl. Therm. Eng. 2024, 257, 124499. [Google Scholar] [CrossRef]
- Ma, W.; Xie, Y.; Guo, S.; Panchal, S.; Zhang, Y.; Yang, R.; Li, W. A mechanism-data driven resistance transfer algorithm for lithium-ion batteries and its application to thermal modeling. J. Energy Storage 2024, 102, 114066. [Google Scholar] [CrossRef]
- Chen, Y.; Kang, Y.; Zhao, Y.; Wang, L.; Liu, J.; Li, Y.; Liang, Z.; He, X.; Li, X.; Tavajohi, N.; et al. A review of lithium-ion battery safety concerns: The issues, strategies, and testing standards. J. Energy Chem. 2021, 59, 83–99. [Google Scholar] [CrossRef]
- Ouyang, D.; Weng, J.; Chen, M.; Liu, J.; Wang, J. Experimental analysis on the degradation behavior of overdischarged lithium-ion battery combined with the effect of high-temperature environment. Int. J. Energy Res. 2019, 44, 229–241. [Google Scholar] [CrossRef]
- Wang, Q.; Huang, P.; Ping, P.; Sun, J.; Du, Y.; Li, K. Combustion behavior of lithium iron phosphate battery induced by external heat radiation. J. Loss Prev. Process Ind. 2016, 49, S0950423016304715. [Google Scholar] [CrossRef]
- Feng, X.; Fang, M.; He, X.; Zhang, M.; Lu, L.; Wang, H.; Ouyang, M. Thermal runaway features of large format prismatic lithium ion battery using extended volume accelerating rate calorimetry. J. Power Sources 2014, 255, 294–301. [Google Scholar] [CrossRef]
- Mao, B.; Chen, H.; Jiang, L.; Sun, J.; Zhao, C.; Wang, Q. Refined study on lithium ion battery combustion in open space and a combustion chamber. Process Saf. Environ. Prot. Trans. Inst. Chem. Eng. Part B 2020, 139, 133–146. [Google Scholar] [CrossRef]
- Andersson, P.; Blomqvist, P.; Lorén, A.; Larsson, F. Using Fourier transform infrared spectroscopy to determine toxic gases in fires with lithium-ion batteries. Fire Mater. 2016, 40, 999–1015. [Google Scholar] [CrossRef]
- Kang, S.; Kwon, M.; Choi, S.; Choi, J.Y. Full-scale fire testing of battery electric vehicles. Appl. Energy 2023, 332, 120497. [Google Scholar] [CrossRef]
- Hynynen, J.; Willstrand, O.; Blomqvist, P.; Andersson, P. Analysis of combustion gases from large-scale electric vehicle fire tests. Fire Saf. J. 2023, 139, 103829. [Google Scholar] [CrossRef]
- Baird, A.R.; Archibald, E.J.; Marr, K.C.; Ezekoye, O.A. Explosion hazards from lithium-ion battery vent gas. J. Power Sources 2020, 446, 227257. [Google Scholar] [CrossRef]
- Wang, D.; Xin, H.; Qi, X.; Dou, G.; Qi, G.; Ma, L. Reaction pathway of coal oxidation at low temperatures: A model of cyclic chain reactions and kinetic characteristics. Combust. Flame 2016, 163, 447–460. [Google Scholar] [CrossRef]
- Zhu, H.; Huo, Y.; Fang, S.; Wang, W. Quantum Chemical Calculation of Original Aldehyde Groups Reaction Mechanism in Coal Spontaneous Combustion. Energy Fuels 2020, 34, 14776–14785. [Google Scholar] [CrossRef]
- Chen, X.; Zhang, X.; Li, H.; Zhang, Q. Cation-Solvent, Cation-Anion, and Solvent Solvent Interactions with Electrolyte Solvation in Lithium Batteries. Batter. Supercaps 2019, 2, 128–131. [Google Scholar] [CrossRef]
- Okamoto, Y. Ab Initio Calculations of Thermal Decomposition Mechanism of LiPF6-Based Electrolytes for Lithium-Ion Batteries. J. Electrochem. Soc. 2013, 160, A404–A409. [Google Scholar] [CrossRef]
- Tian, Y.; Zhao, Y.; Kang, Y.; Wu, J.; Meng, Y.; Hu, X.; Huang, M.; Lan, B.; Kang, F.; Li, B. Quantum chemical calculation study on the thermal decomposition of electrolyte during lithium-ion battery thermal runaway. Front. Energy Res. 2024, 12, 1356672. [Google Scholar] [CrossRef]
- Frisch, J.M.; Trucks, G.W.; Schlegel, H.B.; Scuseria, G.E.; Robb, M.A.; Cheeseman, J.R.; Scalmani, G.; Barone, V.; Petersson, G.A.; Nakatsuji, H.; et al. Gaussian 16, Revision C.01.
- Dennington, R.; Keith, T.A.; Millam, J.M. GaussView, Version 6.0.
- Lu, T.; Chen, Q. Shermo: A general code for calculating molecular thermochemistry properties. Comput. Theor. Chem. 2021, 1200, 113249. [Google Scholar] [CrossRef]




| No. | Source of Fire Gas | Typical Fire Gas |
|---|---|---|
| 1 | LiPF6 thermal decomposition in solution or gas | PF5, POF3, HF, CH3F |
| 2 | EC thermal decomposition in solution | H2, CO, CO2, CH4, C2H6, CH3CHO |
| 3 | EC + Li+ thermal decomposition in solution | C2H4, |
| 4 | EC + PF5 oxidation reaction in solution or gas | C2H5F, CO2, POF3 |
| 5 | EC + POF3 oxidation reaction in solution or gas | C2H3F, CO2 |
| 6 | EC oxidation reaction in gas | CH4, CH3CHO, C2H6, CO, CO2 |
| 7 | DMC thermal decomposition in solution or gas | H2, CH4, C2H6, CO2 |
| 8 | DMC + Li+ thermal decomposition in solution | CH4, C2H6 |
| 9 | DMC + PF5 oxidation reaction in gas | CH4, C2H6, CH3F, CO2, POF3 |
| 10 | DMC + POF3 oxidation reaction in gas | CH4, C2H6, CH3F, CO2 |
| 11 | DMC oxidation reaction in gas | H2, CH4, C2H6, CH3COH, CH3COOH, CO, CO2 |
| 12 | DEC thermal decomposition in solution or gas | H2, CH4, C2H6, C3H8, C4H10, C2H4, CO2, HCHO, C2H5OH |
| 13 | DEC + Li+ thermal decomposition in solution | C2H6, C4H10 |
| 14 | DEC + PF5 oxidation reaction in gas | C2H5F, C2H6, C4H10, CO2, POF3 |
| 15 | DEC + POF3 oxidation reaction in gas | C2H5F, C2H6, C4H10, CO2 |
| 16 | DEC oxidation reaction in gas | H2, CH4, C2H6, C3H8, C4H10, C2H5OH, HCHO, CH3COH, CH3COOH, CO, CO2 |
Disclaimer/Publisher’s Note: The statements, opinions and data contained in all publications are solely those of the individual author(s) and contributor(s) and not of MDPI and/or the editor(s). MDPI and/or the editor(s) disclaim responsibility for any injury to people or property resulting from any ideas, methods, instructions or products referred to in the content. |
© 2025 by the authors. Licensee MDPI, Basel, Switzerland. This article is an open access article distributed under the terms and conditions of the Creative Commons Attribution (CC BY) license (https://creativecommons.org/licenses/by/4.0/).
Share and Cite
Tian, Y.; Zhang, X.; Xia, Q.; Chen, Z. Oxidation Mechanisms of Electrolyte and Fire Gas Generation Laws During a Lithium-Ion Battery Thermal Runaway. Fire 2025, 8, 226. https://doi.org/10.3390/fire8060226
Tian Y, Zhang X, Xia Q, Chen Z. Oxidation Mechanisms of Electrolyte and Fire Gas Generation Laws During a Lithium-Ion Battery Thermal Runaway. Fire. 2025; 8(6):226. https://doi.org/10.3390/fire8060226
Chicago/Turabian StyleTian, Yao, Xia Zhang, Qing Xia, and Zhaoyang Chen. 2025. "Oxidation Mechanisms of Electrolyte and Fire Gas Generation Laws During a Lithium-Ion Battery Thermal Runaway" Fire 8, no. 6: 226. https://doi.org/10.3390/fire8060226
APA StyleTian, Y., Zhang, X., Xia, Q., & Chen, Z. (2025). Oxidation Mechanisms of Electrolyte and Fire Gas Generation Laws During a Lithium-Ion Battery Thermal Runaway. Fire, 8(6), 226. https://doi.org/10.3390/fire8060226
